Ultrasound-Assisted Extraction of Taro Leaf Antioxidants Using Natural Deep Eutectic Solvents: An Eco-Friendly Strategy for the Valorization of Crop Residues
Abstract
:1. Introduction
2. Materials and Methods
2.1. Standards and Reagents
2.2. Preparation and Characterization of NaDESs
2.2.1. Preparation of NaDESs
2.2.2. Characterization of NaDESs
Viscosity
pH
Fourier-Transform Infrared Spectroscopy (FTIR)
2.3. Plant Material and Sample Pre-Treatment
2.4. Optimization of Ultrasound-Assisted Extraction (UAE) Using Response Surface Methodology (RSM)
2.5. Phytochemical Analysis
2.5.1. Determination of Total Phenolic Content (TPC) of Colocasia Leaf Extracts
2.5.2. Determination of Total Flavonoid Content (TFC) of Colocasia Leaf Extracts
2.5.3. Determination of Total Hydroxycinnamic Acids (THA) and Total Flavonols (TF) of Colocasia Leaf Extracts
2.5.4. Ultra-Performance Liquid Chromatography Coupled to Electrospray Ionization-Quadrupole-Time-of-Flight Mass Spectrometry (UPLC/ESI-QTOF-MS) to Determine the Phytochemical Profile of Colocasia Leaf Extract
2.6. Antioxidant Capacity
2.6.1. DPPH Radical Scavenging Activity
2.6.2. FRAP Assay
2.7. Protective Effect against H2O2-Induced DNA Damage
2.7.1. Cell Culture and Treatment
2.7.2. Single-Cell Gel Electrophoresis (Comet Assay)
2.8. Statistical Analysis
3. Results and Discussion
3.1. NaDES Characterization
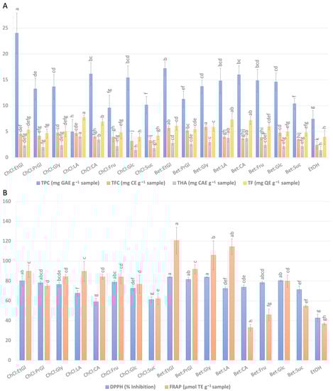
3.2. Screening the Efficiency of NaDESs in the Recovery of Polyphenols from Taro By-Products
3.3. Optimization of UAE Using RSM
3.3.1. Model Fitting and Statistical Analysis
3.3.2. Response Surface Analysis
3.3.3. Multi-Response Optimization and Verification of the Model
3.4. Protective Effects of Taro Extract against H2O2-Induced DNA Damage
3.5. UPLC/ESI-Q-TOF MS Profiling of Phenolic Components of Taro Extract
4. Conclusions
Supplementary Materials
Author Contributions
Funding
Institutional Review Board Statement
Informed Consent Statement
Data Availability Statement
Conflicts of Interest
References
- Goncalves, R.F.; Silva, A.M.S.; Silva, A.M.; Valentao, P.; Ferreres, F.; Gil-Izquierdo, A.; Silva, J.B.; Santos, D.; Andrade, P.B. Influence of Taro (Colocasia esculenta L. Shott) Growth Conditions on the Phenolic Composition and Biological Properties. Food Chem. 2013, 141, 3480–3485. [Google Scholar] [CrossRef] [PubMed]
- Ferreres, F.; Gonçalves, R.F.; Gil-Izquierdo, A.; Valentão, P.; Silva, A.M.S.; Silva, J.B.; Santos, D.; Andrade, P.B. Further Knowledge on the Phenolic Profile of Colocasia esculenta (L.) Shott. J. Agric. Food Chem. 2012, 60, 7005–7015. [Google Scholar] [CrossRef]
- Kumar, V.; Sharma, H.K. Process Optimization for Extraction of Bioactive Compounds from Taro (Colocasia esculenta), Using RSM and ANFIS Modeling. J. Food Meas. Charact. 2017, 11, 704–718. [Google Scholar] [CrossRef]
- Mitharwal, S.; Kumar, A.; Chauhan, K.; Taneja, N.K. Nutritional, Phytochemical Composition and Potential Health Benefits of Taro (Colocasia esculenta L.) Leaves: A Review. Food Chem. 2022, 383, 132406. [Google Scholar] [CrossRef] [PubMed]
