PSI Photoinhibition and Changing CO2 Levels Initiate Retrograde Signals to Modify Nuclear Gene Expression
Abstract
1. Introduction
2. Materials and Methods
2.1. Growth Conditions and Light Treatments
2.2. Biophysical Measurements
2.3. RNA Isolation, Sequencing, and Data Analyses
2.4. Sugars and Starch Analysis
2.5. Stomatal Aperture Measurement
3. Results
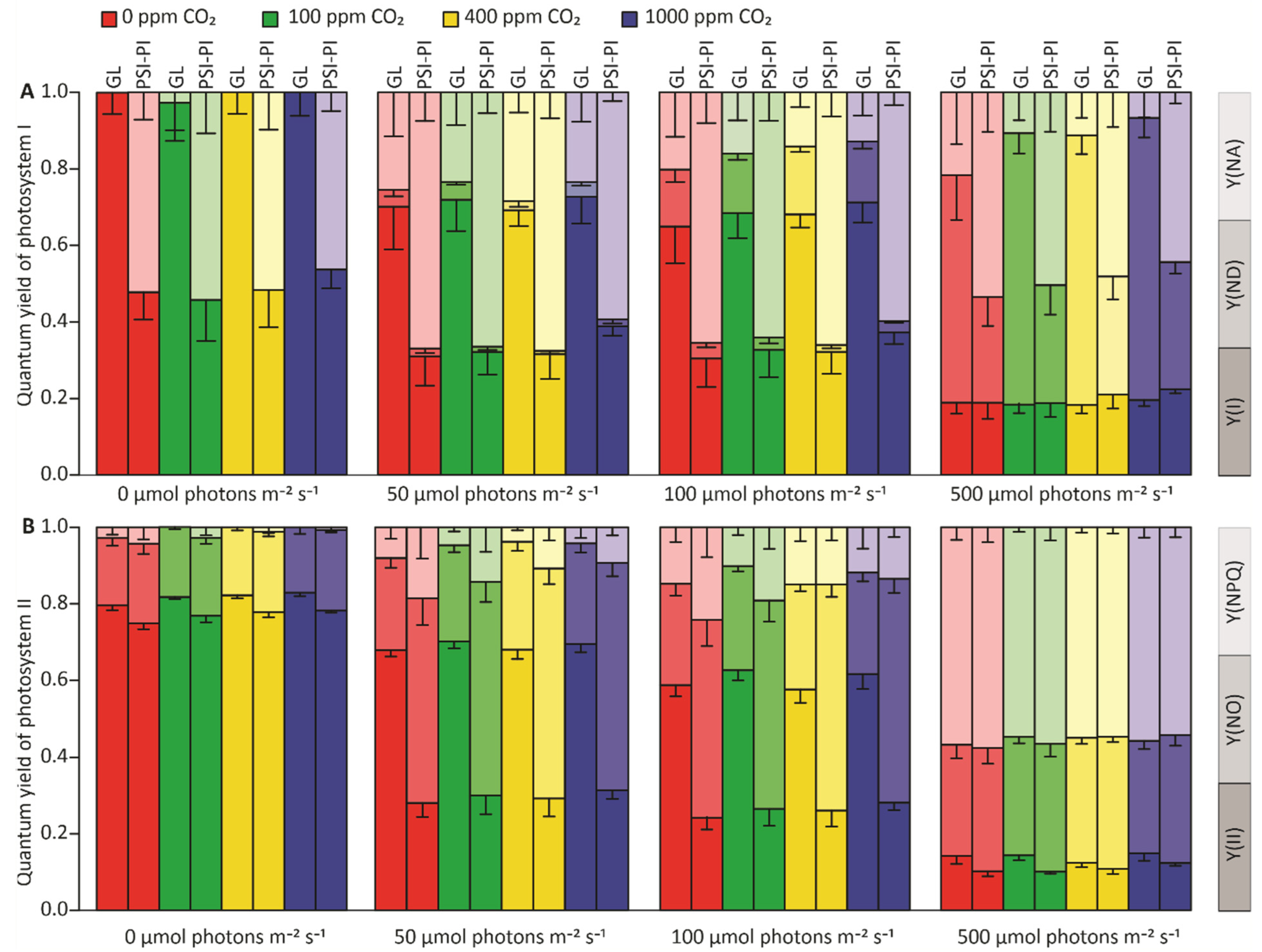
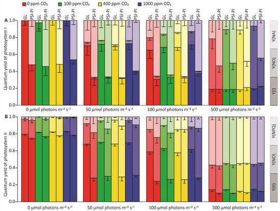
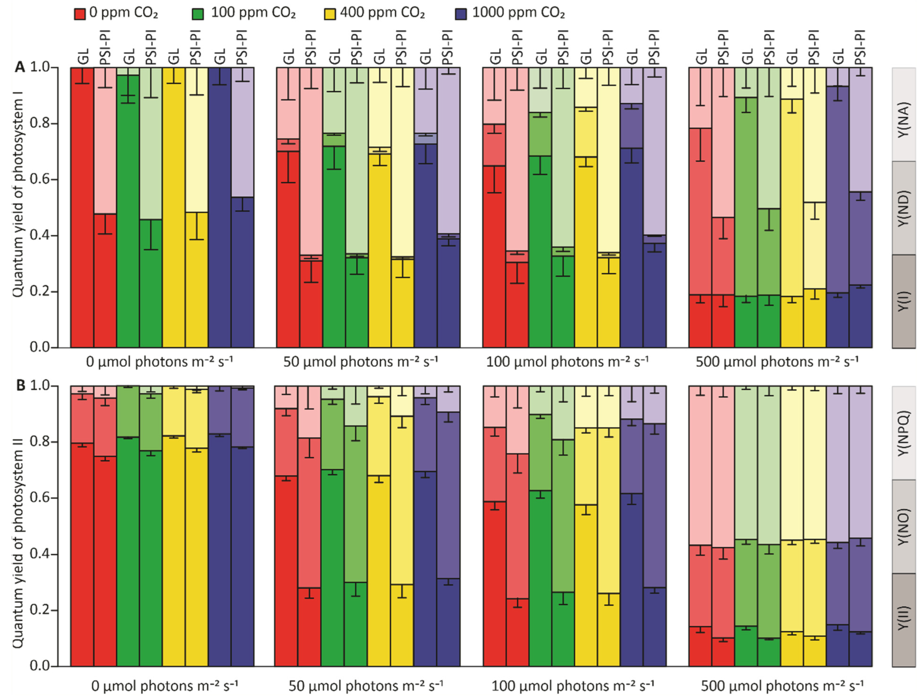
3.1. Susceptibility of PSI to Specific Photoinhibition Treatment Is Almost Independent of CO2 Concentration
3.2. Effects of Combined PSI-PI and Different CO2 Treatments on Carbohydrate Accumulation and Stomatal Opening
3.3. Differential Gene Expression Induced by Exposure of Plants to PSI-PI Treatment and Different CO2 Concentrations
3.3.1. Changes in Gene Expression Induced by Varying CO2 Concentrations
3.3.2. PSI-PI Treatment Induced Differential Expression of Unique Genes Involved in Iron Homeostasis and Light Receptor Signaling
3.3.3. PSI-PI Treatment Upregulates Genes Encoding the Components of Cyclic Electron Flow, CBB Cycle, and Photorespiration
3.3.4. Search for the Origin of Regulatory Signals Generated by PSI-PI Treatment at Different CO2 Concentrations

4. Discussion
4.1. PSI-PI Treatment of Leaves Induces Similar PSI Photoinhibition Independent of CO2 Concentration
4.2. CO2-Specific Changes in Gene Expression: Removal of CO2 Activates Flavonoid Metabolism, Likely via JA/OPDA Signaling in Leaves
4.3. PSI Photoinhibition Changes the Expression of Nuclear Genes Involved in Iron Homeostasis, Light Signaling, and PSI-Acceptor-Side Metabolism
4.4. Origin of the Signal(s) Initiating PSI Photoinhibition-Responsive Expression of Nuclear Genes
5. Conclusions
Supplementary Materials
Author Contributions
Funding
Institutional Review Board Statement
Data Availability Statement
Acknowledgments
Conflicts of Interest
References
- Dietz, K.J.; Turkan, I.; Krieger-Liszkay, A. Redox- and reactive oxygen species-dependent signaling into and out of the photosynthesizing chloroplast. Plant Physiol. 2016, 171, 1541–1550. [Google Scholar] [CrossRef] [PubMed]
- Foyer, C.H.; Hanke, G. ROS production and signalling in chloroplasts: Cornerstones and evolving concepts. Plant J. 2022, 111, 642–661. [Google Scholar] [CrossRef]
- Aro, E.M.; Virgin, I.; Andersson, B. Photoinhibition of photosystem II. Inactivation, protein damage and turnover. Biochim. Biophys. Acta 1993, 1143, 113–134. [Google Scholar] [CrossRef]
- Tikkanen, M.; Mekala, N.R.; Aro, E.M. Photosystem II photoinhibition-repair cycle protects photosystem I from irreversible damage. Biochim. Biophys. Acta 2014, 1837, 210–215. [Google Scholar] [CrossRef] [PubMed]
- Havaux, M.; Davaud, A. Photoinhibition of photosynthesis in chilled potato leaves is not correlated with a loss of photosystem II activity: Preferential inactivation of photosystem I. Photosynth. Res. 1994, 40, 75–92. [Google Scholar] [CrossRef] [PubMed]
- Zhang, S.; Scheller, H.V. Photoinhibition of photosystem I at chilling temperature and subsequent recovery in Arabidopsis thaliana. Plant Cell Physiol. 2004, 45, 1595–1602. [Google Scholar] [CrossRef]
- Kudoh, H.; Sonoike, K. Irreversible damage to photosystem I by chilling in the light: Cause of the degradation of chlorophyll after returning to normal growth temperature. Planta 2002, 215, 541–548. [Google Scholar] [CrossRef]
- Sonoike, K. Photoinhibition of photosystem I. Physiol. Plant. 2011, 142, 56–64. [Google Scholar] [CrossRef]
- Sonoike, K.; Kamo, M.; Hihara, Y.; Hiyama, T.; Enami, I. The mechanism of the degradation of PsaB gene product, one of the photosynthetic reaction center subunits of photosystem I, upon photoinhibition. Photosynth. Res. 1997, 53, 55–63. [Google Scholar] [CrossRef]
- Khorobrykh, S.; Havurinne, V.; Mattila, H.; Tyystjärvi, E. Oxygen and ROS in photosynthesis. Plants 2020, 9, 91. [Google Scholar] [CrossRef]
- Takagi, D.; Takumi, S.; Hashiguchi, M.; Sejima, T.; Miyake, C. Superoxide and singlet oxygen produced within the thylakoid membranes both cause photosystem I photoinhibition. Plant Physiol. 2016, 171, 1626–1634. [Google Scholar] [CrossRef] [PubMed]
- Tiwari, A.; Mamedov, F.; Grieco, M.; Suorsa, M.; Jajoo, A.; Styring, S.; Tikkanen, M.; Aro, E.M. Photodamage of iron-sulphur clusters in photosystem I induces non-photochemical energy dissipation. Nat. Plants 2016, 2, 16035. [Google Scholar] [CrossRef]
