Influence of Blending of Nonionic Emulsifiers Having Various Hydrophilic Head Sizes on Lipid Oxidation: Investigation of Antioxidant Polarity—Interfacial Characteristics Relationship
Abstract
1. Introduction
2. Materials and Methods
2.1. Materials
2.2. Emulsion Preparation
2.3. Droplet Size and Surface Charge Determination
2.4. Lipid Oxidation Measurement
2.5. Statistical Analysis
3. Results and Discussion
3.1. Lipid Oxidation of Brij Surfactant-Stabilized Emulsions
3.2. Oxidative Stability of Emulsions Stabilized with Brij Surfactant Mixture
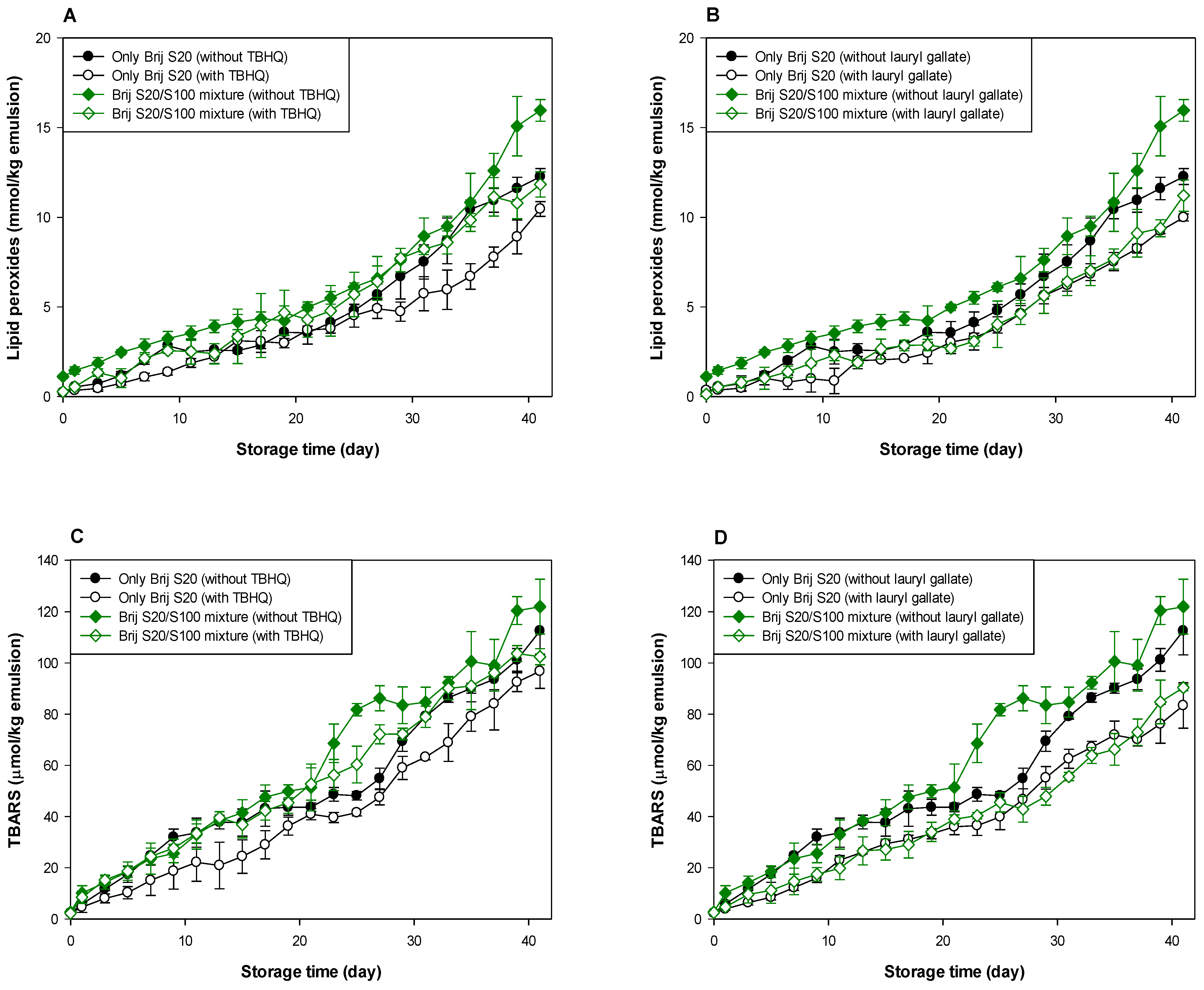
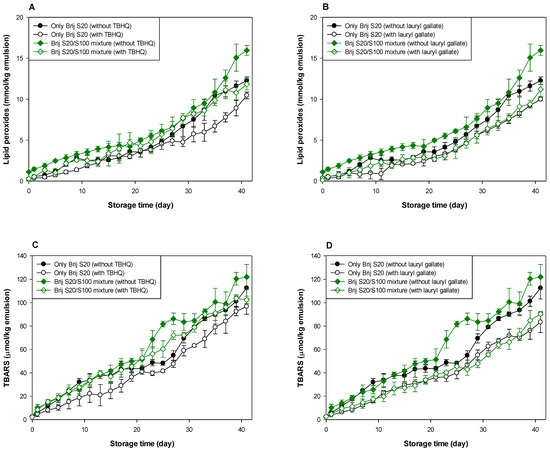
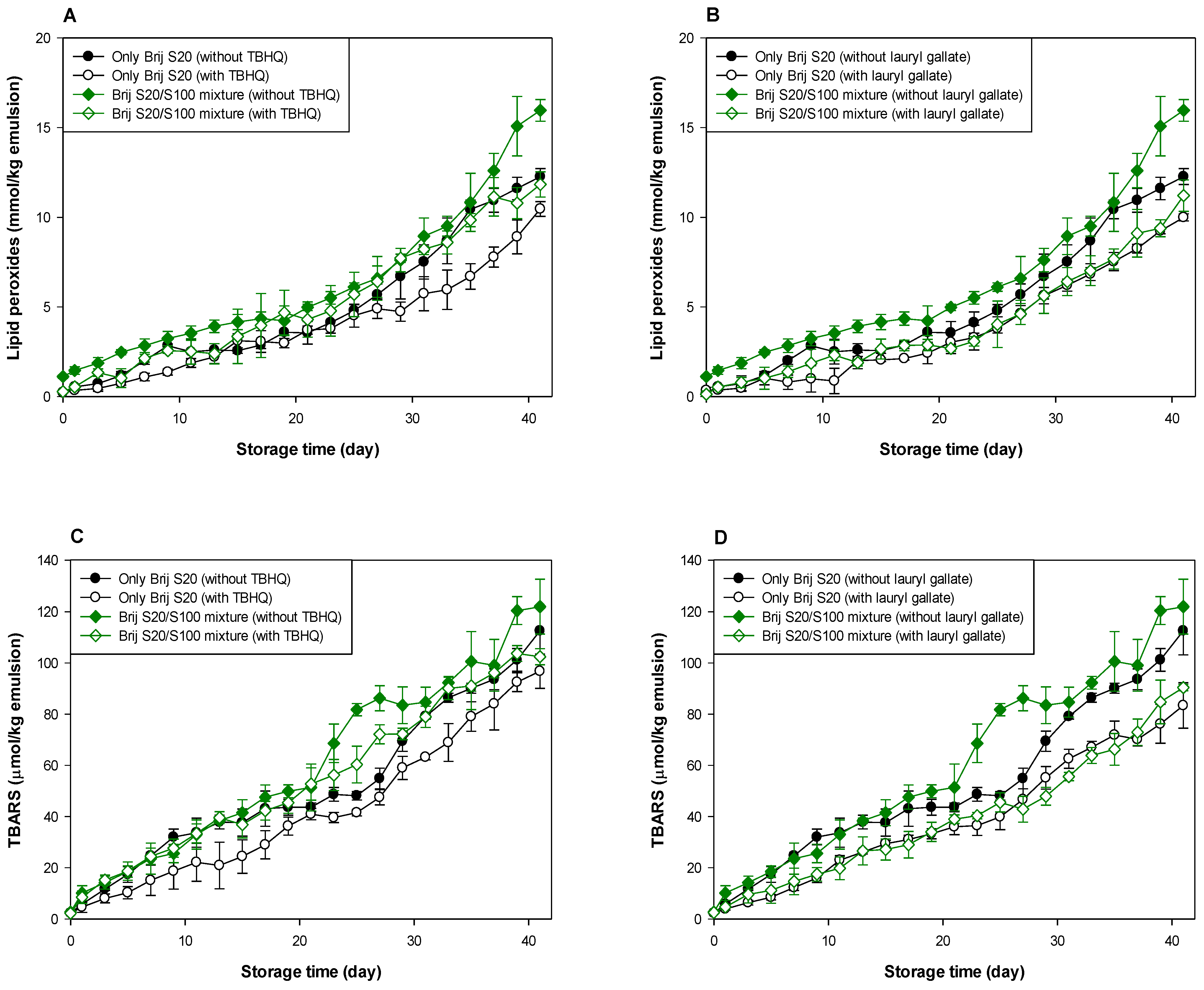
3.3. Effects of Antioxidant Polarity on Oxidative Stability of Emulsions Stabilized with Brij Surfactant Mixture
4. Conclusions
Supplementary Materials
Author Contributions
Funding
Institutional Review Board Statement
Informed Consent Statement
Data Availability Statement
Conflicts of Interest
References
- McClements, D.J. Emulsion Ingredients. In Food Emulsions: Principles, Practices, and Techniques, 3rd ed.; CRC Press: Boca Raton, FL, USA, 2016; pp. 99–183. [Google Scholar]
- McClements, D.J. Interfacial Properties and Their Characterization. In Food Emulsions: Principles, Practices, and Techniques, 3rd ed.; McClements, D.J., Ed.; CRC Press: Boca Raton, FL, USA, 2016; pp. 185–243. [Google Scholar]
- McClements, D.J.; Gumus, C.E. Natural emulsifiers—Biosurfactants, phospholipids, biopolymers, and colloidal particles: Molecular and physicochemical basis of functional performance. Adv. Colloid Interface Sci. 2016, 234, 3–26. [Google Scholar] [CrossRef]
- Kim, H.J.; Min, D.B. Chemistry of Lipid Oxidation. In Food Lipids: Chemistry, Nutrition, and Biotechnology, 3rd ed.; Akoh, C.C., Min, D.B., Eds.; CRC Press: Boca Raton, FL, USA, 2008; pp. 299–320. [Google Scholar]
- Frankel, E.N.; Huang, S.-W.; Kanner, J.; German, J.B. Interfacial phenomena in the evaluation of antioxidants: Bulk oils vs emulsions. J. Agric. Food Chem. 1994, 42, 1054–1059. [Google Scholar] [CrossRef]
- McClements, D.J.; Decker, E.A. Lipid oxidation in oil-in-water emulsions: Impact of molecular environment on chemical reactions in heterogeneous food systems. J. Food Sci. 2000, 65, 1270–1282. [Google Scholar] [CrossRef]
