Oxidative Damages on the Alzheimer’s Related-Aβ Peptide Alters Its Ability to Assemble
Abstract
1. Introduction
2. Materials and Methods
2.1. Chemicals
2.2. Peptide Preparation
2.3. Peptide Oxidation
2.4. ThT Assay for Aβ1–40 and oxAβ1–40 Aggregation
2.5. Transmission Electron Microscopy (TEM)
2.6. Determination of the Percentage of Remaining Non-Oxidized Peptides in the Solution of oxAβ1–40 Peptide
3. Results
3.1. Oxidative Damages Leading to oxAβ1–40
3.2. Self-Assembly of Aβ1–40 and oxAβ1–40 and Their Co-Assembly
3.3. Impact of pH on the Self-Assembly of Aβ1–40 and oxAβ1–40 and Their Co-Assembly
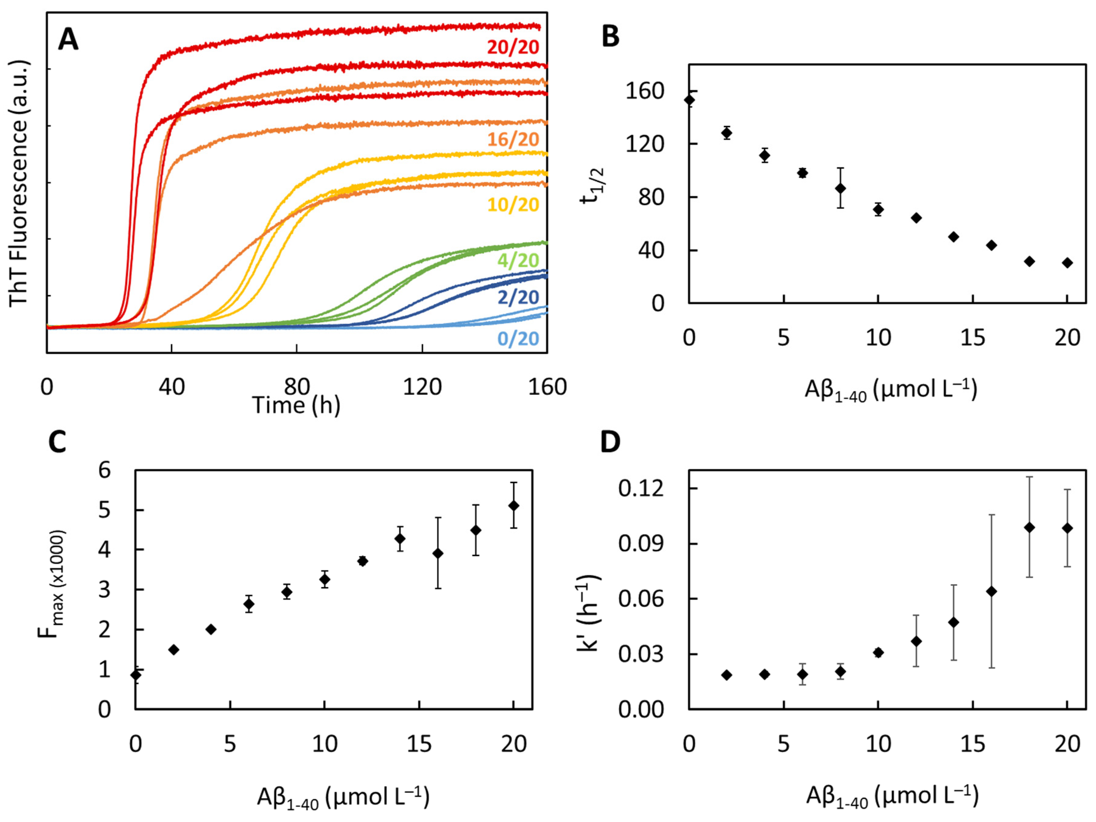
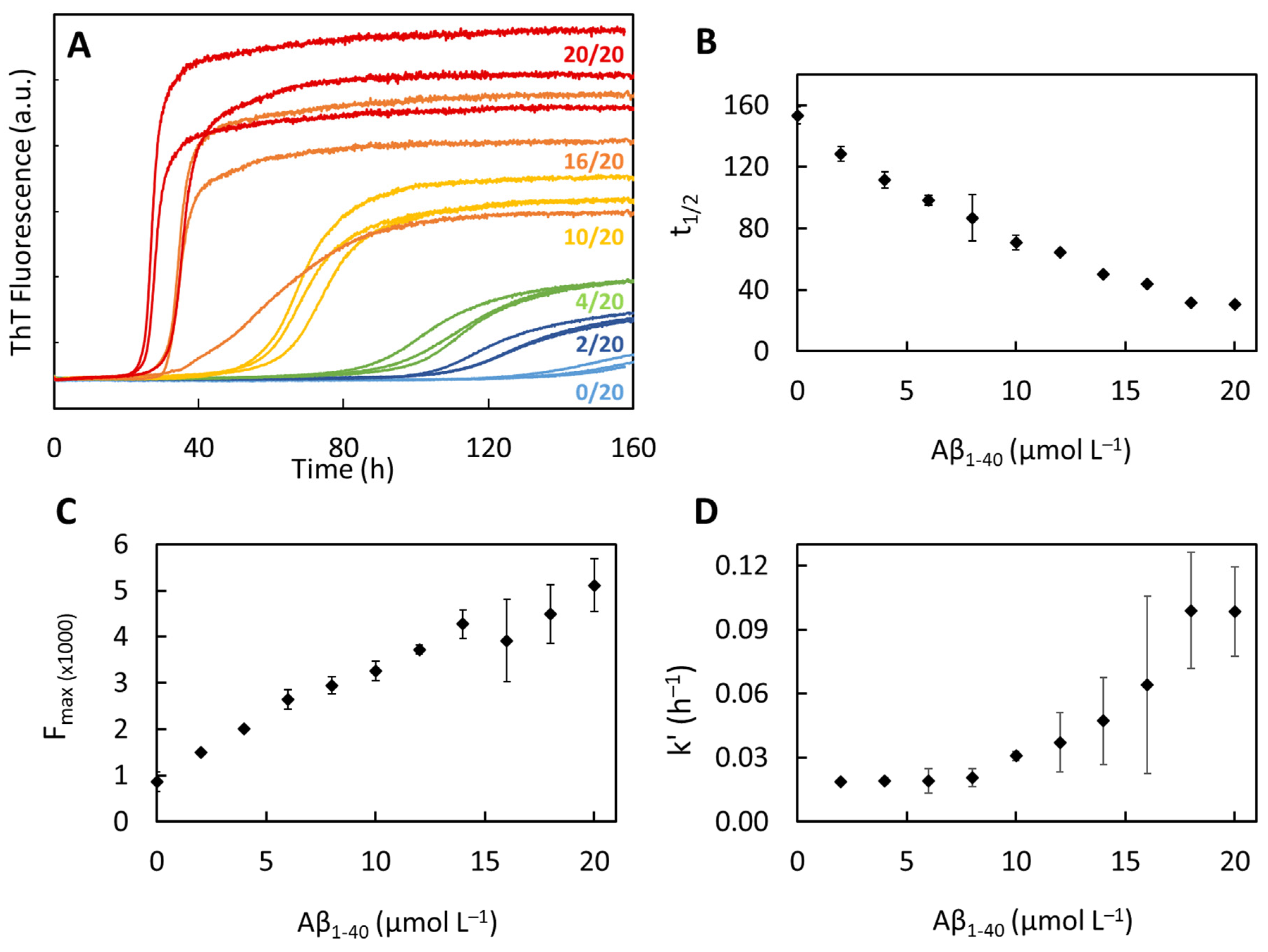
3.4. Co-Assembly of Aβ1–40 and oxAβ1–40 at Various Ratios and Concentrations
3.5. Impact of Cu(II) and Zn(II) on the Self-Assembly of Aβ1–40 and oxAβ1–40 and Their Co-Assembly
- -
- Self-assembly of Aβ1–40: In the presence of 0.9 equiv. of Cu(II), the Aβ1–40 assembly splits into two processes. It starts very rapidly, with a no-lag phase, and reaches a weak fluorescence plateau (approximately 5-fold weaker than the plateau value of apo-Aβ1–40 assembly); then, a second sigmoidal process occurs after about 30 h, leading to a final plateau intensity approximately two times lower than the one observed for apo-Aβ1–40 (Figure 6 and Figure S10, left, solid and dashed black lines). TEM pictures illustrate the presence of deposits of fibrils that are shorter and thinner than those of the apo-Aβ1–40 (Figure 7A, Figures S11A and S12A). A similar kinetic behavior is observed in the presence of 0.9 equiv. Zn(II) (Figure 6 and Figure S10, right, solid and dashed black lines), but with a much higher fluorescence intensity. Fibrils are mostly detected by TEM at the end of aggregation, in line with the high plateau intensity (Figure 7C, Figures S11C and S12C). In contrast to the apo-Aβ1–40 