- Sonoike, K. photoinhibition of photosystem I: Its physiological significance in the chilling sensitivity of plants. Plant Cell Physiol. 1996, 37, 239–247. [Google Scholar] [CrossRef]
- Tjus, S.E.; Møller, B.L.; Scheller, H.V. Photoinhibition of photosystem I damages both reaction centre proteins PSI-A and PSI-B and acceptor-side located small photosystem I polypeptides. Photosynth. Res. 1999, 60, 75–86. [Google Scholar] [CrossRef]
- Hernández-Verdeja, T.; Strand, Å. Retrograde signals navigate the path to chloroplast development. Plant Physiol. 2018, 176, 967–976. [Google Scholar] [CrossRef] [PubMed]
- Richter, A.S.; Nägele, T.; Grimm, B.; Kaufmann, K.; Schroda, M.; Leister, D.; Kleine, T. Retrograde signaling in plants: A critical review focusing on the GUN pathway and beyond. Plant Commun. 2023, 4, 100511. [Google Scholar] [CrossRef]
- Jan, M.; Liu, Z.; Rochaix, J.D.; Sun, X. Retrograde and anterograde signaling in the crosstalk between chloroplast and nucleus. Front. Plant Sci. 2022, 13, 980237. [Google Scholar] [CrossRef]
- Singh, R.; Singh, S.; Parihar, P.; Singh, V.P.; Prasad, S.M. Retrograde signaling between plastid and nucleus: A review. Plant Physiol. 2015, 181, 55–66. [Google Scholar] [CrossRef]
- Park, S.W.; Li, W.; Viehhauser, A.; He, B.; Kim, S.; Nilsson, A.K.; Andersson, M.X.; Kittle, J.D.; Ambavaram, M.M.R.; Luan, S.; et al. Cyclophilin 20-3 relays a 12-oxo-phytodienoic acid signal during stress responsive regulation of cellular redox homeostasis. Proc. Natl. Acad. Sci. USA 2013, 110, 9559–9564. [Google Scholar] [CrossRef]
- Stintzi, A.; Weber, H.; Reymond, P.; Browse, J.; Farmer, E.E. Plant defense in the absence of jasmonic acid: The role of cyclopentenones. Proc. Natl. Acad. Sci. USA 2001, 98, 12837–12842. [Google Scholar] [CrossRef]
- Liu, W.; Park, S.W. 12-oxo-phytodienoic acid: A fuse and/or switch of plant growth and defense responses? Front. Plant Sci. 2021, 12, 1687. [Google Scholar] [CrossRef] [PubMed]
- Gollan, P.J.; Aro, E.M. Photosynthetic signalling during high light stress and recovery: Targets and dynamics. Philos. Trans. R. Soc. Lond. B Biol. Sci. 2020, 375, 20190406. [Google Scholar] [CrossRef] [PubMed]
- Shan, X.; Zhang, Y.; Peng, W.; Wang, Z.; Xie, D. Molecular mechanism for jasmonate-induction of anthocyanin accumulation in Arabidopsis. J. Exp. Bot. 2009, 60, 3849–3860. [Google Scholar] [CrossRef]
- Lima-Melo, Y.; Kılıç, M.; Aro, E.M.; Gollan, P.J. Photosystem I inhibition, protection and signalling: Knowns and unknowns. Front. Plant Sci. 2021, 12, 791124. [Google Scholar] [CrossRef] [PubMed]
- Tikkanen, M.; Grebe, S. Switching off Photoprotection of photosystem I—A novel tool for gradual PSI photoinhibition. Physiol. Plant. 2018, 162, 156–161. [Google Scholar] [CrossRef]
- Kramer, D.M.; Johnson, G.; Kiirats, O.; Edwards, G.E. New fluorescence parameters for the determination of QA redox state and excitation energy fluxes. Photosynth. Res. 2004, 79, 209–218. [Google Scholar] [CrossRef] [PubMed]
- Oxborough, K.; Baker, N.R. Resolving chlorophyll a fluorescence images of photosynthetic efficiency into photochemical and non-photochemical components—Calculation of QP and Fv’/Fm’ without measuring Fo’. Photosynth. Res. 1997, 54, 135–142. [Google Scholar] [CrossRef]
- Lempiäinen, T.; Rintamäki, E.; Aro, E.M.; Tikkanen, M. Plants acclimate to photosystem I photoinhibition by readjusting the photosynthetic machinery. Plant Cell Environ. 2022, 45, 2954–2971. [Google Scholar] [CrossRef]
- Genty, B.; Briantais, J.M.; Baker, N.R. The relationship between the quantum yield of photosynthetic electron transport and quenching of chlorophyll fluorescence. Biochim. Biophys. Acta 1989, 990, 87–92. [Google Scholar] [CrossRef]
- Patro, R.; Duggal, G.; Love, M.I.; Irizarry, R.A.; Kingsford, C. Salmon provides fast and bias-aware quantification of transcript expression. Nat. Methods 2017, 14, 417–419. [Google Scholar] [CrossRef]
- Soneson, C.; Love, M.I.; Robinson, M.D. Differential analyses for RNA-Seq: Transcript-level estimates improve gene-level inferences. F1000Research 2015, 4, 1521. [Google Scholar] [CrossRef] [PubMed]
- Love, M.I.; Huber, W.; Anders, S. Moderated estimation of fold change and dispersion for rna-seq data with DESeq2. Genome Biol. 2014, 15, 550. [Google Scholar] [CrossRef] [PubMed]
- Ashburner, M.; Ball, C.A.; Blake, J.A.; Botstein, D.; Butler, H.; Cherry, J.M.; Davis, A.P.; Dolinski, K.; Dwight, S.S.; Eppig, J.T.; et al. Gene ontology: Tool for the unification of biology. Nat. Genet. 2000, 25, 25–29. [Google Scholar] [CrossRef]
