Synthesis and Biological Evaluation of O6-Aminoalkyl-Hispidol Analogs as Multifunctional Monoamine Oxidase-B Inhibitors towards Management of Neurodegenerative Diseases
Abstract
1. Introduction
2. Materials and Methods
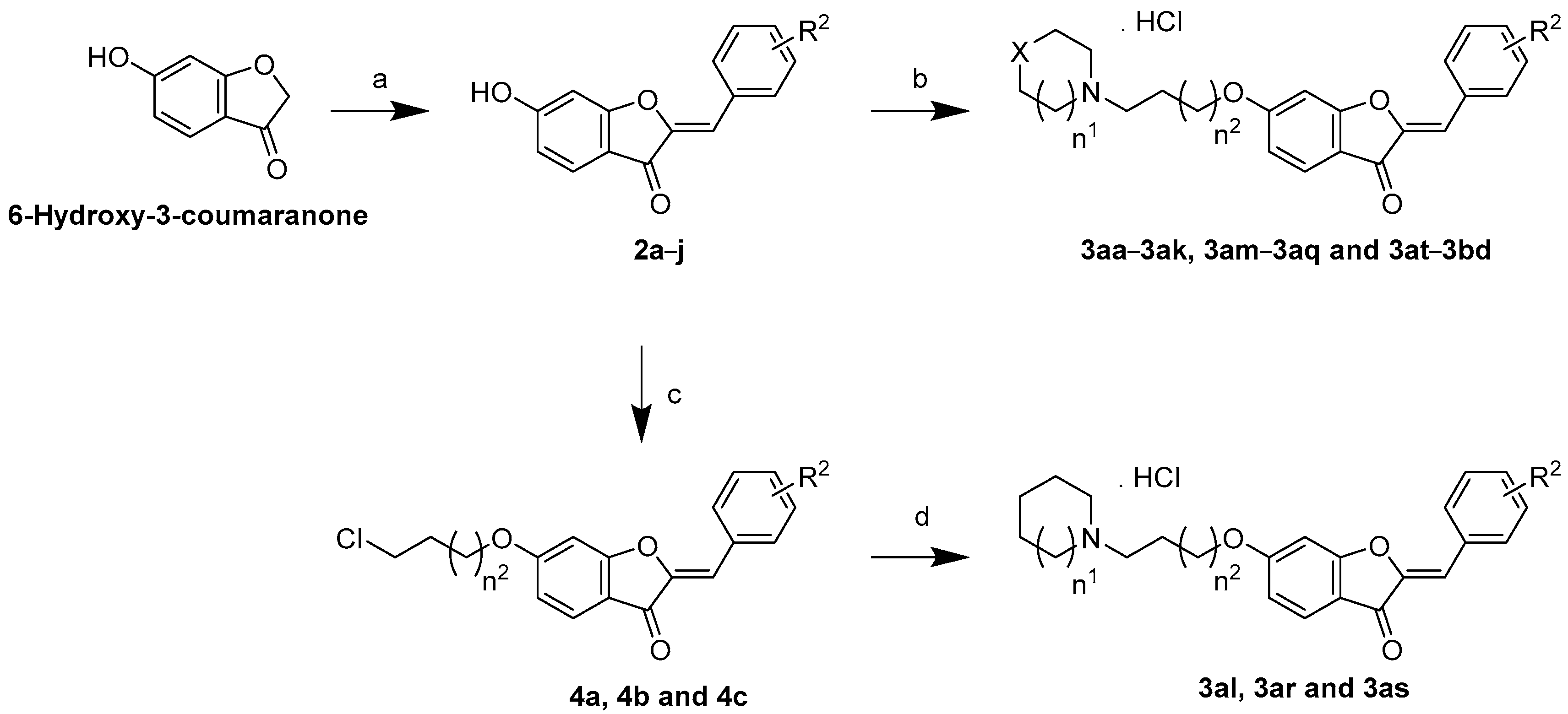
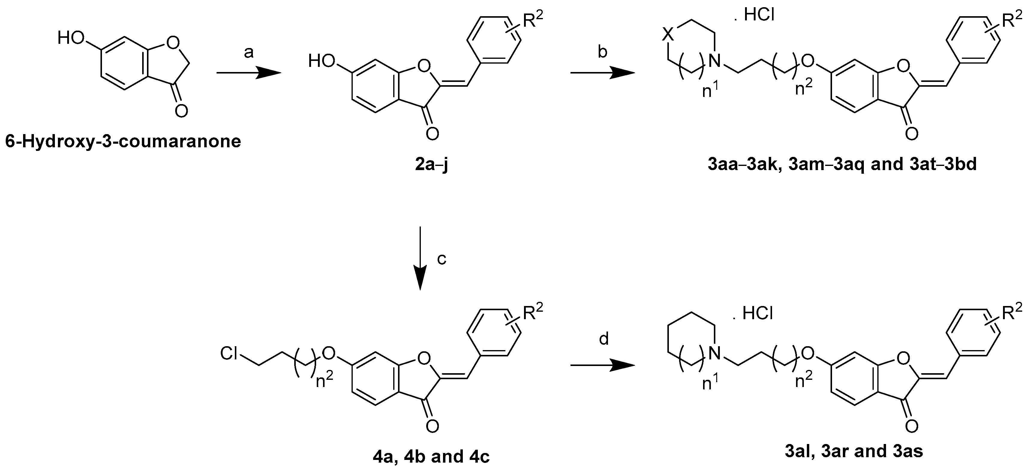
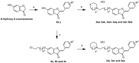
2.1. Chemical Synthesis
2.2. Monoamine Oxidases Inhibition Assay
2.3. Acetylcholinesterase Inhibition Assay
2.4. Cellular Viability and Inhibition of PGE2 Production Assays
2.5. In Vivo Evaluations
2.6. Statistical Analysis
2.7. Molecular Modeling Studies
3. Results and Discussion
3.1. Design of Focused O6-Aminoalkyl Derivatives of Hispidol Analogs Library
3.2. Synthesis of Targeted Library Members
3.3. InVitro Biological Evaluations
3.3.1. Evaluation of Inhibition of Different Monoamine Oxidase Isoforms
Evaluation of MAO-A Inhibitory Activity
Structure-Activity Relationship of MAO-B Inhibitory Activity
Evaluation of IC50 and MAO-B Selectivity
3.3.2. Evaluation of Acetylcholinesterase Inhibitory Activity
3.3.3. Evaluation of Anti-Neuroinflammatory Activity
3.4. In Vivo Evaluation of Cognitive Deficit Amelioration
3.5. In Vivo Evaluation of Antidepressant Activity
3.6. In Silico Simulation Study
4. Conclusions
Supplementary Materials
Author Contributions
Funding
Institutional Review Board Statement
Informed Consent Statement
Data Availability Statement
Conflicts of Interest
References
- Farag, A.K.; Hassan, A.H.E.; Jeong, H.; Kwon, Y.; Choi, J.G.; Oh, M.S.; Park, K.D.; Kim, Y.K.; Roh, E.J. First-in-class DAPK1/CSF1R dual inhibitors: Discovery of 3,5-dimethoxy-N-(4-(4-methoxyphenoxy)-2-((6-morpholinopyridin-3-yl)amino)pyrimidin-5-yl)benzamide as a potential anti-tauopathies agent. Eur. J. Med. Chem. 2019, 162, 161–175. [Google Scholar] [CrossRef] [PubMed]
- Feigin, V.L.; Vos, T.; Nichols, E.; Owolabi, M.O.; Carroll, W.M.; Dichgans, M.; Deuschl, G.; Parmar, P.; Brainin, M.; Murray, C. The global burden of neurological disorders: Translating evidence into policy. Lancet Neurol. 2020, 19, 255–265. [Google Scholar] [CrossRef] [PubMed]
- Naoi, M.; Maruyama, W.; Inaba-Hasegawa, K. Type A and B monoamine oxidase in age-related neurodegenerative disorders: Their distinct roles in neuronal death and survival. Curr. Top. Med. Chem. 2012, 12, 2177–2188. [Google Scholar] [CrossRef] [PubMed]
- Behl, T.; Kaur, D.; Sehgal, A.; Singh, S.; Sharma, N.; Zengin, G.; Andronie-Cioara, F.L.; Toma, M.M.; Bungau, S.; Bumbu, A.G. Role of Monoamine Oxidase Activity in Alzheimer’s Disease: An Insight into the Therapeutic Potential of Inhibitors. Molecules 2021, 26, 3724. [Google Scholar] [CrossRef]
- Naoi, M.; Maruyama, W.; Inaba-Hasegawa, K.; Akao, Y. Type A monoamine oxidase regulates life and death of neurons in neurodegeneration and neuroprotection. In International Review of Neurobiology; Youdim, M.B.H., Douce, P., Eds.; Academic Press: Cambridge, MA, USA, 2011; Volume 100, pp. 85–106. [Google Scholar] [CrossRef]
