Insights into the Antioxidant Mechanism of Newly Synthesized Benzoxazinic Nitrones: In Vitro and In Silico Studies with DPPH Model Radical
Abstract
:1. Introduction
2. Materials and Methods
2.1. Materials and Characterization
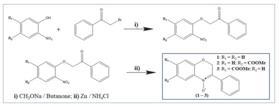
2.2. Synthetic Procedure
2.3. Determination of Erythrocyte Hemolysis Induced by AAPH
2.4. Cell Treatment
2.5. DPPH EPR Signal Quenching Kinetic Behavior
2.6. DPPH Spectrophotometric Assay
2.7. DFT Calculations
2.8. Electrochemical Measurements
2.9. Statistical Analysis
3. Results and Discussion
3.1. Synthesis and Structural Characterization
3.2. Cellular-Based Assays
3.3. DPPH EPR Signal Quenching
3.4. DPPH Spectrophotometric Assay
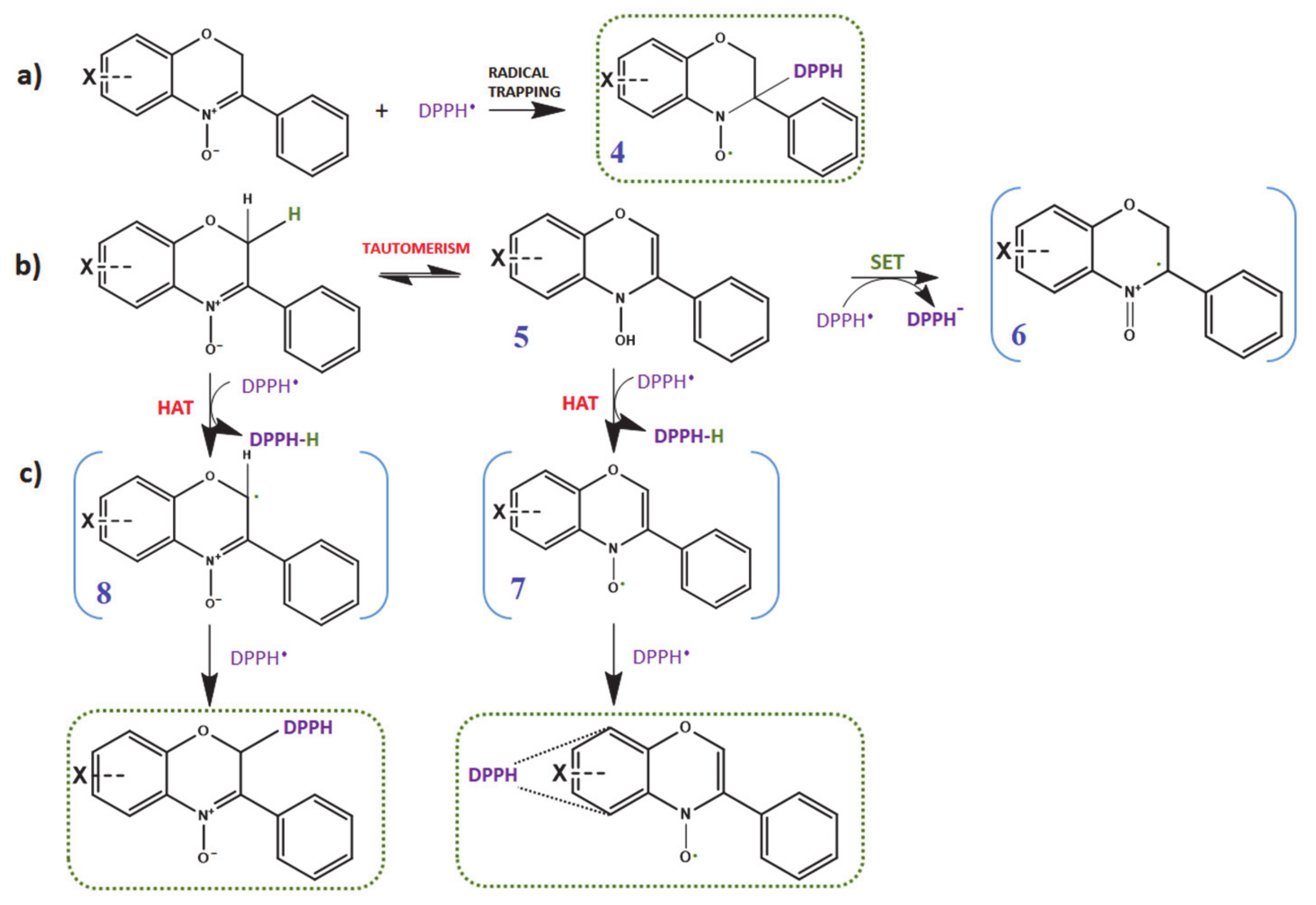
3.5. Insights into the Mechanism of Antioxidant Activity of Nitrones
3.5.1. Feasibility of Pathway (a): Radical Trapping Ability of Nitrones
3.5.2. Feasibility of Pathway (b) and (c): Single Electron Transfer (SET) and Hydrogen Atom Transfer (HAT)
3.5.3. Cyclic Voltammetry
3.5.4. UV/VIS Evidences
3.5.5. EPR Kinetic Analysis
4. Conclusions
Author Contributions
Funding
Institutional Review Board Statement
Informed Consent Statement
Data Availability Statement
Acknowledgments
Conflicts of Interest
References
- Janzen, E.G. Spin trapping. Acc. Chem. Res. 1971, 4, 31–40. [Google Scholar] [CrossRef]
- Buettner, G. Spin Trapping: ESR parameters of spin adducts 1474 1528V. Free Radic. Biol. Med. 1987, 3, 259–303. [Google Scholar] [CrossRef]
- Finkelstein, E.; Rosen, G.M.; Rauckman, E.J. Spin trapping of superoxide and hydroxyl radical: Practical aspects. Arch. Biochem. Biophys. 1980, 200, 1–16. [Google Scholar] [CrossRef]
- Rosen, G.M.; Finkelstein, E. Use of spin traps in biological systems. Adv. Free Radic. Biol. Med. 1985, 1, 345–375. [Google Scholar] [CrossRef]
- Hawkins, C.; Davies, M. Detection and characterisation of radicals in biological materials using EPR methodology. Biochim. Biophys. Acta (BBA)-Gen. Subj. 2014, 1840, 708–721. [Google Scholar] [CrossRef] [PubMed]
- Janzen, E.G.; Blackburn, B.J. Detection and identification of short-lived free radicals by an electron spin resonance trapping technique. J. Am. Chem. Soc. 1968, 90, 5909–5910. [Google Scholar] [CrossRef]
- Chalfont, G.R.; Perkins, M.J.; Horsfield, A. A Probe for Homolytic Reactions in Solution. II. The Polymerization of Styrene. J. Am. Chem. Soc. 1968, 90, 7141–7142. [Google Scholar] [CrossRef]
- Lagercrantz, C.; Forshult, S. Trapping of Free Radicals formed by γ-Irradiation of Organic Compounds. Nature 1968, 218, 1247–1248. [Google Scholar] [CrossRef] [PubMed]