- Leong, A.C.N.; Kinjo, Y.; Tako, M.; Iwasaki, H.; Oku, H.; Tamaki, H. Flavonoid Glycosides in the Shoot System of Okinawa Taumu (Colocasia esculenta S.). Food Chem. 2010, 119, 630–635. [Google Scholar] [CrossRef]
- El-Mesallamy, A.M.; El-Tawil, N.A.; Ibrahim, S.A.; Hussein, S.A.M. Phenolic Profile: Antimicrobial Activity and Antioxidant Capacity of Colocasia esculenta (L.) Schott. Egypt. J. Chem. 2021, 64, 2165–2172. [Google Scholar] [CrossRef]
- Alam, M.A.; Muhammad, G.; Khan, M.N.; Mofijur, M.; Lv, Y.; Xiong, W.; Xu, J. Choline Chloride-Based Deep Eutectic Solvents as Green Extractants for the Isolation of Phenolic Compounds from Biomass. J. Clean. Prod. 2021, 309, 127445. [Google Scholar] [CrossRef]
- Fu, X.; Belwal, T.; He, Y.; Xu, Y.; Li, L.; Luo, Z. UPLC-Triple-TOF/MS Characterization of Phenolic Constituents and the Influence of Natural Deep Eutectic Solvents on Extraction of Carya Cathayensis Sarg. Peels: Composition, Extraction Mechanism and in Vitro Biological Activities. Food Chem. 2022, 370, 131042. [Google Scholar] [CrossRef]
- Fu, X.; Wang, D.; Belwal, T.; Xu, Y.; Li, L.; Luo, Z. Sonication-Synergistic Natural Deep Eutectic Solvent as a Green and Efficient Approach for Extraction of Phenolic Compounds from Peels of Carya Cathayensis Sarg. Food Chem. 2021, 355, 129577. [Google Scholar] [CrossRef]
- Bonacci, S.; Di Gioia, M.L.; Costanzo, P.; Maiuolo, L.; Tallarico, S.; Nardi, M. Natural Deep Eutectic Solvent as Extraction Media for the Main Phenolic Compounds from Olive Oil Processing Wastes. Antioxidants 2020, 9, 513. [Google Scholar] [CrossRef]
- Popovic, B.M.; Micic, N.; Potkonjak, A.; Blagojevic, B.; Pavlovic, K.; Milanov, D.; Juric, T. Novel Extraction of Polyphenols from Sour Cherry Pomace Using Natural Deep Eutectic Solvents—Ultrafast Microwave-Assisted NADES Preparation and Extraction. Food Chem. 2022, 366, 130562. [Google Scholar] [CrossRef]
- Dabetic, N.; Todorovic, V.; Malenovic, A.; Sobajic, S.; Markovic, B. Optimization of Extraction and HPLC–MS/MS Profiling of Phenolic Compounds from Red Grape Seed Extracts Using Conventional and Deep Eutectic Solvents. Antioxidants 2022, 11, 1595. [Google Scholar] [CrossRef] [PubMed]
- Lee, S.Y.; Liang, Y.N.; Stuckey, D.C.; Hu, X. Single-Step Extraction of Bioactive Compounds from Cruciferous Vegetable (Kale) Waste Using Natural Deep Eutectic Solvents. Sep. Purif. Technol. 2023, 317, 123677. [Google Scholar] [CrossRef]
- Kalhor, P.; Ghandi, K. Deep Eutectic Solvents for Pretreatment, Extraction, and Catalysis of Biomass and Food Waste. Molecules 2019, 24, 4012. [Google Scholar] [CrossRef] [PubMed]
- Santos-Martín, M.; Cubero-Cardoso, J.; González-Domínguez, R.; Cortés-Triviño, E.; Sayago, A.; Urbano, J.; Fernández-Recamales, Á. Ultrasound-Assisted Extraction of Phenolic Compounds from Blueberry Leaves Using Natural Deep Eutectic Solvents (NADES) for the Valorization of Agrifood Wastes. Biomass Bioenergy 2023, 175, 106882. [Google Scholar] [CrossRef]