- Elkamhawy, A.; Paik, S.; Park, J.-H.; Kim, H.J.; Hassan, A.H.E.; Lee, K.; Park, K.D.; Roh, E.J. Discovery of novel and potent safinamide-based derivatives as highly selective hMAO-B inhibitors for treatment of Parkinson’s disease (PD): Design, synthesis, in vitro, in vivo and in silico biological studies. Bioorg. Chem. 2021, 115, 105233. [Google Scholar] [CrossRef] [PubMed]
- Quartey, M.O.; Nyarko, J.N.K.; Pennington, P.R.; Heistad, R.M.; Klassen, P.C.; Baker, G.B.; Mousseau, D.D. Alzheimer Disease and Selected Risk Factors Disrupt a Co-regulation of Monoamine Oxidase-A/B in the Hippocampus, but Not in the Cortex. Front. Neurosci. 2018, 12, 419. [Google Scholar] [CrossRef] [PubMed]
- Park, J.-H.; Ju, Y.H.; Choi, J.W.; Song, H.J.; Jang, B.K.; Woo, J.; Chun, H.; Kim, H.J.; Shin, S.J.; Yarishkin, O.; et al. Newly developed reversible MAO-B inhibitor circumvents the shortcomings of irreversible inhibitors in Alzheimer’s disease. Sci. Adv. 2019, 5, eaav0316. [Google Scholar] [CrossRef]
- Holzgrabe, U.; Kapková, P.; Alptüzün, V.; Scheiber, J.; Kugelmann, E. Targeting acetylcholinesterase to treat neurodegeneration. Expert Opin. Ther. Targets 2007, 11, 161–179. [Google Scholar] [CrossRef]
- Renard, P.Y.; Jean, L. Probing the cholinergic system to understand neurodegenerative diseases. Future Med. Chem. 2017, 9, 131–133. [Google Scholar] [CrossRef]
- Dezsi, L.; Vecsei, L. Monoamine Oxidase B Inhibitors in Parkinson’s Disease. CNS Neurol. Disord. Drug Targets 2017, 16, 425–439. [Google Scholar] [CrossRef]
- Foley, P.; Gerlach, M.; Youdim, M.B.; Riederer, P. MAO-B inhibitors: Multiple roles in the therapy of neurodegenerative disorders? Park. Relat. Disord. 2000, 6, 25–47. [Google Scholar] [CrossRef]
- Cai, Z. Monoamine oxidase inhibitors: Promising therapeutic agents for Alzheimer’s disease (Review). Mol. Med. Rep. 2014, 9, 1533–1541. [Google Scholar] [CrossRef] [PubMed]
- Schedin-Weiss, S.; Inoue, M.; Hromadkova, L.; Teranishi, Y.; Yamamoto, N.G.; Wiehager, B.; Bogdanovic, N.; Winblad, B.; Sandebring-Matton, A.; Frykman, S.; et al. Monoamine oxidase B is elevated in Alzheimer disease neurons, is associated with γ-secretase and regulates neuronal amyloid β-peptide levels. Alzheimers Res. Ther. 2017, 9, 57. [Google Scholar] [CrossRef] [PubMed]
- Pagano, G.; Rengo, G.; Pasqualetti, G.; Femminella, G.D.; Monzani, F.; Ferrara, N.; Tagliati, M. Cholinesterase inhibitors for Parkinson’s disease: A systematic review and meta-analysis. J. Neurol. Neurosurg. Psychiatry 2015, 86, 767–773. [Google Scholar] [CrossRef] [PubMed]
- Dorothée, G. Neuroinflammation in neurodegeneration: Role in pathophysiology, therapeutic opportunities and clinical perspectives. J. Neural. Transm. 2018, 125, 749–750. [Google Scholar] [CrossRef]