- Carney, J.M.; Floyd, R.A. Protection against oxidative damage to CNS by α-phenyl-tert-butyl nitrone (PBN) and other spin-trapping agents: A novel series of nonlipid free radical scavengers. J. Mol. Neurosci. 1991, 3, 47–57. [Google Scholar] [CrossRef] [PubMed]
- Maples, K.R.; Green, A.R.; Floyd, R.A. Nitrone-related therapeutics: Potential of NXY-059 for the treatment of acute ischaemic stroke. CNS Drugs 2004, 18, 1071–1084. [Google Scholar] [CrossRef] [PubMed]
- Sun, Y.; Jiang, J.; Zhang, Z.; Yu, P.; Wang, L.; Xu, C.; Liu, W.; Wang, Y. Antioxidative and thrombolytic TMP nitrone for treatment of ischemic stroke. Bioorganic Med. Chem. 2008, 16, 8868–8874. [Google Scholar] [CrossRef]
- Zhang, G.; Zhang, T.; Wu, L.; Zhou, X.; Gu, J.; Li, C.; Liu, W.; Long, C.; Yang, X.; Shan, L.; et al. Neuroprotective Effect and Mechanism of Action of Tetramethylpyrazine Nitrone for Ischemic Stroke Therapy. NeuroMolecular Med. 2018, 20, 97–111. [Google Scholar] [CrossRef]
- Floyd, R.A.; Soong, L.M. Spin trapping in biological systems. Oxidation of the spin trap 5,5-dimethyl-1-pyrroline-1-oxide by a hydroperoxide-hematin system. Biochem. Biophys. Res. Commun. 1977, 74, 79–84. [Google Scholar] [CrossRef]
- Finkelstein, E.; Rosen, G.M.; Rauckman, E.J. Spin trapping. Kinetics of the reaction of superoxide and hydroxyl radicals with nitrones. J. Am. Chem. Soc. 1980, 102, 4994–4999. [Google Scholar] [CrossRef]
- Arroyo, C.M.; Kramer, J.H.; Dickens, B.F.; Weglicki, W.B. Identification of free radicals in myocardial ischemia/reperfusion by spin trapping with nitrone DMPO. FEBS Lett. 1987, 221, 101–104. [Google Scholar] [CrossRef] [Green Version]
- Ranguelova, K.; Mason, R.P. The fidelity of spin trapping with DMPO in biological systems. Magn. Reson. Chem. 2011, 49, 152–158. [Google Scholar] [CrossRef] [PubMed] [Green Version]
- Frejaville, C.; Karoui, H.; Tuccio, B.; Le Moigne, F.; Culcasi, M.; Pietri, S.; Lauricella, R.; Tordo, P. 5-(Diethoxyphosphoryl)-5-methyl-1-pyrroline N-oxide: A New Efficient Phosphorylated Nitrone for the in Vitro and in Vivo Spin Trapping of Oxygen-Centered Radicals. J. Med. Chem. 1995, 38, 258–265. [Google Scholar] [CrossRef] [PubMed]
- Kotake, Y. Pharmacologic Properties of Phenyl N-tert-Butylnitrone. Antioxid. Redox Signal. 1999, 1, 481–499. [Google Scholar] [CrossRef] [PubMed]
- Velasco, J.; Andersen, M.L.; Skibsted, L.H. Electron Spin Resonance Spin Trapping for Analysis of Lipid Oxidation in Oils: Inhibiting Effect of the Spin Trap α-Phenyl-N-tert-butylnitrone on Lipid Oxidation. J. Agric. Food Chem. 2005, 53, 1328–1336. [Google Scholar] [CrossRef]
