Effect of Low-Dose Radiotherapy on the Circulating Levels of Paraoxonase-1-Related Variables and Markers of Inflammation in Patients with COVID-19 Pneumonia
Abstract
:1. Introduction
2. Materials and Methods
2.1. Study Design and Participants
2.2. Analytical Measurements
2.3. Statistical Analysis
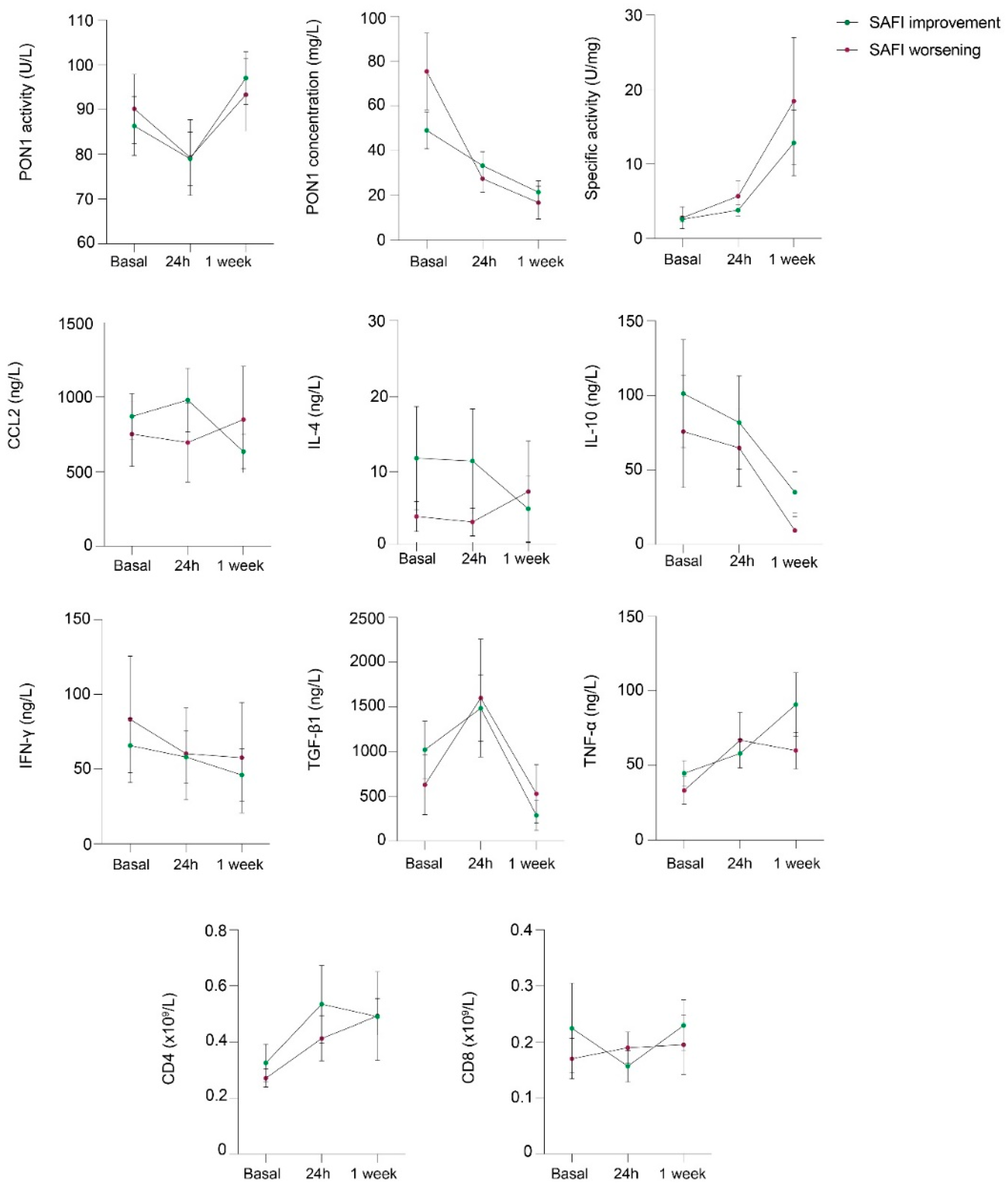
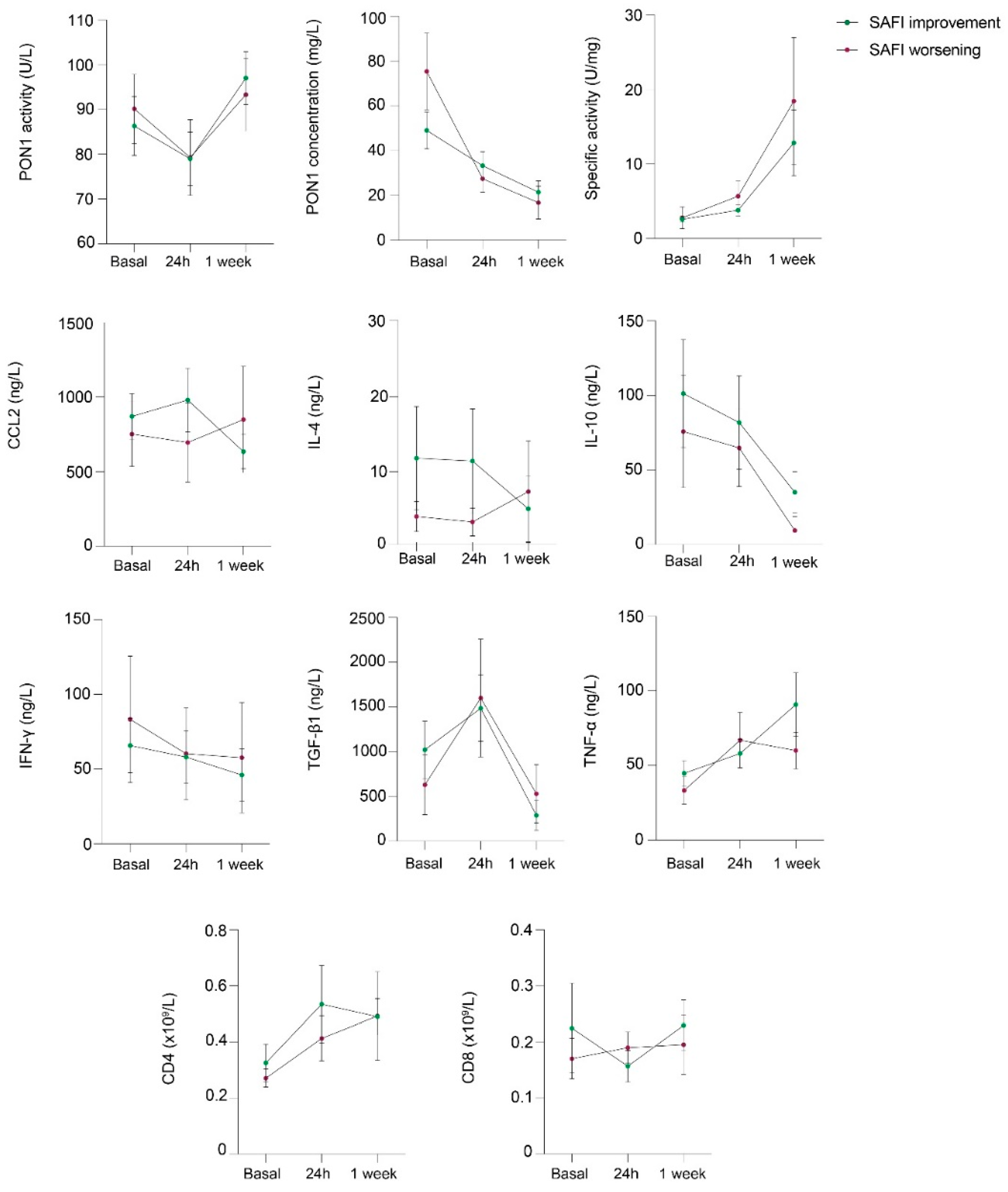
3. Results
3.1. Clinical Characteristics of Patients
3.2. Influence of LDRT in Analytical Variables
3.3. Relationships between Clinical, Radiological and Analytical Variables
4. Discussion
5. Conclusions
Author Contributions
Funding
Institutional Review Board Statement
Informed Consent Statement
Data Availability Statement
Acknowledgments
Conflicts of Interest
References
- Mehta, P.; McAuley, D.F.; Brown, M.; Sanchez, E.; Tattersall, R.S.; Manson, J.J. HLH Across Speciality Collaboration, UK. COVID-19: Consider cytokine storm syndromes and immunosuppression. Lancet 2020, 395, 1033–1034. [Google Scholar] [CrossRef]
- Cao, X. COVID-19: Immunopathology and its implications for therapy. Nat. Rev. Immunol. 2020, 20, 269–270. [Google Scholar] [CrossRef] [PubMed] [Green Version]
- Camps, J.; Castañé, H.; Rodríguez-Tomàs, E.; Baiges-Gaya, G.; Hernández-Aguilera, A.; Arenas, M.; Iftimie, S.; Joven, J. On the role of paraoxonase-1 and chemokine ligand 2 (C-C motif) in metabolic alterations linked to inflammation and disease. A 2021 update. Biomolecules 2021, 11, 971. [Google Scholar] [CrossRef] [PubMed]
- Rodríguez-Tomàs, E.; Iftimie, S.; Castañé, H.; Baiges-Gaya, G.; Hernández-Aguilera, A.; González-Viñas, M.; Castro, A.; Camps, J.; Joven, J. Clinical performance of paraoxonase-1-related variables and novel markers of inflammation in coronavirus disease-19. A machine learning approach. Antioxidants 2021, 10, 991. [Google Scholar] [CrossRef] [PubMed]
- Calabrese, E.J.; Dhawan, G.; Kapoor, R. Radiotherapy for pertussis: An historical assessment. Dose Response 2017, 15, 1559325817704760. [Google Scholar] [CrossRef] [PubMed]
- Calabrese, E.J.; Dhawan, G.; Kapoor, R. The use of X rays in the treatment of bronchial asthma: A historical assessment. Radiat. Res. 2015, 184, 180–192. [Google Scholar] [CrossRef]