- Consortium, T.G.O.; Aleksander, S.A.; Balhoff, J.; Carbon, S.; Cherry, J.M.; Drabkin, H.J.; Ebert, D.; Feuermann, M.; Gaudet, P.; Harris, N.L.; et al. The gene ontology knowledgebase in 2023. Genetics 2023, 224, iyad031. [Google Scholar] [CrossRef] [PubMed]
- Thomas, P.D.; Ebert, D.; Muruganujan, A.; Mushayahama, T.; Albou, L.P.; Mi, H. PANTHER: Making genome-scale phylogenetics accessible to all. Protein Sci. 2022, 31, 8–22. [Google Scholar] [CrossRef]
- Xu, Z.; Jiang, Y.; Jia, B.; Zhou, G. Elevated-CO2 response of stomata and its dependence on environmental factors. Front. Plant Sci. 2016, 7, 657. [Google Scholar] [CrossRef] [PubMed]
- Liu, H.; Liu, Z.; Wu, Y.; Zheng, L.; Zhang, G. Regulatory mechanisms of anthocyanin biosynthesis in apple and pear. Int. J. Mol. Sci. 2021, 22, 8441. [Google Scholar] [CrossRef]
- Dao, T.T.H.; Linthorst, H.J.M.; Verpoorte, R. Chalcone synthase and its functions in plant resistance. Phytochem. Rev. 2011, 10, 397–412. [Google Scholar] [CrossRef] [PubMed]
- Lin, Y.; Laosatit, K.; Liu, J.; Chen, J.; Yuan, X.; Somta, P.; Chen, X. The mungbean VrP locus encoding MYB90, an R2R3-Type MYB protein, regulates anthocyanin biosynthesis. Front. Plant Sci. 2022, 13, 895634. [Google Scholar] [CrossRef]
- Yan, H.; Pei, X.; Zhang, H.; Li, X.; Zhang, X.; Zhao, M.; Chiang, V.L.; Sederoff, R.R.; Zhao, X. MYB-mediated regulation of anthocyanin biosynthesis. Int. J. Mol. Sci. 2021, 22, 3103. [Google Scholar] [CrossRef]
- Briat, J.F.; Duc, C.; Ravet, K.; Gaymard, F. Ferritins and iron storage in plants. Biochim. Biophys. Acta 2010, 1800, 806–814. [Google Scholar] [CrossRef] [PubMed]
- Tissot, N.; Robe, K.; Gao, F.; Grant-Grant, S.; Boucherez, J.; Bellegarde, F.; Maghiaoui, A.; Marcelin, R.; Izquierdo, E.; Benhamed, M.; et al. Transcriptional integration of the responses to iron availability in Arabidopsis by the BHLH factor ILR3. New Phytol. 2019, 223, 1433–1446. [Google Scholar] [CrossRef] [PubMed]
- Mukherjee, I.; Campbell, N.H.; Ash, J.S.; Connolly, E.L. Expression profiling of the Arabidopsis ferric chelate reductase (FRO) gene family reveals differential regulation by iron and copper. Planta 2006, 223, 1178–1190. [Google Scholar] [CrossRef] [PubMed]
- Sági-Kazár, M.; Solymosi, K.; Solti, Á. Iron in leaves: Chemical forms, signalling, and in-cell distribution. J. Exp. Bot. 2022, 73, 1717–1734. [Google Scholar] [CrossRef] [PubMed]
- Takahashi, S.; Ogawa, T.; Inoue, K.; Masuda, T. Characterization of cytosolic tetrapyrrole-binding proteins in Arabidopsis thaliana. Photochem. Photobiol. Sci. 2008, 7, 1216–1224. [Google Scholar] [CrossRef] [PubMed]
- Hsieh, E.J.; Lin, W.D.; Schmidt, W. Genomically hardwired regulation of gene activity orchestrates cellular iron homeostasis in Arabidopsis. RNA Biol. 2022, 19, 143–161. [Google Scholar] [CrossRef]
- Pan, I.C.; Tsai, H.H.; Cheng, Y.T.; Wen, T.N.; Buckhout, T.J.; Schmidt, W. Post-transcriptional coordination of the Arabidopsis iron deficiency response is partially dependent on the E3 ligases ring domain ligase 1 (RGLG1) and ring domain ligase 2 (RGLG2). Mol. Cell. Proteom. 2015, 14, 2733–2752. [Google Scholar] [CrossRef]
- Gangappa, S.N.; Botto, J.F. The multifaceted roles of HY5 in plant growth and development. Mol. Plant 2016, 9, 1353–1365. [Google Scholar] [CrossRef]
- Xiao, Y.; Chu, L.; Zhang, Y.; Bian, Y.; Xiao, J.; Xu, D. HY5: A pivotal regulator of light-dependent development in higher plants. Front. Plant Sci. 2022, 12, 800989. [Google Scholar] [CrossRef]
- Holm, M.; Ma, L.G.; Qu, L.J.; Deng, X.W. Two interacting BZIP proteins are direct targets of COP1-mediated control of light-dependent gene expression in Arabidopsis. Genes Dev. 2002, 16, 1247–1259. [Google Scholar] [CrossRef]
- Harmon, F.G.; Kay, S.A. The F Box protein AFR is a positive regulator of phytochrome a-mediated light signaling. Curr. Biol. 2003, 13, 2091–2096. [Google Scholar] [CrossRef] [PubMed][Green Version]
- Liu, C.; Zhang, Q.; Zhu, H.; Cai, C.; Li, S. Characterization of mungbean constans-like genes and functional analysis of constans-like 2 in the regulation of flowering time in Arabidopsis. Front. Plant Sci. 2021, 12, 608603. [Google Scholar] [CrossRef] [PubMed]
- Mellenthin, M.; Ellersiek, U.; Börger, A.; Baier, M. Expression of the Arabidopsis sigma factor SIG5 is photoreceptor and photosynthesis controlled. Plants 2014, 3, 359–391. [Google Scholar] [CrossRef]