- Ozturk, B.; Parkinson, C.; Gonzalez-Miquel, M. Extraction of Polyphenolic Antioxidants from Orange Peel Waste Using Deep Eutectic Solvents. Sep. Purif. Technol. 2018, 206, 1–13. [Google Scholar] [CrossRef]
- Bener, M.; Şen, F.B.; Önem, A.N.; Bekdeşer, B.; Çelik, S.E.; Lalikoglu, M.; Aşçı, Y.S.; Capanoglu, E.; Apak, R. Microwave-Assisted Extraction of Antioxidant Compounds from by-Products of Turkish Hazelnut (Corylus avellana L.) Using Natural Deep Eutectic Solvents: Modeling, Optimization and Phenolic Characterization. Food Chem. 2022, 385, 132633. [Google Scholar] [CrossRef]
- Panić, M.; Gunjević, V.; Cravotto, G.; Radojčić Redovniković, I. Enabling Technologies for the Extraction of Grape-Pomace Anthocyanins Using Natural Deep Eutectic Solvents in up-to-Half-Litre Batches Extraction of Grape-Pomace Anthocyanins Using NADES. Food Chem. 2019, 300, 125185. [Google Scholar] [CrossRef]
- Eugenio, M.H.A.; Pereira, R.G.F.A.; de Abreu, W.C.; Pereira, M.C.D.A. Phenolic Compounds and Antioxidant Activity of Tuberous Root Leaves. Int. J. Food Prop. 2017, 20, 2966–2973. [Google Scholar] [CrossRef]
- Li, H.M.; Hwang, S.H.; Kang, B.G.; Hong, J.S.; Lim, S.S. Inhibitory Effects of Colocasia esculenta (L.) Schott Constituents on Aldose Reductase. Molecules 2014, 19, 13212–13224. [Google Scholar] [CrossRef]
- Ivanović, M.; Alañón, M.E.; Arráez-Román, D.; Segura-Carretero, A. Enhanced and Green Extraction of Bioactive Compounds from Lippia Citriodora by Tailor-Made Natural Deep Eutectic Solvents. Food Res. Int. 2018, 111, 67–76. [Google Scholar] [CrossRef] [PubMed]
- Bobo-García, G.; Davidov-Pardo, G.; Arroqui, C.; Vírseda, P.; Marín-Arroyo, M.R.; Navarro, M. Intra-Laboratory Validation of Microplate Methods for Total Phenolic Content and Antioxidant Activity on Polyphenolic Extracts, and Comparison with Conventional Spectrophotometric Methods. J. Sci. Food Agric. 2015, 95, 204–209. [Google Scholar] [CrossRef] [PubMed]
- Goulas, V.; Georgiou, E. Utilization of Carob Fruit as Sources of Phenolic Compounds with Antioxidant Potential: Extraction Optimization and Application in Food Models. Foods 2020, 9, 20. [Google Scholar] [CrossRef] [PubMed]
- Goulas, V.; Manganaris, G.A. The Effect of Postharvest Ripening on Strawberry Bioactive Composition and Antioxidant Potential. J. Sci. Food Agric. 2011, 91, 1907–1914. [Google Scholar] [CrossRef] [PubMed]
- Roseiro, L.B.; Tavares, C.S.; Roseiro, J.C.; Rauter, A.P. Antioxidants from Aqueous Decoction of Carob Pods Biomass (Ceretonia siliqua L.): Optimisation Using Response Surface Methodology and Phenolic Profile by Capillary Electrophoresis. Ind. Crops Prod. 2013, 44, 119–126. [Google Scholar] [CrossRef]
- Benzie, I.F.F.; Strain, J.J. The Ferric Reducing Ability of Plasma (FRAP) as a Measure of “Antioxidant Power”: The FRAP Assay. Anal. Biochem. 1996, 239, 70–76. [Google Scholar] [CrossRef]