- Kim, N.; Yoo, H.-S.; Ju, Y.-J.; Oh, M.S.; Lee, K.-T.; Inn, K.-S.; Kim, N.-J.; Lee, J.K. Synthetic 3′,4′-Dihydroxyflavone Exerts Anti-Neuroinflammatory Effects in BV2 Microglia and a Mouse Model. Biomol. Ther. 2018, 26, 210–217. [Google Scholar] [CrossRef]
- Yan, A.; Liu, Z.; Song, L.; Wang, X.; Zhang, Y.; Wu, N.; Lin, J.; Liu, Y.; Liu, Z. Idebenone Alleviates Neuroinflammation and Modulates Microglial Polarization in LPS-Stimulated BV2 Cells and MPTP-Induced Parkinson’s Disease Mice. Front. Cell Neurosci. 2019, 12, 529. [Google Scholar] [CrossRef]
- Gordon, R.; Woodruff, T.M. Neuroinflammation as a therapeutic target in neurodegenerative diseases. In Disease-Modifying Targets in Neurodegenerative Disorders; Baekelandt, V., Lobbestael, E., Eds.; Academic Press: Cambridge, MA, USA, 2017; pp. 49–80. [Google Scholar] [CrossRef]
- Zou, X.; Gao, S.; Li, J.; Li, C.; Wu, C.; Cao, X.; Xia, S.; Shao, P.; Bao, X.; Yang, H.; et al. A monoamine oxidase B inhibitor ethyl ferulate suppresses microglia-mediated neuroinflammation and alleviates ischemic brain injury. Front. Pharmacol. 2022, 13, 1004215. [Google Scholar] [CrossRef]
- Song, Q.; Yu, G.; Li, W.; Xu, Y.; Cong, S.; Liu, X.; Tan, Z.; Deng, Y. 6-Benzyloxyphthalides as selective and reversible monoamine oxidase B inhibitors with antioxidant and anti-neuroinflammatory activities for Parkinson’s disease treatment. Bioorg. Chem. 2022, 120, 105623. [Google Scholar] [CrossRef]
- Li, L.; Liu, Z.; Jiang, Y.-Y.; Shen, W.-X.; Peng, Y.-P.; Qiu, Y.-H. Acetylcholine suppresses microglial inflammatory response via α7nAChR to protect hippocampal neurons. J. Integr. Neurosci. 2019, 18, 51–56. [Google Scholar] [CrossRef]
- Takata, K.; Kimura, H.; Yanagisawa, D.; Harada, K.; Nishimura, K.; Kitamura, Y.; Shimohama, S.; Tooyama, I. Nicotinic Acetylcholine Receptors and Microglia as Therapeutic and Imaging Targets in Alzheimer’s Disease. Molecules 2022, 27, 2780. [Google Scholar] [CrossRef] [PubMed]
- Xia, Y.; Wu, Q.; Mak, S.; Liu, E.Y.L.; Zheng, B.Z.Y.; Dong, T.T.X.; Pi, R.; Tsim, K.W.K. Regulation of acetylcholinesterase during the lipopolysaccharide-induced inflammatory responses in microglial cells. FASEB J. 2022, 36, e22189. [Google Scholar] [CrossRef] [PubMed]
- Savelieff, M.G.; Nam, G.; Kang, J.; Lee, H.J.; Lee, M.; Lim, M.H. Development of Multifunctional Molecules as Potential Therapeutic Candidates for Alzheimer’s Disease, Parkinson’s Disease, and Amyotrophic Lateral Sclerosis in the Last Decade. Chem. Rev. 2019, 119, 1221–1322. [Google Scholar] [CrossRef]
- Van der Schyf, C.J.; Geldenhuys, W.J.; Youdim, M.B. Multifunctional drugs with different CNS targets for neuropsychiatric disorders. J. Neurochem. 2006, 99, 1033–1048. [Google Scholar] [CrossRef] [PubMed]