- Pieper, G.M.; Nilakantan, V.; Zhou, X.; Khanna, A.K.; Johnson, C.P.; Roza, A.M.; Adams, M.B.; Hilton, G.; Felix, C.C.; Flood, P.; et al. Treatment with α-Phenyl-N-tert-butylnitrone, a Free Radical-Trapping Agent, Abrogates Inflammatory Cytokine Gene Expression during Alloimmune Activation in Rat Cardiac Allografts. J. Pharmacol. Exp. Ther. 2004, 312, 774–779. [Google Scholar] [CrossRef] [PubMed]
- Rosselin, M.; Poeggeler, B.; Durand, G. Nitrone Derivatives as Therapeutics: From Chemical Modification to Specific-targeting. Curr. Top. Med. Chem. 2017, 17, 2006–2022. [Google Scholar] [CrossRef] [PubMed]
- Deletraz, A.; Zéamari, K.; Di Meo, F.; Fabre, P.-L.; Reybier, K.; Trouillas, P.; Tuccio, B.; Durand, G. Reactivities of MeO-substituted PBN-type nitrones. New J. Chem. 2019, 43, 15754–15762. [Google Scholar] [CrossRef]
- Deletraz, A.; Tuccio, B.; Roussel, J.; Combes, M.; Cohen-Solal, C.; Fabre, P.-L.; Trouillas, P.; Vignes, M.; Callizot, N.; Durand, G. Para-Substituted α-Phenyl-N-tert-butyl Nitrones: Spin-Trapping, Redox and Neuroprotective Properties. ACS Omega 2020, 5, 30989–30999. [Google Scholar] [CrossRef] [PubMed]
- Deletraz, A.; Zéamari, K.; Hua, K.; Combes, M.; Villamena, F.A.; Tuccio, B.; Callizot, N.; Durand, G. Substituted α-Phenyl and α-Naphthlyl-N-tert-butyl Nitrones: Synthesis, Spin-Trapping, and Neuroprotection Evaluation. J. Org. Chem. 2020, 85, 6073–6085. [Google Scholar] [CrossRef] [PubMed]
- Chakraborty, K.B.; Scott, G.; Yaghmour, H. Mechanisms of antioxidant action: The antioxidant activity of nitrones in polypropylene. J. Appl. Polym. Sci. 1985, 30, 3267–3281. [Google Scholar] [CrossRef]
- Chioua, M.; Sucunza, D.; Soriano, E.; Hadjipavloulitina, D.; Alcázar, A.; Ayuso, I.; Oset-Gasque, M.J.; González, M.P.; Monjas, L.; Rodríguez-Franco, M.I.; et al. α-Aryl-N-alkyl Nitrones, as Potential Agents for Stroke Treatment: Synthesis, Theoretical Calculations, Antioxidant, Anti-inflammatory, Neuroprotective, and Brain–Blood Barrier Permeability Properties. J. Med. Chem. 2012, 55, 153–168. [Google Scholar] [CrossRef] [PubMed] [Green Version]
- Astolfi, P.; Carloni, P.; Marini, M.G.; Mobbili, G.; Pisani, M.; Stipa, P. Benzoxazinic nitrones and nitroxides as possible antioxidants in biological systems. RSC Adv. 2013, 3, 22023. [Google Scholar] [CrossRef]
- Sang, H.; Wallis, G.L.; Stewart, C.A.; Kotake, Y. Expression of Cytokines and Activation of Transcription Factors in Lipopolysaccharide-Administered Rats and Their Inhibition by PhenylN-tert-Butylnitrone (PBN). Arch. Biochem. Biophys. 1999, 363, 341–348. [Google Scholar] [CrossRef]
