Alpha-Tocopherol Significantly Improved Squalene Production Yield of Aurantiochytrium sp. TWZ-97 through Lowering ROS levels and Up-Regulating Key Genes of Central Carbon Metabolism Pathways
Abstract
1. Introduction
2. Materials and Methods
2.1. Strain and Culture Condition
2.2. Batch Fermentation Experiments
2.3. Analytical Methods
2.4. RNA Sequencing and Bioinformatics Analysis
2.5. Quantitative PCR
2.6. Statistical Analysis
3. Results and Discussion
3.1. Effect of Supplementation on Squalene Fermentation
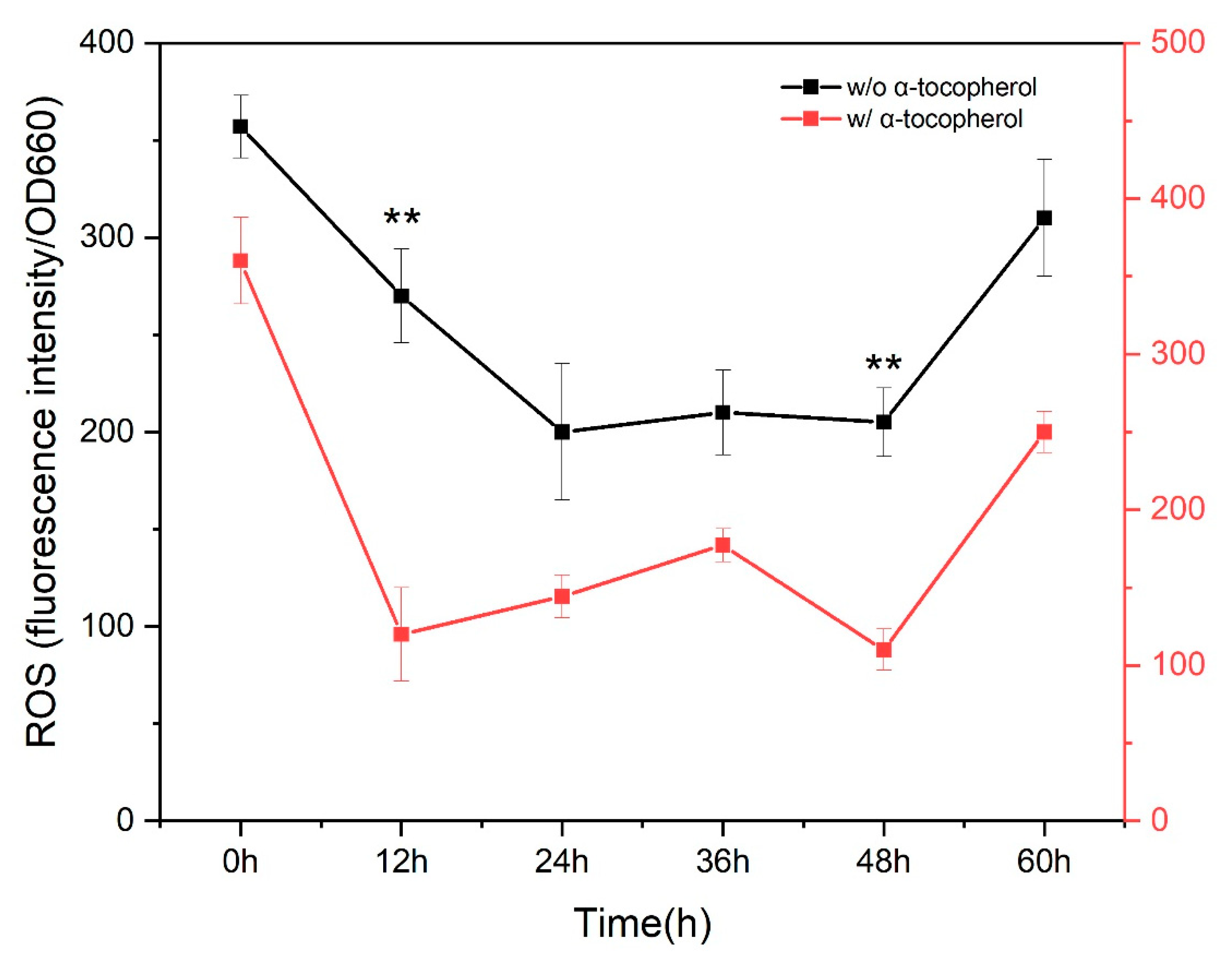
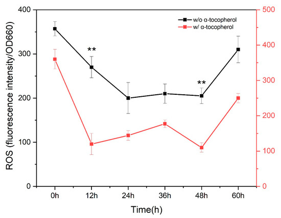
3.2. Effect of Alpha-Tocopherol on Intracellular ROS Level and T-AOC
3.3. Transcriptional Regulation of Metabolism
3.4. Transcriptional Regulation of Antioxidative Pathways
4. Conclusions
Supplementary Materials
Author Contributions
Funding
Institutional Review Board Statement
Informed Consent Statement
Data Availability Statement
Conflicts of Interest
References
- Naziri, E.; Mantzouridou, F.; Tsimidou, M.Z. Squalene resources and uses point to the potential of biotechnology. Lipid Technol. 2011, 23, 270–273. [Google Scholar] [CrossRef]
- Kohno, Y.; Egawa, Y.; Itoh, S.; Nagaoka, S.-I.; Takahashi, M.; Mukai, K. Kinetic study of quenching reaction of singlet oxygen and scavenging reaction of free radical by squalene in n-butanol. Biochim. Biophys. Acta (BBA)-Lipids Lipid Metab. 1995, 1256, 52–56. [Google Scholar] [CrossRef]
- Rao, C.V.; Newmark, H.L.; Reddy, B.S. Chemopreventive effect of squalene on colon cancer. Carcinogenesis 1998, 19, 287–290. [Google Scholar] [CrossRef] [PubMed]
- Bindu, S.C.B.; Mishra, D.P.; Narayan, B. Inhibition of virulence of Staphylococcus aureus—A food borne pathogen—By squalene, a functional lipid. J. Funct. Foods 2015, 18, 224–234. [Google Scholar] [CrossRef]
- Paramasivan, K.; Rajagopal, K.; Mutturi, S. Studies on Squalene Biosynthesis and the Standardization of Its Extraction Methodology from Saccharomyces cerevisiae. Appl. Biochem. Biotechnol. 2019, 187, 691–707. [Google Scholar] [CrossRef]
- Ghimire, G.P.; Thuan, N.H.; Koirala, N.; Sohng, J.K. Advances in biochemistry and microbial production of squalene and its derivatives. J. Microbiol. Biotechnol. 2016, 26, 441–451. [Google Scholar] [CrossRef]
- Kelly, G.S. Squalene and its potential clinical uses. Altern. Med. Rev. 1999, 4, 29–36. [Google Scholar] [PubMed]
- Aasen, I.M.; Ertesvåg, H.; Heggeset, T.M.B.; Liu, B.; Brautaset, T.; Vadstein, O.; Ellingsen, T.E. Thraustochytrids as production organisms for docosahexaenoic acid (DHA), squalene, and carotenoids. Appl. Microbiol. Biotechnol. 2016, 100, 4309–4321. [Google Scholar] [CrossRef]
