Antioxidant Activity and Hypoallergenicity of Egg Protein Matrices Containing Polyphenols from Citrus Waste
Abstract
1. Introduction
2. Materials and Methods
2.1. Plant Materials
2.2. Preparation of Phenolic Extracts
2.3. Quantification of Polyphenols
2.4. Extract Characterization by HPLC Analysis
2.5. Antioxidant Activity
2.6. Preparation of Protein–Polyphenol Matrices
2.7. Attenuated Total Reflectance-Fourier Transform Infrared Spectroscopy (ATR-FTIR)
2.8. Characterization of Supernatants after Protein–Polyphenol Matrix Formation
2.9. Patient Sera
2.10. Determination of IgE Reactivity of the Protein–Polyphenol Matrix
2.11. Statistical Analysis
2.12. In Silico Molecular Docking Studies
2.12.1. Lysozyme Crystallization by Protein Data Bank (PDB) Space Mining
2.12.2. Receptor Preparation
2.12.3. Hesperidin/Diosmin Preparation
2.12.4. Autodock-GPU Docking (AD-GPU)
2.12.5. Flare Lead Finder Docking (LF)
3. Results and Discussion
3.1. Polyphenols: Content and Distribution
3.2. Antioxidant Activity of Lemon/Orange Peel Extracts
3.3. Polyphenolic Patterns of Orange/Lemon Peel Extracts
3.4. Polyphenol–Protein Matrices in the Supernatant Phase–Molecular Interactions from FTIR Spectra
3.5. Molecular Docking Campaign of Lysozyme–Polyphenol Binding
3.5.1. Landscape of 3D Reported Lysozyme Structures
3.5.2. Molecular Docking Precedents of Lysozyme
- Conformational landscape: each of the aforementioned studies contemplated just one receptor conformation in rigid modality and the docking result captured the lowest energy topology. No further discussion about the HEWL conformational landscape or alternative ligand binding modes have been produced. As any molecular dynamics execution depends on the starting coordinates, the simulation course is heavily dependent on such initial states. Diosmin post-docking MD simulations are scarcely described, referring to the overall progress of simulation, number of hydrogen bonds, and receptor fluctuations, without finding a description of the conformational change of the binding mode upon the progression of the simulation. In this context, it is difficult to determine from the study by Furkan et al. essential data like the conservation of the starting binding pose (i.e., the docking selected pose) or the binding pocket conformational evolution. Regarding the hesperidin post-docking MD simulations, Ratnaparkhi et al. outlined the critical interacting residues, some being the original results from the docking output. However, the overall evolution along the simulation remains unclear as well as the identity of the receptor residues interacting by H-bonding with the ligand.
- Receptor mutants: Ratnaparkhi et al.’s in silico calculations operated on the 2WAR single point mutant HEWL (E35Q) [96], where the critical glutamate residue of the enzymatic center was swapped for glutamine. This point change is in the binding pocket, at the center of the docking box described. The authors did not discuss at any point the mutant nature of the receptor or the purpose of that selection. It is highly possible that such a profound change (polar charged lateral chain to simply polar) may impact a small molecule non-covalent attachment compared with native HEWL. It is arguably better to use a non-native structure if the ultimate goal is evaluating the anti-aggregation capacity of hesperidin and subsequent comparisons with experiments employing natural HEWL.
- Absence of experimentally found epitopes: the experimental assays covered describe the overall binding conclusions (i.e., the influence of Tyr or Trp residues on the fluorescence) but no specific epitopes, ligand ring flips or sugar unit alignments that may guide the design and selection of appropriate in silico studies in future.
- Receptor pH: as the endpoint is monitoring the hesperidin/diosmin–lysozyme binding impact ex vivo, a study is required that covers the acidic, basic and neutral forms of the protein.
3.5.3. Consensus Molecular Docking Exploration of Hesperidin and Diosmin
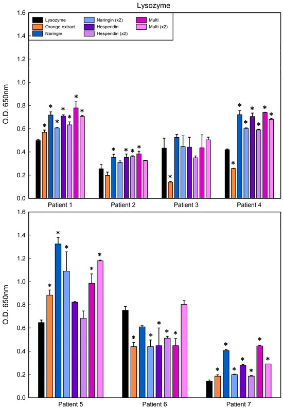
3.6. Determination of IgE Reactivity of the Protein-Polyphenol Matrix
4. Conclusions
Supplementary Materials
Author Contributions
Funding
Institutional Review Board Statement
Informed Consent Statement
Data Availability Statement
Acknowledgments
Conflicts of Interest
References
- Food allergy is everyone’s business. Nat. Food 2021, 2, 301–302. [CrossRef] [PubMed]
- Public Law No. 117-11 (04/23/2021): Food Allergy Safety, Treatment, Education, and Research Act. Available online: https://www.congress.gov/bill/117th-congress/senate-bill/578 (accessed on 6 September 2024).
