Polyphenolic HRMS Characterization, Contents and Antioxidant Activity of Curcuma longa Rhizomes from Costa Rica
Abstract
:1. Introduction
2. Materials and Methods
2.1. Curcuma longa Rhizomes, Chemicals and Reagents
2.2. Extraction and Quantification of Phenolic Compounds from C. longa Rhizomes
2.3. UPLC-QTOF-ESI MS
2.4. Folin–Ciocalteu Determination
2.5. DPPH Antioxidant Activity
2.6. Nitric Oxide Scavenging Activity
2.7. Statistical Analysis
3. Results and Discussion
3.1. Extraction from C. longa Rhizomes
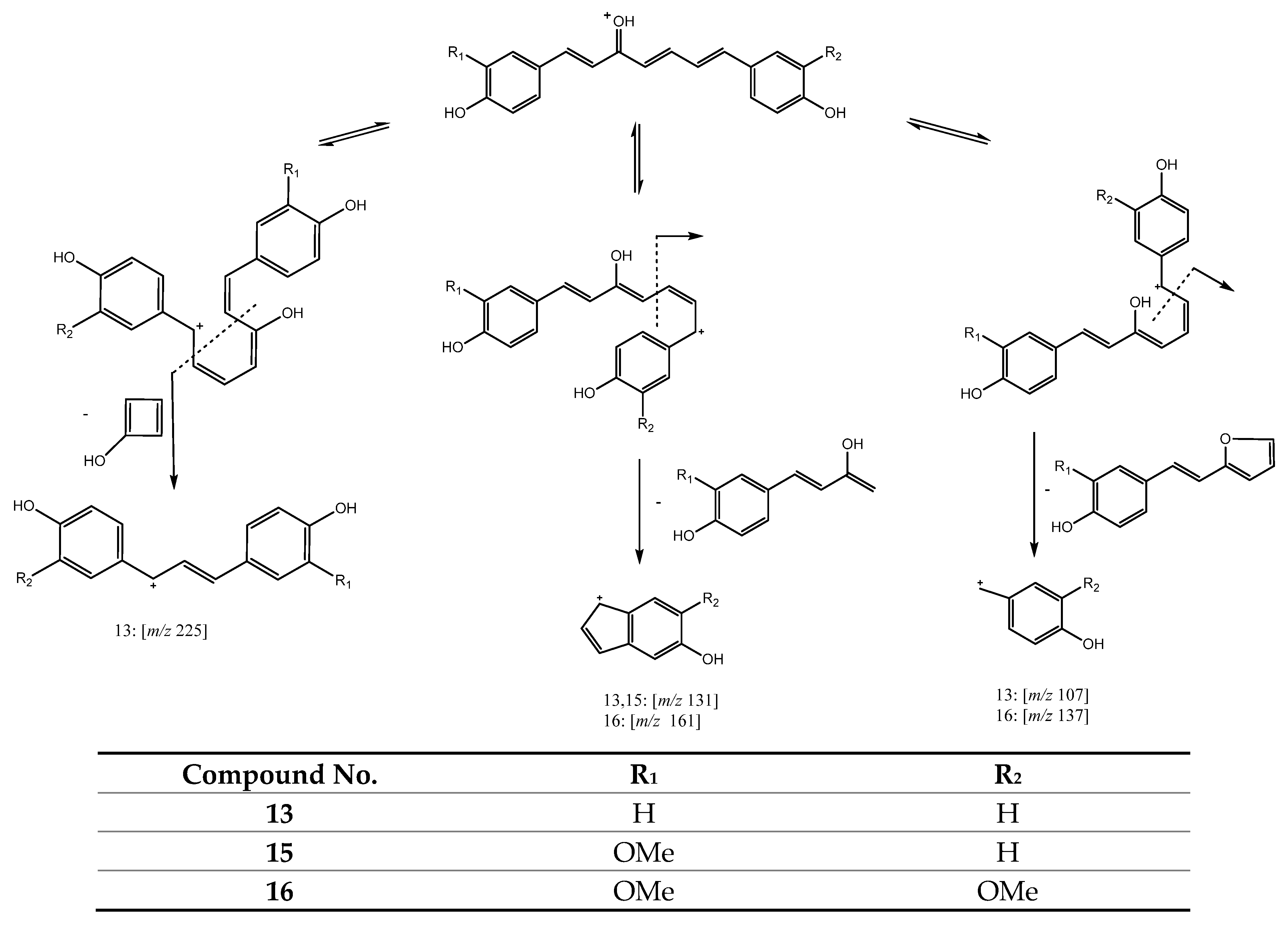
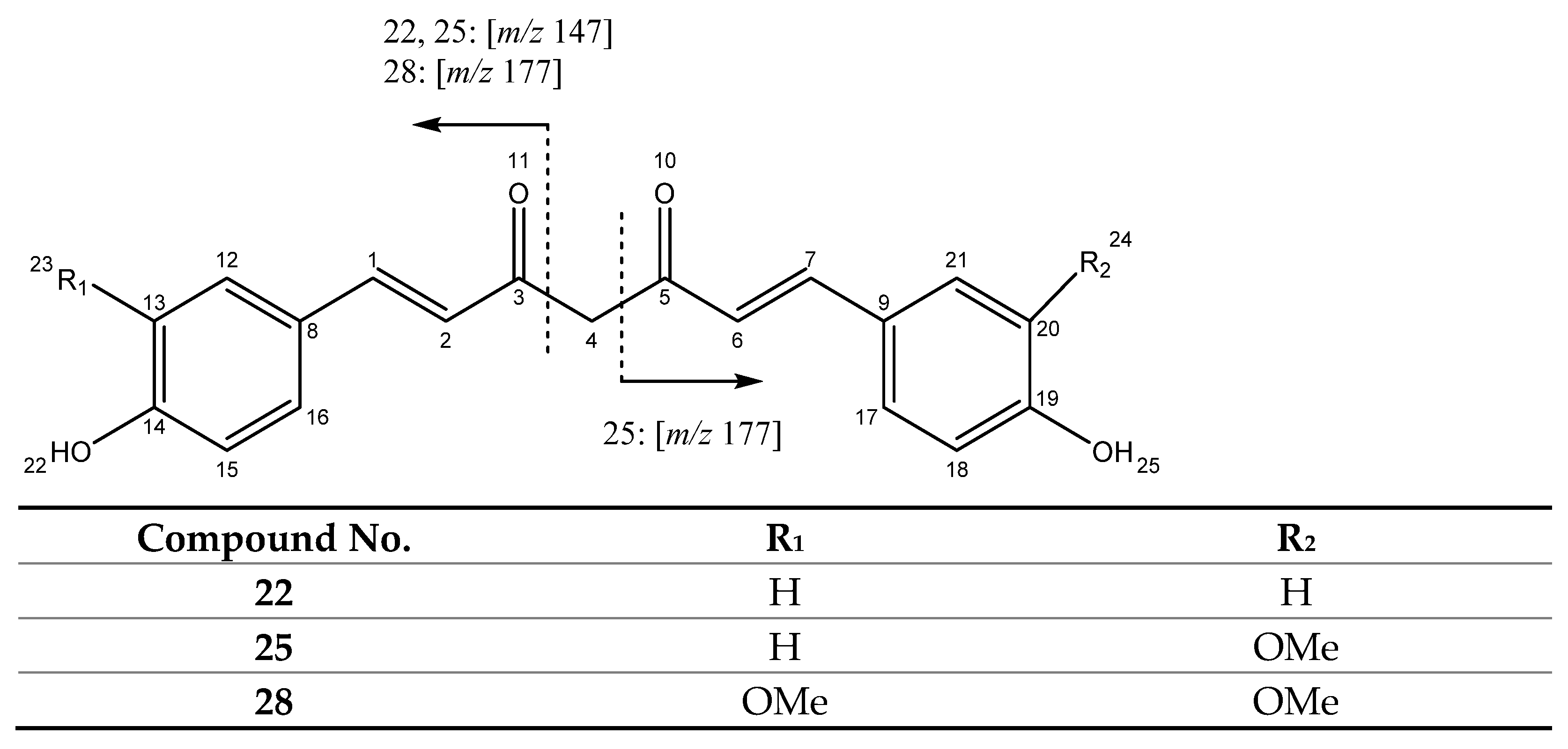
3.2. Polyphenolic Profile by UPLC-ESI-MS Analysis
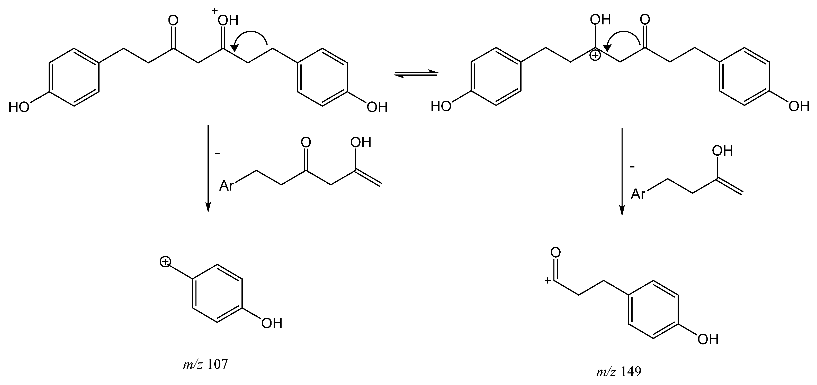
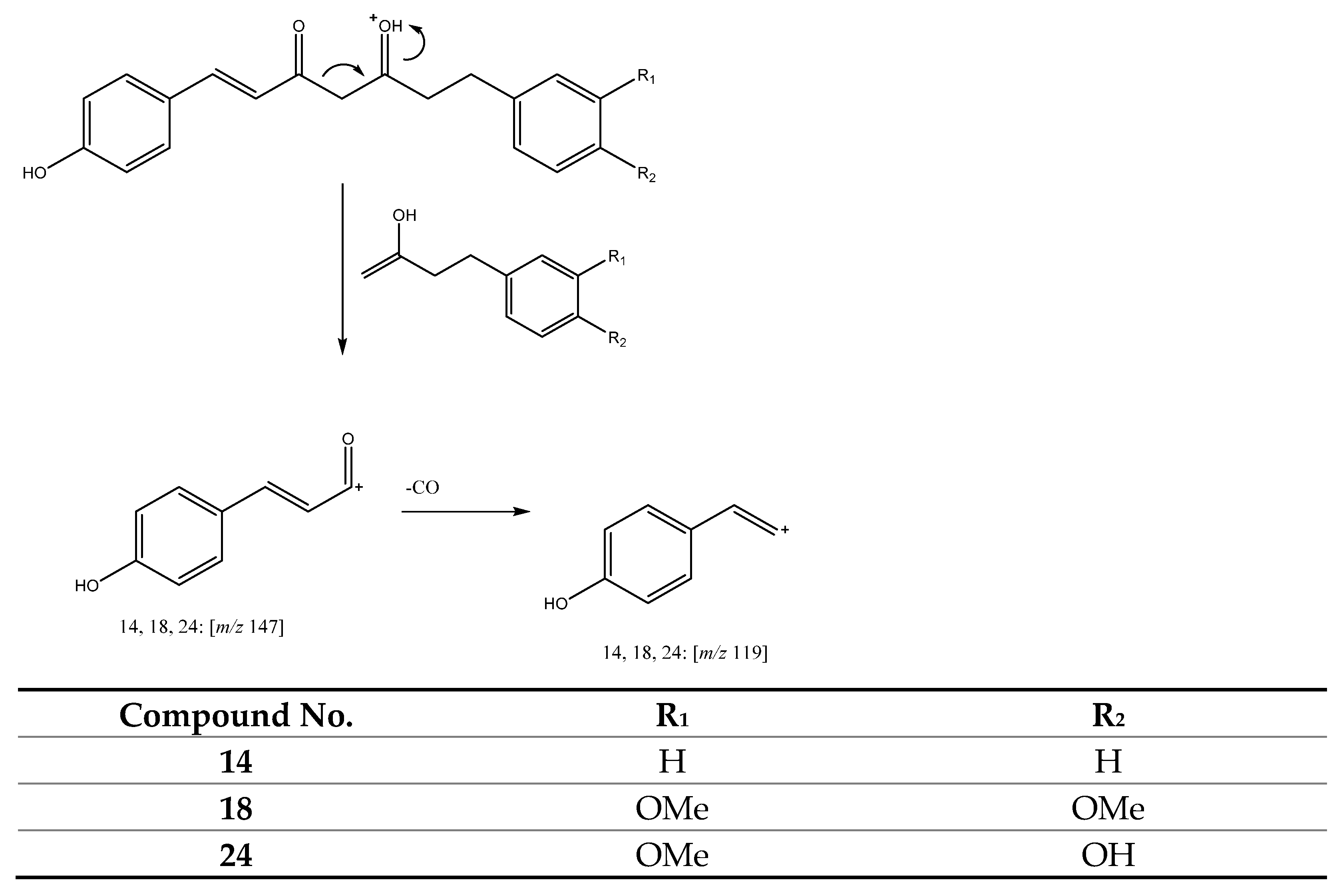
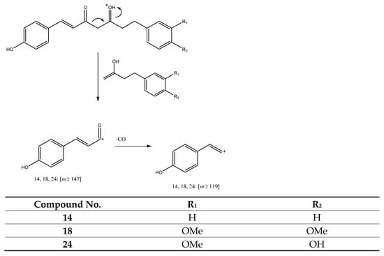
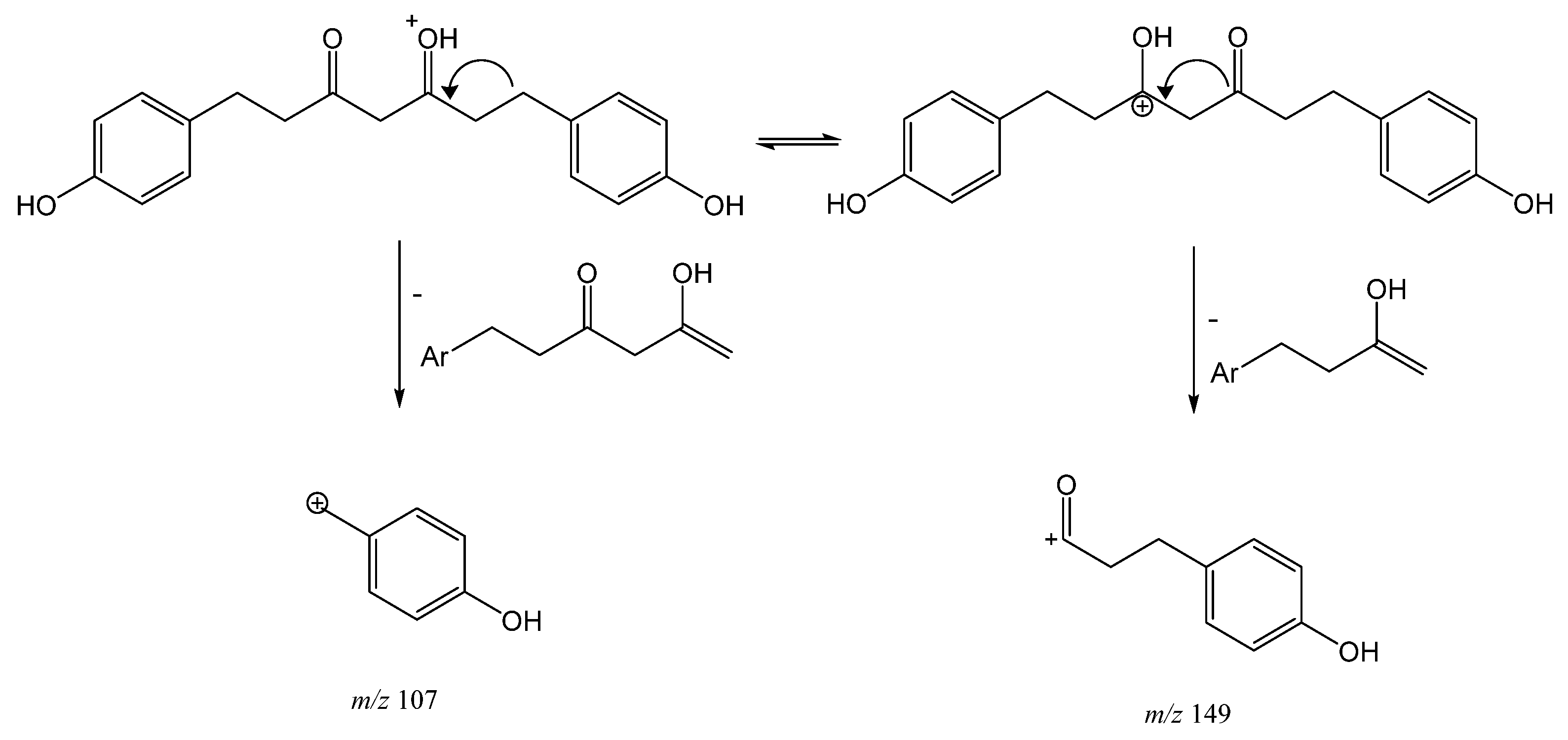
3.2.1. Curcuminoids with Keto Groups in C3 and C5
3.2.2. Curcuminoids with a Single Keto Moiety in C3
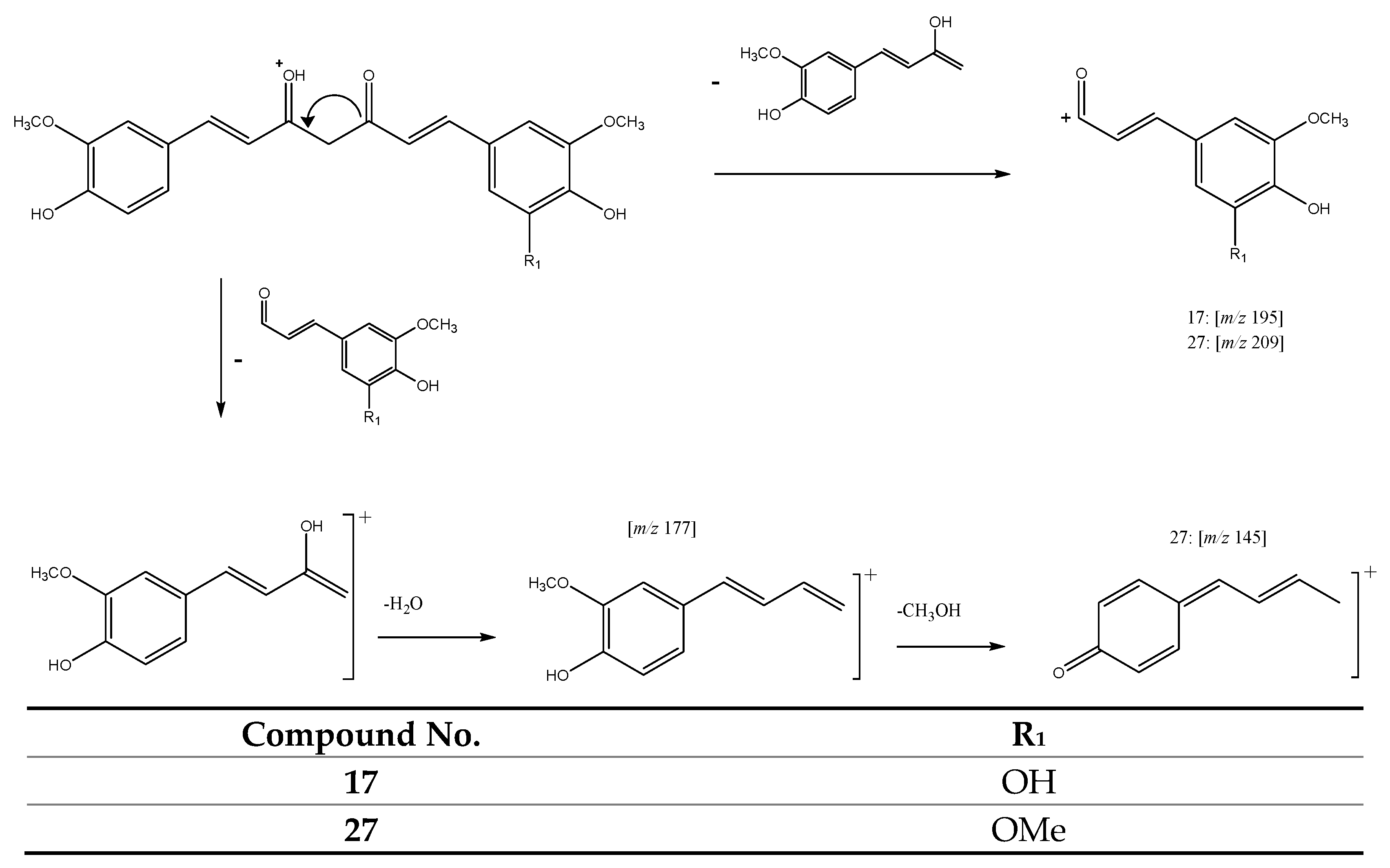
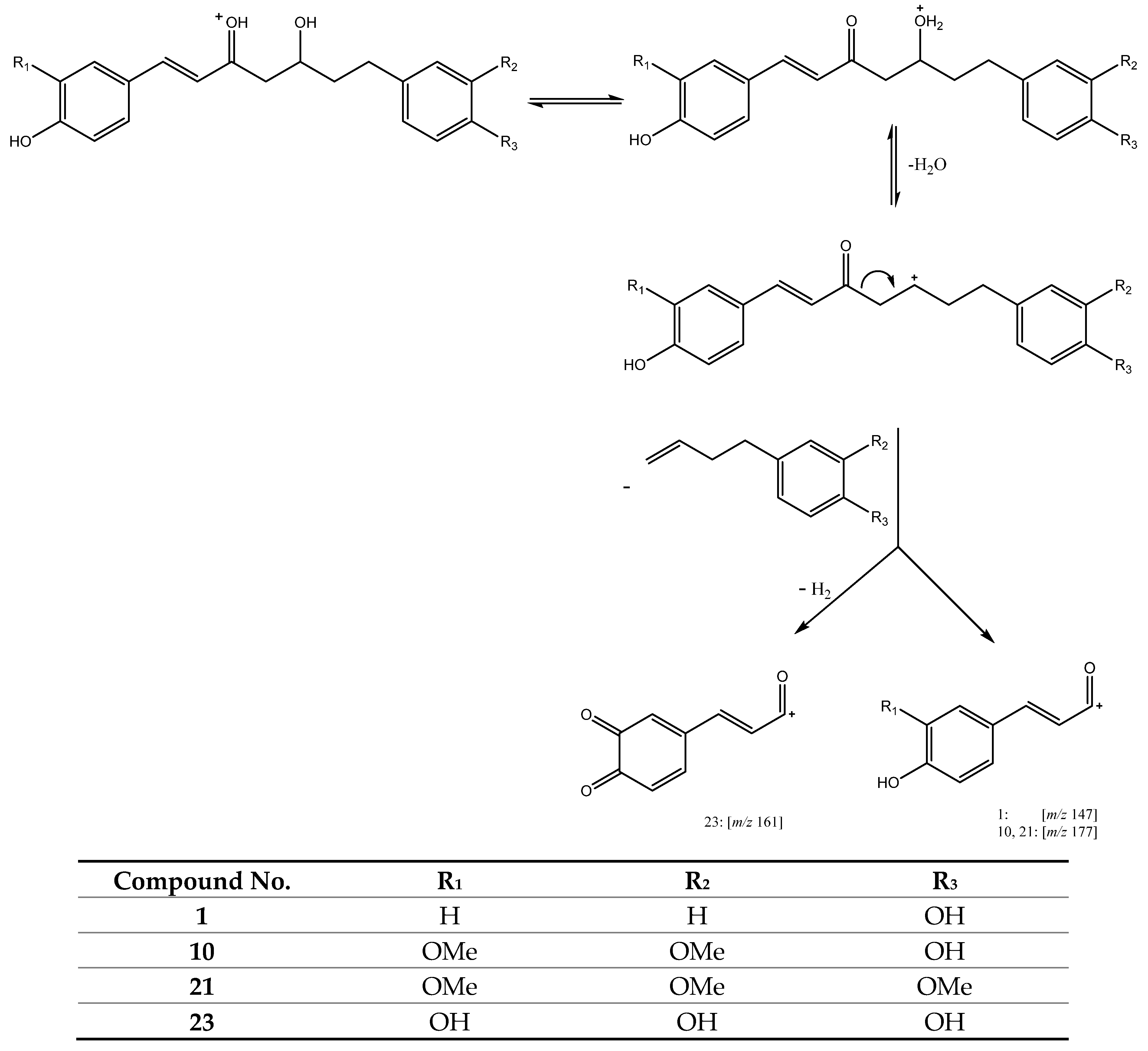
3.2.3. Curcuminoids with a Keto Moiety in C3 and Hydroxyl in C5
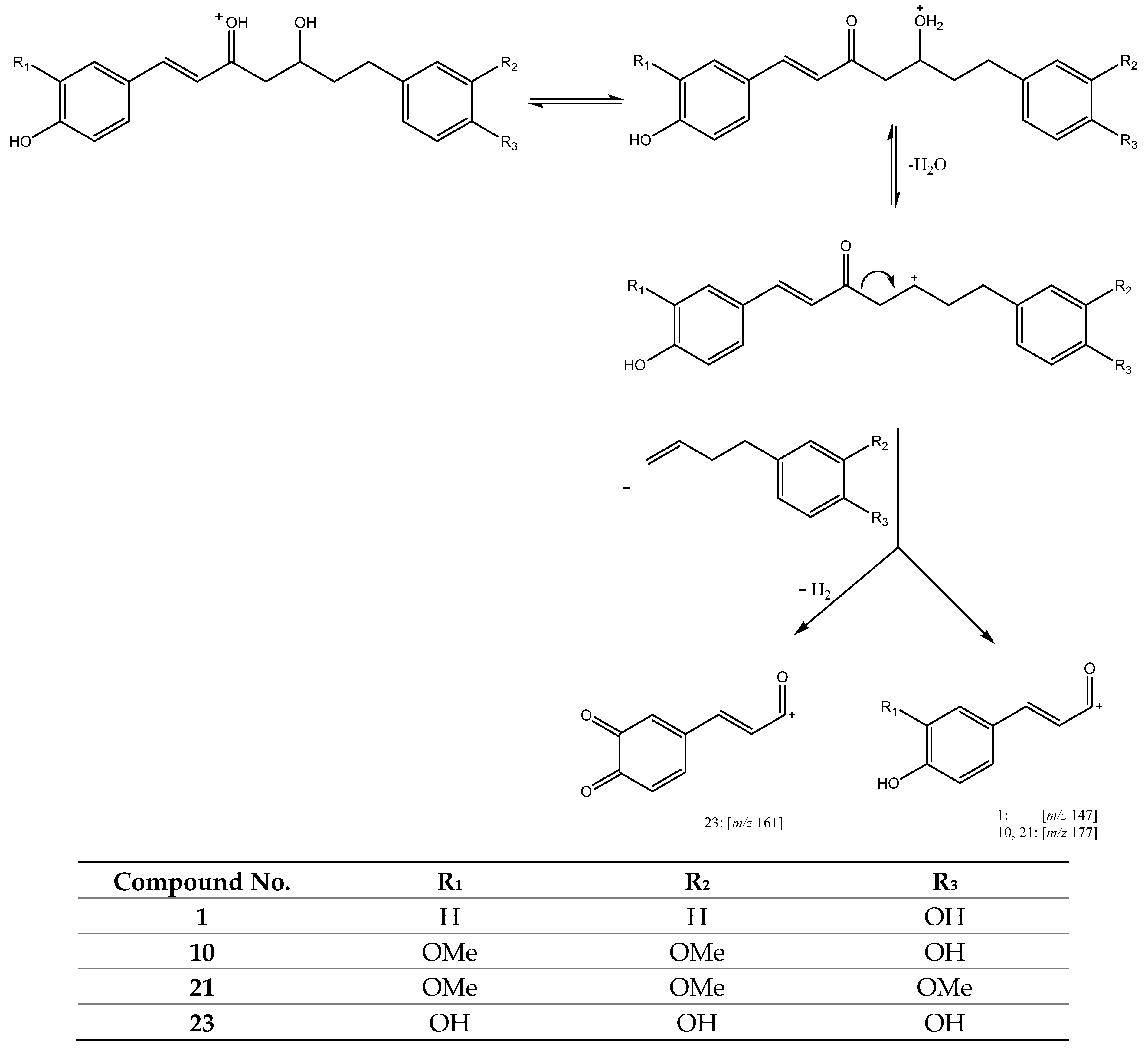
3.2.4. Curcuminoids with Two Hydroxyl Groups in C3 and C5
3.2.5. Curcuminoids with an Ester Group in C3 and Keto Moiety in C5
3.2.6. Curcuminoids with a Ring in the Central Chain
3.3. Total Curcuminoid Contents in C. longa Extracts
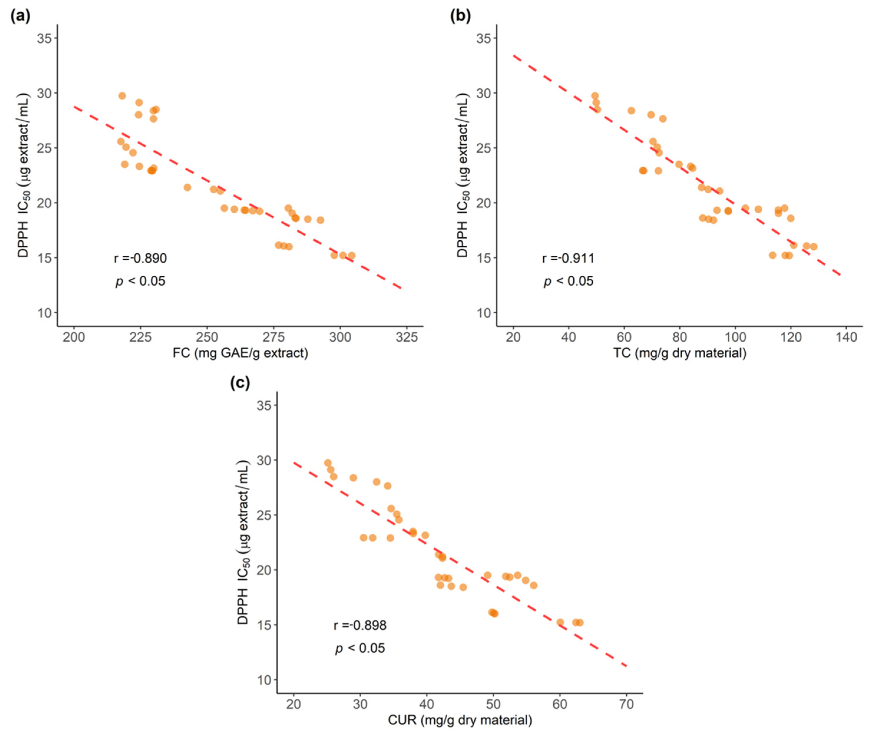
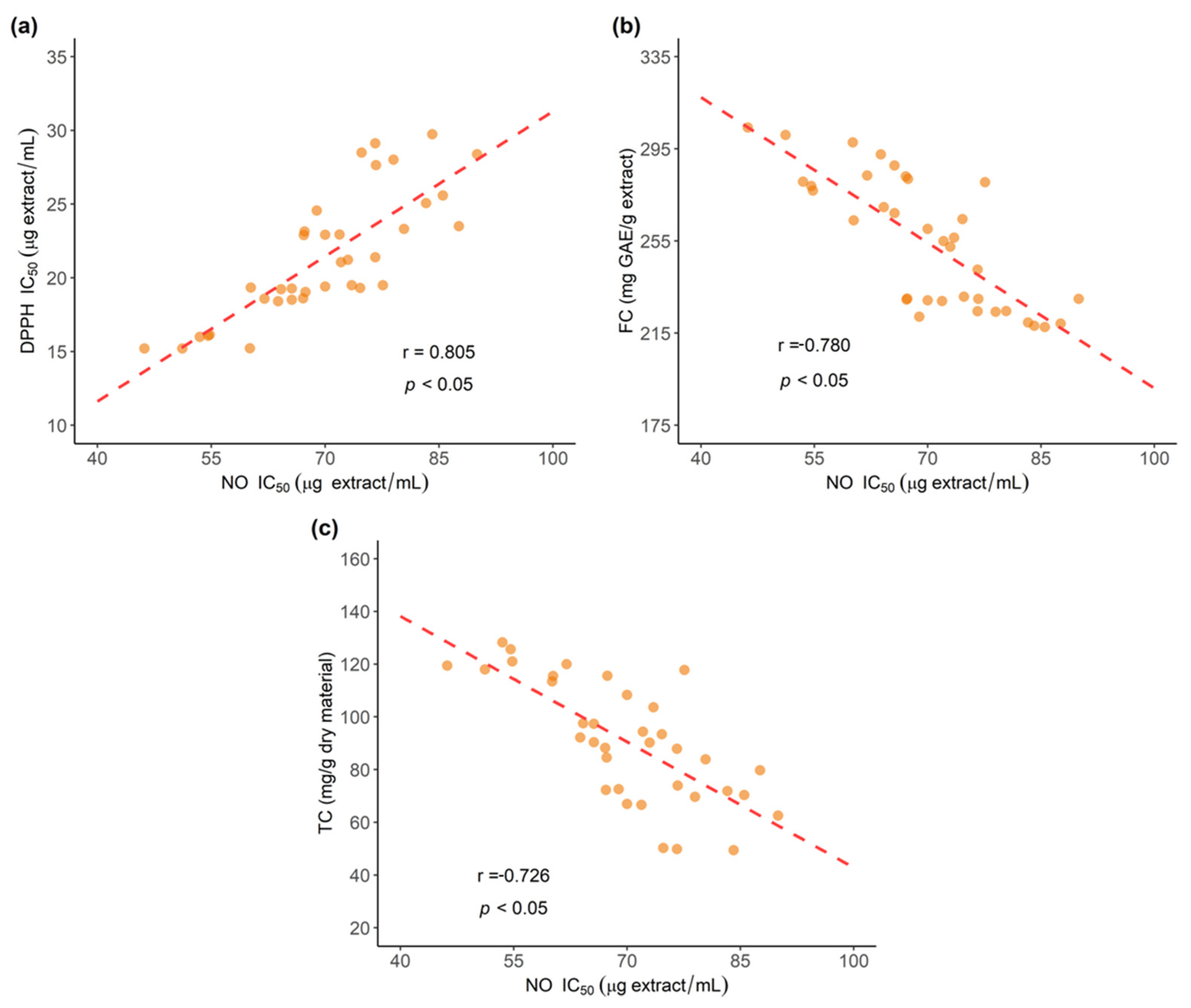
3.4. Folin–Ciocalteu Determination in C. longa Extracts
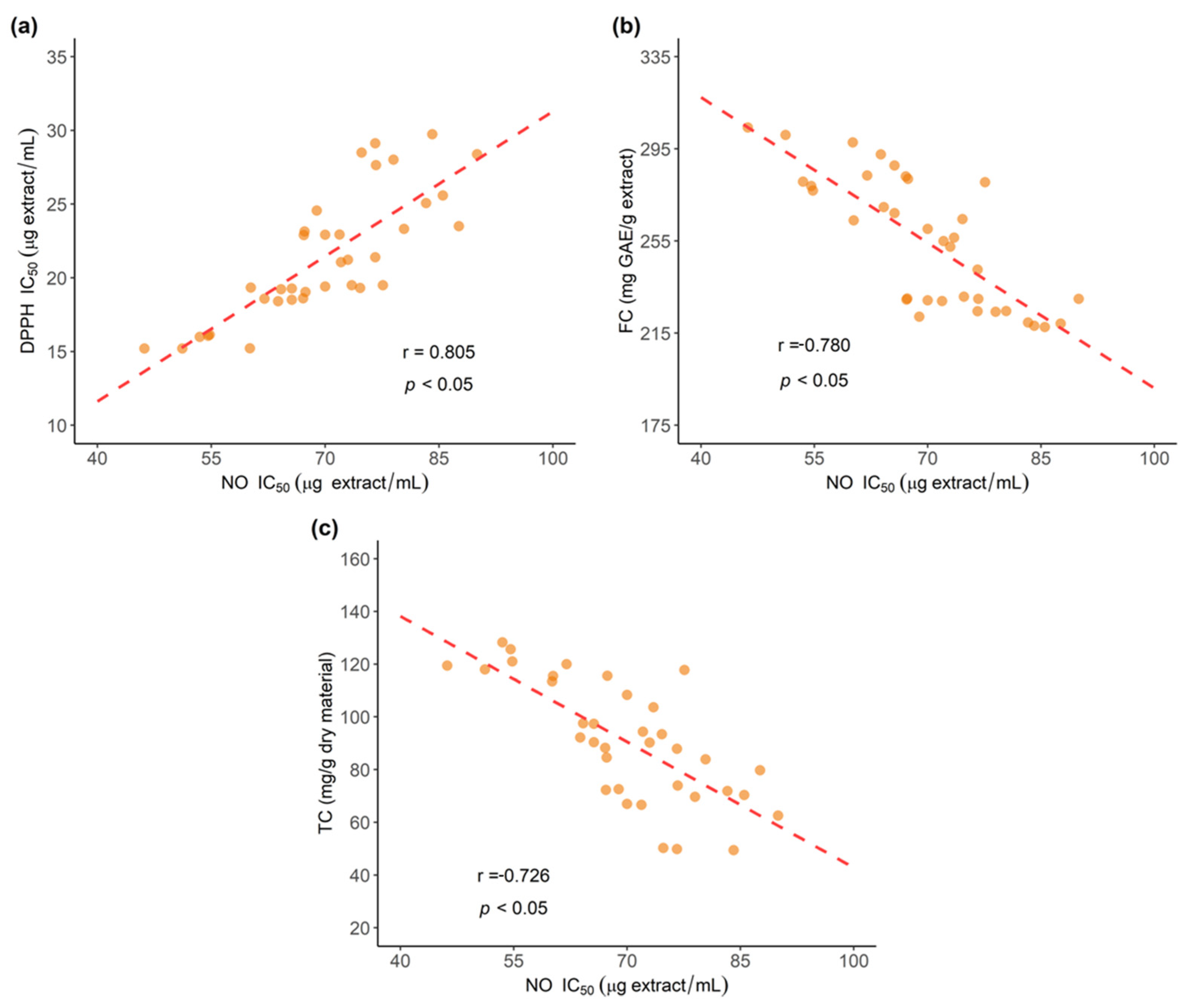
3.5. DPPH Antioxidant Activity
3.6. Nitric Oxide Radical Scavenging Activity
3.7. Principal Component Analysis for Polyphenolic Extracts of C. longa Rhizomes
4. Conclusions
Author Contributions
Funding
Institutional Review Board Statement
Informed Consent Statement
Data Availability Statement
Acknowledgments
Conflicts of Interest
References
- Sirirugsa, P.; Larsen, K.; Maknoi, C. The Genus Curcuma L. (Zingiberaceae): Distribution and Classification with Reference to Species Diversity in Thailand. Gard. Bull. Singap. 2007, 59, 203–220. [Google Scholar]
- Velayudhan, K.C.; Dikshit, N.; Nizar, M.A. Ethnobotany of Turmeric (Curcuma longa L.). Indian J. Tradit. Knowl. 2012, 11, 607–614. [Google Scholar]
- Amalraj, A.; Pius, A.; Gopi, S.; Gopi, S. Biological Activities of Curcuminoids, Other Biomolecules from Turmeric and Their Derivatives—A Review. J. Tradit. Complementary Med. 2017, 7, 205–233. [Google Scholar] [CrossRef] [Green Version]
- González-Albadalejo, J.; Sanz, D.; Claramunt, R.M.; Lavandera, J.L.; Alkorta, I.; Elguero, J. Curcumin and curcuminoids: Chemistry, structural studies and biological properties. An. Real Acad. Nac. Farm. 2015, 33, 278–310. [Google Scholar]
- Kahkhaie, K.R.; Mirhosseini, A.; Aliabadi, A.; Mohammadi, A.; Mousavi, M.J.; Haftcheshmeh, S.M.; Sathyapalan, T.; Sahebkar, A. Curcumin: A Modulator of Inflammatory Signaling Pathways in the Immune System. Inflammopharmacol 2019, 27, 885–900. [Google Scholar] [CrossRef] [PubMed]
- Griffiths, H.R.; Gao, D.; Pararasa, C. Redox Regulation in Metabolic Programming and Inflammation. Redox Biol. 2017, 12, 50–57. [Google Scholar] [CrossRef]
- Kotha, R.R.; Luthria, D.L. Curcumin: Biological, Pharmaceutical, Nutraceutical, and Analytical Aspects. Molecules 2019, 24, 2930. [Google Scholar] [CrossRef] [Green Version]
- Araya-Sibaja, A.M.; Wilhelm, K.; Gonzalez-Aguilar, G.A.; Vega-Braudit, J.R.; Salazar-Lopez, N.J.; Dominguez-Avila, J.; Navarro-Hoyos, M. Curcumin Loaded and Co-loaded Nanosystems: A Review from a Biological Activity Enhancement Perspective. Pharm. Nanotechnol. 2021, 9, 85–100. [Google Scholar] [CrossRef]