- Spanova, M.; Daum, G. Squalene—Biochemistry, molecular biology, process biotechnology, and applications. Eur. J. Lipid Sci. Technol. 2011, 113, 1299–1320. [Google Scholar] [CrossRef]
- Fagundes, M.B.; Vendruscolo, R.G.; Maroneze, M.M.; Barin, J.S.; de Menezes, C.R.; Zepka, L.Q.; Jacob-Lopes, E.; Wagner, R. Towards a Sustainable Route for the Production of Squalene Using Cyanobacteria. Waste Biomass Valorization 2019, 10, 1295–1302. [Google Scholar] [CrossRef]
- Fan, K.W.; Aki, T.; Chen, F.; Jiang, Y. Enhanced production of squalene in the thraustochytrid Aurantiochytrium mangrovei by medium optimization and treatment with terbinafine. World J. Microbiol. Biotechnol. 2010, 26, 1303–1309. [Google Scholar] [CrossRef]
- Chen, G.; Fan, K.W.; Lu, F.P.; Li, Q.; Aki, T.; Chen, F.; Jiang, Y. Optimization of nitrogen source for enhanced production of squalene from thraustochytrid Aurantiochytrium sp. New Biotechnol. 2010, 27, 382–389. [Google Scholar] [CrossRef]
- Nakazawa, A.; Matsuura, H.; Kose, R.; Kato, S.; Honda, D.; Inouye, I.; Kaya, K.; Watanabe, M.M. Optimization of culture conditions of the thraustochytrid Aurantiochytrium sp. strain 18W-13a for squalene production. Bioresour. Technol. 2012, 109, 287–291. [Google Scholar] [CrossRef]
- Zhang, A.; Xie, Y.; He, Y.; Wang, W.; Sen, B.; Wang, G. Bio-based squalene production by Aurantiochytrium sp. through optimization of culture conditions, and elucidation of the putative biosynthetic pathway genes. Bioresour. Technol. 2019, 287, 121415. [Google Scholar] [CrossRef]
- Lan Anh, H.; Ha, N.C.; Thom, L.T.; Hong, D. Optimization of culture conditions and squalene enrichment from heterotrophic marine microalga Schizochytrium mangrovei PQ6 for squalene production. Res. J. Biotechnol. 2016, 11, 81–91. [Google Scholar]
- Zhang, A.; He, Y.; Sen, B.; Wang, W.; Wang, X.; Wang, G. Optimal NaCl Medium Enhances Squalene Accumulation in Thraustochytrium sp. ATCC 26185 and Influences the Expression Levels of Key Metabolic Genes. Front. Microbiol. 2022, 13, 900252. [Google Scholar] [CrossRef] [PubMed]
- Ali, M.K.; Sen, B.; He, Y.; Bai, M.; Wang, G. Media Supplementation with Mannitol and Biotin Enhances Squalene Production of Thraustochytrium ATCC 26185 through Increased Glucose Uptake and Antioxidative Mechanisms. Molecules 2022, 27, 2449. [Google Scholar] [CrossRef] [PubMed]
- Ren, L.; Sun, X.; Ji, X.; Chen, S.; Guo, D.; Huang, H. Enhancement of Docosahexaenoic Acid Synthesis by Manipulation of Antioxidant Capacity and Prevention of Oxidative Damage in Schizochytrium sp. Bioresour. Technol. 2017, 223, 141–148. [Google Scholar] [CrossRef]