- Kotake, Y.; Sang, H.; Wallis, G.L.; Stewart, C.A. Phenyl N-tert-Butylnitrone Provides Protection from Endotoxin Shock through Amplified Production of the Anti-Inflammatory Cytokine Interleukin-10. Arch. Biochem. Biophys. 1999, 371, 129–131. [Google Scholar] [CrossRef] [PubMed]
- Kotake, Y.; Sang, H.; Tabatabaie, T.; Wallis, G.L.; Moore, D.R.; Stewart, C.A. Interleukin-10 Overexpression Mediates Phenyl-N-Tert-Butyl Nitrone Protection from Endotoxemia. Shock 2002, 17, 210–216. [Google Scholar] [CrossRef] [PubMed]
- Battistoni, P.; Bruni, P.; Fava, G. 3-phenyl-2H-1,4-benzoxazine-4-oxides-I: Synthesis and reduction. Tetrahedron 1979, 35, 1771–1775. [Google Scholar] [CrossRef]
- Astolfi, P.; Marini, M.; Stipa, P. Radical Trapping Properties of 3-Aryl-2H-benzo[1,4]oxazin-4-oxides. J. Org. Chem. 2007, 72, 8677–8682. [Google Scholar] [CrossRef] [PubMed]
- Stipa, P. OH radical trapping with benzoxazine nitrones: A combined computational and spectroscopic study. Tetrahedron 2013, 69, 4591–4596. [Google Scholar] [CrossRef]
- Rosselin, M.; Tuccio, B.; Perio, P.; Villamena, F.A.; Fabre, P.-L.; Durand, G. Electrochemical and Spin-Trapping Properties of para-substituted α-Phenyl-N-tert-butyl Nitrones. Electrochim. Acta 2016, 193, 231–239. [Google Scholar] [CrossRef]
- Sueishi, Y.; Yoshioka, C.; Olea-Azar, C.; Reinke, L.A.; Kotake, Y. Substituent Effect on the Rate of the Hydroxyl and Phenyl Radical Spin Trapping with Nitrones. Bull. Chem. Soc. Jpn. 2002, 75, 2043–2047. [Google Scholar] [CrossRef]
- Liu, H.; Ma, J.; Wu, H. Detoxifying effects of ultrafiltration fractions of Dendrobium aphyllum peptides on chemical and AAPH-induced oxidative stress. RSC Adv. 2017, 7, 48913–48924. [Google Scholar] [CrossRef] [Green Version]
- Minnelli, C.; Laudadio, E.; Galeazzi, R.; Rusciano, D.; Armeni, T.; Stipa, P.; Cantarini, M.; Mobbili, G. Synthesis, Characterization and Antioxidant Properties of a New Lipophilic Derivative of Edaravone. Antioxidants 2019, 8, 258. [Google Scholar] [CrossRef] [Green Version]
- Minnelli, C.; Galeazzi, R.; Laudadio, E.; Amici, A.; Rusciano, D.; Armeni, T.; Cantarini, M.; Stipa, P.; Mobbili, G. Monoalkylated Epigallocatechin-3-gallate (C18-EGCG) as Novel Lipophilic EGCG Derivative: Characterization and Antioxidant Evaluation. Antioxidants 2020, 9, 208. [Google Scholar] [CrossRef] [Green Version]
- Frisch, M.J.; Trucks, G.W.; Schlegel, H.B.; Scuseria, G.E.; Robb, M.A.; Cheeseman, J.R.; Scalmani, G.; Barone, V.; Mennucci, B.; Petersson, G.A.; et al. Gaussian09 Revision D.01; Gaussian 09 Revis. C.01; Gaussian Inc.: Wallingford, UK, 2010. [Google Scholar]
- Cineca Supercomputing Center (via Magnanelli 6/3, I-40033 Casalecchio di Reno, Bologna, Italy). Available online: http://www.cineca.it/HPSystems (accessed on 12 March 2021).