- Xie, L.; Li, X.-K.; Takahara, S. Curcumin Has Bright Prospects for the Treatment of Multiple Sclerosis. Int. Immunopharmacol. 2011, 11, 323–330. [Google Scholar] [CrossRef]
- Kurd, S.K.; Smith, N.; VanVoorhees, A.; Troxel, A.B.; Badmaev, V.; Seykora, J.T.; Gelfand, J.M. Oral Curcumin in the Treatment of Moderate to Severe Psoriasis Vulgaris: A Prospective Clinical Trial. J. Am. Acad. Dermatol. 2008, 58, 625–631. [Google Scholar] [CrossRef] [Green Version]
- Pinsornsak, P.; Niempoog, S. The Efficacy of Curcuma longa L. Extract as an Adjuvant Therapy in Primary Knee Osteoarthritis: A Randomized Control Trial. J. Med. Assoc. 2012, 95, S51–S58. [Google Scholar]
- Lang, A.; Salomon, N.; Wu, J.C.Y.; Kopylov, U.; Lahat, A.; Har-Noy, O.; Ching, J.Y.L.; Cheong, P.K.; Avidan, B.; Gamus, D.; et al. Curcumin in Combination With Mesalamine Induces Remission in Patients With Mild-to-Moderate Ulcerative Colitis in a Randomized Controlled Trial. Clin. Gastroenterol. Hepatol. 2015, 13, 1444–1449.e1. [Google Scholar] [CrossRef] [PubMed]
- Zhang, H.A.; Kitts, D.D. Turmeric and Its Bioactive Constituents Trigger Cell Signaling Mechanisms That Protect against Diabetes and Cardiovascular Diseases. Mol. Cell. Biochem. 2021, 476, 3785–3814. [Google Scholar] [CrossRef] [PubMed]
- Prasad, S.; Tyagi, A.K.; Aggarwal, B.B. Recent Developments in Delivery, Bioavailability, Absorption and Metabolism of Curcumin: The Golden Pigment from Golden Spice. Cancer Res. Treat. 2014, 46, 2–18. [Google Scholar] [CrossRef] [Green Version]
- Lelli, D.; Sahebkar, A.; Johnston, T.P.; Pedone, C. Curcumin Use in Pulmonary Diseases: State of the Art and Future Perspectives. Pharmacol. Res. 2017, 115, 133–148. [Google Scholar] [CrossRef]
- Utomo, R.Y.; Ikawati, M.; Meiyanto, E. Revealing the Potency of Citrus and Galangal Constituents to Halt SARS-CoV-2 Infection. Med. Pharmacol. 2020, 1–8. [Google Scholar] [CrossRef] [Green Version]
- Chen, L.; Hu, C.; Hood, M.; Zhang, X.; Zhang, L.; Kan, J.; Du, J. A Novel Combination of Vitamin C, Curcumin and Glycyrrhizic Acid Potentially Regulates Immune and Inflammatory Response Associated with Coronavirus Infections: A Perspective from System Biology Analysis. Nutrients 2020, 12, 1193. [Google Scholar] [CrossRef]
- Prasad, R.; Shivay, Y.S. Scientific and Medical Research Support Can Increase Export Earnings from Turmeric (Curcuma longa). Natl. Acad. Sci. Lett. 2021, 44, 481–483. [Google Scholar] [CrossRef]
- Monrad, J.; Howard, L.; King, J.; Srinivas, K.; Mauromoustakos, A. Subcritical solvent extraction of anthocyanins from dried red grape pomace. J. Agric. Food Chem. 2010, 58, 2862–2868. [Google Scholar] [CrossRef]
- Navarro-Hoyos, M.; Arnáez-Serrano, E.; Quesada-Mora, S.; Azofeifa-Cordero, G.; Wilhelm-Romero, K.; Quirós-Fallas, M.I.; Alvarado-Corella, D.; Vargas-Huertas, F.; Sánchez-Kopper, A. Polyphenolic QTOF-ESI MS Characterization and the Antioxidant and Cytotoxic Activities of Prunus domestica Commercial Cultivars from Costa Rica. Molecules 2021, 26, 6493. [Google Scholar] [CrossRef]
- United States Pharmacopeial Convention. USP39-NF34 Dietary Supplements; USP: Rockville, MD, USA, 2016; pp. 6867–6868. [Google Scholar]
- Navarro, M.; Sanchez, F.; Murillo, R.; Martín, P.; Zamora, W.; Monagas, M.; Bartolomé, B. Phenolic assesment of Uncaria tomentosa L. (Cat’s Claw): Leaves, stem, bark and wood extracts. Molecules 2015, 20, 22703–22717. [Google Scholar] [CrossRef] [PubMed] [Green Version]