fibrils, the Zn-Aβ1–40 fibrils are untangled and thinner, but form clumps. In presence of either cations, the kinetics of fibrils formation show a quite unusual profile with two distinct phases. We may hypothesize that the first fast-forming aggregates are further reorganized in more stable fibrillar species during the second phase. Note that this two-step trend was observed on all the independent experiments.
- -
- Self-assembly of oxAβ1–40: In the presence of 0.9 equiv. of Cu(II), the ThT fluorescence curve of oxAβ1–40 shows a very weak intensity that appears after a rapid increase (Figure 6, left, blue solid line and inset). No sigmoidal process is observed at the time scale of the experiment in contrast to Cu-Aβ1–40 aggregation (Figure 6, black line). Although the final plateau of ThT fluorescence intensity is very low, the TEM pictures show the presence of oligomeric species and amorphous aggregates, along with some fibrils of various morphologies (Figure 7B, Figures S11B and S12B). In line with the observation made for the apo peptides, their formation may be triggered by the presence of the remaining Aβ1–40 in the sample. The apparent divergence between ThT fluorescence and TEM results may also originate from the formation of fibrils (i) having weak interaction with ThT, (ii) having interaction with ThT but giving rise to a low fluorescence enhancement or (iii) with the quenching of the ThT fluorescence by the Cu(II) paramagnetism, since the Cu(II) site is altered by the oxidation of the peptide [70]. In the presence of 0.9 equiv. Zn(II), the ThT fluorescence intensity rapidly reaches its maximal value, which is quite weak compared to Zn-Aβ1–40 (about 5-times lower). In line with the lower fluorescence plateau value, less fibrils are observed by TEM, where dense deposits of amorphous aggregates are also present (Figure 7D, Figures S11D and S12D).