- Dinkova-Kostova, A.T.; Talalay, P. Direct and indirect antioxidant properties of inducers of cytoprotective proteins. Mol. Nutr. Food Res. 2008, 52 (Suppl. S1), S128–S138. [Google Scholar] [CrossRef]
- Gaffney, M.; O’Rourke, R.; Murphy, R. Manipulation of fatty acid and antioxidant profiles of the microalgae Schizochytrium sp. through flaxseed oil supplementation. Algal Res. 2014, 6, 195–200. [Google Scholar] [CrossRef]
- Kaliyamoorthy, K.; Sunil, K.; Rajendran, N.; Kandasamy, K. Antioxidant activity of mangrove-derived marine thraustochytrids. Mycosphere 2015, 6, 602–611. [Google Scholar] [CrossRef]
- Liu, B.; Liu, J.; Sun, P.; Ma, X.; Jiang, Y.; Chen, F. Sesamol Enhances Cell Growth and the Biosynthesis and Accumulation of Docosahexaenoic Acid in the Microalga Crypthecodinium cohnii. J. Agric. Food. Chem. 2015, 63, 5640–5645. [Google Scholar] [CrossRef]
- Li, H.-B.; Cheng, K.-W.; Wong, C.-C.; Fan, K.-W.; Chen, F.; Jiang, Y. Evaluation of antioxidant capacity and total phenolic content of different fractions of selected microalgae. Food Chem. 2007, 102, 771–776. [Google Scholar] [CrossRef]
- Ruenwai, R.; Neiss, A.; Laoteng, K.; Vongsangnak, W.; Dalfard, A.B.; Cheevadhanarak, S.; Petranovic, D.; Nielsen, J. Heterologous Production of Polyunsaturated Fatty Acids in Saccharomyces cerevisiae Causes a Global Transcriptional Response Resulting in Reduced Proteasomal Activity and Increased Oxidative Stress. Biotechnol. J. 2011, 6, 343–356. [Google Scholar] [CrossRef] [PubMed]
- Meng, Y.; Shao, X.; Wang, Y.; Li, Y.; Zheng, X.; Wei, G.; Kim, S.-W.; Wang, C. Extension of cell membrane boosting squalene production in the engineered Escherichia coli. Biotechnol. Bioeng. 2020, 117, 3499–3507. [Google Scholar] [CrossRef]
- Cui, N.; Xiao, J.; Feng, Y.; Zhao, Y.; Yu, X.; Xu, J.-W.; Li, T.; Zhao, P. Antioxidants enhance lipid productivity in Heveochlorella sp. Yu. Algal Res. 2021, 55, 102235. [Google Scholar] [CrossRef]
- Zhang, S.; He, Y.; Sen, B.; Wang, G. Reactive oxygen species and their applications toward enhanced lipid accumulation in oleaginous microorganisms. Bioresour. Technol. 2020, 307, 123234. [Google Scholar] [CrossRef]
- Sui, X.; Niu, X.; Shi, M.; Pei, G.; Li, J.; Chen, L.; Wang, J.; Zhang, W. Metabolomic analysis reveals mechanism of antioxidant butylated hydroxyanisole on lipid accumulation in Crypthecodinium cohnii. J. Agric. Food. Chem. 2014, 62, 12477–12484. [Google Scholar] [CrossRef] [PubMed]