- Barone, V.; Cossi, M. Quantum Calculation of Molecular Energies and Energy Gradients in Solution by a Conductor Solvent Model. J. Phys. Chem. A 1998, 102, 1995–2001. [Google Scholar] [CrossRef]
- Cossi, M.; Rega, N.; Scalmani, G.; Barone, V. Energies, structures, and electronic properties of molecules in solution with the C-PCM solvation model. J. Comput. Chem. 2003, 24, 669–681. [Google Scholar] [CrossRef]
- Marcaccio, M.; Paolucci, F.; Paradisi, C.; Carano, M.; Roffia, S.; Fontanesi, C.; Yellowlees, L.J.; Serroni, S.; Campagna, S.; Balzani, V. Electrochemistry and spectroelectrochemistry of ruthenium(II)-bipyridine building blocks. Different behaviour of the 2,3- and 2,5-bis(2-pyridyl)pyrazine bridging ligands. J. Electroanal. Chem. 2002, 532, 99–112. [Google Scholar] [CrossRef]
- Amatore, C.; Lefrou, C. New concept for a potentiostat for on-line ohmic drop compensation in cyclic voltammetry above 300 kV s−1. J. Electroanal. Chem. 1992, 324, 33–58. [Google Scholar] [CrossRef]
- Mottier, D.L. Antigona Developed by Dr. Loïc Mottier; University of Bologna: Bologna, Italy, 1999. [Google Scholar]
- Borra, S.K.; Gurumurthy, P.; Mahendra, J. Antioxidant and free radical scavenging activity of curcumin determined by using different in vitro and ex vivo models. J. Med. Plant Res. 2013, 7, 2680–2690. [Google Scholar] [CrossRef]
- Lins, P.G.; Pugine, S.M.P.; Scatolini, A.M.; De Melo, M.P. In vitro antioxidant activity of olive leaf extract (Olea europaea L.) and its protective effect on oxidative damage in human erythrocytes. Heliyon 2018, 4, e00805. [Google Scholar] [CrossRef] [PubMed] [Green Version]
- Franco, R.; Navarro, G.; Martínez-Pinilla, E. Antioxidant Defense Mechanisms in Erythrocytes and in the Central Nervous System. Antioxidants 2019, 8, 46. [Google Scholar] [CrossRef] [Green Version]
- Podsiedlik, M.; Markowicz-Piasecka, M.; Sikora, J. Erythrocytes as model cells for biocompatibility assessment, cytotoxicity screening of xenobiotics and drug delivery. Chem. Biol. Interact. 2020, 332, 109305. [Google Scholar] [CrossRef] [PubMed]
- Fischer, D.; Li, Y.; Ahlemeyer, B.; Krieglstein, J.; Kissel, T. In vitro cytotoxicity testing of polycations: Influence of polymer structure on cell viability and hemolysis. Biomaterials 2003, 24, 1121–1131. [Google Scholar] [CrossRef]
- Krzystek, J.; Sienkiewicz, A.; Pardi, L.; Brunel, L. DPPH as a Standard for High-Field EPR. J. Magn. Reson. 1997, 125, 207–211. [Google Scholar] [CrossRef]
- Damiani, E.; Astolfi, P.; Carloni, P.; Stipa, P.; Greci, L. Antioxidants: How They Work. In Oxidants in Biology: A Question of Balance; Springer Science and Business Media LLC: Berlin/Heidelberg, Germany, 2008; pp. 251–266. ISBN 9781402083983. [Google Scholar]