- -
- Co-assembly: Furthermore, we also studied the assembly behavior of an equimolar mixture of Aβ1–40 and oxAβ1–40 in the presence of 0.9 equiv. of Cu(II) or Zn(II) (Figure 6, solid green lines). With Cu(II), the two-step kinetics is recovered, with a first plateau value weaker than the one for Cu-Aβ1–40, and a second sigmoidal process that takes more time to occur (about 60 h versus 20 h). This is reminiscent of what was previously reported in the case of the self-assembly of Cu2-Aβ1–40 (in the presence of 2 Cu(II) ion per Aβ1–40 peptide), and suggests that Cu(II) is weakly bound to oxAβ1–40 (at least weaker than the second site in Aβ1–40) and that it can mainly be transferred to Aβ1–40 [21]. The formation of ternary oxAβ1–40-Cu-Aβ1–40 is also possible. With Zn(II), the kinetic trace is half-way from that of Zn-Aβ1–40 and Zn-oxAβ1–40, in line with various possible events at play (independent assembly of Zn-Aβ1–40 and Zn-oxAβ1–40, or the assembly of Zn2-Aβ1–40), prevents deeper analysis.


4. Concluding Remarks
4.1. Reproducibility Issues
4.2. Ability of oxAβ1–40 to Self-Assemble and Importance of the Oxidation Paths of Aβ1–40
4.3. Effect of oxAβ1–40 on Aβ1–40 Assembly
4.4. Effect of pH
4.5. Mechanistic Insights
4.6. Biological Relevance
Supplementary Materials
Author Contributions
Funding
Institutional Review Board Statement
Informed Consent Statement
Data Availability Statement
Acknowledgments
Conflicts of Interest
References
- Chatani, E.; Yuzu, K.; Ohhashi, Y.; Goto, Y. Current Understanding of the Structure, Stability and Dynamic Properties of Amyloid Fibrils. Int. J. Mol. Sci. 2021, 22, 4349. [Google Scholar] [CrossRef] [PubMed]
- Almeida, Z.L.; Brito, R.M.M. Structure and Aggregation Mechanisms in Amyloids. Molecules 2020, 25, 1195. [Google Scholar] [CrossRef]
- Willbold, D.; Strodel, B.; Schröder, G.F.; Hoyer, W.; Heise, H. Amyloid-type Protein Aggregation and Prion-like Properties of Amyloids. Chem. Rev. 2021, 121, 8285–8307. [Google Scholar] [CrossRef]
- Iadanza, M.G.; Jackson, M.P.; Hewitt, E.W.; Ranson, N.A.; Radford, S.E. A new era for understanding amyloid structures and disease. Nat. Rev. Mol. Cell Biol. 2018, 19, 755–773. [Google Scholar] [CrossRef] [PubMed]
- Ke, P.C.; Zhou, R.; Serpell, L.C.; Riek, R.; Knowles, T.P.J.; Lashuel, H.A.; Gazit, E.; Hamley, I.W.; Davis, T.P.; Fändrich, M.; et al. Half a century of amyloids: Past, present and future. Chem. Soc. Rev. 2020, 49, 5473–5509. [Google Scholar] [CrossRef]
- Selkoe, D.J.; Hardy, J. The amyloid hypothesis of Alzheimer’s disease at 25 years. EMBO Mol. Med. 2016, 8, 595–608. [Google Scholar] [CrossRef]
- Hureau, C. Chapter 7 Role of Metal Ions in Alzheimer’s Disease: Mechanistic Aspects Contributing to Neurotoxicity. In Alzheimer’s Disease: Recent Findings in Pathophysiology, Diagnostic and Therapeutic Modalities; Govindaraju, T., Ed.; The Royal Society of Chemistry: London, UK, 2022; pp. 170–192. [Google Scholar]
- Hampel, H.; Hardy, J.; Blennow, K.; Chen, C.; Perry, G.; Kim, S.H.; Villemagne, V.L.; Aisen, P.; Vendruscolo, M.; Iwatsubo, T.; et al. The Amyloid-β Pathway in Alzheimer’s Disease. Mol. Psychiatry 2021, 26, 5481–5503. [Google Scholar] [CrossRef]
- Lane, C.A.; Hardy, J.; Schott, J.M. Alzheimer’s disease. Eur. J. Neurol. 2018, 25, 59–70. [Google Scholar] [CrossRef]
- Kametani, F.; Hasegawa, M. Reconsideration of Amyloid Hypothesis and Tau Hypothesis in Alzheimer’s Disease. Front. Neurosci. 2018, 12, 25. [Google Scholar] [CrossRef]
- Naseri, N.N.; Wang, H.; Guo, J.; Sharma, M.; Luo, W. The complexity of tau in Alzheimer’s disease. Neurosci. Lett. 2019, 705, 183–194. [Google Scholar] [CrossRef] [PubMed]
- Faller, P.; Hureau, C. Reproducibility Problems of Amyloid-β Self-Assembly and How to Deal With Them. Front. Chem. 2021, 8, 611227. [Google Scholar] [CrossRef] [PubMed]
- Sinnige, T. Molecular mechanisms of amyloid formation in living systems. Chem. Sci. 2022, 13, 7080–7097. [Google Scholar] [CrossRef] [PubMed]