- Wong, E.H.; Yocca, F.; Smith, M.A.; Lee, C.M. Challenges and opportunities for drug discovery in psychiatric disorders: The drug hunters’ perspective. Int. J. Neuropsychopharmacol. 2010, 13, 1269–1284. [Google Scholar] [CrossRef]
- Milelli, A.; Turrini, E.; Catanzaro, E.; Maffei, F.; Fimognari, C. Perspectives in Designing Multifunctional Molecules in Antipsychotic Drug Discovery. Drug Dev. Res. 2016, 77, 437–443. [Google Scholar] [CrossRef] [PubMed]
- Riederer, P.; Danielczyk, W.; Grünblatt, E. Monoamine Oxidase-B Inhibition in Alzheimer’s Disease. NeuroToxicology 2004, 25, 271–277. [Google Scholar] [CrossRef]
- Lee, Y.H.; Shin, M.C.; Yun, Y.D.; Shin, S.Y.; Kim, J.M.; Seo, J.M.; Kim, N.J.; Ryu, J.H.; Lee, Y.S. Synthesis of aminoalkyl-substituted aurone derivatives as acetylcholinesterase inhibitors. Bioorg. Med. Chem. 2015, 23, 231–240. [Google Scholar] [CrossRef]
- Hassan, A.H.E.; Phan, T.-N.; Moon, S.; Lee, C.H.; Kim, Y.J.; Cho, S.B.; El-Sayed, S.M.; Choi, Y.; No, J.H.; Lee, Y.S. Design, synthesis, and repurposing of O6-aminoalkyl-sulfuretin analogs towards discovery of potential lead compounds as antileishmanial agents. Eur. J. Med. Chem. 2023, 251, 115256. [Google Scholar] [CrossRef]
- Choi, J.W.; Jang, B.K.; Cho, N.-C.; Park, J.-H.; Yeon, S.K.; Ju, E.J.; Lee, Y.S.; Han, G.; Pae, A.N.; Kim, D.J.; et al. Synthesis of a series of unsaturated ketone derivatives as selective and reversible monoamine oxidase inhibitors. Bioorg. Med. Chem. 2015, 23, 6486–6496. [Google Scholar] [CrossRef]
- Hassan, A.H.E.; Kim, H.J.; Gee, M.S.; Park, J.-H.; Jeon, H.R.; Lee, C.J.; Choi, Y.; Moon, S.; Lee, D.; Lee, J.K.; et al. Positional scanning of natural product hispidol’s ring-B: Discovery of highly selective human monoamine oxidase-B inhibitor analogues downregulating neuroinflammation for management of neurodegenerative diseases. J. Enzym. Inhib. Med. Chem. 2022, 37, 768–780. [Google Scholar] [CrossRef] [PubMed]
- Kim, D.H.; Hung, T.M.; Bae, K.H.; Jung, J.W.; Lee, S.; Yoon, B.H.; Cheong, J.H.; Ko, K.H.; Ryu, J.H. Gomisin A improves scopolamine-induced memory impairment in mice. Eur. J. Pharmacol. 2006, 542, 129–135. [Google Scholar] [CrossRef]
- Ellman, G.L.; Courtney, K.D.; Andres, V.; Featherstone, R.M. A new and rapid colorimetric determination of acetylcholinesterase activity. Biochem. Pharmacol. 1961, 7, 88–95. [Google Scholar] [CrossRef]
- Yi, J.H.; Jeon, J.; Kwon, H.; Cho, E.; Yun, J.; Lee, Y.C.; Ryu, J.H.; Park, S.J.; Cho, J.H.; Kim, D.H. Rubrofusarin Attenuates Chronic Restraint Stress-Induced Depressive Symptoms. Int. J. Mol. Sci. 2020, 21, 3454. [Google Scholar] [CrossRef]
- Hassan, A.H.E.; Park, H.R.; Yoon, Y.M.; Kim, H.I.; Yoo, S.Y.; Lee, K.W.; Lee, Y.S. Antiproliferative 3-deoxysphingomyelin analogs: Design, synthesis, biological evaluation and molecular docking of pyrrolidine-based 3-deoxysphingomyelin analogs as anticancer agents. Bioorg. Chem. 2019, 84, 444–455. [Google Scholar] [CrossRef] [PubMed]