- Zhang, S.; He, Y.; Sen, B.; Chen, X.; Xie, Y.; Keasling, J.D.; Wang, G. Alleviation of reactive oxygen species enhances PUFA accumulation in Schizochytrium sp. through regulating genes involved in lipid metabolism. Metab. Eng. Commun. 2018, 6, 39–48. [Google Scholar] [CrossRef] [PubMed]
- Zhang, S.; Chen, X.; Sen, B.; Bai, M.; He, Y.; Wang, G. Exogenous Antioxidants Improve the Accumulation of Saturated and Polyunsaturated Fatty Acids in Schizochytrium sp. PKU#Mn4. Mar. Drugs 2021, 19, 559. [Google Scholar] [CrossRef]
- Benzie, I.F.F.; Strain, J.J. The Ferric Reducing Ability of Plasma (FRAP) as a Measure of “Antioxidant Power”: The FRAP Assay. Anal. Biochem. 1996, 239, 70–76. [Google Scholar] [CrossRef]
- Ruangsomboon, S.; Sornchai, P.; Prachom, N. Enhanced hydrocarbon production and improved biodiesel qualities of Botryococcus braunii KMITL 5 by vitamins thiamine, biotin and cobalamin supplementation. Algal Res. 2018, 29, 159–169. [Google Scholar] [CrossRef]
- Hoang, M.H.; Ha, N.C.; Thom le, T.; Tam, L.T.; Anh, H.T.; Thu, N.T.; Hong, D.D. Extraction of squalene as value-added product from the residual biomass of Schizochytrium mangrovei PQ6 during biodiesel producing process. J. Biosci. Bioeng. 2014, 118, 632–639. [Google Scholar] [CrossRef]
- Martin, M. Cutadapt removes adapter sequences from high-throughput sequencing reads. EMBnet. J. 2011, 17, 10–12. [Google Scholar] [CrossRef]
- Grabherr, M.G.; Haas, B.J.; Yassour, M.; Levin, J.Z.; Thompson, D.A.; Amit, I.; Adiconis, X.; Fan, L.; Raychowdhury, R.; Zeng, Q.; et al. Full-length transcriptome assembly from RNA-Seq data without a reference genome. Nat. Biotechnol. 2011, 29, 644–652. [Google Scholar] [CrossRef]
- Buchfink, B.; Xie, C.; Huson, D.H. Fast and sensitive protein alignment using DIAMOND. Nat. Methods 2015, 12, 59–60. [Google Scholar] [CrossRef] [PubMed]
- Patro, R.; Duggal, G.; Love, M.I.; Irizarry, R.A.; Kingsford, C. Salmon provides fast and bias-aware quantification of transcript expression. Nat. Methods 2017, 14, 417–419. [Google Scholar] [CrossRef]
- Mortazavi, A.; Williams, B.A.; McCue, K.; Schaeffer, L.; Wold, B. Mapping and quantifying mammalian transcriptomes by RNA-Seq. Nat. Methods 2008, 5, 621–628. [Google Scholar] [CrossRef] [PubMed]
- Robinson, M.D.; McCarthy, D.J.; Smyth, G.K. edgeR: A Bioconductor package for differential expression analysis of digital gene expression data. Bioinformatics 2010, 26, 139–140. [Google Scholar] [CrossRef] [PubMed]
- Livak, K.J.; Schmittgen, T.D. Analysis of Relative Gene Expression Data Using Real-Time Quantitative PCR and the 2−ΔΔCT Method. Methods 2001, 25, 402–408. [Google Scholar] [CrossRef]