- Buell, A.K. The growth of amyloid fibrils: Rates and mechanisms. Biochem. J. 2019, 476, 2677–2703. [Google Scholar] [CrossRef]
- Törnquist, M.; Michaels, T.C.T.; Sanagavarapu, K.; Yang, X.; Meisl, G.; Cohen, S.I.A.; Knowles, T.P.J.; Linse, S. Secondary nucleation in amyloid formation. Chem. Commun. 2018, 54, 8667–8684. [Google Scholar] [CrossRef]
- Karamanos, T.K.; Kalverda, A.P.; Thompson, G.S.; Radford, S.E. Mechanisms of amyloid formation revealed by solution NMR. Prog. Nucl. Magn. Reson. Spectrosc. 2015, 88–89, 86–104. [Google Scholar] [CrossRef] [PubMed]
- Meisl, G.; Kirkegaard, J.B.; Arosio, P.; Michaels, T.C.; Vendruscolo, M.; Dobson, C.M.; Linse, S.; Knowles, T.P. Molecular mechanisms of protein aggregation from global fitting of kinetic models. Nat. Protoc. 2016, 11, 252–272. [Google Scholar] [CrossRef]
- Hadi Alijanvand, S.; Peduzzo, A.; Buell, A.K. Secondary Nucleation and the Conservation of Structural Characteristics of Amyloid Fibril Strains. Front. Mol. Biosci. 2021, 8, 669994. [Google Scholar] [CrossRef]
- Linse, S. Monomer-dependent secondary nucleation in amyloid formation. Biophys. Rev. 2017, 9, 329–338. [Google Scholar] [CrossRef] [PubMed]
- Tian, Y.; Viles, J.H. pH Dependence of Amyloid-β Fibril Assembly Kinetics: Unravelling the Microscopic Molecular Processes. Angew. Chem. Int. Ed. Engl. 2022, 61, e202210675. [Google Scholar] [CrossRef] [PubMed]
- Stefaniak, E.; Atrian-Blasco, E.; Goch, W.; Sabater, L.; Hureau, C.; Bal, W. The aggregation pattern of Aβ1-40 is altered by the presence of N-truncated Aβ4-40 and/or Cu(II) ions in a similar way via ionic interactions. Chemistry 2021, 27, 2798–2809. [Google Scholar] [CrossRef]
- Viles, J.H.; Barritt, J.D.; Younan, N.D. N-Terminally Truncated Amyloid-β(11-40/42) Co-Fibrillises with its Full-Length Counterpart, Implications for Alzheimer’s Disease. Angew. Chem. Int. Ed. 2017, 56, 9816–9819. [Google Scholar] [CrossRef]
- Cukalevski, R.; Yang, X.; Meisl, G.; Weininger, U.; Bernfur, K.; Frohm, B.; Knowles, T.P.J.; Linse, S. The Aβ40 and Aβ42 peptides self-assemble into separate homomolecular fibrils in binary mixtures but cross-react during primary nucleation. Chem. Sci. 2015, 6, 4215–4233. [Google Scholar] [CrossRef] [PubMed]
- Weiffert, T.; Meisl, G.; Flagmeier, P.; De, S.; Dunning, C.J.R.; Frohm, B.; Zetterberg, H.; Blennow, K.; Portelius, E.; Klenerman, D.; et al. Increased Secondary Nucleation Underlies Accelerated Aggregation of the Four-Residue N-Terminally Truncated Aβ42 Species Aβ5–42. ACS Chem. Neurosci. 2019, 10, 2374–2384. [Google Scholar] [CrossRef] [PubMed]
- Liang, R.; Tian, Y.; Viles, J.H. Cross-seeding of WT amyloid-β with Arctic but not Italian familial mutants accelerates fibril formation in Alzheimer’s disease. J. Biol. Chem. 2022, 298, 102071. [Google Scholar] [CrossRef] [PubMed]
- Quartey, M.O.; Nyarko, J.N.K.; Maley, J.M.; Barnes, J.R.; Bolanos, M.A.C.; Heistad, R.M.; Knudsen, K.J.; Pennington, P.R.; Buttigieg, J.; De Carvalho, C.E.; et al. The Aβ(1–38) peptide is a negative regulator of the Aβ(1–42) peptide implicated in Alzheimer disease progression. Sci. Rep. 2021, 11, 431. [Google Scholar] [CrossRef]
- Yano, Y.; Takeno, A.; Matsuzaki, K. Trace amounts of pyroglutaminated Aβ-(3–42) enhance aggregation of Aβ-(1–42) on neuronal membranes at physiological concentrations: FCS analysis of cell surface. Biochim. Biophys. Acta Biomembr. 2018, 1860, 1603–1608. [Google Scholar] [CrossRef]
- Heo, C.E.; Choi, T.S.; Kim, H.I. Competitive homo- and hetero- self-assembly of amyloid-β 1–42 and 1–40 in the early stage of fibrillation. Int. J. Mass Spectrom. 2018, 428, 15–21. [Google Scholar] [CrossRef]
- Cheignon, C.; Tomas, M.; Bonnefont-Rousselot, D.; Faller, P.; Hureau, C.; Collin, F. Oxidative stress and the amyloid beta peptide in Alzheimer’s Disease. Redox Biol. 2018, 14, 450–464. [Google Scholar] [CrossRef]