- Wright, J.S.; Johnson, A.E.R.; DiLabio, G.A. Predicting the Activity of Phenolic Antioxidants: Theoretical Method, Analysis of Substituent Effects, and Application to Major Families of Antioxidants. J. Am. Chem. Soc. 2001, 123, 1173–1183. [Google Scholar] [CrossRef]
- Chen, J.; Yang, J.; Ma, L.; Li, J.; Shahzad, N.; Kim, C.K. Structure-antioxidant activity relationship of methoxy, phenolic hydroxyl, and carboxylic acid groups of phenolic acids. Sci. Rep. 2020, 10, 1–9. [Google Scholar] [CrossRef]
- Solon, E.; Bard, A.J. The Electrochemistry of Diphenylpicrylhydrazyl. J. Am. Chem. Soc. 1964, 86, 1926–1928. [Google Scholar] [CrossRef]
- Funt, B.L.; Gray, D.G. Cyclic voltammetry of diphenylpicrylhydrazyl in tetrahydrofuran. Can. J. Chem. 1968, 46, 1337–1340. [Google Scholar] [CrossRef] [Green Version]
- Deutchoua, A.D.D.; Siegnin, R.; Kouteu, G.K.; Dedzo, G.K.; Ngameni, E. Electrochemistry of 2,2-Diphenyl-1-picrylhydrazyl (DPPH) in Acetonitrile in Presence of Ascorbic Acid - Application for Antioxidant Properties Evaluation. ChemistrySelect 2019, 4, 13746–13753. [Google Scholar] [CrossRef]
- Foti, M.C. Use and Abuse of the DPPH•Radical. J. Agric. Food Chem. 2015, 63, 8765–8776. [Google Scholar] [CrossRef] [PubMed]
- Nakanishi, I.; Kawashima, T.; Ohkubo, K.; Waki, T.; Uto, Y.; Kamada, T.; Ozawa, T.; Matsumoto, K.-I.; Fukuzumi, S. Disproportionation of a 2,2-diphenyl-1-picrylhydrazyl radical as a model of reactive oxygen species catalysed by Lewis and/or Brønsted acids. Chem. Commun. 2014, 50, 814–816. [Google Scholar] [CrossRef] [PubMed]
- Papariello, G.J.; Janish, M.A.M. Diphenylpicrylhydrazyl as an Organic Analytical Reagent in the Spectrophotometric Analysis of Phenols. Anal. Chem. 1966, 38, 211–214. [Google Scholar] [CrossRef]
- Goupy, P.; Dufour, C.; Loonis, M.; Dangles, O. Quantitative Kinetic Analysis of Hydrogen Transfer Reactions from Dietary Polyphenols to the DPPH Radical. J. Agric. Food Chem. 2003, 51, 615–622. [Google Scholar] [CrossRef] [PubMed]
- Xie, J.; Schaich, K.M. Re-evaluation of the 2,2-Diphenyl-1-picrylhydrazyl Free Radical (DPPH) Assay for Antioxidant Activity. J. Agric. Food Chem. 2014, 62, 4251–4260. [Google Scholar] [CrossRef] [PubMed]
- Ganapathi, M.R.; Hermann, R.; Naumov, S.; Brede, O. Free electron transfer from several phenols to radical cations of non-polar solvents. Phys. Chem. Chem. Phys. 2000, 2, 4947–4955. [Google Scholar] [CrossRef]








| Compound | IP | EA | BDE1 | SET | HAT | |||||
|---|---|---|---|---|---|---|---|---|---|---|
| Gas Phase | MeCN | Gas Phase | MeCN | Gas Phase | MeCN | Gas Phase | MeCN | Gas Phase | ||
| Nitrone 1 | ΔE | 174.91 | 134.29 | −23.82 | −64.44 | 66.04 | 73.12 | 99.59 | 22.47 | −12.13 |
| ΔH | 174.91 | 134.29 | −23.82 | −64.44 | 66.64 | 73.71 | 99.59 | 22.47 | −12.13 | |
| ΔG | 174.19 | 134.29 | −24.52 | −64.94 | 57.96 | 65.12 | 98.67 | 22.57 | −12.90 | |