- Navarro-Hoyos, M.; Arnáez-Serrano, E.; Quesada-Mora, S.; Azofeifa-Cordero, G.; Wilhelm-Romero, K.; Quirós-Fallas, M.I.; Alvarado-Corella, D.; Vargas-Huertas, F.; Sánchez-Kopper, A. HRMS Characterization, Antioxidant and Cytotoxic Activities of Polyphenols in Malus domestica Cultivars from Costa Rica. Molecules 2021, 26, 7367. [Google Scholar] [CrossRef] [PubMed]
- Balakrishnan, N.; Panda, A.B.; Raj, N.R.; Shrivastava, A.; Prathani, R. The Evaluation of Nitric Oxide Scavenging Activity of Acalypha Indica Linn root. Asian J. Res. Chem. 2009, 2, 148–150. [Google Scholar]
- Ali, I.; Haque, A.; Saleem, K. Separation and Identification of Curcuminoids in Turmeric Powder by HPLC using Phenyl Column. Anal. Methods 2014, 6, 2526–2536. [Google Scholar] [CrossRef]
- Jia, S.; Du, Z.; Song, C.; Jin, S.; Zhang, Y.; Feng, Y.; Xiong, C.; Jiang, H. Identification and Characterization of Curcuminoids in Turmeric Using Ultra-High Performance Liquid Chromatography-Quadrupole Time of Flight Tandem Mass Spectrometry. J. Chromatogr. A 2017, 1521, 110–122. [Google Scholar] [CrossRef] [PubMed]
- Jin, S.; Song, C.; Jia, S.; Li, S.; Zhang, Y.; Chen, C.; Feng, Y.; Xu, Y.; Xiong, C.; Xiang, Y.; et al. An Integrated Strategy for Establishment of Curcuminoid Profile in Turmeric Using Two LC–MS/MS Platforms. J. Pharm. Biomed. Anal. 2017, 132, 93–102. [Google Scholar] [CrossRef] [PubMed]
- Bajpai, V.; Singh, A.; Chandra, P.; Negi, M.P.S.; Kumar, N.; Kumar, B. Analysis of Phytochemical Variations in Dioecious Tinospora Cordifolia Stems Using HPLC/QTOF MS/MS and UPLC/QqQ LIT -MS/MS. Phytochem. Anal. 2016, 27, 92–99. [Google Scholar] [CrossRef]
- Jiang, H.; Somogyi, Á.; Jacobsen, N.E.; Timmermann, B.N.; Gang, D.R. Analysis of Curcuminoids by Positive and Negative Electrospray Ionization and Tandem Mass Spectrometry. Rapid Commun. Mass Spectrom. 2006, 20, 1001–1012. [Google Scholar] [CrossRef]
- Zeng, Y.; Qiu, F.; Takahashi, K.; Liang, J.; Qu, G.; Yao, X. New sesquiterpenes and calebin derivatives from Curcuma longa. Chem. Pharm. Bull. 2007, 55, 940–943. [Google Scholar] [CrossRef] [Green Version]
- Chao, I.C.; Wang, C.M.; Li, S.P.; Lin, L.G.; Ye, W.C.; Zhang, Q.W. Simultaneous Quantification of Three Curcuminoids and Three Volatile Components of Curcuma longa Using Pressurized Liquid Extraction and High-Performance Liquid Chromatography. Molecules 2018, 23, 1568. [Google Scholar] [CrossRef] [Green Version]
- Rungruang, R.; Ratanathavorn, W.; Boohuad, N.; Selamassakul, O.; Kaisangsri, N. Antioxidant and Anti-Aging Enzyme Activities of Bioactive Compounds Isolated from Selected Zingiberaceae Plants. Agric. Nat. Resour. 2021, 55, 153–160. [Google Scholar] [CrossRef]
- Pal, K.; Chowdhury, S.; Dutta, S.K.; Chakraborty, S.; Chakraborty, M.; Pandit, G.K.; Dutta, S.; Paul, P.K.; Choudhury, A.; Majumder, B.; et al. Analysis of Rhizome Colour Content, Bioactive Compound Profiling and Ex-Situ Conservation of Turmeric Genotypes (Curcuma longa L.) from Sub-Himalayan Terai Region of India. Ind. Crops Prod. 2020, 150, 112401. [Google Scholar] [CrossRef]
- Revathy, S.; Elumalai, S.; Benny, M.; Antony, B. Isolation, Purification and Identification of Curcuminoids from Turmeric (Curcuma longa L.) by Column Chromatography. J. Exp. Sci. 2011, 2, 21–25. [Google Scholar]
- Sepahpour, S.; Selamat, J.; Abdul Manap, M.Y.; Khatib, A.; Abdull Razis, A.F. Comparative Analysis of Chemical Composition, Antioxidant Activity and Quantitative Characterization of Some Phenolic Compounds in Selected Herbs and Spices in Different Solvent Extraction Systems. Molecules 2018, 23, 402. [Google Scholar] [CrossRef] [PubMed] [Green Version]