- Atrian-Blasco, E.; Gonzalez, P.; Santoro, A.; Alies, B.; Faller, P.; Hureau, C. Cu and Zn coordination to amyloid peptides: From fascinating chemistry to debated pathological relevance. Coord. Chem. Rev. 2018, 375, 38–55. [Google Scholar] [CrossRef]
- Cheignon, C.; Collin, F.; Faller, P.; Hureau, C. Is ascorbate Dr Jekyll or Mr Hyde in the Cu(Aβ) mediated oxidative stress linked to Alzheimer’s Disease? Dalton Trans. 2016, 45, 12627–12631. [Google Scholar] [CrossRef] [PubMed]
- Harrison, F.E.; May, J.M. Vitamin C function in the brain: Vital role of the ascorbate transporter SVCT2. Free Radic. Biol. Med. 2009, 46, 719–730. [Google Scholar] [CrossRef]
- Rice, M.E. Ascorbate regulation and its neuroprotective role in the brain. Trends Neurosci. 2000, 23, 209–216. [Google Scholar] [CrossRef]
- Cassagnes, L.-E.; Hervé, V.; Nepveu, F.; Hureau, C.; Faller, P.; Collin, F. The catalytically active copper-amyloid-Beta state: Coordination site responsible for reactive oxygen species production. Angew. Chem. Int. Ed. 2013, 52, 11110–11113. [Google Scholar] [CrossRef] [PubMed]
- Cheignon, C.; Hureau, C.; Collin, F. Real-time evolution of Aβ40 metal-catalyzed oxidation reveals Asp1 as the main target and a dependence on metal binding site. Inorganica Chim. Acta 2018, 472, 111–118. [Google Scholar] [CrossRef]
- Kowalik-Jankowska, T.; Ruta, M.; Wiśniewska, K.; Łankiewicz, L.; Dyba, M. Products of Cu(II)-catalyzed oxidation in the presence of hydrogen peroxide of the 1–10, 1–16 fragments of human and mouse β-amyloid peptide. J. Inorg. Biochem. 2004, 98, 940–950. [Google Scholar] [CrossRef]
- Inoue, K.; Nakagawa, A.; Hino, T.; Oka, H. Screening Assay for Metal-Catalyzed Oxidation Inhibitors Using Liquid Chromatography−Mass Spectrometry with an N-Terminal β-Amyloid Peptide. Anal. Chem. 2009, 81, 1819–1825. [Google Scholar] [CrossRef]
- Pirota, V.; Dell’Acqua, S.; Monzani, E.; Nicolis, S.; Casella, L. Copper-Aβ Peptides and Oxidation of Catecholic Substrates: Reactivity and Endogenous Peptide Damage. Chem. Eur. J. 2016, 22, 16964–16973. [Google Scholar] [CrossRef]
- Nadal, R.C.; Rigby, S.E.J.; Viles, J.H. Amyloid β−Cu2+ Complexes in both Monomeric and Fibrillar Forms Do Not Generate H2O2 Catalytically but Quench Hydroxyl Radicals. Biochemistry 2008, 47, 11653–11664. [Google Scholar] [CrossRef]
- Inoue, K.; Garner, C.; Ackermann, B.L.; Oe, T.; Blair, I.A. Liquid chromatography/tandem mass spectrometry characterization of oxidized amyloid beta peptides as potential biomarkers of Alzheimer’s disease. Rapid Commun. Mass Spectrom. 2006, 20, 911–918. [Google Scholar] [CrossRef] [PubMed]
- Schöneich, C.; Williams, T.D. Cu(II)-Catalyzed Oxidation of β-Amyloid Peptide Targets His13 and His14 over His6: Detection of 2-Oxo-histidine by HPLC-MS/MS. Chem. Res. Toxicol. 2002, 15, 717–722. [Google Scholar] [CrossRef] [PubMed]
- Atwood, C.S.; Perry, G.; Zeng, H.; Kato, Y.; Jones, W.D.; Ling, K.-Q.; Huang, X.; Moir, R.D.; Wang, D.; Sayre, L.M.; et al. Copper Mediates Dityrosine Cross-Linking of Alzheimer’s Amyloid-β. Biochemistry 2004, 43, 560–568. [Google Scholar] [CrossRef] [PubMed]
- Gu, M.; Bode, D.C.; Viles, J.H. Copper Redox Cycling Inhibits Aβ Fibre Formation and Promotes Fibre Fragmentation, while Generating a Dityrosine Aβ Dimer. Sci. Rep. 2018, 8, 16190. [Google Scholar] [CrossRef] [PubMed]
- Vázquez, G.; Caballero, A.B.; Kokinda, J.; Hijano, A.; Sabaté, R.; Gamez, P. Copper, dityrosine cross-links and amyloid-β aggregation. J. Biol. Inorg. Chem. 2019, 24, 1217–1229. [Google Scholar] [CrossRef]
- Houée-Lévin, C.; Bobrowski, K.; Horakova, L.; Karademir, B.; Schöneich, C.; Davies, M.J.; Spickett, C.M. Exploring oxidative modifications of tyrosine: An update on mechanisms of formation, advances in analysis and biological consequences. Free Radic. Res. 2015, 49, 347–373. [Google Scholar] [CrossRef]
- Atrian-Blasco, E.; Conte-Daban, A.; Hureau, C. Mutual interference of Cu and Zn ions in Alzheimer’s disease: Perspectives at the molecular level. Dalton Trans. 2017, 46, 12750–12759. [Google Scholar] [CrossRef]