- Kitsati, N.; Fokas, D.; Ouzouni, M.D.; Mantzaris, M.D.; Barbouti, A.; Galaris, D. Lipophilic Caffeic Acid Derivatives Protect Cells against H2O2-Induced DNA Damage by Chelating Intracellular Labile Iron. J. Agric. Food Chem. 2012, 60, 7873–7879. [Google Scholar] [CrossRef]
- Barbouti, A.; Doulias, P.-T.; Zhu, B.-Z.; Frei, B.; Galaris, D. Original Contribution intracellular iron, but not copper, plays a critical role in hydrogen peroxide-induced dna damage. Free. Radic. Biol. Med. 2001, 31, 490–498. [Google Scholar] [CrossRef]
- Mantelou, A.G.; Barbouti, A.; Goussia, A.; Zacharioudaki, A.; Papoudou-Bai, A.; Vlachou, C.; Kokkoris, S.; Papalois, A.; Galaris, D.; Glantzounis, G.K. Combined Administration of Membrane-Permeable and Impermeable Iron-Chelating Drugs Attenuates Ischemia/Reperfusion-Induced Hepatic Injury. Free Radic. Biol. Med. 2022, 193, 227–237. [Google Scholar] [CrossRef]
- Zannou, O.; Koca, I. Greener Extraction of Anthocyanins and Antioxidant Activity from Blackberry (Rubus spp.) Using Natural Deep Eutectic Solvents. LWT 2022, 158, 113184. [Google Scholar] [CrossRef]
- Osamede Airouyuwa, J.; Mostafa, H.; Riaz, A.; Maqsood, S. Utilization of Natural Deep Eutectic Solvents and Ultrasound-Assisted Extraction as Green Extraction Technique for the Recovery of Bioactive Compounds from Date Palm (Phoenix dactylifera L.) Seeds: An Investigation into Optimization of Process Parameters. Ultrason. Sonochem. 2022, 91, 106233. [Google Scholar] [CrossRef] [PubMed]
- Zahrina, I.; Nasikin, M.; Krisanti, E.; Mulia, K. Deacidification of Palm Oil Using Betaine Monohydrate-Based Natural Deep Eutectic Solvents. Food Chem. 2018, 240, 490–495. [Google Scholar] [CrossRef] [PubMed]
- Bertolo, M.R.V.; Martins, V.C.A.; Plepis, A.M.G.; Bogusz, S. Utilization of Pomegranate Peel Waste: Natural Deep Eutectic Solvents as a Green Strategy to Recover Valuable Phenolic Compounds. J. Clean. Prod. 2021, 327, 129471. [Google Scholar] [CrossRef]
- Pan, Z.; Bo, Y.; Liang, Y.; Lu, B.; Zhan, J.; Zhang, J.; Zhang, J. Intermolecular Interactions in Natural Deep Eutectic Solvents and Their Effects on the Ultrasound-Assisted Extraction of Artemisinin from Artemisia Annua. J. Mol. Liq. 2021, 326, 115283. [Google Scholar] [CrossRef]
- Socas-Rodríguez, B.; Mendiola, J.A.; Rodríguez-Delgado, M.Á.; Ibáñez, E.; Cifuentes, A. Safety Assessment of Citrus and Olive By-Products Using a Sustainable Methodology Based on Natural Deep Eutectic Solvents. J. Chromatogr. A 2022, 1669, 462922. [Google Scholar] [CrossRef]
- Xie, Y.; Liu, H.; Lin, L.; Zhao, M.; Zhang, L.; Zhang, Y.; Wu, Y. Application of Natural Deep Eutectic Solvents to Extract Ferulic Acid from Ligusticum Chuanxiong Hort with Microwave Assistance. RSC Adv. 2019, 9, 22677–22684. [Google Scholar] [CrossRef]
- Jovanović, M.S.; Krgović, N.; Radan, M.; Ćujić-Nikolić, N.; Mudrić, J.; Lazarević, Z.; Šavikin, K. Natural Deep Eutectic Solvents Combined with Cyclodextrins: A Novel Strategy for Chokeberry Anthocyanins Extraction. Food Chem. 2023, 405, 134816. [Google Scholar] [CrossRef]