- Calabrese, E.J.; Dhawan, G. How radiotherapy was historically used to treat pneumonia: Could it be useful today? Yale J. Biol. Med. 2013, 86, 555–570. [Google Scholar]
- Algara, M.; Arenas, M.; Marin, J.; Vallverdú, I.; Fernández-Letón, P.; Villar, J.; Fabrer, G.; Rubio, C.; Montero, A. Low dose anti-inflammatory radiotherapy for the treatment of pneumonia by covid-19: A proposal for a multi-centric prospective trial. Clin. Transl. Radiat. Oncol. 2020, 24, 29–33. [Google Scholar] [CrossRef]
- Montero, M.; Arenas, M.; Algara, M. Low-dose radiation therapy: Could it be a game-changer for COVID-19? Clin. Transl. Oncol. 2021, 23, 1–4. [Google Scholar] [CrossRef]
- Bonet, M.; Vázquez, S.; García, E.; Visus, M.; Jové, D.; Ripol, O.; Solé, C.; Gutiérrez, L.; Morales-Rull, J.L.; Montero, Á.; et al. Saving time in the radiotherapy procedures for COVID-19 pneumonia treatment. A single-institution experience. Clin. Transl. Oncol. 2021, 23, 2344–2349. [Google Scholar] [CrossRef]
- Zweig, M.H.; Campbell, G. Receiver-operating characteristic (ROC) plots: A fundamental evaluation tool in clinical medicine. Clin. Chem. 1993, 39, 561–577. [Google Scholar] [CrossRef] [PubMed]
- Arenas, M.; Algara, M.; De Febrer, G.; Rubio, C.; Sanz, X.; De la Casa, M.A.; Vasco, C.; Marín, J.; Fernández-Letón, P.; Villar, J.; et al. Could pulmonary low-dose radiation therapy be an alternative treatment for patients with COVID-19 pneumonia? Preliminary results of a multicenter SEOR-GICOR nonrandomized prospective trial (IPACOVID trial). Strahlenther. Onkol. 2021, 197, 1010–1020. [Google Scholar] [CrossRef] [PubMed]
- Sharma, D.N.; Guleria, R.; Wig, N.; Mohan, A.; Rath, G.; Subramani, V.; Bhatnagar, S.; Mallick, S.; Sharma, A.; Patil, P. Low Dose Radiation Therapy for COVID-19 Pneumonia: A Pilot Study. Br. J. Radiol. 2021, 94, 20210187. [Google Scholar] [CrossRef] [PubMed]