- Hassan, A.H.E.; Choi, E.; Yoon, Y.M.; Lee, K.W.; Yoo, S.Y.; Cho, M.C.; Yang, J.S.; Kim, H.I.; Hong, J.Y.; Shin, J.S.; et al. Natural products hybrids: 3,5,4′-Trimethoxystilbene-5,6,7-trimethoxyflavone chimeric analogs as potential cytotoxic agents against diverse human cancer cells. Eur. J. Med. Chem. 2019, 161, 559–580. [Google Scholar] [CrossRef]
- Shen, B. A New Golden Age of Natural Products Drug Discovery. Cell 2015, 163, 1297–1300. [Google Scholar] [CrossRef] [PubMed]
- Harvey, A.L.; Edrada-Ebel, R.; Quinn, R.J. The re-emergence of natural products for drug discovery in the genomics era. Nat. Rev. Drug Discov. 2015, 14, 111–129. [Google Scholar] [CrossRef]
- Hassan, A.H.E.; Mahmoud, K.; Phan, T.-N.; Shaldam, M.A.; Lee, C.H.; Kim, Y.J.; Cho, S.B.; Bayoumi, W.A.; El-Sayed, S.M.; Choi, Y.; et al. Bestatin analogs-4-quinolinone hybrids as antileishmanial hits: Design, repurposing rational, synthesis, in vitro and in silico studies. Eur. J. Med. Chem. 2023, 250, 115211. [Google Scholar] [CrossRef]
- Wong, E. Occurrence and biosynthesis of 4′,6-dihydroxyaurone in soybean. Phytochemistry 1966, 5, 463–467. [Google Scholar] [CrossRef]
- El Sherbeiny, A.E.A.; El Sissi, H.I.; Nawwar, M.A.M.; El Ansari, M.A. The flavonoids of the seeds of Lygos raetam. Planta Med. 1978, 34, 335–336. [Google Scholar] [CrossRef]
- Farag, M.A.; Deavours, B.E.; de Fáltima, A.; Naoumkina, M.; Dixon, R.A.; Sumner, L.W. Integrated metabolite and transcript profiling identify a biosynthetic mechanism for hispidol in Medicago truncatula cell cultures. Plant Physiol. 2009, 151, 1096–1113. [Google Scholar] [CrossRef] [PubMed]
- Khan, H.; Marya; Amin, S.; Kamal, M.A.; Patel, S. Flavonoids as acetylcholinesterase inhibitors: Current therapeutic standing and future prospects. Biomed. Pharmacother. 2018, 101, 860–870. [Google Scholar] [CrossRef]
- Lemke, C.; Christmann, J.; Yin, J.; Alonso, J.M.; Serrano, E.; Chioua, M.; Ismaili, L.; Martínez-Grau, M.A.; Beadle, C.D.; Vetman, T.; et al. Chromenones as Multineurotargeting Inhibitors of Human Enzymes. ACS Omega 2019, 4, 22161–22168. [Google Scholar] [CrossRef] [PubMed]
- Liew, K.-F.; Chan, K.-L.; Lee, C.-Y. Blood–brain barrier permeable anticholinesterase aurones: Synthesis, structure–activity relationship, and drug-like properties. Eur. J. Med. Chem. 2015, 94, 195–210. [Google Scholar] [CrossRef] [PubMed]
- Liew, K.F.; Lee, E.H.; Chan, K.L.; Lee, C.Y. Multi-targeting aurones with monoamine oxidase and amyloid-beta inhibitory activities: Structure-activity relationship and translating multi-potency to neuroprotection. Biomed. Pharmacother. 2019, 110, 118–128. [Google Scholar] [CrossRef]