- Skiba, M.B.; Luis, P.B.; Alfafara, C.; Billheimer, D.; Schneider, C.; Funk, J.L. Curcuminoid Content and Safety-Related Markers of Quality of Turmeric Dietary Supplements Sold in an Urban Retail Marketplace in the United States. Mol. Nutr. Food Res. 2018, 62, 1800143. [Google Scholar] [CrossRef] [PubMed]
- Platzer, M.; Kiese, S.; Herfellner, T.; Schweiggert-Weisz, U.; Eisner, P. How Does the Phenol Structure Influence the Results of the Folin-Ciocalteu Assay? Antioxidants 2021, 10, 811. [Google Scholar] [CrossRef]
- Luaces, P.; Pascual, M.; Pérez, A.G.; Sanz, C. An Easy-to-Use Procedure for the Measurement of Total Phenolic Compounds in Olive Fruit. Antioxidants 2021, 10, 1656. [Google Scholar] [CrossRef]
- Singleton, V.L.; Orthofer, R.; Lamuela-Raventós, R.M. Analysis of total phenols and other oxidation substrates and antioxidants by means of Folin-Ciocalteu regent. Methods Enzymol. 1999, 299, 152–178. [Google Scholar]
- Prior, R.L.; Wu, X.; Schaich, K. Standardized methods for the determination of antioxidant capacity and phenolics in foods and dietary supplements. J. Agric. Food Chem. 2005, 53, 4290–4302. [Google Scholar] [CrossRef]
- Choi, Y.; Ban, I.; Lee, H.; Baik, M.-Y.; Kim, W. Puffing as a Novel Process to Enhance the Antioxidant and Anti-Inflammatory Properties of Curcuma longa L. (Turmeric). Antioxidants 2019, 8, 506. [Google Scholar] [CrossRef] [Green Version]
- Cai, Y.Z.; Sun, M.; Xing, J.; Luo, Q.; Corke, H. Structure–radical scavenging activity relationships of phenolic compounds from traditional Chinese medicinal plants. Life Sci. 2006, 78, 2872–2888. [Google Scholar] [CrossRef] [PubMed]
- Shang, Y.J.; Qian, Y.P.; Liu, X.D.; Dai, F.; Shang, X.L.; Jia, W.Q.; Liu, Q.; Fang, J.G.; Zhou, B. Radical-scavenging activity and mechanism of resveratrol-oriented analogues: Influence of the solvent, radical, and substitution. J. Org. Chem. 2009, 74, 5025–5031. [Google Scholar] [CrossRef] [PubMed]
- Niki, E. Antioxidant Capacity: Which Capacity and How to Assess It? J. Berry Res. 2011, 1, 169–176. [Google Scholar] [CrossRef] [Green Version]
- Foti, M.; Daquino, C.; Geraci, C. Electron-Transfer Reaction of Cinnamic Acids and Their Methyl Esters with the DPPH• Radical in Alcoholic Solutions. J. Org. Chem. 2004, 69, 2309–2314. [Google Scholar] [CrossRef] [PubMed]
- Tamta, A.; Prakash, O.; Punetha, H.; Pant, A.K. Chemical composition and in vitro antioxidant potential of essential oil and rhizome extracts of Curcuma amada Roxb. Cogent Chem. 2016, 2, 1168067. [Google Scholar] [CrossRef]
- Karmakar, I.; Dolai, N.; Saha, P.; Sarkar, N.; Bala, A.; Haldar, P.K. Scavenging activity of Curcuma caesia rhizome against reactive oxygen and nitrogen species. Orient. Pharm. Exp. Med. 2011, 11, 221–228. [Google Scholar] [CrossRef]
- Jayaprakasha, G.K.; Rao, L.J.; Sakariah, K.K. Antioxidant Activities of Curcumin, Demethoxycurcumin and Bisdemethoxycurcumin. Food Chem. 2006, 98, 720–724. [Google Scholar] [CrossRef]
- Navarro-Hoyos, M.; Alvarado-Corella, D.; Moreira-Gonzalez, I.; Arnaez-Serrano, E.; Monagas-Juan, M. Polyphenolic Composition and Antioxidant Activity of Aqueous and Ethanolic Extracts from Uncaria tomentosa Bark and Leaves. Antioxidants 2018, 7, 65. [Google Scholar] [CrossRef] [Green Version]
- Navarro, M.; Arnaez, E.; Moreira, I.; Quesada, S.; Azofeifa, G.; Wilhelm, K.; Vargas, F.; Chen, P. Polyphenolic Characterization, Antioxidant, and Cytotoxic Activities of Mangifera indica Cultivars from Costa Rica. Foods 2019, 8, 384. [Google Scholar] [CrossRef] [Green Version]