- Hess, C.B.; Buchwald, Z.S.; Stokes, W.; Nasti, T.H.; Switchenko, J.M.; Weinberg, B.D.; Rouphael, N.; Steinberg, J.P.; Godette, K.D.; Murphy, D.J. Immunomodulatory low-dose whole-lung radiation for COVID-19 pneumonia. Int. J. Radiat. Oncol. Biol. Phys. 2020, 108, 1401. [Google Scholar] [CrossRef] [PubMed]
- Hess, C.B.; Buchwald, Z.S.; Stokes, W.; Nasti, T.H.; Switchenko, J.M.; Weinberg, B.D.; Steinberg, J.P.; Godette, K.D.; Murphy, D.; Ahmed, R. Low-dose whole-lung radiation for COVID-19 pneumonia: Planned day 7 interim analysis of a registered clinical trial. Cancer 2020, 126, 5109–5113. [Google Scholar] [CrossRef] [PubMed]
- Ameri, A.; Ameri, P.; Rahnama, N.; Mokhtari, M.; Sedaghat, M.; Hadavand, F.; Bozorgmehr, R.; Haghighi, M.; Taghizadeh-Hesary, F. Low-dose Whole-lung Irradiation for COVID-19 Pneumonia. Final Results of a Pilot Study. Int. J. Radiat. Oncol. Biol. Phys. 2021, 109, 859–866. [Google Scholar] [CrossRef]
- Ameri, A.; Rahnama, N.; Bozorgmehr, R.; Mokhtari, M.; Farahbakhsh, M.; Nabavi, M.; Shoaei, S.D.; Izadi, H.; Kashi, A.S.Y.; Dehbaneh, H.S.; et al. Low-dose whole-lung irradiation for COVID-19 pneumonia: Short course results. Int. J. Radiat. Oncol. Biol. Phys. 2020, 108, 1134–1139. [Google Scholar] [CrossRef]
- Moreno-Olmedo, E.; Suárez-Gironzini, V.; Pérez, M.; Filigheddu, T.; Sanjuan-Sanjuan, A.; González, J.A.; Rivas, D.; Gorospe, L.; Larrea, L.; López, E. Early results of COVID-19 pneumonia cases treated with Ultra-Low doses of Radiotherapy (ULTRA-COVID study): A single institution report of two cases. Strahlenther. Onkol. 2020, 197, 429–437. [Google Scholar] [CrossRef]
- Sanmamed, N.; Alcantara, P.; Cerezo, E.; Gaztañaga, M.; Cabello, N.; Gómez, S.; Bustos, A.; Doval, A.; Corona, J.; Rodriguez, G.; et al. Low-Dose Radiation Therapy in the Management of Coronavirus Disease 2019 (COVID-19) Pneumonia (LOWRAD-Cov19): Preliminary Report. Int. J. Radiat. Oncol. Biol. Phys. 2021, 109, 880–885. [Google Scholar] [CrossRef]
- Del Castillo, R.; Martinez, D.; Sarria, G.J.; Pinillos, L.; Garcia, B.; Castillo, L.; Carhuactocto, A.; Giordano, F.A.; Sarria, G.R. Low-dose radiotherapy for COVID-19 pneumonia treatment: Case report, procedure, and literature review. Strahlenther. Onkol. 2020, 196, 1086–1093. [Google Scholar] [CrossRef]