- Ma, M.; Liu, Y.; Bai, C.; Yong, J.W.H. The Significance of chloroplast NAD(P)H dehydrogenase complex and its dependent cyclic electron transport in photosynthesis. Front. Plant Sci. 2021, 12, 661863. [Google Scholar] [CrossRef] [PubMed]
- Munekage, Y.; Hojo, M.; Meurer, J.; Endo, T.; Tasaka, M.; Shikanai, T. PGR5 is involved in cyclic electron flow around photosystem I and is essential for photoprotection in Arabidopsis. Cell 2002, 110, 361–371. [Google Scholar] [CrossRef]
- Shikanai, T.; Endo, T.; Hashimoto, T.; Yamada, Y.; Asada, K.; Yokota, A. Directed disruption of the tobacco NdhB gene impairs cyclic electron flow around photosystem I. Proc. Natl. Acad. Sci. USA 1998, 95, 9705–9709. [Google Scholar] [CrossRef]
- Suorsa, M.; Rossi, F.; Tadini, L.; Labs, M.; Colombo, M.; Jahns, P.; Kater, M.M.M.; Leister, D.; Finazzi, G.; Aro, E.M.; et al. PGR5-PGRL1-dependent cyclic electron transport modulates linear electron transport rate in Arabidopsis thaliana. Mol. Plant 2016, 9, 271–288. [Google Scholar] [CrossRef]
- Khozaei, M.; Fisk, S.; Lawson, T.; Gibon, Y.; Sulpice, R.; Stitt, M.; Lefebvre, S.C.; Raines, C.A. Overexpression of plastid transketolase in tobacco results in a thiamine auxotrophic phenotype. Plant Cell 2015, 27, 432–447. [Google Scholar] [CrossRef]
- Laxa, M.; Fromm, S. Co-expression and regulation of photorespiratory genes in Arabidopsis thaliana: A bioinformatic approach. Curr. Plant Biol. 2018, 14, 2–18. [Google Scholar] [CrossRef]
- Parani, M.; Rudrabhatla, S.; Myers, R.; Weirich, H.; Smith, B.; Leaman, D.W.; Goldman, S.L. Microarray analysis of nitric oxide responsive transcripts in Arabidopsis. Plant Biotechnol. J. 2004, 2, 359–366. [Google Scholar] [CrossRef] [PubMed]
- Polverari, A.; Molesini, B.; Pezzotti, M.; Buonaurio, R.; Marte, M.; Delledonne, M. Nitric oxide-mediated transcriptional changes in Arabidopsis thaliana. Mol. Plant-Microbe Interact 2003, 16, 1094–1105. [Google Scholar] [CrossRef] [PubMed]
- Alvarez-Fernandez, R.; Penfold, C.A.; Galvez-Valdivieso, G.; Exposito-Rodriguez, M.; Stallard, E.J.; Bowden, L.; Moore, J.D.; Mead, A.; Davey, P.A.; Matthews, J.S.A.; et al. Time-Series transcriptomics reveals a BBX32-directed control of acclimation to high light in mature Arabidopsis leaves. Plant J. 2021, 107, 1363–1386. [Google Scholar] [CrossRef] [PubMed]
- Hruz, T.; Laule, O.; Szabo, G.; Wessendorp, F.; Bleuler, S.; Oertle, L.; Widmayer, P.; Gruissem, W.; Zimmermann, P. Genevestigator v3: A reference expression database for the meta-analysis of transcriptomes. Adv. Bioinform. 2008, 2008, 420747. [Google Scholar] [CrossRef] [PubMed]
- Op Den Camp, R.G.L.; Przybyla, D.; Ochsenbein, C.; Laloi, C.; Kim, C.; Danon, A.; Wagner, D.; Hideg, É.; Göbel, C.; Feussner, I.; et al. Rapid induction of distinct stress responses after the release of singlet oxygen in Arabidopsis. Plant Cell 2003, 15, 2320–2332. [Google Scholar] [CrossRef]
- Lima-Melo, Y.; Gollan, P.J.; Tikkanen, M.; Silveira, J.A.G.; Aro, E.M. Consequences of photosystem-I damage and repair on photosynthesis and carbon use in Arabidopsis thaliana. Plant J. 2019, 97, 1061–1072. [Google Scholar] [CrossRef] [PubMed]
- Sonoike, K.; Terashima, I.; Iwaki, M.; Itoh, S. Destruction of photosystem I iron-sulfur centers in leaves of Cucumis Sativus L. by weak illumination at chilling temperatures. FEBS Lett. 1995, 362, 235–238. [Google Scholar] [CrossRef]
- Hendriks, J.H.M.; Kolbe, A.; Gibon, Y.; Stitt, M.; Geigenberger, P. ADP-glucose pyrophosphorylase is activated by posttranslational redox-modification in response to light and to sugars in leaves of Arabidopsis and other plant species. Plant Physiol. 2003, 133, 838–849. [Google Scholar] [CrossRef]
- Michalska, J.; Zauber, H.; Buchanan, B.B.; Cejudo, F.J.; Geigenberger, P. NTRC links built-in thioredoxin to light and sucrose in regulating starch synthesis in chloroplasts and amyloplasts. Proc. Natl. Acad. Sci. USA 2009, 106, 9908–9913. [Google Scholar] [CrossRef]
- Wiese, A.; Christ, M.M.; Virnich, O.; Schurr, U.; Walter, A. Spatio-temporal leaf growth patterns of Arabidopsis thaliana and evidence for sugar control of the diel leaf growth cycle. New Phytol. 2007, 174, 752–761. [Google Scholar] [CrossRef]
- Gibon, Y.; Pyl, E.T.; Sulpice, R.; Lunn, J.E.; HÖhne, M.; GÜnther, M.; Stitt, M. Adjustment of growth, starch turnover, protein content and central metabolism to a decrease of the carbon supply when Arabidopsis is grown in very short photoperiods. Plant Cell Environ. 2009, 32, 859–874. [Google Scholar] [CrossRef]