- Gupta, A.; Singh, D.; Barrow, C.J.; Puri, M. Exploring potential use of Australian thraustochytrids for the bioconversion of glycerol to omega-3 and carotenoids production. Biochem. Eng. J. 2013, 78, 11–17. [Google Scholar] [CrossRef]
- Sun, X.M.; Ren, L.J.; Ji, X.J.; Chen, S.L.; Guo, D.S.; Huang, H. Adaptive evolution of Schizochytrium sp. by continuous high oxygen stimulations to enhance docosahexaenoic acid synthesis. Bioresour. Technol. 2016, 211, 374–381. [Google Scholar] [CrossRef]
- Halliwell, B. Biochemistry of oxidative stress. Biochem. Soc. Trans. 2007, 35, 1147–1150. [Google Scholar] [CrossRef] [PubMed]
- Ying, D.; Sanguansri, L.; Weerakkody, R.; Singh, T.K.; Leischtfeld, S.F.; Gantenbein-Demarchi, C.; Augustin, M.A. Tocopherol and ascorbate have contrasting effects on the viability of microencapsulated Lactobacillus rhamnosus GG. J Agric. Food Chem. 2011, 59, 10556–10563. [Google Scholar] [CrossRef]
- Hartmann, M.S.; Mousavi, S.; Bereswill, S.; Heimesaat, M.M. Vitamin E as promising adjunct treatment option in the combat of infectious diseases caused by bacterial including multi-drug resistant pathogens—Results from a comprehensive literature survey. Eur. J. Microbiol. Immunol. 2020, 10, 193–201. [Google Scholar] [CrossRef]
- Verduyn, C.; Postma, E.; Scheffers, W.A.; Van Dijken, J.P. Energetics of Saccharomyces Cerevisiae in Anaerobic Glucose-Limited Chemostat Cultures. Microbiology 1990, 136, 405–412. [Google Scholar] [CrossRef]
- Xu, W.; Yao, J.; Liu, L.; Ma, X.; Li, W.; Sun, X.; Wang, Y. Improving squalene production by enhancing the NADPH/NADP+ ratio, modifying the isoprenoid-feeding module and blocking the menaquinone pathway in Escherichia coli. Biotechnol. Biofuels 2019, 12, 68. [Google Scholar] [CrossRef]
- Patra, K.C.; Hay, N. The pentose phosphate pathway and cancer. Trends Biochem. Sci. 2014, 39, 347–354. [Google Scholar] [CrossRef] [PubMed]
- Paramasivan, K.; Mutturi, S. Regeneration of NADPH Coupled with HMG-CoA Reductase Activity Increases Squalene Synthesis in Saccharomyces cerevisiae. J. Agric. Food. Chem. 2017, 65, 8162–8170. [Google Scholar] [CrossRef] [PubMed]
- Li, Z.; Ling, X.; Zhou, H.; Meng, T.; Zeng, J.; Hang, W.; Shi, Y.; He, N. Screening chemical modulators of benzoic acid derivatives to improve lipid accumulation in Schizochytrium limacinum SR21 with metabolomics analysis. Biotechnol. Biofuels 2019, 12, 209. [Google Scholar] [CrossRef]
- Wei, M.; Ge, Y.; Li, C.; Han, X.; Qin, S.; Chen, Y.; Tang, Q.; Li, J. G6PDH regulated NADPH production and reactive oxygen species metabolism to enhance disease resistance against blue mold in apple fruit by acibenzolar-S-methyl. Postharvest Biol. Technol. 2019, 148, 228–235. [Google Scholar] [CrossRef]