- Mortazavi, S.M.J.; Shams, S.F.; Mohammadi, S.; Mortazavi, S.A.R.; Sihver, L. Low-Dose Radiation Therapy for COVID-19: A Systematic Review. Radiation 2021, 1, 234–249. [Google Scholar] [CrossRef]
- Jaouad, L.; De Guise, C.; Berrougui, H.; Cloutier, M.; Isabelle, M.; Fulop, T.; Payette, H.; Khalil, A. Age-related decrease in high-density lipoproteins antioxidant activity is due to an alteration in the PON1’s free sulfhydryl groups. Atherosclerosis 2006, 185, 191–200. [Google Scholar] [CrossRef] [PubMed]
- Leviev, I.; Negro, F.; James, R.W. Two alleles of the human paraoxonase gene produce different amounts of mRNA. An explanation for differences in serum concentrations of paraoxonase associated with the (Leu-Met54) polymorphism. Arterioscler. Thromb. Vasc. Biol. 1997, 17, 2935–2939. [Google Scholar] [CrossRef] [PubMed]
- Sierksma, A.; Van der Gaag, M.S.; Van Tol, A.; James, R.W.; Hendriks, H.F. Kinetics of HDL cholesterol and paraoxonase activity in moderate alcohol consumers. Alcohol. Clin. Exp. Res. 2002, 26, 1430–1435. [Google Scholar] [CrossRef] [PubMed]
- Deakin, S.P.; Bioletto, S.; Bochaton-Piallat, M.L.; James, R.W. HDL-associated paraoxonase-1 can redistribute to cell membranes and influence sensitivity to oxidative stress. Free Radic. Biol. Med. 2011, 50, 102–109. [Google Scholar] [CrossRef] [Green Version]
- Marsillach, J.; Camps, J.; Beltran-Debón, R.; Rull, A.; Aragones, G.; Maestre-Martínez, C.; Sabench, F.; Hernández, M.; Castillo, D.D.; Joven, J.; et al. Immunohistochemical analysis of paraoxonases-1 and 3 in human atheromatous plaques. Eur. J. Clin. Investig. 2011, 41, 308–314. [Google Scholar] [CrossRef]
- Marsillach, J.; Mackness, B.; Mackness, M.; Riu, F.; Beltrán, R.; Joven, J.; Camps, J. Immunohistochemical analysis of paraoxonases-1, 2, and 3 expression in normal mouse tissues. Free Radic. Biol. Med. 2008, 45, 146–157. [Google Scholar] [CrossRef]
- Rodríguez-Sanabria, F.; Rull, A.; Beltrán-Debón, R.; Aragonès, G.; Camps, J.; Mackness, B.; Mackness, M.; Joven, J. Tissue distribution and expression of paraoxonases and chemokines in mouse: The ubiquitous and joint localisation suggest a systemic and coordinated role. J. Mol. Histol. 2010, 41, 379–386. [Google Scholar] [CrossRef]