- Rana, M.; Sharma, A.K. Cu and Zn interactions with Ab peptides: Consequence of coordination on aggregation and formation of neurotoxic soluble Ab oligomers. Metallomics 2019, 11, 64–84. [Google Scholar] [CrossRef]
- Han, J.; Du, Z.; Lim, M.H. Mechanistic Insight into the Design of Chemical Tools to Control Multiple Pathogenic Features in Alzheimer’s Disease. Acc. Chem. Res. 2021, 54, 3930–3940. [Google Scholar] [CrossRef] [PubMed]
- Chen, L.-L.; Fan, Y.-G.; Zhao, L.-X.; Zhang, Q.; Wang, Z.-Y. The metal ion hypothesis of Alzheimer’s disease and the anti-neuroinflammatory effect of metal chelators. Bioorganic Chem. 2023, 131, 106301. [Google Scholar] [CrossRef]
- Wang, T.; Xu, S.-F.; Fan, Y.-G.; Li, L.-B.; Guo, C. Iron Pathophysiology in Alzheimer’s Diseases. In Brain Iron Metabolism and CNS Diseases; Chang, Y.-Z., Ed.; Springer: Singapore, 2019; pp. 67–104. [Google Scholar]
- Yang, L.; Nao, J. Ferroptosis: A potential therapeutic target for Alzheimer’s disease. Rev. Neurosci. 2022. [Google Scholar] [CrossRef]
- Bousejra-ElGarah, F.; Bijani, C.; Coppel, Y.; Faller, P.; Hureau, C. Iron(II) binding to amyloid-beta, the Alzheimer’s peptide. Inorg. Chem. 2011, 50, 9024–9030. [Google Scholar] [CrossRef] [PubMed]
- Nair, N.G.; Perry, G.; Smith, M.A.; Reddy, V.P. NMR Studies of Zinc, Copper, and Iron Binding to Histidine, the Principal Metal Ion Complexing Site of Amyloid-β Peptide. J. Alzheimer’s Dis. 2010, 20, 57–66. [Google Scholar] [CrossRef]
- Pal, A.; Cerchiaro, G.; Rani, I.; Ventriglia, M.; Rongioletti, M.; Longobardi, A.; Squitti, R. Iron in Alzheimer’s Disease: From Physiology to Disease Disabilities. Biomolecules 2022, 12, 1248. [Google Scholar] [CrossRef] [PubMed]
- Tran, D.; DiGiacomo, P.; Born, D.E.; Georgiadis, M.; Zeineh, M. Iron and Alzheimer’s Disease: From Pathology to Imaging. Front. Hum. Neurosci. 2022, 16, 838692. [Google Scholar] [CrossRef] [PubMed]
- Chen, W.-T.; Liao, Y.-H.; Yu, H.-M.; Cheng, I.H.; Chen, Y.-R. Distinct Effects of Zn2+, Cu2+, Fe3+, and Al3+ on Amyloid-β Stability, Oligomerization, and Aggregation: Amyloid-β Destabilization Promotes Annular Protofibril Formation. J. Biol. Chem. 2011, 286, 9646–9656. [Google Scholar] [CrossRef]
- Everett, J.; Céspedes, E.; Shelford, L.R.; Exley, C.; Collingwood, J.F.; Dobson, J.; van der Laan, G.; Jenkins, C.A.; Arenholz, E.; Telling, N.D. Ferrous iron formation following the co-aggregation of ferric iron and the Alzheimer’s disease peptide β-amyloid (1–42). J. R. Soc. Interface 2014, 11, 20140165. [Google Scholar] [CrossRef]
- Liu, B.; Moloney, A.; Meehan, S.; Morris, K.; Thomas, S.E.; Serpell, L.C.; Hider, R.; Marciniak, S.J.; Lomas, D.A.; Crowther, D.C. Iron Promotes the Toxicity of Amyloid β-Peptide by Impeding Its Ordered Aggregation. J. Biol. Chem. 2011, 286, 4248–4256. [Google Scholar] [CrossRef]
- Tahmasebinia, F.; Emadi, S. Effect of metal chelators on the aggregation of beta-amyloid peptides in the presence of copper and iron. BioMetals 2017, 30, 285–293. [Google Scholar] [CrossRef] [PubMed]
- Everett, J.; Brooks, J.; Lermyte, F.; O’Connor, P.B.; Sadler, P.J.; Dobson, J.; Collingwood, J.F.; Telling, N.D. Iron stored in ferritin is chemically reduced in the presence of aggregating Aβ(1-42). Sci. Rep. 2020, 10, 10332. [Google Scholar] [CrossRef]
- Pedersen, J.T.; Chen, S.W.; Borg, C.B.; Ness, S.; Bahl, J.M.; Heegaard, N.H.; Dobson, C.M.; Hemmingsen, L.; Cremades, N.; Teilum, K. Amyloid-β and α-Synuclein Decrease the Level of Metal-Catalyzed Reactive Oxygen Species by Radical Scavenging and Redox Silencing. J. Am. Chem. Soc. 2016, 138, 3966–3969. [Google Scholar] [CrossRef]
- Jiang, D.; Li, X.; Liu, L.; Yagnik, G.B.; Zhou, F. Reaction Rates and Mechanism of the Ascorbic Acid Oxidation by Molecular Oxygen Facilitated by Cu(II)-Containing Amyloid-β Complexes and Aggregates. J. Phys. Chem. B 2010, 114, 4896–4903. [Google Scholar] [CrossRef]