- Souza, O.A.; da Silva Ramalhão, V.G.; de Melo Trentin, L.; Funari, C.S.; Carneiro, R.L.; da Silva Bolzani, V.; Rinaldo, D. Combining Natural Deep Eutectic Solvent and Microwave Irradiation towards the Eco-Friendly and Optimized Extraction of Bioactive Phenolics from Eugenia uniflora L. Sustain. Chem. Pharm. 2022, 26, 100618. [Google Scholar] [CrossRef]
- Alasalvar, H.; Yildirim, Z. Ultrasound-Assisted Extraction of Antioxidant Phenolic Compounds from Lavandula Angustifolia Flowers Using Natural Deep Eutectic Solvents: An Experimental Design Approach. Sustain. Chem. Pharm. 2021, 22, 100492. [Google Scholar] [CrossRef]
- Ünlü, A.E. Green and Non-conventional Extraction of Bioactive Compounds from Olive Leaves: Screening of Novel Natural Deep Eutectic Solvents and Investigation of Process Parameters. Waste Biomass Valorization 2021, 12, 5329–5346. [Google Scholar] [CrossRef]
- Mohd Fuad, F.; Mohd Nadzir, M. Ultrasound-Assisted Extraction of Asiaticoside from Centella Asiatica Using Betaine-Based Natural Deep Eutectic Solvent. Ind. Crops Prod. 2023, 192, 116069. [Google Scholar] [CrossRef]
- Rashid, R.; Mohd Wani, S.; Manzoor, S.; Masoodi, F.A.; Masarat Dar, M. Green Extraction of Bioactive Compounds from Apple Pomace by Ultrasound Assisted Natural Deep Eutectic Solvent Extraction: Optimisation, Comparison and Bioactivity. Food Chem. 2022, 398, 133871. [Google Scholar] [CrossRef] [PubMed]
- Singh, S.; Singh, D.R.; Salim, K.M.; Srivastava, A.; Singh, L.B.; Srivastava, R.C. Estimation of Proximate Composition, Micronutrients and Phytochemical Compounds in Traditional Vegetables from Andaman and Nicobar Islands. Int. J. Food Sci. Nutr. 2011, 62, 765–773. [Google Scholar] [CrossRef] [PubMed]
- Singh, S.; Swain, S.; Singh, D.R.; Salim, K.M.; Nayak, D.; Roy, S.D. Changes in Phytochemicals, Anti-Nutrients and Antioxidant Activity in Leafy Vegetables by Microwave Boiling with Normal and 5% NaCl Solution. Food Chem. 2015, 176, 244–253. [Google Scholar] [CrossRef]
- Lako, J.; Trenerry, V.C.; Wahlqvist, M.; Wattanapenpaiboon, N.; Sotheeswaran, S.; Premier, R. Phytochemical Flavonols, Carotenoids and the Antioxidant Properties of a Wide Selection of Fijian Fruit, Vegetables and Other Readily Available Foods. Food Chem. 2007, 101, 1727–1741. [Google Scholar] [CrossRef]






| NaDES | Molar Ratio (HBA:HBD) | NaDES Category | Water Content | |||
|---|---|---|---|---|---|---|
| 20% w/w | 40% w/w | |||||
| Viscosity (cP) | pH | Viscosity (cP) | pH | |||
| ChCl:EtGl | 1:2 | Polyol-based | 35 | 7.80 | 24 | 6.76 |
| ChCl:PrGl | 1:2 | 51 | 7.80 | 30 | 6.84 | |
| ChCl:Gly | 1:2 | 69 | 7.07 | 31 | 6.08 | |
| ChCl:LA | 1:1 | Acid-based | 56 | 1.26 | 32 | 1.13 |
| ChCl:CA | 1:1 | 231 | 0.40 | 39 | 0.16 | |
| ChCl:Fru | 1:1 | Sugar-based | 395 | 5.85 | 36 | 5.02 |
| ChCl:Glc | 1:1 | 520 | 6.21 | 38 | 5.57 | |
| ChCl:Suc | 1:1 | 3100 | 6.25 | 56 | 5.23 | |
| Bet:EtGl | 1:2 | Polyol-based | 56 | 8.54 | 29 | 7.46 |
| Bet:PrGl | 1:2 | 80 | 8.51 | 34 | 7.43 | |
| Bet:Gly | 1:2 | 125 | 8.32 | 38 | 6.86 | |