- Herbert, L.; Marchisotto, M.J.; Vickery, B. Patients’ Perspectives and Needs on Novel Food Allergy Treatments in the United States. Curr. Treat. Options Allergy 2021, 8, 9–20. [Google Scholar] [CrossRef] [PubMed]
- Cafarotti, A.; Giovannini, M.; Begìn, P.; Brough, H.A.; Arasi, S. Management of IgE-mediated food allergy in the 21st century. Clin. Exp. Allergy 2023, 53, 25–38. [Google Scholar] [CrossRef] [PubMed]
- Couzin-Frankel, J. Toxin or treatment? Science 2018, 362, 278–282. [Google Scholar] [CrossRef]
- Dorofeeva, Y.; Shilovskiy, I.; Tulaeva, I.; Focke-Tejkl, M.; Flicker, S.; Kudlay, D.; Khaitov, M.; Karsonova, A.; Riabova, K.; Karaulov, A.; et al. Past, present, and future of allergen immunotherapy vaccines. Allergy 2021, 76, 131–149. [Google Scholar] [CrossRef]
- Leonard, S.A.; Laubach, S.; Wang, J. Integrating oral immunotherapy into clinical practice. J. Allergy Clin. Immunol. 2021, 147, 1–13. [Google Scholar] [CrossRef]
- Gil, M.V.; Fernández-Rivera, N.; Pastor-Vargas, C.; Cintas, P. Food Allergens: When Friends Become Foes—Caveats and Opportunities for Oral Immunotherapy Based on Deactivation Methods. Nutrients 2023, 15, 3650. [Google Scholar] [CrossRef]
- Pi, X.; Sun, Y.; Cheng, J.; Fu, G.; Guo, M. A review on polyphenols and their potential application to reduce food allergenicity. Crit. Rev. Food Sci. Nutr. 2023, 63, 10014–10031. [Google Scholar] [CrossRef]
- Sobhani, M.; Farzaei, M.H.; Kiani, S.; Khodarahmi, R. Immunomodulatory; Anti-inflammatory/antioxidant Effects of Polyphenols: A Comparative Review on the Parental Compounds and Their Metabolites. Food Rev. Int. 2021, 37, 759–811. [Google Scholar] [CrossRef]
- Allan, K.; Kelly, F.J.; Devereux, G. Antioxidants and allergic disease: A case of too little or too much? Clin. Exp. Allergy 2010, 40, 370–380. [Google Scholar] [CrossRef]
- Han, M.; Lee, D.; Lee, S.H.; Kim, T.H. Oxidative Stress and Antioxidant Pathway in Allergic Rhinitis. Antioxidants 2021, 10, 1266. [Google Scholar] [CrossRef] [PubMed]
- Liang, S.; Zhao, Y.; Chen, G.; Wang, C. Isoorientin ameliorates OVA-induced asthma in a murine model of asthma. Exp. Biol. Med. 2022, 247, 1479–1488. [Google Scholar] [CrossRef]
- Chen, S.-S.; Gong, J.; Liu, F.-T.; Mohammed, U. Naturally occurring polyphenolic antioxidants modulate IgE-mediated mast cell activation. Immunology 2000, 100, 471–480. [Google Scholar] [CrossRef]
- Bellik, Y.; Boukraâ, L.; Alzahrani, H.A.; Bakhotmah, B.A.; Abdellah, F.; Hammoudi, S.M.; Iguer-Ouada, M. Molecular Mechanism Underlying Anti-Inflammatory and Anti-Allergic Activities of Phytochemicals: An Update. Molecules 2013, 18, 322–353. [Google Scholar] [CrossRef] [PubMed]
- Mlcek, J.; Jurikova, T.; Skrovankova, S.; Sochor, J. Quercetin and Its Anti-Allergic Immune Response. Molecules 2016, 21, 623. [Google Scholar] [CrossRef]
- Zhang, Z.; Zhao, Y.; Han, Y.; Yang, B.; Lin, H.; Li, Z. The natural substances with anti-allergic properties in food allergy. Trends Food Sci. Technol. 2022, 128, 53–67. [Google Scholar] [CrossRef]
- López-Enríquez, S.; Múnera-Rodríguez, A.M.; Leiva-Castro, C.; Sobrino, F.; Palomares, F. Modulation of the Immune Response to Allergies Using Alternative Functional Foods. Int. J. Mol. Sci. 2024, 25, 467. [Google Scholar] [CrossRef] [PubMed]
- Takemoto, K.; Ganlin, T.; Iji, M.; Narukawa, T.; Koyama, T.; Hao, L.; Watanabe, H. Vegetable Extracts as Therapeutic Agents: A Comprehensive Exploration of Anti-Allergic Effects. Nutrients 2024, 16, 693. [Google Scholar] [CrossRef]
- González-Gómez, D.; Cardoso, V.; Bohoyo, D.; Ayuso, M.C.; Delgado-Adamez, J. Application of experimental design and response surface methodology to optimize the procedure to obtain a bactericide and highly antioxidant aqueous extract from orange peels. Food Control 2014, 35, 252–259. [Google Scholar] [CrossRef]
- Bakowska-Barczak, A.M.; Kolodziejczyk, P.P. Black currant polyphenols: Their storage stability and microencapsulation. Ind. Crop. Prod. 2011, 34, 1301–1309. [Google Scholar] [CrossRef]
- Lima, V.L.A.G.; Mélo, E.A.; Maciel, M.I.S.; Prazeres, F.G.; Musser, R.S.; Lima, D.E.S. Total phenolic and carotenoid contents in acerola genotypes harvested at three ripening stages. Food Chem. 2005, 90, 565–568. [Google Scholar] [CrossRef]
- Martí, R.; Valcárcel, M.; Herrero-Martínez, J.M.; Cebolla-Cornejo, J.; Roselló, S. Fast simultaneous determination of prominent polyphenols in vegetables and fruits by reversed phase liquid chromatography using a fused-core column. Food Chem. 2015, 169, 169–179. [Google Scholar] [CrossRef]
- Turoli, D.; Testolin, G.; Zanini, R.; Bellù, R. Determination of oxidative status in breast and formula milk. Acta Paediatr. 2004, 93, 1569–1574. [Google Scholar] [CrossRef]
- Plundrich, N.J.; Kulis, M.; White, B.L.; Grace, M.H.; Guo, R.; Burks, A.W.; Davis, J.P.; Lila, M.A. Novel Strategy To Create Hypoallergenic Peanut Protein–Polyphenol Edible Matrices for Oral Immunotherapy. J. Agr. Food Chem. 2014, 62, 7010–7021. [Google Scholar] [CrossRef]
- Berthold, M.R.; Cebron, N.; Dill, F.; Gabriel, T.R.; Kötter, T.; Meinl, T.; Ohl, P.; Thiel, K.; Wiswedel, B. KNIME—The Konstanz Information Miner: Version 2.0 and Beyond. SIGKDD Explor. Newsl. 2009, 11, 26–31. [Google Scholar] [CrossRef]
- Roughley, D.S. Five Years of the KNIME Vernalis Cheminformatics Community Contribution. Curr. Med. Chem. 2020, 27, 6495–6522. [Google Scholar] [CrossRef] [PubMed]
- Berman, H.M.; Westbrook, J.; Feng, Z.; Gilliland, G.; Bhat, T.N.; Weissig, H.; Shindyalov, I.N.; Bourne, P.E. The Protein Data Bank. Nucleic Acids Res. 2000, 28, 235–242. [Google Scholar] [CrossRef]
- Cresset. Flare™, v8.0.0; Litlington: Cambridgeshire, UK, 2006.