- Baliga, M.; Jagetia, G.; Rao, S.; Babu, K. Evaluation of nitric oxide scavenging activity of certain spices in vitro: A preliminary study. Nahrung/Food 2003, 47, 261–264. [Google Scholar] [CrossRef]
- Jagieta, G.; Baliga, M. The evaluation of nitric oxide scavenging activity of certain Indian medicinal plants in vitro: A preliminary study. J. Med. Food 2004, 7, 343–348. [Google Scholar] [CrossRef] [PubMed]
- Król, M.; Kepinska, M. Human Nitric Oxide Synthase—Its Functions, Polymorphisms, and Inhibitors in the Context of Inflammation, Diabetes and Cardiovascular Diseases. Int. J. Mol. Sci. 2021, 22, 56. [Google Scholar] [CrossRef] [PubMed]
- Rackova, L.; Kostalova, D.; Bezakova, L.; Fialova, S.; Bauerova, K.; Toth, J.; Stefek, M.; Vanko, M. Comparative study of two natural antioxidants, curcumin and Curcuma longa extract. J. Food Nutr. Res. 2009, 48, 148–152. [Google Scholar]
- Kamble, S.C.; Humbare, R.B.; Sarkar, J.; Kulkarni, A.A. Assessment of Phytochemicals and Antioxidant Properties of Root Extracts of Rubia cordifolia L. in Different Solvent Systems. Biol. Life Sci. Forum 2020, 4, 100. [Google Scholar] [CrossRef]
- Basu, S.; Hazra, B. Evaluation of nitric oxide scavenging activity, In Vitro and Ex Vivo, of selected medicinal plants traditionally used in inflammatory diseases. Phyther. Res. 2006, 20, 896–900. [Google Scholar] [CrossRef]
- Ramalingam, M.; Yong-Ki, P. Free radical scavenging activities of Cnidium officinale Makino and Ligusticum chuanxiong Hort. methanolic extracts. Pharmacogn. Mag. 2010, 6, 323–330. [Google Scholar] [CrossRef] [Green Version]
- Suluvoy, J.K.; Berlin Grace, V.M. Phytochemical profile and free radical nitric oxide (NO) scavenging activity of Averrhoa bilimbi L. fruit extract. Biotech 2017, 7, 1–11. [Google Scholar] [CrossRef] [Green Version]
- Priya Darsini, D.T.; Maheshu, V.; Vishnupriya, M.; Nishaa, S.; Sasikumar, J.M. Antioxidant potential and amino acid analysis of underutilized tropical fruit Limonia acidissima L. Free. Radic. Antioxid. 2013, 3, S62–S69. [Google Scholar] [CrossRef] [Green Version]
- Azofeifa, G.; Quesada, S.; Boudard, F.; Morena, M.; Cristol, J.P.; Pérez, A.M.; Vaillant, F.; Michel, A. Antioxidant and anti-inflammatory in vitro activities of phenolic compounds from tropical highland blackberry (Rubus adenotrichos). J. Agric. Food Chem. 2013, 61, 5798–5804. [Google Scholar] [CrossRef]
- Niki, E. Assessment of antioxidant capacity in vitro and in vivo. Free Radic. Biol. Med. 2010, 15, 503–515. [Google Scholar] [CrossRef]
- Rao, M.N. Nitric Oxide Scavenging by Curcuminoids. J. Pharm. Pharmacol. 1997, 49, 105–107. [Google Scholar] [CrossRef]
- Joe, B.; Vijaykumar, M.; Lokesh, B.R. Biological Properties of Curcumin-Cellular and Molecular Mechanisms of Action. Crit. Rev. Food Sci. Nutr. 2004, 44, 97–111. [Google Scholar] [CrossRef] [PubMed]
- Huang, D.; Ou, B.; Prior, R.L. The Chemistry behind Antioxidant Capacity Assays. J. Agric. Food Chem. 2005, 53, 1841–1856. [Google Scholar] [CrossRef] [PubMed]
- Lizcano, L.J.; Bakkali, F.; Ruiz-Larrea, B.; Ruiz-Sanz, J.I. Antioxidant activity and polyphenol content of aqueous extracts from Colombia Amazonian plants with medicinal use. Food Chem. 2010, 119, 1566–1570. [Google Scholar] [CrossRef]
- Lopez-Cobo, A.; Verardo, V.; Diaz-de-Cerio, E.; Segura-Carretero, A.; Fernández-Gutiérrez, A.; Gómez-Caravaca, A.M. Use of HPLC- and GC-QTOF to determine hydrophilic and lipophilic phenols in mango fruit (Mangifera indica L.) and its by-products. Food Res. Int. 2017, 100, 423–434. [Google Scholar] [CrossRef]