- Guertin, D.A.; Wellen, K.E. Acetyl-CoA metabolism in cancer. Nat. Rev. Cancer 2023, 23, 156–172. [Google Scholar] [CrossRef] [PubMed]
- Lv, X.; Xie, W.; Lu, W.; Guo, F.; Gu, J.; Yu, H.; Ye, L. Enhanced isoprene biosynthesis in Saccharomyces cerevisiae by engineering of the native acetyl-CoA and mevalonic acid pathways with a push-pull-restrain strategy. J. Biotechnol. 2014, 186, 128–136. [Google Scholar] [CrossRef] [PubMed]



| Gene | Accession Number | Primer | Tm | Reference |
|---|---|---|---|---|
| Glucose 6-phosphate dehydrogenase | EC:1.1.1.44 | F 5′GCTATGCCGTCTCCGTCTT′3 R 3′ACCTCTGTAGTTCCTCCTGCTA′5 | 55° | This study |
| Glucose 6-phosphate isomerase | EC:5.3.1.1 | F 5′CCATCACggACATCATCAACAT’3 R 3′TGAAGGTCTTGGAGGCGATTA′5 | 55° | This study |
| Squalene synthase | EC:2.5.1.21 | F 5′ACGGCACAGATGACGCTAA′3 R 3′TCAACAAGGTCCTCAAGGTAGT′5 | 59° | This study |
| Supplement Name | Supplement Concentration | Biomass (g/L) | Squalene (mg/L) | Yield (mg/g) |
|---|---|---|---|---|
| Water | 7.64 ± 0.32 | 139.05 ± 1.03 | 18.21 ± 0.67 | |
| DMSO | 6.54 ± 0.29 | 129.79 ± 10.52 | 19.82 ± 1.26 | |
| alpha-tocopherol (g/L) | 0.50 | 7.02 ± 0.50 | 159.8 ± 1.80 * | 22.83 ± 1.50 |
| 0.60 | 6.57 ± 0.61 | 163.21 ± 1.50 * | 24.96 ± 2.38 * | |
| 0.70 | 6.29 ± 0.60 | 170.36 ± 1.70 ** | 27.22 ± 2.84 * | |
| 0.80 | 7.04 ± 0.14 | 163.43 ± 1.41 * | 23.21 ± 0.33 * | |
| Mannitol (g/L) | 0.50 | 7.16 ± 0.40 | 140.21 ± 2.41 | 19.6 ± 0.77 |
| 1.0 | 7.22 ± 0.24 | 142.93 ± 2.04 * | 19.81 ± 0.56 * | |
| 1.5 | 7.72 ± 0.28 | 140.89 ± 2.60 | 18.26 ± 0.96 | |
| Melatonin (mg/L) | 0.25 | 8.08 ± 0.62 * | 140.8 ± 0.64 | 17.47 ± 1.27 |
| 0.30 | 8.19 ± 0.30 ** | 143.02 ± 0.77 | 17.46 ± 0.64 * | |
| 0.35 | 7.19 ± 0.43 | 136.55 ± 1.57 | 19.02 ± 0.94 | |
| Sesamol (mg/L) | 70.0 | 8.18 ± 0.44 | 139.07 ± 1.55 | 17.11 ± 1.76 |
| 87.5 | 7.95 ± 0.15 ** | 78.61 ± 1.69 ** | 9.88 ± 0.16 ** | |
| 105.0 | 7.86 ± 0.15 ** | 79.14 ± 1.12 ** | 10.06 ± 0.05 ** | |
| Ascorbic acid (g/L) | 3.0 | 8.091 ± 0.54 | 139.03 ± 0.93 | 17.27 ± 1.49 |
| 6.0 | 7.61 ± 0.02 | 130.28 ± 1.82 ** | 17.1 ± 0.21 ** | |
| 9.0 | 6.61 ± 0.03 ** | 99.75 ± 1.95 ** | 15.08 ± 0.26 * | |
| Biotin (mg/L) | 0.01 | 8.47 ± 0.41 ** | 140.93 ± 0.69 | 16.66 ± 0.74 * |
| 0.05 | 8.54 ± 0.61 * | 145.08 ± 1.60 | 17.02 ± 1.06 * | |
| 0.10 | 8.14 ± 0.09 ** | 141.19 ± 0.72 | 17.34 ± 0.20 * |
| Number | Ratio (%) | |
|---|---|---|
| Total DEGs | 31441 | 100 |
| Up-regulated DEGs (FDR ≤ 0.05) | 3557 | 11.32 |
| Down-regulated DEGS (FDR ≤ 0.05) | 1001 | 4.2 |
| GO annotated | 11805 | 37.55 |