- Kim, S.; Chen, J.; Cheng, T.; Gindulyte, A.; He, J.; He, S.; Li, Q.; Shoemaker, B.A.; Thiessen, P.A.; Yu, B.; et al. PubChem 2023 update. Nucleic Acids Res. 2022, 51, D1373–D1380. [Google Scholar] [CrossRef]
- ChemAxon. JChem, v21.15.0; 2021. Available online: https://docs.chemaxon.com/display/docs/instant-jchem_history-of-changes.md (accessed on 1 September 2024).
- Vinter, J.G. Extended electron distributions applied to the molecular mechanics of some intermolecular interactions. J. Comput. Aid. Mol. Des. 1994, 8, 653–668. [Google Scholar] [CrossRef]
- Vinter, J.G. Extended electron distributions applied to the molecular mechanics of some intermolecular interactions. II. Organic complexes. J. Comput. Aid. Mol. Des. 1996, 10, 417–426. [Google Scholar] [CrossRef]
- Morris, G.M.; Huey, R.; Lindstrom, W.; Sanner, M.F.; Belew, R.K.; Goodsell, D.S.; Olson, A.J. AutoDock4 and AutoDockTools4: Automated docking with selective receptor flexibility. J. Comput. Chem. 2009, 30, 2785–2791. [Google Scholar] [CrossRef]
- Santos-Martins, D.; Solis-Vasquez, L.; Tillack, A.F.; Sanner, M.F.; Koch, A.; Forli, S. Accelerating AutoDock4 with GPUs and Gradient-Based Local Search. J. Chem. Theory Comput. 2021, 17, 1060–1073. [Google Scholar] [CrossRef] [PubMed]
- Novikov, F.N.; Stroylov, V.S.; Zeifman, A.A.; Stroganov, O.V.; Kulkov, V.; Chilov, G.G. Lead Finder docking and virtual screening evaluation with Astex and DUD test sets. J. Comput. Aid. Mol. Des. 2012, 26, 725–735. [Google Scholar] [CrossRef] [PubMed]
- Stroganov, O.V.; Novikov, F.N.; Stroylov, V.S.; Kulkov, V.; Chilov, G.G. Lead Finder: An Approach To Improve Accuracy of Protein−Ligand Docking, Binding Energy Estimation, and Virtual Screening. J. Chem. Inf. Model. 2008, 48, 2371–2385. [Google Scholar] [CrossRef] [PubMed]
- Anjali; Kumar, S.; Korra, T.; Thakur, R.; Arutselvan, R.; Kashyap, A.S.; Nehela, Y.; Chaplygin, V.; Minkina, T.; Keswani, C. Role of plant secondary metabolites in defence and transcriptional regulation in response to biotic stress. Plant Stress 2023, 8, 100154. [Google Scholar] [CrossRef]
- Aguirre-Becerra, H.; Vazquez-Hernandez, M.C.; Saenz de la O, D.; Alvarado-Mariana, A.; Guevara-Gonzalez, R.G.; Garcia-Trejo, J.F.; Feregrino-Perez, A.A. Role of Stress and Defense in Plant Secondary Metabolites Production. In Bioactive Natural Products for Pharmaceutical Applications; Pal, D., Nayak, A.K., Eds.; Springer International Publishing: Cham, Switzerland, 2021; pp. 151–195. [Google Scholar]
- Pinelo, M.; Fabbro, P.D.; Manzocco, L.; Nuñez, M.J.; Nicoli, M.C. Optimization of continuous phenol extraction from Vitis vinifera byproducts. Food Chem. 2005, 92, 109–117. [Google Scholar] [CrossRef]
- Pinelo, M.; Rubilar, M.; Sineiro, J.; Núñez, M.J. Extraction of antioxidant phenolics from almond hulls (Prunus amygdalus) and pine sawdust (Pinus pinaster). Food Chem. 2004, 85, 267–273. [Google Scholar] [CrossRef]
- Sik, B.; Ajtony, Z.; Lakatos, E.; Székelyhidi, R. The effects of extraction conditions on the antioxidant activities, total polyphenol and monomer anthocyanin contents of six edible fruits growing wild in Hungary. Heliyon 2022, 8, e12048. [Google Scholar] [CrossRef]
- Wang, Z.; Mei, X.; Chen, X.; Rao, S.; Ju, T.; Li, J.; Yang, Z. Extraction and recovery of bioactive soluble phenolic compounds from brocade orange (Citrus sinensis) peels: Effect of different extraction methods thereon. LWT 2023, 173, 114337. [Google Scholar] [CrossRef]
- Ilyasov, I.R.; Beloborodov, V.L.; Selivanova, I.A.; Terekhov, R.P. ABTS/PP Decolorization Assay of Antioxidant Capacity Reaction Pathways. Int. J. Mol. Sci. 2020, 21, 1131. [Google Scholar] [CrossRef]
- Ignat, I.; Volf, I.; Popa, V.I. A critical review of methods for characterisation of polyphenolic compounds in fruits and vegetables. Food Chem. 2011, 126, 1821–1835. [Google Scholar] [CrossRef] [PubMed]
- Khan, M.K.; Zill, E.H.; Dangles, O. A comprehensive review on flavanones, the major citrus polyphenols. J. Food Compos. Anal. 2014, 33, 85–104. [Google Scholar] [CrossRef]
- Delgado-Adámez, J.; Fernández-León, M.F.; Velardo-Micharet, B.; González-Gómez, D. In vitro assays of the antibacterial and antioxidant activity of aqueous leaf extracts from different Prunus salicina Lindl. cultivars. Food Chem. Toxicol. 2012, 50, 2481–2486. [Google Scholar] [CrossRef] [PubMed]