- Camps, J.; Marsillach, J.; Joven, J. The paraoxonases: Role in human diseases and methodological difficulties in measurement. Crit. Rev. Clin. Lab. Sci. 2009, 46, 83–106. [Google Scholar] [CrossRef]
- Parra, S.; Alonso-Villaverde, C.; Coll, B.; Ferré, N.; Marsillach, J.; Aragonès, G.; Mackness, M.; Mackness, B.; Masana, L.; Joven, J.; et al. Serum paraoxonase-1 activity and concentration are influenced by human immunodeficiency virus infection. Atherosclerosis 2007, 194, 175–181. [Google Scholar] [CrossRef]
- Iftimie, S.; García-Heredia, A.; Pujol, I.; Ballester, F.; Fort-Gallifa, I.; Simó, J.M.; Joven, J.; Camps, J.; Castro, A. Preliminary study on serum paraoxonase-1 status and chemokine (C-C motif) ligand 2 in hospitalized elderly patients with catheter-associated asymptomatic bacteriuria. Eur. J. Clin. Microbiol. Infect. Dis. 2016, 35, 1417–1424. [Google Scholar] [CrossRef] [PubMed]
- Iftimie, S.; García-Heredia, A.; Pujol, I.; Ballester, F.; Fort-Gallifa, I.; Simó, J.M.; Joven, J.; Castro, A.; Camps, J. A preliminary study of paraoxonase-1 in infected patients with an indwelling central venous catheter. Clin. Biochem. 2016, 49, 449–457. [Google Scholar] [CrossRef] [PubMed]
- Arenas, M.; Sabater, S.; Hernández, V.; Rovirosa, A.; Lara, P.C.; Biete, A.; Panés, J. Anti-inflammatory effects of low-dose radiotherapy. Indications, dose, and radiobiological mechanisms involved. Strahlenther. Onkol. 2012, 188, 975–981. [Google Scholar] [CrossRef] [PubMed]
- Rödel, F.; Frey, B.; Manda, K.; Hildebrandt, G.; Hehlgans, S.; Keilholz, L.; Seegenschmiedt, M.H.; Gaipl, U.S.; Rödel, C. Immunomodulatory properties and molecular effects in inflammatory diseases of low-dose x-irradiation. Front. Oncol. 2012, 2, 120. [Google Scholar] [CrossRef] [Green Version]
- Lödermann, B.; Wunderlich, R.; Frey, S.; Schorn, C.; Stangl, S.; Rödel, F.; Keilholz, L.; Fietkau, R.; Gaipl, U.S.; Frey, B. Low dose ionising radiation leads to a NF-κB dependent decreased secretion of active IL-1β by activated macrophages with a discontinuous dose-dependency. Int. J. Radiat. Biol. 2012, 88, 727–734. [Google Scholar] [CrossRef]