- MacNeill, G.J.; Mehrpouyan, S.; Minow, M.A.A.; Patterson, J.A.; Tetlow, I.J.; Emes, M.J. Starch as a source, starch as a sink: The bifunctional role of starch in carbon allocation. J. Exp. Bot. 2017, 68, 4433–4453. [Google Scholar] [CrossRef] [PubMed]
- Sulpice, R.; Pyl, E.T.; Ishihara, H.; Trenkamp, S.; Steinfath, M.; Witucka-Wall, H.; Gibon, Y.; Usadel, B.; Poree, F.; Piques, M.C.; et al. Starch as a major integrator in the regulation of plant growth. Proc. Natl. Acad. Sci. USA 2009, 106, 10348–10353. [Google Scholar] [CrossRef] [PubMed]
- Mierziak, J.; Kostyn, K.; Kulma, A. Flavonoids as important molecules of plant interactions with the environment. Molecules 2014, 19, 16240–16265. [Google Scholar] [CrossRef] [PubMed]
- Banerjee, S.; Siemianowski, O.; Liu, M.; Lind, K.R.; Tian, X.; Nettleton, D.; Cademartiri, L. Stress response to CO2 deprivation by Arabidopsis thaliana in plant cultures. PLoS ONE 2019, 14, e0212462. [Google Scholar] [CrossRef] [PubMed]
- Gou, J.Y.; Felippes, F.F.; Liu, C.J.; Weigel, D.; Wang, J.W. Negative regulation of anthocyanin biosynthesis in Arabidopsis by a MiR156-targeted SPL transcription factor. Plant Cell 2011, 23, 1512–1522. [Google Scholar] [CrossRef] [PubMed]
- Zhou, H.; Lin-Wang, K.; Liao, L.; Gu, C.; Lu, Z.; Allan, A.C.; Han, Y. Peach MYB7 activates transcription of the proanthocyanidin pathway gene encoding leucoanthocyanidin reductase, but not anthocyanidin reductase. Front. Plant Sci. 2015, 6, 908. [Google Scholar] [CrossRef]
- Borevitz, J.O.; Xia, Y.; Blount, J.; Dixon, R.A.; Lamb, C. Activation tagging identifies a conserved MYB regulator of phenylpropanoid biosynthesis. Plant Cell 2000, 12, 2383–2393. [Google Scholar] [CrossRef]
- Gonzalez, A.; Zhao, M.; Leavitt, J.M.; Lloyd, A.M. Regulation of the anthocyanin biosynthetic pathway by the TTG1/BHLH/Myb transcriptional complex in Arabidopsis seedlings. Plant J. 2008, 53, 814–827. [Google Scholar] [CrossRef]
- Qi, T.; Song, S.; Ren, Q.; Wu, D.; Huang, H.; Chen, Y.; Fan, M.; Peng, W.; Ren, C.; Xiea, D. The jasmonate-ZIM-domain proteins interact with the WD-repeat/BHLH/MYB complexes to regulate jasmonate-mediated anthocyanin accumulation and trichome initiation in Arabidopsis thaliana. Plant Cell 2011, 23, 1795–1814. [Google Scholar] [CrossRef]
- Zhou, M.; Memelink, J. Jasmonate-responsive transcription factors regulating plant secondary metabolism. Biotechnol. Adv. 2016, 34, 441–449. [Google Scholar] [CrossRef]
- Ochsenbein, C.; Przybyla, D.; Danon, A.; Landgraf, F.; Göbel, C.; Imboden, A.; Feussner, I.; Apel, K. The role of EDS1 (enhanced disease susceptibility) during singlet oxygen-mediated stress responses of Arabidopsis. Plant J. 2006, 47, 445–456. [Google Scholar] [CrossRef] [PubMed]
- Przybyla, D.; Göbel, C.; Imboden, A.; Hamberg, M.; Feussner, I.; Apel, K. Enzymatic, but not non-enzymatic, 1O2-mediated peroxidation of polyunsaturated fatty acids forms part of the EXECUTER1-dependent stress response program in the Flu mutant of Arabidopsis thaliana. Plant J. 2008, 54, 236–248. [Google Scholar] [CrossRef]
- Jeong, J.; Cohu, C.; Kerkeb, L.; Pilon, M.; Connolly, E.L.; Guerinot, M. Lou Chloroplast Fe(III) chelate reductase activity is essential for seedling viability under iron limiting conditions. Proc. Natl. Acad. Sci. USA 2008, 105, 10619–10624. [Google Scholar] [CrossRef] [PubMed]
- Nechushtai, R.; Karmi, O.; Zuo, K.; Marjault, H.B.; Darash-Yahana, M.; Sohn, Y.S.; King, S.D.; Zandalinas, S.I.; Carloni, P.; Mittler, R. The balancing act of NEET proteins: Iron, ROS, calcium and metabolism. Biochim. Biophys. Acta 2020, 1867, 118805. [Google Scholar] [CrossRef] [PubMed]
- Ravet, K.; Touraine, B.; Boucherez, J.; Briat, J.F.; Gaymard, F.; Cellier, F. Ferritins control interaction between iron homeostasis and oxidative stress in Arabidopsis. Plant J. 2009, 57, 400–412. [Google Scholar] [CrossRef]
- Bauer, P.; Ling, H.Q.; Guerinot, M. Lou FIT, the FER-like iron deficiency induced transcription factor in Arabidopsis. Plant Physiol. Biochem. 2007, 45, 260–261. [Google Scholar] [CrossRef]
- Okada, S.; Lei, G.J.; Yamaji, N.; Huang, S.; Ma, J.F.; Mochida, K.; Hirayama, T. FE uptake-inducing peptide 1 maintains Fe translocation by controlling Fe deficiency response genes in the vascular tissue of Arabidopsis. Plant Cell Environ. 2022, 45, 3322–3337. [Google Scholar] [CrossRef]