- Dudonné, S.; Vitrac, X.; Coutière, P.; Woillez, M.; Mérillon, J.M. Comparative Study of Antioxidant Properties and Total Phenolic Content of 30 Plant Extracts of Industrial Interest Using DPPH, ABTS, FRAP, SOD, and ORAC Assays. J. Agric. Food Chem. 2009, 57, 1768–1774. [Google Scholar] [CrossRef]
- Chen, Y.; Huang, J.; Hu, J.; Yan, R.; Ma, X. Comparative Study on the Phytochemical Profiles and Cellular Antioxidant Activity of Phenolics Extracted from Barley Malts Processed under Different Roasting Temperatures. Food Funct. 2019, 10, 2176–2185. [Google Scholar] [CrossRef]
- Yu, H.; Li, J.; Shi, K.; Huang, Q. Structure of Modified ε-Polylysine Micelles and Their Application in Improving Cellular Antioxidant Activity of Curcuminoids. Food Funct. 2011, 2, 373. [Google Scholar] [CrossRef] [Green Version]



















| Experiment | Solvent | T (°C) | Static Time (min) | TC 1,2,3 |
|---|---|---|---|---|
| 1 | Methanol | 80 | 10 | 88.6 a,b ± 1.1 |
| 2 | Acetone | 80 | 10 | 90.8 a ± 3.2 |
| 3 | Acetone | 80 | 6 | 86.6 a,b ± 1.3 |
| 4 | Methanol | 80 | 6 | 81.0 b ± 0.8 |
| 5 | Methanol | 60 | 6 | 65.3 c ± 2.8 |
| 6 | Acetone | 60 | 6 | 57.8 c,d ± 3.7 |
| 7 | Acetone | 60 | 10 | 51.9 d ± 4.7 |
| 8 | Methanol | 60 | 10 | 57.7 c,d ± 1.0 |
| Peak | Tentative Identification | Rt (min) | Molecular Formula | [M + H]+ Observed | MS2 Fragments | Sample 1 |
|---|---|---|---|---|---|---|
| 1 | 5-hydroxy-1,7-bis(4-hydroxyphenyl)hept-1-en-3-one | 7.39 | C19H21O4 | 313.1422 | 147, 163, 133, 107 | NR-1, NR-2, NE-3, NE-4, NW-1 |
| 2 | 1,5-bis(4-hydroxy-3-methoxyphenyl)pent-1-en-3-one | 8.41 | C19H21O5 | 329.1383 | 137 | NE-1, NE-2, NE-3, NE-4, NW-2, NW-3, WR-1 |
| 3 | 4-(4-hydroxyphenyl)-2-oxobut-3-en-1-yl 3-(4-hydroxyphenyl)acrylate | 11.47 | C19H17O5 | 325.1075 | 147 | NR-1, NR-4, NE-1, NE-2, NE-3, NE-4, NW-3, WR-1 |
| 4 | Tetrahydrobisdemethoxycurcumin | 11.60 | C19H21O4 | 313.1422 | 149, 107 | NR-3, NE-1, NE-3, NE-4, WR-1 |
| 5 | Calebin-A isomer | 11.71 | C21H21O7 | 385.1276 | 177 | NR-2, NR-3, NE-1, NE-3, NE-4, NW-1, NW-2 |
| 6 | 2-(3,4-dihydroxybenzylidene)-5-(-4-hydroxystyryl)furan-3(2H)-one | 11.74 | C19H15O5 | 323.0922 | 123, 147 | NR-2, NR-3, NR-4, NE-1, NE-3, NE-4, NW-2, NW-3, WR-1 |
| 7 | curcumalongin A | 11.83 | C20H17O6 | 353.1024 | 147, 153, 171, 269, 293, 321, 338 | NR-2, NR-3, NR-4, NE-1, NE-2, NE-4, NW-1, NW-3 |
| 8 | curcumalongin B | 12.11 | C21H19O7 | 383.1140 | 123, 145, 153, 177, 201, 294, 350, 368 | NR-2, NR-4, NE-1, NE-2, NE-4, NW-1, NW-3 |
| 9 | 2-(3,4-dihydroxybenzylidene)-5-(4-hydroxy-3-methoxystyryl)furan-3(2H)-one | 12.19 | C20H17O6 | 353.1024 | 123, 150, 153, 177, 337, 338 | NR-1, NR-2, NR-3, NR-4, NE-1, NE-2, NE-3, NE-4, NW-1, NW-2, NW-3, WR-1 |
| 10 | 5-hydroxy-1,7-bis(4-hydroxy-3-methoxyphenyl)hept-1-en-3-one | 12.39 | C21H25O6 | 373.1652 | 145, 163, 177, 137 | NR-1, NR-2, NR-3, NR-4, NE-1, NE-2, NE-3, NE-4, NW-1, NW-2, NW-3, WR-1 |
| 11 | 1-(4-hydroxy-3-methoxyphenyl)-5-(4-hydroxyphenyl)penta-1,4-dien-3-one | 13.52 | C18H17O4 | 297.1105 | 107, 119, 137, 145, 147, 173, 177 | NR-1, NR-3, NE-1, NE-2, NE-4, NW-3 |
| 12 | 1,5-bis(4-hydroxy-3-methoxyphenyl)-1,4-pentadien-3-one | 13.97 | C19H19O5 | 327.1216 | 137, 145, 177 | NR-1, NE-1, NE-2, NE-3, NE-4, NW-1, NW-2, NW-3, WR-1 |
| 13 | 1,7-bis(4-hydroxyphenyl)-1,4,6-heptatrien-3-one | 15.13 | C19H17O3 | 293.1167 | 107, 131, 147, 173, 199, 225 | NR-1, NR-2, NR-4, NE-1, NE-2, NE-3, NE-4, NW-1, NW-2, WR-1 |
| 14 | 1-(4-hydroxyphenyl)-7-phenylhept-1-ene-3,5-dione | 15.52 | C19H19O3 | 295.1313 | 105, 119, 147 | NR-1, NR-2, NR-3, NR-4, NE-1, NE-2, NE-4, NW-1, NW-2, NW-3, WR-1 |