- Torres Royo, L.; Antelo Redondo, G.; Árquez Pianetta, M.; Arenas Prat, M. Low-Dose radiation therapy for benign pathologies. Rep. Pract. Oncol. Radiother. 2020, 25, 250–254. [Google Scholar] [CrossRef]
- Arenas, M.; Gil, F.; Gironella, M.; Hernández, V.; Jorcano, S.; Biete, A.; Piqué, J.M.; Panés, J. Anti-inflammatory effects of low-dose radiotherapy in an experimental model of systemic inflammation in mice. Int. J. Radiat. Oncol. Biol. Phys. 2006, 66, 560–567. [Google Scholar] [CrossRef]
- Arenas, M.; Gil, F.; Gironella, M.; Hernández, V.; Biete, A.; Piqué, J.M.; Panés, J. Time course of anti-inflammatory effect of low-dose radiotherapy: Correlation with TGF-beta(1) expression. Radiother. Oncol. 2008, 86, 399–406. [Google Scholar] [CrossRef]
- Rödel, F.; Arenas, M.; Ott, O.J.; Fournier, C.; Georgakilas, A.G.; Tapio, S.; Trott, K.R.; Gaipl, U.S. Low-dose radiation therapy for COVID-19 pneumopathy: What is the evidence? Strahlenther. Onkol. 2020, 196, 679–682. [Google Scholar] [CrossRef]





| Clinical Characteristics | (n = 30) |
|---|---|
| Age | 86 (range: 82–88) |
| Sex | |
| Female | 15 (50%) |
| Comorbidities | |
| Neurologic diseases | 8 (26.7%) |
| Cardiovascular diseases | 26 (86.7%) |
| Respiratory diseases | 9 (30%) |
| Other comorbidities | 27 (90%) |
| COVID-19 symptoms (days) | 5 (range: 4–7) |
| Pharmacological treatment | |
| Corticoids (dexametasone) | 30 (100%) |
| Remdesivir | - |
| Tocelizumab | - |
| Final status | |
| Survival | 25 (83.3%) |
| Death from COVID-19 | 5 (16.7%) |
| Baseline n = 30 | 24 h after LDRT n = 28 * | 1 Week after LDRT n = 23 * | p Value 1 | p Value 2 | p Value 3 | |
|---|---|---|---|---|---|---|
| Respiratory parameters | ||||||
| SaFI ratio | 330.5 (181.7–350) | 346 (216.2–350) | 404 (343–462) | 0.043 | 0.001 | 0.004 |
| PaO2/FiO2 | 313 (212.5–333) | 332 (254–336) | 336 (270–381) | 0.215 | 0.035 | 0.256 |
| FiO2 (%) | 28 (28–50) | 28 (28–46.2) | 21 (21–28) | 0.035 | 0.002 | 0.020 |