- Srinivasan, S.; Pari, L. Ameliorative effect of diosmin, a citrus flavonoid against streptozotocin-nicotinamide generated oxidative stress induced diabetic rats. Chem.-Biol. Interact. 2012, 195, 43–51. [Google Scholar] [CrossRef] [PubMed]
- Xi, W.; Lu, J.; Qun, J.; Jiao, B. Characterization of phenolic profile and antioxidant capacity of different fruit part from lemon (Citrus limon Burm.) cultivars. J. Food Sci. Technol. 2017, 54, 1108–1118. [Google Scholar] [CrossRef]
- Derenne, A.; Van Hemelryck, V.; Lamoral-Theys, D.; Kiss, R.; Goormaghtigh, E. FTIR spectroscopy: A new valuable tool to classify the effects of polyphenolic compounds on cancer cells. BBA-Mol. Basis Dis. 2013, 1832, 46–56. [Google Scholar] [CrossRef]
- Consortium, T.U. UniProt: The Universal Protein Knowledgebase in 2023. Nucleic Acids Res. 2022, 51, D523–D531. [Google Scholar] [CrossRef]
- Basu, A.; Mahammad, A.; Das, A. Inhibition of the formation of lysozyme fibrillar assemblies by the isoquinoline alkaloid coralyne. New J. Chem. 2022, 46, 3258–3269. [Google Scholar] [CrossRef]
- Zeng, H.-j.; Miao, M.; Yang, R.; Qu, L.-b. Effect of silybin on the fibrillation of hen egg-white lysozyme. J. Mol. Recognit. 2017, 30, e2566. [Google Scholar] [CrossRef]
- Zeng, H.-j.; Wang, S.-s.; Sun, L.-j.; Miao, M.; Yang, R. Investigation on the effect of three isoflavones on the fibrillation of hen egg-white lysozyme. J. Mol. Recognit. 2021, 34, e2889. [Google Scholar] [CrossRef]
- Gazova, Z.; Siposova, K.; Kurin, E.; Mučaji, P.; Nagy, M. Amyloid aggregation of lysozyme: The synergy study of red wine polyphenols. Proteins Struct. Funct. Bioinform. 2013, 81, 994–1004. [Google Scholar] [CrossRef]
- Joloudar, T.N.; Saboury, A.A.; Shasaltaneh, M.D.; Bahramikia, S.; Ebrahimi, M.A.; Ghasemi, A. Inhibitory effect of safranal and crocin, two principle compounds of Crocus sativus, on fibrillation of lysozyme. J. Iran. Chem. Soc. 2017, 14, 2407–2416. [Google Scholar] [CrossRef]
- Mitra, A.; Sarkar, N. Elucidating the inhibitory effects of rationally designed novel hexapeptide against hen egg white lysozyme fibrillation at acidic and physiological pH. Biochim. Biophys. Acta 2023, 1871, 140899. [Google Scholar] [CrossRef] [PubMed]
- Seo, P.-W.; Gu, D.-H.; Kim, J.-W.; Kim, J.-H.; Park, S.-Y.; Kim, J.-S. Structural characterization of the type I-B CRISPR Cas7 from Thermobaculum terrenum. Biochim. Biophys. Acta 2023, 1871, 140900. [Google Scholar] [CrossRef] [PubMed]
- Mohammadi, F.; Moeeni, M.; Mahmudian, A.; Hassani, L. Inhibition of amyloid fibrillation of lysozyme by bisdemethoxycurcumin and diacetylbisdemethoxycurcumin. Biophys. Chem. 2018, 235, 56–65. [Google Scholar] [CrossRef] [PubMed]
- Khan, M.S.; Althobaiti, M.S.; Almutairi, G.S.; Alokail, M.S.; Altwaijry, N.; Alenad, A.M.; Al-Bagmi, M.S.; Alafaleq, N.O. Elucidating the binding and inhibitory potential of p-coumaric acid against amyloid fibrillation and their cytotoxicity: Biophysical and docking analysis. Biophys. Chem. 2022, 291, 106823. [Google Scholar] [CrossRef]
- Kuo, C.-T.; Chen, Y.-L.; Hsu, W.-T.; How, S.-C.; Cheng, Y.-H.; Hsueh, S.-S.; Liu, H.-S.; Lin, T.-H.; Wu, J.W.; Wang, S.S.S. Investigating the effects of erythrosine B on amyloid fibril formation derived from lysozyme. Int. J. Biol. Macromol. 2017, 98, 159–168. [Google Scholar] [CrossRef]
- Konar, M.; Ghosh, D.; Roy, P.; Dasgupta, S. Probing the role of ortho-dihydroxy groups on lysozyme fibrillation. Int. J. Biol. Macromol. 2018, 109, 619–628. [Google Scholar] [CrossRef]
- Khan, M.S.; Bhat, S.A.; Rehman, M.T.; Hassan, I.; Tabrez, S.; AlAjmi, M.F.; Hussain, A.; Husain, F.M.; Alamery, S.F. Rutin attenuates negatively charged surfactant (SDS)-induced lysozyme aggregation/amyloid formation and its cytotoxicity. Int. J. Biol. Macromol. 2018, 120, 45–58. [Google Scholar] [CrossRef]
- Furkan, M.; Siddiqi, M.K.; Zakariya, S.M.; Khan, F.I.; Hassan, M.I.; Khan, R.H. An In Vitro elucidation of the antiaggregatory potential of Diosminover thermally induced unfolding of hen egg white lysozyme; A preventive quest for lysozyme amyloidosis. Int. J. Biol. Macromol. 2019, 129, 1015–1023. [Google Scholar] [CrossRef]
- Gao, W.; Jin, L.; Liu, C.; Zhang, N.; Zhang, R.; Bednarikova, Z.; Gazova, Z.; Bhunia, A.; Siebert, H.-C.; Dong, H. Inhibition behavior of Sennoside A and Sennoside C on amyloid fibrillation of human lysozyme and its possible mechanism. Int. J. Biol. Macromol. 2021, 178, 424–433. [Google Scholar] [CrossRef] [PubMed]