| KEGG annotated | 6249 | 19.88 |
| Pfam annotated | 10951 | 34.83 |
| SwissProt annotated | 11106 | 35.32 |
| Eggnog | 13071 | 41.57 |
| NR annotated | 8518 | 27.09 |
| Pathway | Annotation Platform | Enzyme | Gene/Transcript ID | Log2FC |
|---|---|---|---|---|
| Mevalonate | EC:2.3.3.10 | Hydroxymethylglutaryl-CoA synthase | TRINITY_DN14298_c2_g8 | 8.65 |
| EC:1.1.1.34 | 3-hydroxy-3-methylglutaryl-CoA reductase | TRINITY_DN14778_c4_g8 | 4.43 | |
| EC:1.14.13.70 | Sterol 14-demethylase | TRINITY_DN15500_c0_g10 | −1.16 | |
| EC:2.5.1.21 | Squalene synthase | TRINITY_DN17295_c0_g5 | 4.70 | |
| Galactose | EC:2.7.7.23/83 | UTP-glucose-1-phosphate uridylyltransferase | TRINITY_DN15135_c0_g3 | 6.08 |
| GO:000382 | Galactosidase | TRINITY_DN16025_c0_g4 | 7.83 | |
| EC:5.1.3.2 | UDP-glucose 4-epimerase | TRINITY_DN17242_c0_g2 | 10.23 | |
| EC:3.2.1.20 | Maltase-glucoamylase | TRINITY_DN12554_c0_g1 | 8.07 | |
| Glycolysis/Gluconeogenesis | EC:1.1.1.2 | Alcohol dehydrogenase | TRINITY_DN14468_c0_g1 | 9.96 |
| Glycolysis | EC:2.7.1.11 | 6-phosphofructokinase/Hexokinase | TRINITY_DN14626_c1_g7 | 3.58 |
| EC:6.4.1.1 | Acetyl-CoA carboxylase | TRINITY_DN15131_c0_g1 | 1.29 | |
| EC:5.3.1.1 | Triosephosphate isomerase | TRINITY_DN16634_c0_g3 | 3.37 | |
| EC:2.7.2.3 | Phosphoglycerate kinase | TRINITY_DN16564_c0_g11 | 2.48 | |
| EC:5.3.1.9 | Glucose-6-phosphate isomerase 2 | TRINITY_DN3634_c0_g1 | 3.03 | |
| EC:6.4.1.1 | Pyruvate carboxylase | TRINITY_DN15131_c0_g1 | 1.29 | |
| EC:4.2.1.11 | Enolase | TRINITY_DN12930_c0_g1 | 1.97 | |
| TCA cycle | EC:2.3.3.1 | Citrate synthase | TRINITY_DN14908_c0_g11 | 4.12 |
| EC:4.2.1.3 | Aconitate hydratase | TRINITY_DN15062_c1_g11 | 4.37 | |
| EC:1.1.1.37 | Malate dehydrogenase | TRINITY_DN15862_c1_g9 | 3.27 | |
| EC:1.1.1.41 | Isocitrate dehydrogenase | TRINITY_DN401_c0_g1 | 4.40 | |
| EC:6.2.1.4/5 | Succinyl-CoA synthetase | TRINITY_DN15910_c1_g2 | 6.04 | |
| GO:0000104 | Succinate dehydrogenase | TRINITY_DN15910_c1_g1 | 4.21 | |
| EC:4.2.1.2 | Fumarase | TRINITY_DN9827_c0_g1 | 4.45 | |
| Pentose phosphate (PPP) | EC:2.2.1.2 | Transaldolase | TRINITY_DN10039_c0_g1 | 4.14 |
| EC:2.2.1.1 | Transketolase | TRINITY_DN14437_c0_g5 | 3.68 | |
| PPP/Fructose-mannose | EC:3.1.3.11 | Fructose-1,6-bisphosphatase | TRINITY_DN16377_c0_g4 | 9.24 |
| EC:2.7.1.11 | 6-Phosphofructokinase | TRINITY_DN16557_c1_g1 | 3.70 | |
| EC:1.1.1.44/343 | 6-Phosphogluconate dehydrogenase | TRINITY_DN9634_c0_g2 | 3.91 | |
| EC:3.1.1.31 | 6-Phosphogluconolactonase | TRINITY_DN18000_c0_g1 | 3.54 | |
| Antioxidative system | EC:1.11.1.6 | Catalase | TRINITY_DN13811_c0_g1 | 1.09 |