| O2 (L) | 3 (2.7–10.5) | 3 (2–9) | 2 (0–4) | 0.016 | 0.002 | 0.006 |
| O2 saturation (%) | 95 (91–97) | 96 (94–98) | 97 (96–98) | 0.119 | 0.001 | 0.258 |
| Respiratory rate (brpm) | 18 (17–19) | 16 (16–17) | 16 (15–17) | 0.006 | <0.001 | 0.071 |
| Radiological parameters | ||||||
| CT lung involvement (%) | ||||||
| <5 | - | - | 3 (10) | - | 0.163 | - |
| 5–25 | 1 (3.3) | - | 12 (40) | - | <0.001 | - |
| 26–50 | 6 (20) | - | 4 (13.3) | - | 0.969 | - |
| 51–75 | 14 (46.7) | - | 4 (13.3) | - | 0.042 | - |
| >75 | 9 (30) | - | - | - | 0.010 | - |
| Baseline n = 30 | 24h after LDRT n = 28 * | 1 Week after LDRT n=23 * | p Value 1 | p Value 2 | p Value 3 | |
|---|---|---|---|---|---|---|
| Glucose, mmol/L | 7.2 (6.2–10.5) | 5.8 (4.8–7.5) | 5.4 (4.7–7.1) | 0.002 | 0.011 | 0.553 |
| Creatinine, µmol/L | 94 (75–165.7) | 73.4 (48.6–130.8) | 87.5 (62.8–107) | <0.001 | 0.005 | 0.972 |
| Lactate dehydrogenase, U/L | 299 (216.5–388.2) | 282.5 (201–371.2) | 218.5 (172.5–285.5) | 0.127 | 0.002 | 0.007 |
| Hemoglobin, g/dL | 11.8 (10.7–12.5) | 11 (10–12.2) | 11.2 (10.1–12.1) | 0.086 | 0.074 | 0.322 |
| Ferritin, ng/mL | 574 (285.2–1466.7) | 627 (315–2599.7) | 493 (228.7–1012.7) | 0.607 | 0.231 | 0.093 |
| AST, µkat/L | 26 (18–38.5) | 22 (16.2–31.5) | 19 (15–28) | 0.721 | 0.465 | 0.795 |
| ALT, µkat/L | 14.5 (11–24.2) | 17.5 (13.2–24.2) | 21 (17–37) | 0.089 | 0.041 | 0.086 |
| C-reactive protein, mg/dL | 6.2 (3.3–11.7) | 5.2 (2.5–8) | 3.4 (0.3–5.9) | 0.054 | 0.001 | 0.013 |
| Leukocytes, x109L | 7.6 (4.4–13.6) | 7.3 (4–11) | 7.8 (5.6–11.4) | 0.050 | 0.465 | 0.277 |
| Lymphocytes, x109L | 0.8 (0.5–1.2) | 0.9 (0.6–1) | 1 (0.5–1.8) | 0.682 | 0.369 | 0.058 |
| Platelets, x109L | 195.5 (162–253.7) | 219 (141.2–253) | 234 (142–331) | 0.764 | 0.107 | 0.144 |
| D-Dimer,μg/L | 1020 (755–1965) | 1070 (770–2220) | 1060 (660–2700) | 0.767 | 0.964 | 0.796 |
| CD4+ cells, x109/L | 0.3 (0.2–0.4) | 0.3 (0.2–0.5) | 0.5 (0.2–0.7) | 0.067 | 0.002 | 0.191 |
| CD8+ cells, x109/L | 0.1 (0.08–0.2) | 0.1 (0.08–0.2) | 0.2 (0.1–0.3) | 0.389 | 0.088 | 0.047 |
| IL-6, ng/L | 24 (9.5–64) | 36.5 (9.2–72.5) | 17 (5–29) | 0.307 | 0.114 | 0.145 |