- Gancar, M.; Kurin, E.; Bednarikova, Z.; Marek, J.; Mucaji, P.; Nagy, M.; Gazova, Z. Green tea leaf constituents inhibit the formation of lysozyme amyloid aggregates: An effect of mutual interactions. Int. J. Biol. Macromol. 2023, 242, 124856. [Google Scholar] [CrossRef]
- Yu, X.; Cai, Y.; Zhao, X.; Wu, C.; Liu, J.; Niu, T.; Shan, X.; Lu, Y.; Ruan, Y.; He, J. Investigation of the chemical structure of anti-amyloidogenic constituents extracted from Thamnolia vermicularis. J. Ethnopharmacol. 2022, 289, 115059. [Google Scholar] [CrossRef]
- Yang, W.-J.; Ma, Y.-M.; Gong, P.; Wang, L.; Chang, X.-N.; Liu, M.; Shuai, Z.-R. Effects of 3, 4-divanillyltetrahydrofuran from Urtica fissa on sexual dysfunction in diabetic mice. J. Ethnopharmacol. 2022, 289, 115060. [Google Scholar] [CrossRef]
- Basu, A.; Sing, S.; Das, A.; Jana, G.; Samai, B. Interaction and inhibition of lysozyme amyloid fibrillation by benzophenanthridine alkaloid sanguinarine: Photophysical, molecular docking and imaging studies. J. Photochem. Photobiol. A Chem. 2023, 444, 114996. [Google Scholar] [CrossRef]
- Kalhor, H.R.; Ashrafian, H. Identification of an aspidospermine derivative from borage extract as an anti-amyloid compound: A possible link between protein aggregation and antimalarial drugs. Phytochemistry 2017, 140, 134–140. [Google Scholar] [CrossRef] [PubMed]
- Alam, P.; Chaturvedi, S.K.; Siddiqi, M.K.; Rajpoot, R.K.; Ajmal, M.R.; Zaman, M.; Khan, R.H. Vitamin k3 inhibits protein aggregation: Implication in the treatment of amyloid diseases. Sci. Rep. 2016, 6, 26759. [Google Scholar] [CrossRef]
- Ali, M.S.; Al-Lohedan, H.A. Spectroscopic and Molecular Docking Investigation on the Noncovalent Interaction of Lysozyme with Saffron Constituent “Safranal”. ACS Omega 2020, 5, 9131–9141. [Google Scholar] [CrossRef]
- Chen, X.; Deng, X.; Han, X.; Liang, Y.; Meng, Z.; Liu, R.; Su, W.; Zhu, H.; Fu, T. Inhibition of Lysozyme Amyloid Fibrillation by Silybin Diastereoisomers: The Effects of Stereochemistry. ACS Omega 2021, 6, 3307–3318. [Google Scholar] [CrossRef]
- Mohammadi, F.; Mahmudian, A.; Moeeni, M.; Hassani, L. Inhibition of amyloid fibrillation of hen egg-white lysozyme by the natural and synthetic curcuminoids. RSC Adv. 2016, 6, 23148–23160. [Google Scholar] [CrossRef]
- Das, S.; Pahari, S.; Sarmah, S.; Rohman, M.A.; Paul, D.; Jana, M.; Singha Roy, A. Lysozyme–luteolin binding: Molecular insights into the complexation process and the inhibitory effects of luteolin towards protein modification. Phys. Chem. Chem. Phys. 2019, 21, 12649–12666. [Google Scholar] [CrossRef] [PubMed]
- Ratnaparkhi, A.; Muthu, S.A.; Shiriskar, S.M.; Pissurlenkar, R.R.S.; Choudhary, S.; Ahmad, B. Effects of hesperidin, a flavanone glycoside interaction on the conformation, stability, and aggregation of lysozyme: Multispectroscopic and molecular dynamic simulation studies? J. Biomol. Struct. Dyn. 2015, 33, 1866–1879. [Google Scholar] [CrossRef] [PubMed]
- Kundu, D.; Umesh; Dubey, V.K. Interaction of selected biomolecules and metabolites with amyloidogenic proteins. J. Biomol. Struct. Dyn. 2021, 39, 3061–3070. [Google Scholar] [CrossRef] [PubMed]
- Khodayari, K.; Alipour, M.; Rad, I.; Ramshini, H.; Abdolmaleki, P. Inhibition potential evaluation of two synthetic bis-indole compounds on amyloid fibrillation: A molecular simulation study. J. Biomol. Struct. Dyn. 2022, 40, 4051–4061. [Google Scholar] [CrossRef] [PubMed]
- Ścibisz, G.; Dec, R.; Dzwolak, W. Mellitate: A multivalent anion with extreme charge density causes rapid aggregation and misfolding of wild type lysozyme at neutral pH. PLoS ONE 2017, 12, e0187328. [Google Scholar] [CrossRef]
- Dey, D.; Nunes-Alves, A.; Wade, R.C.; Schreiber, G. Diffusion of small molecule drugs is affected by surface interactions and crowder proteins. iScience 2022, 25, 105088. [Google Scholar] [CrossRef]
- Roman, D.L.; Ostafe, V.; Isvoran, A. Deeper inside the specificity of lysozyme when degrading chitosan. A structural bioinformatics study. J. Mol. Graphics Model. 2020, 100, 107676. [Google Scholar] [CrossRef]
- Yenjai, S.; Kuno, M.; Samosorn, S.; Liwporncharoenvong, T.; Buranaprapuk, A. Photochemistry and mechanism of designed pyrenyl probe towards promoted cleavage of proteins. J. Photochem. Photobiol. B Biol. 2017, 173, 35–42. [Google Scholar] [CrossRef]