| 15 | 1-(4-hydroxy-3-methoxyphenyl)-7-(4-hydroxyphenyl)hepta-1,4,6-trien-3-one | 15.67 | C20H19O4 | 323.1253 | 107, 131, 137, 161, 177, 229 | NR-2, NR-3, NE-1, NE-2, NE-3, NE-4, NW-1, NW-3 |
| 16 | 1,7-bis(4-hydroxy-3-methoxyphenyl)-1,4,6-heptatrien-3-one | 16.18 | C21H21O5 | 353.1370 | 137, 145, 161, 177, 225 | NR-1, NR-4, NE-1, NE-2, NE-3, NE-4, NW-2, NW-3 |
| 17 | Curcumalongin C | 16.21 | C21H21O7 | 385.1276 | 117, 133, 145, 161, 177, 193, 195, 219 | NR-1, NR-2, NE-1, NE-2, NE-3, NE-4, NW-2, NW-3, WR-1 |
| 18 | 7-(3,4-dimethoxyphenyl)-1-(4-hydroxyphenyl)hept-1-ene-3,5-dione | 16.46 | C21H23O5 | 355.1512 | 119, 147 | NR-2, NE-1, NE-2, NE-4, NW-1 |
| 19 | 2-(4-hydroxy-3-methoxybenzylidene)-5-(-4-hydroxy-3-methoxystyryl)furan-3(2H)-one | 16.56 | C21H19O6 | 367.1176 | 137, 177, 201, 323 | NR-1, NR-2, NR-3, NR-4, NE-1, NE-2, NE-3, NE-4, NW-1, NW-2, NW-3, WR-1 |
| 20 | Octahydrobisdemethoxycurcumin | 17.25 | C19H25O4 | 317.1733 | 107, 147, 161, 281 | NR-2, NR-3, NE-1, NE-2, NE-4, NW-1 |
| 21 | 7-(3,4-dimethoxyphenyl)-5-hydroxy-1-(4-hydroxy-3-methoxyphenyl)hept-1-en-3-one | 17.75 | C22H27O6 | 387.1826 | 145, 177, 219 | NR-1, NR-3, NE-1, NE-4, NW-3 |
| 22 | Bisdemethoxycurcumin | 17.90 | C19H17O4 | 309.1137 | 147, 225 | NR-1, NR-2, NR-3, NR-4, NE-1, NE-2, NE-3, NE-4, NW-1, NW-2, NW-3, WR-1 |
| 23 | 1,7-bis(3,4-dihydroxyphenyl)-5-hydroxyhept-1-en-3-one | 18.18 | C19H21O6 | 345.1336 | 161, 149, 123, 147 | NR-1, NR-2, NR-4, NE-1, NE-2, NE-3, NE-4, NW-1, NW-2, NW-3, WR-1 |
| 24 | Dihydrodemethoxycurcumin | 18.43 | C20H21O5 | 341.1379 | 119, 145, 147, 177 | NR-2, NR-3, NE-1, NE-4, NW-2, NW-3 |
| 25 | Demethoxycurcumin | 18.46 | C20H19O5 | 339.1262 | 117, 119, 131, 145, 147, 177, 195, 223 | NR-1, NR-2, NR-3, NR-4, NE-1, NE-2, NE-3, NE-4, NW-1, NW-2, NW-3, WR-1 |
| 26 | Artamenone | 18.51 | C17H17O3 | 269.1168 | 119, 107 | NR-2, NR-3, NE-1, NE-4, NW-1, NW-3 |
| 27 | 1-(4-hydroxy-3,5-dimethoxyphenyl)-7-(4-hydroxy-3-methoxyphenyl)-1,6-heptadiene-3, 5-dione | 18.61 | C22H23O7 | 399.1408 | 145, 147, 161, 177, 209 | NR-1, NR-2, NR-4, NE-1, NE-2, NE-3, NE-4, NW-1, NW-2, NW-3 |
| 28 | Curcumin | 19.03 | C21H21O6 | 369.1358 | 117, 145, 161, 177, 219, 225 | NR-1, NR-2, NR-3, NR-4, NE-1, NE-2, NE-3, NE-4, NW-1, NW-2, NW-3, WR-1 |
| 29 | 5-(4-hydroxy-3-methoxyphenyl)-1-(4-hydroxyphenyl)pent-1-en-3-one | 19.07 | C18H19O4 | 299.1281 | 137 | NR-1, NR-3, NE-4, NW-2, NW-3 |
| 30 | 2-(3,4-dihydroxy-5-methoxybenzylidene)-5-(-3,4-dimethoxystyryl)furan-3(2H)-one | 22.15 | C22H21O7 | 397.1262 | 191, 153 | NR-1, NR-2, NR-4, NE-1, NE-2, NE-3, NE-4, NW-3 |
| 31 | 2-(4-hydroxy-3-methoxybenzylidene)-5-(-4-hydroxystyryl)furan-3(2H)-one | 22.88 | C20H17O5 | 337.1054 | 137, 147 | NR-1, NR-2, NR-3, NR-4, NE-1, NE-2, NE-3, NE-4, NW-1, NW-2, NW-3, WR-1 |
| 32 | 2-(4-hydroxybenzylidene)-5-(-4-hydroxystyryl)furan-3(2H)-one | 26.16 | C19H15O4 | 307.0948 | 107, 147 | NR-1, NR-2, NR-4, NE-1, NE-2, NE-3, NE-4, NW-1, NW-2, NW-3, WR-1 |
| 33 | 4,4′-(3,5-dihydroxyheptane-1,7-diyl)bis(benzene-1,2-diol) | 28.14 | C19H25O6 | 349.164 | 149, 163, 177 | NE-1, NE-2, NE-4, NW-2, NW-3 |
| Product | CUR (mg/g) 1,2,3 | DMC (mg/g) | BDM (mg/g) 1,2,3 | TC (mg/g) 1,2,3 |
|---|---|---|---|---|
| NR-1 | 42.1 a,b ± 0.3 | 25.9 a,b ± 1.0 | 21.5 a,b,c ± 3.0 | 90.8 a,b ± 3.3 |
| NR-2 | 38.6 b,c ± 1.0 | 29.3 a,c ± 2.1 | 15.0 d,e ± 1.0 | 82.7 b,c ± 2.6 |
| NR-3 | 31.8 d ± 2.6 | 19.0 d ± 1.3 | 17.9 c,d ± 1.8 | 68.7 d ± 5.8 |
| NR-4 | 25.6 e ± 0.4 | 13.2 e ± 0.1 | 11.1 e ± 0.1 | 49.9 e ± 0.5 |
| NE-1 | 50.0 f ± 0.2 | 46.6 f ± 1.7 | 28.4 f ± 2.0 | 125.0 f ± 3.7 |