- Giroud, M.; Dietzel, U.; Anselm, L.; Banner, D.; Kuglstatter, A.; Benz, J.; Blanc, J.-B.; Gaufreteau, D.; Liu, H.; Lin, X.; et al. Repurposing a Library of Human Cathepsin L Ligands: Identification of Macrocyclic Lactams as Potent Rhodesain and Trypanosoma brucei Inhibitors. J. Med. Chem. 2018, 61, 3350–3369. [Google Scholar] [CrossRef] [PubMed]
- Hassan, A.H.E.; Yoo, S.Y.; Lee, K.W.; Yoon, Y.M.; Ryu, H.W.; Jeong, Y.; Shin, J.-S.; Kang, S.-Y.; Kim, S.-Y.; Lee, H.-H.; et al. Repurposing mosloflavone/5,6,7-trimethoxyflavone-resveratrol hybrids: Discovery of novel p38-α MAPK inhibitors as potent interceptors of macrophage-dependent production of proinflammatory mediators. Eur. J. Med. Chem. 2019, 180, 253–267. [Google Scholar] [CrossRef]
- Farag, A.K.; Hassan, A.H.E.; Chung, K.-S.; Lee, J.-H.; Gil, H.-S.; Lee, K.-T.; Roh, E.J. Diarylurea derivatives comprising 2,4-diarylpyrimidines: Discovery of novel potential anticancer agents via combined failed-ligands repurposing and molecular hybridization approaches. Bioorg. Chem. 2020, 103, 104121. [Google Scholar] [CrossRef] [PubMed]
- Farag, A.K.; Hassan, A.H.E.; Ahn, B.S.; Park, K.D.; Roh, E.J. Reprofiling of pyrimidine-based DAPK1/CSF1R dual inhibitors: Identification of 2,5-diamino-4-pyrimidinol derivatives as novel potential anticancer lead compounds. J. Enzym. Inhib. Med. Chem. 2020, 35, 311–324. [Google Scholar] [CrossRef]
- Seo, J.M.; Hassan, A.H.E.; Lee, Y.S. An expeditious entry to rare tetrahydroimidazo[1,5-c]pyrrolo[1,2-a]pyrimidin-7(8H)-ones: A single-step gateway synthesis of glochidine congeners. Tetrahedron 2019, 75, 130760. [Google Scholar] [CrossRef]
- Gaich, T.; Baran, P.S. Aiming for the Ideal Synthesis. J. Org. Chem. 2010, 75, 4657–4673. [Google Scholar] [CrossRef]
- Jo, H.; Hassan, A.H.E.; Jung, S.Y.; Lee, J.K.; Cho, Y.S.; Min, S.-J. Construction of 8-Azabicyclo[3.2.1]octanes via Sequential DDQ-Mediated Oxidative Mannich Reactions of N-Aryl Pyrrolidines. Org. Lett. 2018, 20, 1175–1178. [Google Scholar] [CrossRef] [PubMed]
- Kim, J.; Seo, Y.H.; Kim, J.; Goo, N.; Jeong, Y.; Bae, H.J.; Jung, S.Y.; Lee, J.; Ryu, J.H. Casticin ameliorates scopolamine-induced cognitive dysfunction in mice. J. Ethnopharmacol. 2020, 259, 112843. [Google Scholar] [CrossRef]
- Hussain, M.; Kumar, P.; Khan, S.; Gordon, D.K.; Khan, S. Similarities Between Depression and Neurodegenerative Diseases: Pathophysiology, Challenges in Diagnosis and Treatment Options. Cureus 2020, 12, e11613. [Google Scholar] [CrossRef] [PubMed]
- Jung, J.M.; Park, S.J.; Lee, Y.W.; Lee, H.E.; Hong, S.I.; Lew, J.H.; Hong, E.; Shim, J.S.; Cheong, J.H.; Ryu, J.H. The effects of a standardized Acanthopanax koreanum extract on stress-induced behavioral alterations in mice. J. Ethnopharmacol. 2013, 148, 826–834. [Google Scholar] [CrossRef]
- Binda, C.; Newton-Vinson, P.; Hubalek, F.; Edmondson, D.E.; Mattevi, A. Structure of human monoamine oxidase B, a drug target for the treatment of neurological disorders. Nat. Struct. Biol. 2002, 9, 22–26. [Google Scholar] [CrossRef] [PubMed]