| Bet:LA | 1:1 | Acid-based | 122 | 4.36 | 36 | 3.53 |
| Bet:CA | 1:1 | 1383 | 2.19 | 44 | 2.24 | |
| Bet:Fru | 1:1 | Sugar-based | 2517 | 7.45 | 52 | 5.88 |
| Bet:Glc | 1:1 | 4730 | 8.23 | 67 | 6.74 | |
| Bet:Suc | 1:1 | 17,360 | 7.91 | 78 | 5.56 | |
| Independent Variable | Symbol | Factor Level | ||
|---|---|---|---|---|
| Low (−1) | Medium (0) | High (1) | ||
| Solvent-to-solid ratio (mL g−1) | A | 10 | 20 | 30 |
| Processing time (min) | B | 20 | 40 | 60 |
| Extraction temperature (°C) | C | 20 | 40 | 60 |
| Water content (%, w/w) | D | 20 | 30 | 40 |
| Run | Independent Variables | Responses | ||||||||
|---|---|---|---|---|---|---|---|---|---|---|
| A Solvent-to-Solid Ratio (mL g−1) | B Processing Time (min) | C Extraction Temperature (°C) | D Water Content (%, w/w) | Y1 TPC (mg GAE g−1 Sample) | Y2 TFC (mg CE g−1 Sample) | Y3 THA (mg CAE g−1 Sample) | Y4 TF (mg QE g−1 Sample) | Y5 DPPH (% Inhibition) | Y6 FRAP (μmol TE g−1 Sample) | |
| 1 | 10 (−1) | 40 (0) | 40 (0) | 40 (+1) | 17.08 | 6.22 | 3.99 | 7.19 | 48.52 | 87.76 |
| 2 | 20 (0) | 20 (−1) | 40 (0) | 20 (−1) | 16.84 | 5.90 | 2.90 | 6.27 | 45.20 | 87.52 |
| 3 | 20 (0) | 40 (0) | 40 (0) | 30 (0) | 18.46 | 6.65 | 3.23 | 6.37 | 43.11 | 96.50 |
| 4 | 30 (+1) | 40 (0) | 40 (0) | 40 (+1) | 18.56 | 7.03 | 2.72 | 6.00 | 54.62 | 112.43 |
| 5 | 10 (−1) | 40 (0) | 20 (−1) | 30 (0) | 16.37 | 6.04 | 4.06 | 6.97 | 39.65 | 81.48 |
| 6 | 20 (0) | 60 (+1) | 20 (−1) | 30 (0) | 18.67 | 6.64 | 3.54 | 6.80 | 49.86 | 104.26 |
| 7 | 30 (+1) | 40 (0) | 40 (0) | 20 (−1) | 17.57 | 6.82 | 2.72 | 5.18 | 52.17 | 89.10 |
| 8 | 20 (0) | 20 (−1) | 20 (−1) | 30 (0) | 16.37 | 6.04 | 2.56 | 5.78 | 39.77 | 87.08 |
| 9 | 10 (−1) | 60 (+1) | 40 (0) | 30 (0) | 18.72 | 7.15 | 4.07 | 8.76 | 56.21 | 114.57 |
| 10 | 20 (0) | 40 (0) | 20 (−1) | 40 (+1) | 17.35 | 5.71 | 2.94 | 5.75 | 42.59 | 81.89 |
| 11 | 20 (0) | 40 (0) | 60 (+1) | 40 (+1) | 18.97 | 7.12 | 3.80 | 7.21 | 51.33 | 113.17 |
| 12 | 20 (0) | 40 (0) | 40 (0) | 30 (0) | 17.78 | 6.37 | 3.07 | 6.15 | 44.94 | 97.11 |
| 13 | 20 (0) | 60 (+1) | 40 (0) | 40 (+1) | 18.67 | 7.05 | 4.07 | 7.88 | 56.98 | 116.51 |
| 14 | 20 (0) | 60 (+1) | 60 (+1) | 30 (0) | 18.72 | 7.52 | 4.03 | 7.75 | 57.51 | 127.14 |
| 15 | 30 (+1) | 40 (0) | 20 (−1) | 30 (0) | 18.57 | 6.69 | 2.28 | 5.18 | 52.17 | 100.04 |
| 16 | 30 (+1) | 20 (−1) | 40 (0) | 30 (0) | 18.72 | 6.82 | 2.38 | 6.84 | 59.23 | 112.64 |
| 17 | 20 (0) | 40 (0) | 60 (+1) | 20 (−1) | 17.37 | 6.78 | 2.84 | 5.92 | 53.13 | 93.14 |
| 18 | 10 (−1) | 40 (0) | 60 (+1) | 30 (0) | 20.20 | 6.78 | 4.16 | 7.92 | 56.77 | 109.23 |
| 19 | 20 (0) | 40 (0) | 40 (0) | 30 (0) | 18.72 | 6.34 | 3.23 | 6.76 | 44.17 | 98.42 |
| 20 | 30 (+1) | 60 (+1) | 40 (0) | 30 (0) | 18.72 | 7.62 | 3.52 | 6.37 | 59.98 | 131.80 |
| 21 | 20 (0) | 40 (0) | 40 (0) | 30 (0) | 18.27 | 6.71 | 3.19 | 6.25 | 44.94 | 98.03 |
| 22 | 20 (0) | 40 (0) | 20 (−1) | 20 (−1) | 16.37 | 5.49 | 2.56 | 5.28 | 31.48 | 78.08 |
| 23 | 10 (−1) | 40 (0) | 40 (0) | 20 (−1) | 15.90 | 6.04 | 3.12 | 6.83 | 38.90 | 87.24 |