- Jityuti, B.; Kuno, M.; Liwporncharoenvong, T.; Buranaprapuk, A. Selective protein photocleavage by fluorescein derivatives. J. Photochem. Photobiol. B Biol. 2020, 212, 112027. [Google Scholar] [CrossRef]
- Kabir, M.Z.; Hamzah, N.A.B.; Ghani, H.; Mohamad, S.B.; Alias, Z.; Tayyab, S. Biophysical and computational characterization of vandetanib–lysozyme interaction. Spectrochim. Acta Pt. A Mol. Biomol. Spectrosc. 2018, 189, 485–494. [Google Scholar] [CrossRef]
- González-Durruthy, M.; Rial, R.; Liu, Z.; Ruso, J.M. Lysozyme allosteric interactions with β-blocker drugs. J. Mol. Liq. 2022, 366, 120370. [Google Scholar] [CrossRef]
- Rial, R.; González-Durruthy, M.; Liu, Z.; Ruso, J.M. Conformational binding mechanism of lysozyme induced by interactions with penicillin antibiotic drugs. J. Mol. Liq. 2022, 358, 119081. [Google Scholar] [CrossRef]
- Chi, Z.; Liu, R. New insights into the characterization of the binding of tetracycline analogues with lysozyme: A biophysical study. Chemosphere 2012, 86, 92–97. [Google Scholar] [CrossRef] [PubMed]
- Meng, X.; Nan, G.; Shi, B.; Li, W.; Liu, H.; Lin, R.; Yang, G.; Zheng, S. Investigation on the interaction between myricetin and dihydromyricetin with trypsin, α-chymotrypsin, lysozyme by spectroscopy and molecular docking methods. Luminescence 2022, 37, 810–821. [Google Scholar] [CrossRef]
- Liu, H.; Liu, M.; Wang, D.; Wang, L.; Zhao, Y.; Liu, J.; Wu, Y.; Sun, B.; Zhang, Y. Competitive binding of synergistic antioxidant chlorogenic acid and (−)-epigallocatechin gallate with lysozyme: Insights from multispectroscopic characterization, molecular docking and activity evaluation. J. Mol. Liq. 2021, 341, 117387. [Google Scholar] [CrossRef]
- Singha Roy, A.; Utreja, J.; Badhei, S. Characterization of the binding of fisetin and morin with chicken egg lysozyme using spectroscopic and molecular docking methods. J. Incl. Phenom. Macro. 2015, 81, 385–394. [Google Scholar] [CrossRef]
- Das, S.; Rohman, M.A.; Singha Roy, A. Exploring the non-covalent binding behaviours of 7-hydroxyflavone and 3-hydroxyflavone with hen egg white lysozyme: Multi-spectroscopic and molecular docking perspectives. J. Photochem. Photobiol. B Biol. 2018, 180, 25–38. [Google Scholar] [CrossRef]
- Das, S.; Hazarika, Z.; Sarmah, S.; Baruah, K.; Rohman, M.A.; Paul, D.; Jha, A.N.; Singha Roy, A. Exploring the interaction of bioactive kaempferol with serum albumin, lysozyme and hemoglobin: A biophysical investigation using multi-spectroscopic, docking and molecular dynamics simulation studies. J. Photochem. Photobiol. B Biol. 2020, 205, 111825. [Google Scholar] [CrossRef]
- Das, S.; Ghosh, P.; Koley, S.; Singha Roy, A. Binding of naringin and naringenin with hen egg white lysozyme: A spectroscopic investigation and molecular docking study. Spectrochim. Acta, Pt. A Mol. Biomol. Spectrosc. 2018, 192, 211–221. [Google Scholar] [CrossRef]
- Ashrafi, N.; Shareghi, B.; Farhadian, S.; Hosseini-Koupaei, M. A comparative study of the interaction of naringenin with lysozyme by multi-spectroscopic methods, activity comparisons, and molecular modeling procedures. Spectrochim. Acta Pt. A Mol. Biomol. Spectrosc. 2022, 271, 120931. [Google Scholar] [CrossRef]
- Zaman, M.; Safdari, H.A.; Khan, A.N.; Zakariya, S.M.; Nusrat, S.; Chandel, T.I.; Khan, R.H. Interaction of anticancer drug pinostrobin with lysozyme: A biophysical and molecular docking approach. J. Biomol. Struct. Dyn. 2019, 37, 4338–4344. [Google Scholar] [CrossRef] [PubMed]
- Davies, G.J.; Withers, S.G.; Vocadlo, D.J. The Chitopentaose Complex of a Mutant Hen Egg-White Lysozyme Displays No Distortion of the 1 Sugar Away from a 4C1 Chair Conformation. Aust. J. Chem. 2009, 62, 528–532. [Google Scholar] [CrossRef]
- Larsen, J.M.; Bang-Berthelsen, C.H.; Qvortrup, K.; Sancho, A.I.; Hansen, A.H.; Andersen, K.I.H.; Thacker, S.S.N.; Eiwegger, T.; Upton, J.; Bøgh, K.L. Production of allergen-specific immunotherapeutic agents for the treatment of food allergy. Crit. Rev. Biotechnol. 2020, 40, 881–894. [Google Scholar] [CrossRef] [PubMed]
- Claude, M.; Lupi, R.; Picariello, G.; Drouet, M.; Larré, C.; Denery-Papini, S.; Brossard, C. Digestion differently affects the ability of native and thermally aggregated ovalbumin to trigger basophil activation. Food Res. Int. 2019, 118, 108–114. [Google Scholar] [CrossRef]