- Razzokov, J.; Yusupov, M.; Bogaerts, A. Oxidation destabilizes toxic amyloid beta peptide aggregation. Sci. Rep. 2019, 9, 5476. [Google Scholar] [CrossRef]
- Li, K.S.; Rempel, D.L.; Gross, M.L. Conformational-Sensitive Fast Photochemical Oxidation of Proteins and Mass Spectrometry Characterize Amyloid Beta 1–42 Aggregation. J. Am. Chem. Soc. 2016, 138, 12090–12098. [Google Scholar] [CrossRef] [PubMed]
- Friedemann, M.; Helk, E.; Tiiman, A.; Zovo, K.; Palumaa, P.; Tõugu, V. Effect of methionine-35 oxidation on the aggregation of amyloid-β peptide. Biochem. Biophys. Rep. 2015, 3, 94–99. [Google Scholar] [CrossRef] [PubMed]
- Palmblad, M.; Westlind-Danielsson, A.; Bergquist, J. Oxidation of Methionine 35 Attenuates Formation of Amyloid β-Peptide 1-40 Oligomers. J. Biol. Chem. 2002, 277, 19506–19510. [Google Scholar] [CrossRef]
- Gu, M.; Viles, J.H. Methionine oxidation reduces lag-times for amyloid-β(1–40) fiber formation but generates highly fragmented fibers. Biochim. Biophys. Acta Proteins Proteom 2016, 1864, 1260–1269. [Google Scholar] [CrossRef]
- Pilkington, A.W.T.; Donohoe, G.C.; Akhmedov, N.G.; Ferrebee, T.; Valentine, S.J.; Legleiter, J. Hydrogen Peroxide Modifies Aβ-Membrane Interactions with Implications for Aβ(40) Aggregation. Biochemistry 2019, 58, 2893–2905. [Google Scholar] [CrossRef] [PubMed]
- O’Malley, T.T.; Witbold, W.M.; Linse, S.; Walsh, D.M. The Aggregation Paths and Products of Aβ42 Dimers Are Distinct from Those of the Aβ42 Monomer. Biochemistry 2016, 55, 6150–6161. [Google Scholar] [CrossRef]
- Cheignon, C.; Faller, P.; Testemale, D.; Hureau, C.; Collin, F. Metal-catalyzed oxidation of Aβ and the resulting reorganization of Cu binding sites promote ROS production. Metallomics 2016, 8, 1081–1089. [Google Scholar] [CrossRef]
- Atrian-Blasco, E.; Del Barrio, M.; Faller, P.; Hureau, C. Ascorbate Oxidation by Cu(Amyloid-β) Complexes: Determination of the Intrinsic Rate as a Function of Alterations in the Peptide Sequence Revealing Key Residues for Reactive Oxygen Species Production. Anal. Chem. 2018, 90, 5909–5915. [Google Scholar] [CrossRef]
- Walsh, D.M.; Selkoe, D.J. Amyloid β-protein and beyond: The path forward in Alzheimer’s disease. Curr. Opin. Neurobiol. 2020, 61, 116–124. [Google Scholar] [CrossRef]
- Collin, F.; Cheignon, C.; Hureau, C. Oxidative stress as a biomarker for Alzheimer’s Disease. Biomark. Med. 2018, 12, 201–203. [Google Scholar] [CrossRef]
- Wärmländer, S.K.T.S.; Österlund, N.; Wallin, C.; Wu, J.; Luo, J.; Tiiman, A.; Jarvet, J.; Gräslund, A. Metal binding to the amyloid-β peptides in the presence of biomembranes: Potential mechanisms of cell toxicity. J. Biol. Inorg. Chem. 2019, 24, 1189–1196. [Google Scholar] [CrossRef]
- LeVine, H. Quantification of β-sheet amyloid fibril structures with thioflavin T. Methods Enzymol. 1999, 309, 274–284. [Google Scholar] [CrossRef] [PubMed]
- Reinke, A.A.; Gestwicki, J.E. Insight into amyloid structure using chemical probes. Chem. Biol. Drug Des. 2011, 77, 399–411. [Google Scholar] [CrossRef] [PubMed]
- Noël, S.; Cadet, S.; Gras, E.; Hureau, C. The benzazole scaffold: A SWAT to combat Alzheimer’s Disease. Chem. Soc. Rev. 2013, 42, 7747–7762. [Google Scholar] [CrossRef] [PubMed]
- Gade Malmos, K.; Blancas-Mejia, L.M.; Weber, B.; Buchner, J.; Ramirez-Alvarado, M.; Naiki, H.; Otzen, D. ThT 101: A primer on the use of thioflavin T to investigate amyloid formation. Amyloid 2017, 24, 1–16. [Google Scholar] [CrossRef]
- Martins, P.M.; Navarro, S.; Silva, A.; Pinto, M.F.; Sárkány, Z.; Figueiredo, F.; Pereira, P.J.B.; Pinheiro, F.; Bednarikova, Z.; Burdukiewicz, M.; et al. MIRRAGGE—Minimum Information Required for Reproducible AGGregation Experiments. Front. Neurosci. 2020, 13, 582488. [Google Scholar] [CrossRef]
- Shoffner, S.K.; Schnell, S. Estimation of the lag time in a subsequent monomer addition model for fibril elongation. Phys. Chem. Chem. Phys. 2016, 18, 21259–21268. [Google Scholar] [CrossRef]