- Sivitz, A.B.; Hermand, V.; Curie, C.; Vert, G. Arabidopsis BHLH100 and BHLH101 control iron homeostasis via a FIT-independent pathway. PLoS ONE 2012, 7, e44843. [Google Scholar] [CrossRef]
- Busch, A.; Rimbauld, B.; Naumann, B.; Rensch, S.; Hippler, M. Ferritin is required for rapid remodeling of the photosynthetic apparatus and minimizes photo-oxidative stress in response to iron availability in Chlamydomonas reinhardtii. Plant J. 2008, 55, 201–211. [Google Scholar] [CrossRef]
- Lima-Melo, Y.; Alencar, V.T.C.B.; Lobo, A.K.M.; Sousa, R.H.V.; Tikkanen, M.; Aro, E.-M.; Silveira, J.A.G.; Gollan, P.J. Photoinhibition of photosystem I provides oxidative protection during imbalanced photosynthetic electron transport in Arabidopsis thaliana. Front. Plant Sci. 2019, 10, 916. [Google Scholar] [CrossRef]
- Gollan, P.J.; Lima-Melo, Y.; Tiwari, A.; Tikkanen, M.; Aro, E.M. Interaction between photosynthetic electron transport and chloroplast sinks triggers protection and signalling important for plant productivity. Philos. Trans. R. Soc. Lond. B Biol. Sci. 2017, 372, 20160390. [Google Scholar] [CrossRef] [PubMed]
- Zhang, C.; Wu, Y.; Liu, X.; Zhang, J.; Li, X.; Lin, L.; Yin, R. Pivotal roles of elongated hypocotyl 5 in regulation of plant development and fruit metabolism in tomato. Plant Physiol. 2022, 189, 527–540. [Google Scholar] [CrossRef] [PubMed]
- Jiang, X.; Xu, J.; Lin, R.; Song, J.; Shao, S.; Yu, J.; Zhou, Y. Light-induced HY5 functions as a systemic signal to coordinate the photoprotective response to light fluctuation. Plant Physiol. 2020, 184, 1181–1193. [Google Scholar] [CrossRef] [PubMed]
- Brown, B.A.; Jenkins, G.I. UV-B Signaling pathways with different fluence-rate response profiles are distinguished in mature Arabidopsis leaf tissue by requirement for UVR8, HY5, and HYH. Plant Physiol. 2008, 146, 576–588. [Google Scholar] [CrossRef]
- Cackett, L.; Luginbuehl, L.H.; Schreier, T.B.; Lopez-Juez, E.; Hibberd, J.M. Chloroplast development in green plant tissues: The interplay between light, hormone, and transcriptional regulation. New Phytol. 2022, 233, 2000–2016. [Google Scholar] [CrossRef]
- Lepistö, A.; Rintamäki, E. Coordination of plastid and light signaling pathways upon development of Arabidopsis leaves under various photoperiods. Mol. Plant 2012, 5, 799–816. [Google Scholar] [CrossRef]
- Ruckle, M.E.; Larkin, R.M. Plastid signals that affect photomorphogenesis in Arabidopsis thaliana are dependent on genomes uncoupled 1 and cryptochrome 1. New Phytol. 2009, 182, 367–379. [Google Scholar] [CrossRef]
- Nagashima, A.; Hanaoka, M.; Shikanai, T.; Fujiwara, M.; Kanamaru, K.; Takahashi, H.; Tanaka, K. The multiple-stress responsive plastid sigma factor, SIG5, directs activation of the PsbD blue light-responsive promoter (BLRP) in Arabidopsis thaliana. Plant Cell Physiol. 2004, 45, 357–368. [Google Scholar] [CrossRef]
- Legen, J.; Kemp, S.; Krause, K.; Profanter, B.; Herrmann, R.G.; Maier, R.M. Comparative analysis of plastid transcription profiles of entire plastid chromosomes from tobacco attributed to wild-type and PEP-deficient transcription machineries. Plant J. 2002, 31, 171–188. [Google Scholar] [CrossRef]
- Waters, M.T.; Wang, P.; Korkaric, M.; Capper, R.G.; Saunders, N.J.; Langdale, J.A. GLK Transcription factors coordinate expression of the photosynthetic apparatus in Arabidopsis. Plant Cell 2009, 21, 1109–1128. [Google Scholar] [CrossRef]
- Kim, N.; Jeong, J.; Kim, J.; Oh, J.; Choi, G. Shade represses photosynthetic genes by disrupting the DNA binding of golden2-like1. Plant Physiol. 2023, 191, 2334–2352. [Google Scholar] [CrossRef] [PubMed]
- Huang, J.; Zhao, X.; Correspondence, J.C.; Chory, J. The Arabidopsis transcriptome responds specifically and dynamically to high light stress. Cell Rep. 2019, 29, 4186–4199. [Google Scholar] [CrossRef] [PubMed]
- Fitzpatrick, D.; Aro, E.M.; Tiwari, A. True oxygen reduction capacity during photosynthetic electron transfer in thylakoids and intact leaves. Plant Physiol. 2022, 189, 112–128. [Google Scholar] [CrossRef] [PubMed]
- Farmer, E.E.; Mueller, M.J. ROS-mediated lipid peroxidation and RES-activated signaling. Annu. Rev. Plant Biol. 2013, 64, 429–450. [Google Scholar] [CrossRef]
- Murata, N.; Takahashi, S.; Nishiyama, Y.; Allakhverdiev, S.I. Photoinhibition of photosystem II under environmental stress. Biochim. Biophys. Acta 2007, 1767, 414–421. [Google Scholar] [CrossRef]