| 24 | 10 (−1) | 20 (−1) | 40 (0) | 30 (0) | 17.53 | 6.55 | 3.56 | 7.53 | 49.51 | 101.55 |
| 25 | 20 (0) | 40 (0) | 40 (0) | 30 (0) | 17.81 | 6.41 | 3.51 | 6.46 | 44.27 | 96.72 |
| 26 | 20 (0) | 20 (−1) | 60 (+1) | 30 (0) | 20.20 | 7.00 | 3.56 | 7.03 | 58.13 | 112.52 |
| 27 | 30 (+1) | 40 (0) | 60 (+1) | 30 (0) | 18.14 | 7.56 | 2.93 | 5.81 | 60.22 | 119.56 |
| 28 | 20 (0) | 20 (−1) | 40 (0) | 40 (+1) | 17.85 | 6.42 | 3.15 | 6.26 | 47.02 | 100.00 |
| 29 | 20 (0) | 60 (+1) | 40 (0) | 20 (−1) | 16.67 | 6.92 | 3.12 | 6.92 | 46.43 | 105.66 |
| Term | TPC | TFC | THA | TF | DPPH | FRAP | ||||||
|---|---|---|---|---|---|---|---|---|---|---|---|---|
| F-Value | p-Value | F-Value | p-Value | F-Value | p-Value | F-Value | p-Value | F-Value | p-Value | F-Value | p-Value | |
| Model | 13.91 | <0.0001 | 17.64 | <0.0001 | 25.09 | <0.0001 | 22.12 | <0.0001 | 97.36 | <0.0001 | 181.14 | <0.0001 |
| A | 10.58 | 0.0058 | 38.81 | <0.0001 | 50.23 | <0.0001 | 124.68 | <0.0001 | 180.40 | <0.0001 | 279.61 | <0.0001 |
| B | 3.77 | 0.0727 | 47.33 | <0.0001 | 22.04 | <0.0001 | 29.49 | <0.0001 | 59.74 | <0.0001 | 387.89 | <0.0001 |
| C | 52.31 | <0.0001 | 103.32 | <0.0001 | 13.91 | 0.0010 | 44.50 | <0.0001 | 503.21 | <0.0001 | 803.09 | <0.0001 |
| D | 31.96 | <0.0001 | 6.82 | 0.0205 | 14.18 | 0.0009 | 19.53 | 0.0006 | 86.12 | <0.0001 | 201.16 | <0.0001 |
| AB | 2.27 | 0.1537 | 0.3065 | 0.5886 | - | - | 11.31 | 0.0046 | 8.03 | 0.0133 | 4.50 | 0.0522 |
| AC | 28.92 | <0.0001 | 0.1120 | 0.7428 | - | - | 0.4122 | 0.5312 | 18.72 | 0.0007 | 8.10 | 0.0129 |
| AD | 0.0565 | 0.8156 | 0.0073 | 0.9331 | - | - | 0.8165 | 0.3815 | 11.63 | 0.0042 | 62.21 | <0.0001 |
| BC | 22.73 | 0.0003 | 0.0530 | 0.8212 | - | - | 0.3600 | 0.5581 | 26.03 | 0.0002 | 0.7839 | 0.3909 |
| BD | 1.58 | 0.2300 | 1.28 | 0.2775 | - | - | 3.69 | 0.0754 | 17.33 | 0.0010 | 0.3176 | 0.5819 |
| CD | 0.6191 | 0.4445 | 0.1029 | 0.7531 | - | - | 2.57 | 0.1313 | 37.81 | <0.0001 | 31.47 | <0.0001 |
| A2 | 0.0104 | 0.9201 | 13.76 | 0.0023 | - | - | 5.40 | 0.0356 | 214.95 | <0.0001 | 77.01 | <0.0001 |
| B2 | 1.38 | 0.2589 | 18.38 | 0.0008 | - | - | 46.75 | <0.0001 | 196.62 | <0.0001 | 425.75 | <0.0001 |
| C2 | 0.7590 | 0.3983 | 0.0354 | 0.8534 | - | - | 2.79 | 0.1169 | 15.57 | 0.0015 | 0.0001 | 0.9922 |
| D2 | 31.87 | <0.0001 | 10.41 | 0.0061 | - | - | 6.60 | 0.0223 | 11.59 | 0.0043 | 146.96 | <0.0001 |
| Lack of fit | 0.8997 | 0.5964 | 1.08 | 0.5153 | 2.99 | 0.1485 | 1.24 | 0.4533 | 2.35 | 0.2125 | 3.79 | 0.1053 |
| R2 | 0.9329 | 0.9464 | 0.8070 | 0.9567 | 0.9898 | 0.9945 | ||||||
| R2adj | 0.8658 | 0.8927 | 0.7749 | 0.9135 | 0.9797 | 0.9890 | ||||||
| R2pred | 0.7003 | 0.7521 | 0.7038 | 0.7953 | 0.9476 | 0.9706 | ||||||
| Compound | Molecular Formula | Neutral Mass (Da) | Observed m/z for [M-H]− | Mass Error (ppm) | Identified Polyphenol | Group |
|---|---|---|---|---|---|---|
| 1 | C27H30O15 | 594.158 | 593.151 | −0.6 | Vicenin-2(Apigenin 6,8-di-C-glucoside) | Flavone |