| EC:6.3.2.3 | Glutathione synthase | TRINITY_DN15025_c0_g14 | 6.18 | |
| EC:1.11.1.9 | Glutathione peroxidase | TRINITY_DN15473_c0_g19 | 4.09 | |
| EC:6.3.2.3 | Glutathione synthetase | TRINITY_DN16162_c1_g8 | 5.92 | |
| EC:1.15.1.1 | Superoxide dismutase | TRINITY_DN18100_c0_g1 | 3.38 | |
| Fructose-mannose | EC:5.3.1.8 | Mannose-6-phosphate isomerase | RINITY_DN14626_c1_g1 | 6.70 |
| EC:4.2.1.47 | GDP-mannose 4,6-dehydratase | TRINITY_DN14934_c1_g13 | 6.77 | |
| EC:5.4.2.8 | Phosphomannomutase | TRINITY_DN17527_c1_g5 | 6.27 | |
| EC:1.1.1.271 | GDP-L-fucose synthase | TRINITY_DN5650_c0_g1 | 6.15 |
Disclaimer/Publisher’s Note: The statements, opinions and data contained in all publications are solely those of the individual author(s) and contributor(s) and not of MDPI and/or the editor(s). MDPI and/or the editor(s) disclaim responsibility for any injury to people or property resulting from any ideas, methods, instructions or products referred to in the content. |
© 2023 by the authors. Licensee MDPI, Basel, Switzerland. This article is an open access article distributed under the terms and conditions of the Creative Commons Attribution (CC BY) license (https://creativecommons.org/licenses/by/4.0/).
Share and Cite
Ali, M.K.; Liu, X.; Li, J.; Zhu, X.; Sen, B.; Wang, G. Alpha-Tocopherol Significantly Improved Squalene Production Yield of Aurantiochytrium sp. TWZ-97 through Lowering ROS levels and Up-Regulating Key Genes of Central Carbon Metabolism Pathways. Antioxidants 2023, 12, 1034. https://doi.org/10.3390/antiox12051034
Ali MK, Liu X, Li J, Zhu X, Sen B, Wang G. Alpha-Tocopherol Significantly Improved Squalene Production Yield of Aurantiochytrium sp. TWZ-97 through Lowering ROS levels and Up-Regulating Key Genes of Central Carbon Metabolism Pathways. Antioxidants. 2023; 12(5):1034. https://doi.org/10.3390/antiox12051034
Chicago/Turabian StyleAli, Memon Kashif, Xiuping Liu, Jiaqian Li, Xingyu Zhu, Biswarup Sen, and Guangyi Wang. 2023. "Alpha-Tocopherol Significantly Improved Squalene Production Yield of Aurantiochytrium sp. TWZ-97 through Lowering ROS levels and Up-Regulating Key Genes of Central Carbon Metabolism Pathways" Antioxidants 12, no. 5: 1034. https://doi.org/10.3390/antiox12051034
APA StyleAli, M. K., Liu, X., Li, J., Zhu, X., Sen, B., & Wang, G. (2023). Alpha-Tocopherol Significantly Improved Squalene Production Yield of Aurantiochytrium sp. TWZ-97 through Lowering ROS levels and Up-Regulating Key Genes of Central Carbon Metabolism Pathways. Antioxidants, 12(5), 1034. https://doi.org/10.3390/antiox12051034