- Waraho, T.; McClements, D.J.; Decker, E.A. Mechanisms of lipid oxidation in food dispersions. Trends Food Sci. Technol. 2011, 22, 3–13. [Google Scholar] [CrossRef]
- Berton, C.; Ropers, M.-H.; Bertrand, D.; Viau, M.; Genot, C. Oxidative stability of oil-in-water emulsions stabilised with protein or surfactant emulsifiers in various oxidation conditions. Food Chem. 2012, 131, 1360–1369. [Google Scholar] [CrossRef]
- Berton, C.; Ropers, M.-H.; Viau, M.; Genot, C. Contribution of the interfacial layer to the protection of emulsified lipids against oxidation. J. Agric. Food Chem. 2011, 59, 5052–5061. [Google Scholar] [CrossRef] [PubMed]
- Haahr, A.-M.; Jacobsen, C. Emulsifier type, metal chelation and pH affect oxidative stability of n-3-enriched emulsions. Eur. J. Lipid Sci. Technol. 2008, 110, 949–961. [Google Scholar] [CrossRef]
- Berton-Carabin, C.C.; Ropers, M.-H.; Genot, C. Lipid oxidation in oil-in-water emulsions: Involvement of the interfacial layer. Compr. Rev. Food. Sci. Food Saf. 2014, 13, 945–977. [Google Scholar] [CrossRef]
- Uluata, S.; McClements, D.J.; Decker, E.A. Riboflavin-induced oxidation in fish oil-in-water emulsions: Impact of particle size and optical transparency. Food Chem. 2016, 213, 457–461. [Google Scholar] [CrossRef]
- Gohtani, S.; Sirendi, M.; Yamamoto, N.; Kajikawa, K.; Yamano, Y. Effect of droplet size on oxidation of docosahexaenoic acid in emulsion system. J. Dispers. Sci. Technol. 1999, 20, 1319–1325. [Google Scholar] [CrossRef]
- Mei, L.; McClements, D.J.; Wu, J.; Decker, E.A. Iron-catalyzed lipid oxidation in emulsion as affected by surfactant, pH and NaCl. Food Chem. 1998, 61, 307–312. [Google Scholar] [CrossRef]
- Donnelly, J.L.; Decker, E.A.; McClements, D.J. Iron-catalyzed oxidation of Menhaden oil as affected by emulsifiers. J. Food Sci. 1998, 63, 997–1000. [Google Scholar] [CrossRef]
- Chen, B.; McClements, D.J.; Decker, E.A. Role of continuous phase anionic polysaccharides on the oxidative stability of Menhaden oil-in-water emulsions. J. Agric. Food Chem. 2010, 58, 3779–3784. [Google Scholar] [CrossRef]