| NE-2 | 42.6 a,b ± 0.8 | 34.2 c ± 1.2 | 19.4 b,c,d ± 0.5 | 96.1 a ± 2.4 |
| NE-3 | 54.8 f ± 1.2 | 40.8 g ± 0.6 | 22.1 a,b,c ± 0.4 | 117.8 g ± 2.2 |
| NE-4 | 43.7 a ± 1.7 | 25.1 a,b ± 2.4 | 21.5 a,b ± 1.2 | 90.3 a ± 2.0 |
| NW-1 | 35.3 c,d ± 0.6 | 21.9 b,d ± 0.1 | 14.3 d,e ± 0.4 | 71.6 c,d ± 1.1 |
| NW-2 | 51.2 f ± 1.8 | 33.4 c ± 3.8 | 24.6 a,f ± 2.0 | 109.1 g ± 6.0 |
| NW-3 | 62.7 g ± 0.4 | 30.5 a,c ± 0.3 | 25.6 a,f ± 0.3 | 118.7 g ± 1.0 |
| WR-1 | 32.3 d ± 2.0 | 20.0 d ± 1.0 | 16.3 d ± 0.6 | 68.6 d ± 3.2 |
| Product | FC (mg GAE/g) 1,2,3 | Product | FC (mg GAE/g) 1,2,3 |
|---|---|---|---|
| NR-1 | 250.0 a ± 6.5 | NE-3 | 281.9 c ± 1.5 |
| NR-2 | 224.5 b ± 5.4 | NE-4 | 287.8 c ± 4.8 |
| NR-3 | 228.0 b ± 5.6 | NW-1 | 219.8 b ± 2.3 |
| NR-4 | 214.8 b ± 4.7 | NW-2 | 260.2 a,d ± 3.8 |
| NE-1 | 278.8 c ± 2.0 | NW-3 | 301.0 e ± 3.3 |
| NE-2 | 267.1 d ± 2.6 | WR-1 | 229.2 b ± 0.3 |
| Product | IC50 (µg/mL) 1,2 | Product | IC50 (µg/mL) 1,2 |
|---|---|---|---|
| NR-1 | 21.22 a ± 0.19 | NE-3 | 19.04 f,g ± 0.65 |
| NR-2 | 23.32 b ± 0.25 | NE-4 | 18.51 h ± 0.09 |
| NR-3 | 28.01 c ± 0.52 | NW-1 | 25.07 f ± 0.72 |
| NR-4 | 29.12 d ± 0.88 | NW-2 | 19.41 b ± 0.16 |
| NE-1 | 16.07 e ± 0.10 | NW-3 | 15.21 g ± 0.01 |
| NE-2 | 19.27 f,g ± 0.05 | WR-1 | 22.92 e ± 0.03 |
| Product | IC50 (µg/mL) 1,2 | Product | IC50 (µg/mL) 1,2 |
|---|---|---|---|
| NR-1 | 73.9 a ± 1.4 | NE-3 | 69.0 a,b ± 4.6 |
| NR-2 | 78.4 a ± 5.9 | NE-4 | 65.5 a,b ± 1.0 |
| NR-3 | 81.9 a ± 4.1 | NW-1 | 79.2 a ± 5.2 |
| NR-4 | 78.5 a ± 2.3 | NW-2 | 67.9 a,b ± 4.0 |
| NE-1 | 54.3 b ± 0.4 | NW-3 | 52.5 b ± 4.1 |
| NE-2 | 68.1 a,b ± 3.3 | WR-1 | 69.7 a,b ± 1.4 |
Publisher’s Note: MDPI stays neutral with regard to jurisdictional claims in published maps and institutional affiliations. |
© 2022 by the authors. Licensee MDPI, Basel, Switzerland. This article is an open access article distributed under the terms and conditions of the Creative Commons Attribution (CC BY) license (https://creativecommons.org/licenses/by/4.0/).
Share and Cite
Quirós-Fallas, M.I.; Vargas-Huertas, F.; Quesada-Mora, S.; Azofeifa-Cordero, G.; Wilhelm-Romero, K.; Vásquez-Castro, F.; Alvarado-Corella, D.; Sánchez-Kopper, A.; Navarro-Hoyos, M. Polyphenolic HRMS Characterization, Contents and Antioxidant Activity of Curcuma longa Rhizomes from Costa Rica. Antioxidants 2022, 11, 620. https://doi.org/10.3390/antiox11040620
Quirós-Fallas MI, Vargas-Huertas F, Quesada-Mora S, Azofeifa-Cordero G, Wilhelm-Romero K, Vásquez-Castro F, Alvarado-Corella D, Sánchez-Kopper A, Navarro-Hoyos M. Polyphenolic HRMS Characterization, Contents and Antioxidant Activity of Curcuma longa Rhizomes from Costa Rica. Antioxidants. 2022; 11(4):620. https://doi.org/10.3390/antiox11040620
Chicago/Turabian StyleQuirós-Fallas, María Isabel, Felipe Vargas-Huertas, Silvia Quesada-Mora, Gabriela Azofeifa-Cordero, Krissia Wilhelm-Romero, Felipe Vásquez-Castro, Diego Alvarado-Corella, Andrés Sánchez-Kopper, and Mirtha Navarro-Hoyos. 2022. "Polyphenolic HRMS Characterization, Contents and Antioxidant Activity of Curcuma longa Rhizomes from Costa Rica" Antioxidants 11, no. 4: 620. https://doi.org/10.3390/antiox11040620
APA StyleQuirós-Fallas, M. I., Vargas-Huertas, F., Quesada-Mora, S., Azofeifa-Cordero, G., Wilhelm-Romero, K., Vásquez-Castro, F., Alvarado-Corella, D., Sánchez-Kopper, A., & Navarro-Hoyos, M. (2022). Polyphenolic HRMS Characterization, Contents and Antioxidant Activity of Curcuma longa Rhizomes from Costa Rica. Antioxidants, 11(4), 620. https://doi.org/10.3390/antiox11040620