- Tyystjärvi, E.; Aro, E.M. The rate constant of photoinhibition, measured in lincomycin-treated leaves, is directly proportional to light intensity. Proc. Natl. Acad. Sci. USA 1996, 93, 2213–2218. [Google Scholar] [CrossRef]
- Mi, H.; Muruganujan, A.; Ebert, D.; Huang, X.; Thomas, P.D. PANTHER version 14: More genomes, a new PANTHER GO-slim and improvements in enrichment analysis tools. Nucleic Acids Res. 2019, 47, D419–D426. [Google Scholar] [CrossRef]







| Log2 Fold Change | |||||||||
|---|---|---|---|---|---|---|---|---|---|
| Gene ID | Gene Name | Description | 0 ppm CO2 GL vs. 400 ppm CO2 GL | 100 ppm CO2 GL vs. 400 ppm CO2 GL | 1000 ppm CO2 GL vs. 400 ppm CO2 GL | 0 ppm CO2 PSI-PI vs. 400 ppm CO2 PSI-PI | 100 ppm CO2 PSI-PI vs. 400 ppm CO2 PSI-PI | 1000 ppm CO2 PSI-PI vs. 400 ppm CO2 PSI-PI | |
| AT5G42800 | DFR | Dihydroflavonol 4-reductase | Endoplasmic reticulum | 10.52 | −0.72 | 5.72 | 8.55 | 0.06 | −0.22 |
| AT5G17220 | GSTF12 | Glutathione S-transferase phi 12 | Cytosol | 8.08 | −0.38 | 4.49 | 6.8 | −0.18 | 0.6 |
| AT5G54060 | UF3GT | UDP-glucose:flavonoid 3-o-glucosyltransferase | Chloroplast | 7.97 | −2.74 | 4.28 | 6.9 | 0.25 | 1.51 |
| AT3G29590 | AT5MAT | HXXXD-type acyl-transferase family protein | Chloroplast | 7.71 | −0.7 | 3.33 | 5.83 | −0.93 | 1.32 |
| AT4G22880 | LDOX | Leucoanthocyanidin dioxygenase | Nucleus | 7.03 | −0.43 | 2.2 | 6.82 | −0.2 | 0.64 |
| AT5G13930 | CHS | Chalcone and stilbene synthase family protein | cytosol | 5.99 | −0.33 | 1.89 | 4.54 | 0.58 | 1.16 |
| AT5G05270 | CHIL | Chalcone-flavanone isomerase family protein | Chloroplast | 2.9 | 0.89 | 0.59 | 1.76 | 1.37 | 0.63 |
| AT1G66390 | MYB90 | Myb domain protein 90 | Nucleus | 8.19 | 0.3 | 6.25 | 5.94 | −3.14 | −1.52 |
| AT4G09820 | TT8 | Basic helix-loop-helix (bHLH) DNA-binding superfamily protein | Cytosol | 6.11 | −0.42 | 3.89 | 5.24 | −0.39 | 1.47 |
| AT5G41315 | GL3 | Basic helix-loop-helix (bHLH) DNA-binding superfamily protein | Nucleus | 4.31 | 1.92 | 2.88 | 3.17 | −0.13 | 1.67 |
| AT1G66370 | MYB113 | Myb domain protein 113 | Nucleus | 4.23 | −2.88 | 0.73 | 5.21 | −1.68 | −1.4 |
| AT2G37260 | TTG2 | WRKY family transcription factor family protein | Nucleus | 3.14 | 1.66 | 1.3 | 1.9 | 0.75 | 0 |
| AT1G56650 | MYB75 | Production of anthocyanin pigment 1 | Nucleus | 3.09 | −1.04 | 1.34 | 2.99 | −1.21 | 0.75 |
| AT1G66380 | MYB114 | Myb domain protein 114 | Nucleus | 3.01 | −3.1 | 0.87 | 4.97 | 0.85 | 2.17 |
| AT2G47190 | MYB2 | Myb domain protein 2 | Nucleus | 2.66 | 0.31 | 0.4 | 1.09 | −0.38 | 0.48 |
| AT5G56840 | AT5G56840 | Myb-like transcription factor family protein | Nucleus | 2.2 | 0.18 | 1.1 | 1.1 | 0.41 | 0.55 |
| AT3G06490 | MYB108 | Myb domain protein 108 | Nucleus | 1.94 | −0.32 | 0.73 | 2.25 | −0.09 | 0.42 |
| AT1G52880 | NAM | NAC (No Apical Meristem) domain transcriptional regulator superfamily protein | Nucleus | 1.69 | 0.56 | 0.59 | 1.35 | 0.11 | −0.1 |
| AT1G77450 | NAC032 | NAC domain-containing protein 32 | Nucleus | 1.53 | 0.6 | −0.03 | 1.89 | 0.12 | 0.22 |
| AT2G16720 | MYB7 | Myb domain protein 7 | Nucleus | 1.34 | −0.23 | 0.38 | 2.03 | 0.08 | 0.78 |
| Log2 Fold Change | |||||||
|---|---|---|---|---|---|---|---|
| Gene ID | Gene Name | Description | Localization | 0 ppm CO2 PSI-PI vs. 0 ppm CO2 GL | 100 ppm CO2 PSI-PI vs. 100 ppm CO2 GL | 400 ppm CO2 PSI-PI vs. 400 ppm CO2 GL | 1000 ppm CO2 PSI-PI vs. 1000 ppm CO2 GL |
| AT3G56090 | FER3 | Ferritin 3 | Chloroplast | 2.69 | 1.93 | 2.34 | 3.05 |
| AT5G01600 | FER1 | Ferretin 1 | Chloroplast | 2.21 | 1.67 | 2.51 | 4.69 |
| AT5G51720 | NEET | 2Fe−2S cluster binding protein | Chloroplast | 1.91 | 1.14 | 1.38 | 1.97 |
| AT2G40300 | FER4 | Ferritin 4 | Chloroplast | 1.37 | 0.86 | 1.15 | 2.15 |
| AT3G49160 | AT3G49160 | Expression of the gene is downregulated in the presence of paraquat, an inducer of photooxidative stress. Downregulated by Fe deficiency. | Chloroplast? | 1.32 | 1.67 | 1.64 | 3.52 |
| AT5G17170 | ENH1 | Enhancer of SOS3-1/rubredoxin family protein | Chloroplast? | 1.27 | 1.02 | 1.36 | 1.55 |
| AT1G17100 | cHBP1 | Cytosolic heme-binding protein 1 | Cytoplasm? | 1.04 | 1.39 | 1.81 | 1.76 |
| AT1G01590 | FRO1 | Ferric reduction oxidase 1 | Plasma membrane | 1.02 | 0.83 | 2.31 | 1.1 |
| AT1G76800 | VTL2 | Vacuolar iron transporter (VIT) family protein | Vacuolar membrane | 0.76 | 1.09 | 0.87 | 1.61 |
| AT5G49740 | FRO7 | Ferric reduction oxidase 7 | Chloroplast envelope | 0.66 | 1.13 | 1.83 | 1.97 |
| AT5G49730 | FRO6 | Ferric reduction oxidase 6 | Plasma membrane | 0.64 | 0.66 | 1.88 | 1.46 |