| Nitrone 2 | ΔE | 176.22 | 135.48 | −27.27 | −66.18 | 66.41 | 73.67 | 100.90 | 23.66 | −11.76 |
| ΔH | 176.22 | 135.48 | −27.27 | −66.18 | 67.00 | 74.26 | 100.90 | 23.66 | −11.76 | |
| ΔG | 175.59 | 134.67 | −28.19 | −67.36 | 58.21 | 65.64 | 100.07 | 24.05 | −12.65 | |
| Nitrone 3 | ΔE | 176.95 | 135.84 | −32.46 | −69.65 | 65.53 | 73.00 | 101.63 | 24.03 | −12.64 |
| ΔH | 176.95 | 135.84 | −32.46 | −69.65 | 66.12 | 73.59 | 101.63 | 24.03 | −12.64 | |
| ΔG | 176.41 | 135.15 | −32.95 | −69.83 | 57.59 | 65.26 | 100.88 | 24.52 | −13.27 | |
| DPPH | ΔE | 163.50 | 121.78 | −75.32 | −111.81 | −78.17 2 | n.d.3 | - | - | - |
| ΔH | 163.50 | 121.78 | −75.32 | −111.81 | −78.76 2 | n.d. 3 | - | - | - | |
| ΔG | 164.04 | 123.92 | −75.53 | −110.62 | −70.87 2 | n.d. 3 | - | - | - | |
| Species | (Ox.)-E/V | (Red.)-E/V | ||
|---|---|---|---|---|
| (1) | (2) | (1) | (2) | |
| Nitrone 1 | +1.56 bc | -- | −1.84 bc | -- |
| Nitrone 2 | +1.72 bc | +2.03 bc | −1.59 bc | -- |
| Nitrone 3 | +1.68 bc | +2.00 bc | −1.52 bc | -- |
| DPPHa | +0.76 d | -- | +0.23 d | −1.30 bd |
Publisher’s Note: MDPI stays neutral with regard to jurisdictional claims in published maps and institutional affiliations. |
© 2021 by the authors. Licensee MDPI, Basel, Switzerland. This article is an open access article distributed under the terms and conditions of the Creative Commons Attribution (CC BY) license (https://creativecommons.org/licenses/by/4.0/).
Share and Cite
Marano, S.; Minnelli, C.; Ripani, L.; Marcaccio, M.; Laudadio, E.; Mobbili, G.; Amici, A.; Armeni, T.; Stipa, P. Insights into the Antioxidant Mechanism of Newly Synthesized Benzoxazinic Nitrones: In Vitro and In Silico Studies with DPPH Model Radical. Antioxidants 2021, 10, 1224. https://doi.org/10.3390/antiox10081224
Marano S, Minnelli C, Ripani L, Marcaccio M, Laudadio E, Mobbili G, Amici A, Armeni T, Stipa P. Insights into the Antioxidant Mechanism of Newly Synthesized Benzoxazinic Nitrones: In Vitro and In Silico Studies with DPPH Model Radical. Antioxidants. 2021; 10(8):1224. https://doi.org/10.3390/antiox10081224
Chicago/Turabian StyleMarano, Stefania, Cristina Minnelli, Lorenzo Ripani, Massimo Marcaccio, Emiliano Laudadio, Giovanna Mobbili, Adolfo Amici, Tatiana Armeni, and Pierluigi Stipa. 2021. "Insights into the Antioxidant Mechanism of Newly Synthesized Benzoxazinic Nitrones: In Vitro and In Silico Studies with DPPH Model Radical" Antioxidants 10, no. 8: 1224. https://doi.org/10.3390/antiox10081224
APA StyleMarano, S., Minnelli, C., Ripani, L., Marcaccio, M., Laudadio, E., Mobbili, G., Amici, A., Armeni, T., & Stipa, P. (2021). Insights into the Antioxidant Mechanism of Newly Synthesized Benzoxazinic Nitrones: In Vitro and In Silico Studies with DPPH Model Radical. Antioxidants, 10(8), 1224. https://doi.org/10.3390/antiox10081224