- de Silva, D.; Rodríguez del Río, P.; de Jong, N.W.; Khaleva, E.; Singh, C.; Nowak-Wegrzyn, A.; Muraro, A.; Begin, P.; Pajno, G.; Fiocchi, A.; et al. Allergen immunotherapy and/or biologicals for IgE-mediated food allergy: A systematic review and meta-analysis. Allergy 2022, 77, 1852–1862. [Google Scholar] [CrossRef]
- Magrone, T.; Jirillo, E. Influence of polyphenols on allergic immune reactions: Mechanisms of action. Proc. Nutr. Soc. 2012, 71, 316–321. [Google Scholar] [CrossRef]
- Kucuksezer, U.C.; Ozdemir, C.; Cevhertas, L.; Ogulur, I.; Akdis, M.; Akdis, C.A. Mechanisms of allergen-specific immunotherapy and allergen tolerance. Allergol. Int. 2020, 69, 549–560. [Google Scholar] [CrossRef]






















| Concentration Determined by HPLC (mg/g Extract) | |
|---|---|
| Hesperidin | 17.442 ± 0.039 |
| Naringin | 8.079 ± 0.029 |
| Concentration Determined by HPLC (mg/g Extract) | |
|---|---|
| Hesperidin | 9.662 ± 0.087 |
| Eriocitrin | 2.627 ± 0.071 |
| Naringin | 0.563 ± 0.038 |
| Rutin | 0.130 ± 0.023 |
| Diosmin | 0.115 ± 0.011 |
| Polyphenol | Concentration in Extract (mg/g Extract) b | Concentration in Supernatant (mg/g Extract) b | % Interaction |
|---|---|---|---|
| Ratio 1:1 | |||
| Naringin | 8.079 ± 0.029 | 4.676 c ± 0.008 | 42.1 |
| Hesperidin | 17.442 ± 0.039 | 8.756 c ± 0.018 | 49.8 |
| Ratio 1:2 | |||
| Naringin | 8.079 ± 0.029 | 5.936 c ± 0.065 | 26.5 |
| Hesperidin | 17.442 ± 0.039 | 11.024 c ± 0.024 | 36.8 |
| Ratio 2:1 | |||
| Naringin | 8.079 ± 0.029 | 3.093 c ± 0.011 | 61.7 |
| Hesperidin | 17.442 ± 0.039 | 4.673 c ± 0.017 | 73.2 |
| Polyphenol | Concentration in Starting Solution (mg/L) b | Concentration in Supernatant (mg/L) b | % Interaction | |
|---|---|---|---|---|
| Naringin | 36.04 ± 0.073 | 38.478 ± 0.054 | - | |
| Hesperidin | 78.367 ± 0.478 | 18.745 c ± 0.020 | 76.1 | |
| Multistandard solution | Naringin | 36.233 ± 0.597 | 38.517 ± 0.039 | - |
| Hesperidin | 78.447 ± 0.048 | 15.525 c ± 0.027 | 80.2 | |
| Polyphenol | Concentration in Starting Solution (mg/L) b | Concentration in Supernatant (mg/L) b | % Interaction | |
|---|---|---|---|---|
| Naringin | 72.735 ± 0.353 | 70.412 c ± 0.014 | 3.2 | |
| Hesperidin | 157.104 ± 0.006 | 23.899 c ± 0.019 | 84.8 | |
| Multistandard solution | Naringin | 71.922 ± 0.079 | 66.521 c ± 0.042 | 7.5 |
| Hesperidin | 156.011 ± 0.150 | 23.909 c ± 0.034 | 84.7 | |
| Polyphenol | Concentration in Extract (mg/g Extract) b | Concentration in Supernatant (mg/g Extract) b | % Interaction |
|---|---|---|---|
| Ratio 1:1 | |||
| Naringin | 0.563 ± 0.038 | 0.345 c ± 0.007 | 38.7 |
| Hesperidin | 9.662 ± 0.087 | 5.573 c ± 0.010 | 42.3 |
| Eriocitrin | 2.627 ± 0.071 | 1.532 c ± 0.010 | 41.7 |
| Rutin | 0.130 ± 0.023 | 0.067 c ± 0.004 | 48.5 |
| Diosmin | 0.115 ± 0.011 | 0.048 c ± 0.007 | 58.3 |
| Ratio 1:2 | |||
| Naringin | 0.563 ± 0.038 | 0.485 c ± 0.009 | 13.9 |
| Hesperidin | 9.662 ± 0.087 | 8.109 c ± 0.024 | 16.1 |
| Eriocitrin | 2.627 ± 0.071 | 2.175 c ± 0.063 | 17.2 |
| Rutin | 0.130 ± 0.023 | 0.099 ± 0.005 | 23.8 |
| Diosmin | 0.115 ± 0.011 | 0.078 c ± 0.009 | 32.2 |
| Ratio 2:1 | |||
| Naringin | 0.563 ± 0.038 | 0.232 c ± 0.003 | 58.8 |
| Hesperidin | 9.662 ± 0.087 | 3.279 c ± 0.019 | 66.1 |
| Eriocitrin | 2.627 ± 0.071 | 0.940 c ± 0.007 | 64.2 |
| Rutin | 0.130 ± 0.023 | 0.043 c ± 0.004 | 66.9 |
| Diosmin | 0.115 ± 0.011 | 0 c | 100 |
| Polyphenol | Concentration in Starting Solution (mg/L) b | Concentration in Supernatant (mg/L) b | % Interaction | |
|---|---|---|---|---|
| Naringin | 2.502 ± 0.067 | 1.607 c ± 0.014 | 35.8 | |
| Hesperidin | 43.852 ± 0.043 | 8.516 c ± 0.018 | 80.6 | |
| Diosmin | 0.463 ± 0.006 | 0 c | 100 | |
| Rutin | 0.548 ± 0.017 | 0.072 c ± 0.002 | 86.9 | |
| Multistandard solution | Naringin | 2.599 ± 0.081 | 2.986 ± 0.004 | - |
| Hesperidin | 43.825 ± 0.034 | 2.494 c ± 0.010 | 94.3 | |
| Diosmin | 0.474 ± 0.012 | 0.037 c ± 0.003 | 92.2 | |
| Rutin | 0.570 ± 0.017 | 0.087 c ± 0.002 | 84.7 | |
| Polyphenol | Concentration in Starting Solution (mg/L) b | Concentration in Supernatant (mg/L) b | % Interaction | |
|---|---|---|---|---|
| Naringin | 5.159 ± 0.023 | 4.558 c ± 0.007 | 11.6 | |
| Hesperidin | 87.910 ± 0.130 | 19.821 c ± 0.036 | 77.5 | |
| Diosmin | 0.920 ± 0.010 | 0.031 c ± 0.003 | 96.6 | |
| Rutin | 1.129 ± 0.028 | 0.120 c ± 0.005 | 89.4 | |
| Multistandard solution | Naringin | 5.143 ± 0.018 | 5.844 ± 0.046 | - |
| Hesperidin | 87.831 ± 0.028 | 3.930 c ± 0.016 | 95.5 | |
| Diosmin | 0.918 ± 0.012 | 0.045 c ± 0.002 | 95.1 | |