- Choi, S.J.; McClements, D.J. Nanoemulsions as delivery systems for lipophilic nutraceuticals: Strategies for improving their formulation, stability, functionality and bioavailability. Food Sci. Biotechnol. 2020, 29, 149–168. [Google Scholar] [CrossRef] [PubMed]
- Lim, S.H.; Kim, H.R.; Choi, S.J.; Moon, T.W. Lipid oxidation of sodium caseinate-stabilized emulsion-gels prepared by microbial transglutaminase. Food Sci. Biotechnol. 2015, 24, 2023–2026. [Google Scholar] [CrossRef]
- Kellerby, S.S.; Gu, Y.S.; McClements, D.J.; Decker, E.A. Lipid oxidation in a menhaden oil-in-water emulsion stabilized by sodium caseinate cross-linked with transglutaminase. J. Agric. Food Chem. 2006, 54, 10222–10227. [Google Scholar] [CrossRef]
- Waraho, T.; Cardenia, V.; Rodriguez-Estrada, M.T.; McClements, D.J.; Decker, E.A. Prooxidant mechanisms of free fatty acids in stripped soybean oil-in-water emulsions. J. Agric. Food Chem. 2009, 57, 7112–7117. [Google Scholar] [CrossRef]
- Richards, M.P.; Chaiyasit, W.; McClements, D.J.; Decker, E.A. Ability of surfactant micelles to alter the partitioning of phenolic antioxidants in oil-in-water emulsions. J. Agric. Food Chem. 2002, 50, 1254–1259. [Google Scholar] [CrossRef]
- Nuchi, C.D.; Hernandez, D.; McClements, D.J.; Decker, E.A. Ability of lipid hydroperoxides to partition into surfactant micelles and alter lipid oxidation rates in emulsions. J. Agric. Food Chem. 2002, 51, 5445–5449. [Google Scholar] [CrossRef]
- Cho, Y.-J.; McClements, D.J.; Decker, E.A. Ability of surfactant micelles to alter the physical location and reactivity of iron in oil-in-water emulsions. J. Agric. Food Chem. 2002, 50, 5704–5710. [Google Scholar] [CrossRef] [PubMed]
- Banjari, I.; Hjartaker, A. Dietary sources of iron and vitamin B12: Is this the missing link in colorectal carcinogenesis? Med. Hypotheses 2018, 116, 105–110. [Google Scholar] [CrossRef] [PubMed]
- Man, Y.; Xu, T.; Adhikari, B.; Zhou, C.; Wang, Y.; Wang, B. Iron supplementation and iron-fortified foods: A review. Crit. Rev. Food Sci. Nutr. 2021, in press. [Google Scholar] [CrossRef] [PubMed]
- Shantha, N.C.; Decker, E.A. Rapid, sensitive, iron-based spectrophotometric methods for determination of peroxide values of food lipids. J. AOAC Int. 1994, 77, 421–424. [Google Scholar] [CrossRef]