Publisher’s Note: MDPI stays neutral with regard to jurisdictional claims in published maps and institutional affiliations. |
© 2022 by the authors. Licensee MDPI, Basel, Switzerland. This article is an open access article distributed under the terms and conditions of the Creative Commons Attribution (CC BY) license (https://creativecommons.org/licenses/by/4.0/).
Share and Cite
Rodríguez-Tomàs, E.; Acosta, J.C.; Torres-Royo, L.; De Febrer, G.; Baiges-Gaya, G.; Castañé, H.; Jiménez, A.; Vasco, C.; Araguas, P.; Gómez, J.; et al. Effect of Low-Dose Radiotherapy on the Circulating Levels of Paraoxonase-1-Related Variables and Markers of Inflammation in Patients with COVID-19 Pneumonia. Antioxidants 2022, 11, 1184. https://doi.org/10.3390/antiox11061184
Rodríguez-Tomàs E, Acosta JC, Torres-Royo L, De Febrer G, Baiges-Gaya G, Castañé H, Jiménez A, Vasco C, Araguas P, Gómez J, et al. Effect of Low-Dose Radiotherapy on the Circulating Levels of Paraoxonase-1-Related Variables and Markers of Inflammation in Patients with COVID-19 Pneumonia. Antioxidants. 2022; 11(6):1184. https://doi.org/10.3390/antiox11061184
Chicago/Turabian StyleRodríguez-Tomàs, Elisabet, Johana C. Acosta, Laura Torres-Royo, Gabriel De Febrer, Gerard Baiges-Gaya, Helena Castañé, Andrea Jiménez, Carlos Vasco, Pablo Araguas, Junior Gómez, and et al. 2022. "Effect of Low-Dose Radiotherapy on the Circulating Levels of Paraoxonase-1-Related Variables and Markers of Inflammation in Patients with COVID-19 Pneumonia" Antioxidants 11, no. 6: 1184. https://doi.org/10.3390/antiox11061184
APA StyleRodríguez-Tomàs, E., Acosta, J. C., Torres-Royo, L., De Febrer, G., Baiges-Gaya, G., Castañé, H., Jiménez, A., Vasco, C., Araguas, P., Gómez, J., Malave, B., Árquez, M., Calderón, D., Piqué, B., Algara, M., Montero, Á., Simó, J. M., Gabaldó-Barrios, X., Sabater, S., ... Arenas, M. (2022). Effect of Low-Dose Radiotherapy on the Circulating Levels of Paraoxonase-1-Related Variables and Markers of Inflammation in Patients with COVID-19 Pneumonia. Antioxidants, 11(6), 1184. https://doi.org/10.3390/antiox11061184