| AT1G78450 | cHBP3 | Cytosolic heme-binding protein 3 | Cytoplasm? | 0.63 | 0.77 | 1.56 | 0.89 |
| AT1G21140 | VTL1 | Vacuolar iron transporter (VIT) family protein | Vacuolar membrane | 0.59 | 1.07 | 0.57 | 1.49 |
| AT2G37970 | cHBP2 | Cytosolic heme-binding protein 2 | Cytoplasm? | 0.25 | 0.78 | 1.07 | 1.35 |
| AT2G28160 | bHLH029 | basic helix-loop-helix, FER-like regulator of iron uptake | Nucleus | −0.6 | −0.86 | −1.05 | −0.96 |
| AT5G04150 | BHLH101 | Basic helix-loop-helix (bHLH) DNA-binding superfamily protein, response to Fe deficiency | Nucleus | −2.01 | −1.82 | −0.67 | −3.51 |
| AT3G56360 | AT3G56360 | Hypothetical protein, response to Fe deficiency | Plastid? | −2.44 | −1.99 | −2.43 | −3.03 |
| AT2G30766 | FEP1 | FE-uptake-inducing peptide 1, response to Fe deficiency | Cytoplasm or nucleus | −3.28 | −3.66 | −4.49 | −4.92 |
| AT1G47395 | FEP2 | Fe-uptake-inducing peptide 2, response to Fe deficiency | Cytoplasm or nucleus? | −3.7 | −1.57 | −4.33 | −4.82 |
| AT1G13609 | DEFL | Defensin-like (DEFL) family protein, response to Fe deficiency | ? | −4.04 | −3.1 | −4.54 | −8.96 |
| AT2G14247 | IRP3 | Iron-responsive protein 3 | Chloroplast | −4.45 | −4.05 | −6.09 | −8.79 |
| AT5G05250 | AT5G05250 | Hypothetical protein, response to Fe deficiency | ? | −5.1 | −5.9 | −6.36 | −6.31 |
| Log2 Fold Change | |||||||
|---|---|---|---|---|---|---|---|
| Gene ID | Gene Name | Description | Localization | 0 ppm CO2 PSI-PI vs. 0 ppm CO2 GL | 100 ppm CO2 PSI-PI vs. 100 ppm CO2 GL | 400 ppm CO2 PSI-PI vs. 400 ppm CO2 GL | 1000 ppm CO2 PSI-PI vs. 1000 ppm CO2 GL |
| AT5G11260 | HY5 | Long hypocotyle 5, bZIP transcription factor | Nucleus | 1.96 | 2.03 | 2.53 | 2.07 |
| AT3G17609 | HYH | HY5-homolog | Nucleus | 1.69 | 2.06 | 2.27 | 2.55 |
| AT3G02380 | COL2 | CONSTANS-like 2 | Nucleus | 1.49 | 1.65 | 2.23 | 1.71 |
| AT2G24540 | AFR | Attenuated far-red response | Cytoplasm? | 1.36 | 1.9 | 2.29 | 2.09 |
| AT5G18404 | AT5G18404 | Small protein, response to red or far-red light | Nucleus | 1.36 | 1.06 | 1.66 | 1.14 |
| AT5G24120 | SIG5 | Sigma factor 5, regulation of plastid genes | Chloroplast | 1.02 | 2.04 | 2.46 | 1.89 |
| AT3G62090 | PIF6/PIL2 | Phytochrome interacting factor 3-like 2 | Nucleus | 0.04 | −1.39 | −0.57 | −1.54 |
| AT1G10657 | RPGE4 | Repressor of photosynthetic genes 4 | Nucleus | −0.06 | −0.65 | −1.29 | −0.25 |
| AT3G56710 | SIB1 | Sigma factor binding protein 1 | Chloroplast | −0.16 | −0.74 | −1.47 | −0.83 |
| AT3G55240 | RPEG3 | Repressor of photosynthetic genes 3 | Nucleus | −1.1 | −2.28 | −2.38 | −1.94 |
| AT5G02580 | RPGE1 | Repressor of photosynthetic genes 1 | Nucleus | −2 | −2.69 | −2.39 | −2.68 |
| AT2G46970 | PIF2/PIL1 | Phytochrome-interacting factor 3-like 1 | Nucleus | −2.28 | −2.66 | −2.5 | −2.56 |
Disclaimer/Publisher’s Note: The statements, opinions and data contained in all publications are solely those of the individual author(s) and contributor(s) and not of MDPI and/or the editor(s). MDPI and/or the editor(s) disclaim responsibility for any injury to people or property resulting from any ideas, methods, instructions or products referred to in the content. |
© 2023 by the authors. Licensee MDPI, Basel, Switzerland. This article is an open access article distributed under the terms and conditions of the Creative Commons Attribution (CC BY) license (https://creativecommons.org/licenses/by/4.0/).
Share and Cite
Kılıç, M.; Käpylä, V.; Gollan, P.J.; Aro, E.-M.; Rintamäki, E. PSI Photoinhibition and Changing CO2 Levels Initiate Retrograde Signals to Modify Nuclear Gene Expression. Antioxidants 2023, 12, 1902. https://doi.org/10.3390/antiox12111902
Kılıç M, Käpylä V, Gollan PJ, Aro E-M, Rintamäki E. PSI Photoinhibition and Changing CO2 Levels Initiate Retrograde Signals to Modify Nuclear Gene Expression. Antioxidants. 2023; 12(11):1902. https://doi.org/10.3390/antiox12111902
Chicago/Turabian StyleKılıç, Mehmet, Ville Käpylä, Peter J. Gollan, Eva-Mari Aro, and Eevi Rintamäki. 2023. "PSI Photoinhibition and Changing CO2 Levels Initiate Retrograde Signals to Modify Nuclear Gene Expression" Antioxidants 12, no. 11: 1902. https://doi.org/10.3390/antiox12111902
APA StyleKılıç, M., Käpylä, V., Gollan, P. J., Aro, E.-M., & Rintamäki, E. (2023). PSI Photoinhibition and Changing CO2 Levels Initiate Retrograde Signals to Modify Nuclear Gene Expression. Antioxidants, 12(11), 1902. https://doi.org/10.3390/antiox12111902