- McDonald, R.E.; Hultin, H.O. Some characteristics of the enzymic lipid peroxidation system in the microsomal fraction of flounder skeletal muscle. J. Food Sci. 1987, 52, 15–21. [Google Scholar] [CrossRef]
- McClements, D.J. Ultrasonic determination of depletion flocculation in oil-in-water emulsions containing a non-ionic surfactant. Colloid Surf. A Physicochem. Eng. Asp. 1994, 90, 25–35. [Google Scholar] [CrossRef]
- Wulff-Pérez, M.; Torcello-Gómez, A.; Gálvez-Ruíz, M.J.; Martín-Rodríguez, A. Stability of emulsions for parenteral feeding: Preparation and characterization of o/w nanoemulsions with natural oils and Pluronic f68 as surfactant. Food Hydrocoll. 2009, 23, 1096–1102. [Google Scholar] [CrossRef]
- Han, S.W.; Song, H.Y.; Moon, T.W.; Choi, S.J. Influence of emulsion interfacial membrane characteristics on Ostwald ripening in a model emulsion. Food Chem. 2018, 242, 91–97. [Google Scholar] [CrossRef]
- Silvestre, M.P.C.; Chaiyasit, W.; Brannan, R.G.; McClements, D.J.; Decker, E.A. Ability of surfactant headgroup size to alter lipid and antioxidant oxidation in oil-in-water emulsions. J. Agric. Food Chem. 2000, 48, 2057–2061. [Google Scholar] [CrossRef]
- Branco, G.F.; Rodriguez, M.I.; Gioielli, L.A.; Castro, I.A. Effect of the simultaneous interaction among ascorbic acid, iron and pH on the oxidative stability of oil-in-water emulsions. J. Agric. Food Chem. 2011, 59, 12183–12192. [Google Scholar] [CrossRef]
- Sørensen, A.-D.M.; Haahr, A.-M.; Becker, E.M.; Skibsted, L.H.; Bergenståhl, B.; Nilsson, L.; Jacobsen, C. Interactions between iron, phenolic compounds, emulsifiers, and pH in omega-3-enriched oil-in-water emuslions. J. Agric. Food Chem. 2008, 56, 1740–1750. [Google Scholar] [CrossRef]
- Rudan-Tasic, D.; Klofutar, C. Dipole moments of mono-,di-, tri- and tetra(oxyethylene) glycol in 1,4-dioxane and benzene solutions at 298.15 K. J. Mol. Liq. 2004, 111, 125–131. [Google Scholar] [CrossRef]
- Ponginebbi, L.; Nawar, W.W.; Chinachoti, P. Oxidation of linoleic acid in emulsions: Effect of substrate, emulsifier, and sugar concentration. J. Am. Oil Chem. Soc. 1999, 76, 131–138. [Google Scholar] [CrossRef]