- Bentea, L.; Watzky, M.A.; Finke, R.G. Sigmoidal Nucleation and Growth Curves Across Nature Fit by the Finke–Watzky Model of Slow Continuous Nucleation and Autocatalytic Growth: Explicit Formulas for the Lag and Growth Times Plus Other Key Insights. J. Phys. Chem. C 2017, 121, 5302–5312. [Google Scholar] [CrossRef]
- Kowalik-Jankowska, T.; Ruta, M.; Wisniewska, K.; Lankiewicz, L. Coordination abilities of the 1-16 and 1-28 fragments of b-amyloid peptide towards copper(II) ions: A combined potentiometric and spectroscopic study. J. Inorg. Biochem. 2003, 95, 270–282. [Google Scholar] [CrossRef]
- Hureau, C.; Coppel, Y.; Dorlet, P.; Solari, P.L.; Sayen, S.; Guillon, E.; Sabater, L.; Faller, P. Deprotonation of the Asp1-Ala2 Peptide Bond Induces Modification of the Dynamic Copper(II) Environment in the Amyloid-b Peptide near Physiological pH. Angew. Chem. Int. Ed. 2009, 48, 9522–9525. [Google Scholar] [CrossRef] [PubMed]
- Garrett, H.M. A Study into the Influence of Amyloid-beta Peptide Oxidation on the Rate of Fibril Formation, with a Synthesis of 2-oxo-Histidine. Ph.D. Thesis, Queen Mary University of London, London, UK, 2012. [Google Scholar]
- Alies, B.; La Penna, G.; Sayen, S.; Guillon, E.; Hureau, C.; Faller, P. Insights into the Mechanisms of Amyloid Formation of ZnII-Ab11-28: pH-Dependent Zinc Coordination and Overall Charge as Key Parameters for Kinetics and the Structure of ZnII-Ab11-28 Aggregates. Inorg. Chem. 2012, 51, 7897–7902. [Google Scholar] [CrossRef] [PubMed]
- Kang, J.; Lee, S.J.C.; Nam, J.S.; Lee, H.J.; Kang, M.-G.; Korshavn, K.J.; Kim, H.-T.; Cho, J.; Ramamoorthy, A.; Rhee, H.-W.; et al. An Iridium(III) Complex as a Photoactivatable Tool for Oxidation of Amyloidogenic Peptides with Subsequent Modulation of Peptide Aggregation. Chem. Eur. J. 2017, 23, 1645–1653. [Google Scholar] [CrossRef] [PubMed]
- Hou, L.; Lee, H.G.; Han, F.; Tedesco, J.M.; Perry, G.; Smith, M.A.; Zagorski, M.G. Modification of amyloid-β1-42 fibril structure by methionine-35 oxidation. J. Alzheimer’s Dis. 2013, 37, 9–18. [Google Scholar] [CrossRef] [PubMed]
- Lee, S.J.C.; Nam, E.; Lee, H.J.; Savelieff, M.G.; Lim, M.H. Towards an understanding of amyloid-β oligomers: Characterization, toxicity mechanisms, and inhibitors. Chem. Soc. Rev. 2017, 46, 310–323. [Google Scholar] [CrossRef] [PubMed]








Disclaimer/Publisher’s Note: The statements, opinions and data contained in all publications are solely those of the individual author(s) and contributor(s) and not of MDPI and/or the editor(s). MDPI and/or the editor(s) disclaim responsibility for any injury to people or property resulting from any ideas, methods, instructions or products referred to in the content. |
© 2023 by the authors. Licensee MDPI, Basel, Switzerland. This article is an open access article distributed under the terms and conditions of the Creative Commons Attribution (CC BY) license (https://creativecommons.org/licenses/by/4.0/).
Share and Cite
Cheignon, C.; Collin, F.; Sabater, L.; Hureau, C. Oxidative Damages on the Alzheimer’s Related-Aβ Peptide Alters Its Ability to Assemble. Antioxidants 2023, 12, 472. https://doi.org/10.3390/antiox12020472
Cheignon C, Collin F, Sabater L, Hureau C. Oxidative Damages on the Alzheimer’s Related-Aβ Peptide Alters Its Ability to Assemble. Antioxidants. 2023; 12(2):472. https://doi.org/10.3390/antiox12020472
Chicago/Turabian StyleCheignon, Clémence, Fabrice Collin, Laurent Sabater, and Christelle Hureau. 2023. "Oxidative Damages on the Alzheimer’s Related-Aβ Peptide Alters Its Ability to Assemble" Antioxidants 12, no. 2: 472. https://doi.org/10.3390/antiox12020472
APA StyleCheignon, C., Collin, F., Sabater, L., & Hureau, C. (2023). Oxidative Damages on the Alzheimer’s Related-Aβ Peptide Alters Its Ability to Assemble. Antioxidants, 12(2), 472. https://doi.org/10.3390/antiox12020472