- Gaweska, H.; Fitzpatrick, P.F. Structures and Mechanism of the Monoamine Oxidase Family. Biomol. Concepts 2011, 2, 365–377. [Google Scholar] [CrossRef]
- Son, S.-Y.; Ma, J.; Kondou, Y.; Yoshimura, M.; Yamashita, E.; Tsukihara, T. Structure of human monoamine oxidase A at 2.2-Å resolution: The control of opening the entry for substrates/inhibitors. Proc. Natl. Acad. Sci. USA 2008, 105, 5739. [Google Scholar] [CrossRef]
- Zhang, Y.; Kua, J.; McCammon, J.A. Role of the Catalytic Triad and Oxyanion Hole in Acetylcholinesterase Catalysis: An ab initio QM/MM Study. J. Am. Chem. Soc. 2002, 124, 10572–10577. [Google Scholar] [CrossRef]









| Compound | X | n1 | n2 | R1 | % Inhibition | |
|---|---|---|---|---|---|---|
| MAO-A 1 | MAO-B 2 | |||||
| 3aa | No atoms | 1 | 0 | 2′-methoxy | NI 3 | 91.49 ± 0.27 |
| 3ab | CH2 | 0 | 0 | 2′-methoxy | NI | 43.00 ± 0.55 |
| 3ac | CH2 | 0 | 1 | 2′-methoxy | 1.31 ± 0.82 | 32.27 ± 0.23 |
| 3ad | No atoms | 1 | 0 | 3′-methoxy | NI | 46.09 ± 0.11 |
| 3ae | No atoms | 1 | 1 | 3′-methoxy | NI | 18.76 ± 0.45 |
| 3af | CH2 | 0 | 0 | 3′-methoxy | NI | 39.11 ± 0.96 |
| 3ag | CH2 | 0 | 1 | 3′-methoxy | 12.24 ± 1.05 | 16.99 ± 0.11 |
| 3ah | CH2 | 1 | 1 | 3′-methoxy | NI | 18.07 ± 1.83 |
| 3ai | O | 1 | 0 | 3′-methoxy | 4.1 ± 0.48 | 27.87 ± 0.37 |
| 3aj | CH2 | 0 | 0 | 4′-methoxy | 3.26 ± 0.75 | 39.26 ± 0.03 |
| 3ak | CH2 | 0 | 1 | 4′-methoxy | 9.83 ± 0.64 | 45.64 ± 0.08 |
| 3al | CH2 | 0 | 2 | 4′-methoxy | NI | 49.80 ± 0.02 |
| 3am | CH2 | 1 | 0 | 4′-methoxy | 0.92 ± 0.83 | 20.56 ± 0.79 |
| 3an | CH2 | 0 | 0 | 3′,4′-dimethoxy | NI | 48.06 ± 1.46 |
| 3ao | CH2 | 0 | 1 | 3′,4′-dimethoxy | NI | 39.21 ± 0.58 |
| 3ap | CH2 | 1 | 0 | 3′,4′-dimethoxy | NI | 50.81 ± 0.44 |
| 3aq | CH2 | 1 | 1 | 3′,4′-dimethoxy | NI | 4.51 ± 1.30 |
| 3ar | CH2 | 1 | 2 | 3′,4′-dimethoxy | NI | 3.89 ± 1.63 |
| 3as | CH2 | 1 | 3 | 3′,4′-dimethoxy | NI | 4.76 ± 1.91 |
| 3at | CH2 | 0 | 0 | 3′,5′-dimethoxy | NI | 36.84 ± 0.44 |
| 3au | CH2 | 0 | 1 | 3′,5′-dimethoxy | NI | 21.20 ± 0.30 |
| 3av | CH2 | 0 | 0 | 2′,3′-dimethoxy | 12.56 ± 0.32 | 2.61 ± 1.78 |
| 3aw | CH2 | 0 | 0 | 2′,4′-dimethoxy | 12.73 ± 0.54 | 41.64 ± 1.03 |
| 3ax | CH2 | 0 | 0 | 2′,5′-dimethoxy | NI | 65.05 ± 0.43 |
| 3ay | CH2 | 0 | 1 | 2′,3′-dimethoxy | NI | 4.37 ± 0.90 |
| 3az | CH2 | 0 | 1 | 2′,4′-dimethoxy | NI | 35.87 ± 0.17 |
| 3ba | CH2 | 0 | 1 | 2′,5′-dimethoxy | NI | 20.33 ± 0.49 |
| 3bb | CH2 | 0 | 0 | 2′,3′,4′-trimethoxy | NI | 23.90 ± 0.81 |
| 3bc | CH2 | 0 | 0 | 3′,4′,5′-trimethoxy | NI | 99.30 ± 0.38 |
| 3bd | CH2 | 1 | 0 | 3′,4′,5′-trimethoxy | NI | 27.93 ± 0.36 |

| Compound | X | n1 | n2 | R1 | MAO-A | MAO-B | MAO-B Selectivity Index | AChE IC50 (µM) 3 | |
|---|---|---|---|---|---|---|---|---|---|
| % Inhibition 1 | IC50 (µM) 2 | IC50 (µM) 2 | |||||||