| Rutin | 1.135 ± 0.009 | 0.135 c ± 0.004 | 88.1 | |
| Flavonoid | ZINC ID | PDB | References |
|---|---|---|---|
| Daidzein | ZINC000018847034 | 2LYZ | [54] |
| Dihydromyricetin | ZINC000100037633 | 4D9Z | [88] |
| Diosmin | ZINC000004098512 | 2LYZ | [64] |
| (-)-Epicatechin | ZINC0000038703360 | 1JPO | [66] |
| (-)-Epigallocatechin gallate | ZINC000003870412 | 1JPO, 6LYZ | [66,89] |
| Fisetin | ZINC000000039111 | 6LYZ | [90] |
| Flavonol | ZINC000000057675 | 6LYZ | [91] |
| Genistein | ZINC000018825330 | 2LYZ | [54] |
| Hesperidin | ZINC000008143568 | 2WAR | [76] |
| 7-Hydroxyflavone | ZINC000005934541 | 6LYZ | [91] |
| Kaempferol | ZINC000003869768 | 6LYZ | [92] |
| Luteolin | ZINC000018185774 | 6LYZ | [75] |
| Morin | ZINC000003881558 | 6LYZ | [90] |
| Myricetin | ZINC000003874317 | 4D9Z | [88] |
| Naringenin | ZINC000000156701 | 6LYZ | [93,94] |
| Naringin | ZINC000008143604 | 6LYZ | [93] |
| Quercetin | ZINC000003869685 | 1JPO | [55] |
| Pinostrobin | ZINC000000391894 | 6LYZ | [95] |
| Procyanidin B3 | ZINC000042804873 | 6LYZ | [52] |
| Puerarin | ZINC000004098745 | 2LYZ | [54] |
| Rutin | ZINC000004096846 | 1HEW | [63] |
| Silybin | ZINC000002033589 | 2LYZ | [73] |
| α-Tocopherol | ZINC000004095858 | 6LYZ | [52] |
| PDB ID | Resolution | pH | Co-Crystallized Ligand? |
|---|---|---|---|
| 1DPX | 1.65 | 4.5 | |
| 7BR5 | 1.00 | 4.5 | (GlcNAc)4 |
| 4XAD | 1.25 | 4.6 | Galf-GlcNAc |
| 6RT9 | 1.55 | 4.7 | Sucrose |
| 1HEW | 1.75 | 4.7 | (GlcNAc)3 |
| 6LYZ | 2.00 | 7.4 | |
| 2LYZ | 2.00 | 7.4 | |
| 1JPO | 2.10 | 7.4 | |
| 2Z19 | 1.15 | 7.6 | |
| 4B4E | 1.00 | 8.0 | |
| 5K2Q | 1.10 | 8.5 | |
| 5K2P | 1.24 | 8.5 | |
| 7JMU | 1.20 | 8.0 | |
| 2FBB | 1.46 | 8.4 |
| Number of Patient | Age | Sex | Total IgE (kU/L) | Allergy Reaction | IgE to Hen’s Egg (kU/L) | IgE to Hen’s Egg Yolk (kU/L) | IgE to Hen’s Egg White (kU/L) | IgE to Gal d 2 (kU/L) | IgE to Gal d 4 (kU/L) |
|---|---|---|---|---|---|---|---|---|---|
| 1 | 21 | M | 843 | Anaphylaxis | 26.9 | 17.6 | 36.1 | 18.8 | 39.2 |
| 2 | 19 | M | 43.7 | OAS and AE with raw egg | 0.9 | 0.41 | 0.92 | 0.24 | NA |
| 3 | 10 | F | 693 | Syst. | 5.25 | 3.25 | 6.2 | 4.13 | 0.19 |
| 4 | 38 | M | 55.5 | Syst. | 1.1 | 0.97 | 0.63 | 0.18 | NA |
| 5 | 63 | F | 15.6 | Syst. | 0.62 | 0.57 | 3.45 | 0.01 | NA |
| 6 | 22 | F | 192 | Syst. | 0.41 | 0.05 | 0.58 | 0.04 | NA |
| 7 | 11 | M | 2500 | Syst. | 6.8 | 3.15 | 4.1 | 5.03 | NA |
| 8 | 77 | M | 119 | Syst. | 3.05 | 0.48 | 3.46 | 3.61 | NA |
Disclaimer/Publisher’s Note: The statements, opinions and data contained in all publications are solely those of the individual author(s) and contributor(s) and not of MDPI and/or the editor(s). MDPI and/or the editor(s) disclaim responsibility for any injury to people or property resulting from any ideas, methods, instructions or products referred to in the content. |
© 2024 by the authors. Licensee MDPI, Basel, Switzerland. This article is an open access article distributed under the terms and conditions of the Creative Commons Attribution (CC BY) license (https://creativecommons.org/licenses/by/4.0/).
Share and Cite
Gil, M.V.; Fernández-Rivera, N.; Gutiérrez-Díaz, G.; Parrón-Ballesteros, J.; Pastor-Vargas, C.; Betancor, D.; Nieto, C.; Cintas, P. Antioxidant Activity and Hypoallergenicity of Egg Protein Matrices Containing Polyphenols from Citrus Waste. Antioxidants 2024, 13, 1154. https://doi.org/10.3390/antiox13101154
Gil MV, Fernández-Rivera N, Gutiérrez-Díaz G, Parrón-Ballesteros J, Pastor-Vargas C, Betancor D, Nieto C, Cintas P. Antioxidant Activity and Hypoallergenicity of Egg Protein Matrices Containing Polyphenols from Citrus Waste. Antioxidants. 2024; 13(10):1154. https://doi.org/10.3390/antiox13101154
Chicago/Turabian StyleGil, María Victoria, Nuria Fernández-Rivera, Gloria Gutiérrez-Díaz, Jorge Parrón-Ballesteros, Carlos Pastor-Vargas, Diana Betancor, Carlos Nieto, and Pedro Cintas. 2024. "Antioxidant Activity and Hypoallergenicity of Egg Protein Matrices Containing Polyphenols from Citrus Waste" Antioxidants 13, no. 10: 1154. https://doi.org/10.3390/antiox13101154
APA StyleGil, M. V., Fernández-Rivera, N., Gutiérrez-Díaz, G., Parrón-Ballesteros, J., Pastor-Vargas, C., Betancor, D., Nieto, C., & Cintas, P. (2024). Antioxidant Activity and Hypoallergenicity of Egg Protein Matrices Containing Polyphenols from Citrus Waste. Antioxidants, 13(10), 1154. https://doi.org/10.3390/antiox13101154