| 2 | C26H28O15 | 580.143 | 579.135 | −0.8 | Luteolin 7-O-(2-apiosyl-glucoside) | Flavone |
| 3 | C26H28O14 | 564.148 | 563.14 | −0.3 | Apioside (Apigenin 7-O-apiosyl-glucoside) | Flavone |
| 4 | C27H30O16 | 610.153 | 609.146 | −0.4 | Antoside | Flavonol |
| 5 | C21H20O11 | 448.101 | 447.093 | 0 | Isoorientin (Luteolin 6-C-glucoside) | Flavone |
| 6 | C18H14O8 | 358.069 | 357.061 | −0.3 | 5,5′-Dicaffeic acid | Hydroxycinnamic acid |
| 7 | C27H30O16 | 610.153 | 609.146 | −0.7 | Rutin (quercetin 3-rutinoside) | Flavonol |
| 8 | C27H30O15 | 594.158 | 593.151 | −0.7 | Luteolin 7-O-rutinoside | Flavone |
| 9 | C21H20O10 | 432.106 | 431.098 | −0.1 | Isovitexin (Apigenin 6-C-glucoside) | Flavone |
| 10 | C27H30O15 | 594.158 | 593.151 | −0.1 | Kaempferol 3-O-galactoside 7-O-rhamnoside | Flavonol |
| 11 | C22H22O11 | 462.116 | 461.109 | −0.4 | Chrysoeriol 7-O-glucoside | Flavone |
| 12 | C16H12O6 | 300.063 | 299.056 | 0.3 | Chrysoeriol | Flavone |
Disclaimer/Publisher’s Note: The statements, opinions and data contained in all publications are solely those of the individual author(s) and contributor(s) and not of MDPI and/or the editor(s). MDPI and/or the editor(s) disclaim responsibility for any injury to people or property resulting from any ideas, methods, instructions or products referred to in the content. |
© 2023 by the authors. Licensee MDPI, Basel, Switzerland. This article is an open access article distributed under the terms and conditions of the Creative Commons Attribution (CC BY) license (https://creativecommons.org/licenses/by/4.0/).
Share and Cite
Christou, A.; Parisis, N.A.; Venianakis, T.; Barbouti, A.; Tzakos, A.G.; Gerothanassis, I.P.; Goulas, V. Ultrasound-Assisted Extraction of Taro Leaf Antioxidants Using Natural Deep Eutectic Solvents: An Eco-Friendly Strategy for the Valorization of Crop Residues. Antioxidants 2023, 12, 1801. https://doi.org/10.3390/antiox12101801
Christou A, Parisis NA, Venianakis T, Barbouti A, Tzakos AG, Gerothanassis IP, Goulas V. Ultrasound-Assisted Extraction of Taro Leaf Antioxidants Using Natural Deep Eutectic Solvents: An Eco-Friendly Strategy for the Valorization of Crop Residues. Antioxidants. 2023; 12(10):1801. https://doi.org/10.3390/antiox12101801
Chicago/Turabian StyleChristou, Atalanti, Nikolaos A. Parisis, Themistoklis Venianakis, Alexandra Barbouti, Andreas G. Tzakos, Ioannis P. Gerothanassis, and Vlasios Goulas. 2023. "Ultrasound-Assisted Extraction of Taro Leaf Antioxidants Using Natural Deep Eutectic Solvents: An Eco-Friendly Strategy for the Valorization of Crop Residues" Antioxidants 12, no. 10: 1801. https://doi.org/10.3390/antiox12101801
APA StyleChristou, A., Parisis, N. A., Venianakis, T., Barbouti, A., Tzakos, A. G., Gerothanassis, I. P., & Goulas, V. (2023). Ultrasound-Assisted Extraction of Taro Leaf Antioxidants Using Natural Deep Eutectic Solvents: An Eco-Friendly Strategy for the Valorization of Crop Residues. Antioxidants, 12(10), 1801. https://doi.org/10.3390/antiox12101801