| 3aa | No atoms | 1 | 0 | 2′-methoxy | 27.18 ± 2.94 | >100 | 0.96 ± 0.004 | >104 | 2.67 ± 0.05 |
| 3al | CH2 | 0 | 2 | 4′-methoxy | 14.89 ± 3.46 | >100 | 8.65 ± 0.196 | >12 | 1.42 ± 0.09 |
| 3ap | CH2 | 1 | 0 | 3′,4′-dimethoxy | 22.52 ± 0.04 | >100 | 10.18 ± 0.099 | >9.8 | 0.40 ± 0.03 [30] |
| 3ax | CH2 | 0 | 0 | 2′,5′-dimethoxy | 27.70 ± 4.95 | >100 | 3.16 ± 0.036 | >32 | 1.49 ± 0.31 [30] |
| 3bc | CH2 | 0 | 0 | 3′,4′,5′-trimethoxy | 21.37 ± 3.51 | >100 | 0.34 ± 0.002 | >289 | 1.56 ± 0.07 [30] |
| Safinamide | ND | ND | 0.11 ± 0.004 | ND | — | ||||
| Clorgyline | 100.49 ± 0.03 | 0.005 ± 0.0002 | ND | ND | — | ||||
| Galantamine | ND | ND | ND | ND | 4.69 ± 0.12 [30] | ||||
Disclaimer/Publisher’s Note: The statements, opinions and data contained in all publications are solely those of the individual author(s) and contributor(s) and not of MDPI and/or the editor(s). MDPI and/or the editor(s) disclaim responsibility for any injury to people or property resulting from any ideas, methods, instructions or products referred to in the content. |
© 2023 by the authors. Licensee MDPI, Basel, Switzerland. This article is an open access article distributed under the terms and conditions of the Creative Commons Attribution (CC BY) license (https://creativecommons.org/licenses/by/4.0/).
Share and Cite
Hassan, A.H.E.; Kim, H.J.; Park, K.; Choi, Y.; Moon, S.; Lee, C.H.; Kim, Y.J.; Cho, S.B.; Gee, M.S.; Lee, D.; et al. Synthesis and Biological Evaluation of O6-Aminoalkyl-Hispidol Analogs as Multifunctional Monoamine Oxidase-B Inhibitors towards Management of Neurodegenerative Diseases. Antioxidants 2023, 12, 1033. https://doi.org/10.3390/antiox12051033
Hassan AHE, Kim HJ, Park K, Choi Y, Moon S, Lee CH, Kim YJ, Cho SB, Gee MS, Lee D, et al. Synthesis and Biological Evaluation of O6-Aminoalkyl-Hispidol Analogs as Multifunctional Monoamine Oxidase-B Inhibitors towards Management of Neurodegenerative Diseases. Antioxidants. 2023; 12(5):1033. https://doi.org/10.3390/antiox12051033
Chicago/Turabian StyleHassan, Ahmed H. E., Hyeon Jeong Kim, Keontae Park, Yeonwoo Choi, Suyeon Moon, Chae Hyeon Lee, Yeon Ju Kim, Soo Bin Cho, Min Sung Gee, Danbi Lee, and et al. 2023. "Synthesis and Biological Evaluation of O6-Aminoalkyl-Hispidol Analogs as Multifunctional Monoamine Oxidase-B Inhibitors towards Management of Neurodegenerative Diseases" Antioxidants 12, no. 5: 1033. https://doi.org/10.3390/antiox12051033
APA StyleHassan, A. H. E., Kim, H. J., Park, K., Choi, Y., Moon, S., Lee, C. H., Kim, Y. J., Cho, S. B., Gee, M. S., Lee, D., Park, J.-H., Lee, J. K., Ryu, J. H., Park, K. D., & Lee, Y. S. (2023). Synthesis and Biological Evaluation of O6-Aminoalkyl-Hispidol Analogs as Multifunctional Monoamine Oxidase-B Inhibitors towards Management of Neurodegenerative Diseases. Antioxidants, 12(5), 1033. https://doi.org/10.3390/antiox12051033