- Osborn, H.T.; Akoh, C.C. Effect of emulsifier type, droplet size, and oil concentration on lipid oxidation in structured lipid-based oil-in-water emulsions. Food Chem. 2004, 84, 451–456. [Google Scholar] [CrossRef]
- Hu, M.; McClements, D.J.; Decker, E.A. Lipid oxidation in corn oil-in-water emulsions stabilized by casein, whey protein isolate, and soy protein isolate. J. Agric. Food Chem. 2003, 51, 1696–1700. [Google Scholar] [CrossRef] [PubMed]
- Costa, M.; Freiría-Gándara, J.; Losada-Barreiro, S.; Paiva-Martins, F.; Bravo-Díaz, C. Effects of droplet size on the interfacial concentrations of antioxidants in fish and olive oil-in-water emulsions and nanoemulsions and on their oxidative stability. J. Colloid Int. Sci. 2020, 562, 352–362. [Google Scholar] [CrossRef] [PubMed]
- Lee, C.K.; Yi, B.R.; Kim, S.H.; Choi, H.S.; Kim, M.-J.; Lee, J. Volatile profiles and involvement step of moisture in bulk oils during oxidation by acition of deuterium oxide (D2O). Food Sci. Biotechnol. 2018, 27, 1327–1332. [Google Scholar] [CrossRef] [PubMed]
- Minotti, G.; Aust, S.D. The role of iron in the initiation of lipid peroxidation. Chem. Phys. Lipids 1987, 44, 191–208. [Google Scholar] [CrossRef]
- Walstra, P. Physical Chemistry of Foods; Marcel Dekker: New York, NY, USA, 2003. [Google Scholar]
- Safran, S.A. Curvature elasticity of thin films. Adv. Phys. 1999, 48, 395–448. [Google Scholar] [CrossRef]
- Kim, J.; Choi, S.J. Improving the stability of lycopene from chemical degradation in model beverage emulsions: Impact of hydrophilic group size of emulsifier and antioxidant polarity. Foods 2020, 9, 971. [Google Scholar] [CrossRef]






| Surfactant Concentration: 2.93 mM | ||||||
|---|---|---|---|---|---|---|
| Surfactant Used | ||||||
| Antioxidant | Only Brij S20 | Brij S20/S100 Mixture | ||||
| k | S.E. | r2 | k | S.E. | r2 | |
| - | a0.2812 | 0.0188 | 0.9181 | a 0.3121 | 0.0249 | 0.8871 |
| TBHQ | b0.2153 * (76.6%) | 0.0119 | 0.9427 | a 0.2761 * (88.5%) | 0.0119 | 0.9640 |
| Lauryl gallate | b0.2307 (82.0%) | 0.0142 | 0.9295 | b 0.2337 (74.9%) | 0.0166 | 0.9082 |
| Surfactant Concentration: 1.00 mM | ||||||
| Surfactant Used | ||||||
| Antioxidant | Only Brij S100 | Brij S100/S20 Mixture | ||||
| k | S.E. | r2 | k | S.E. | r2 | |
| - | a0.1563 * | 0.0103 | 0.9205 | a 0.2730 * | 0.0124 | 0.9605 |
| TBHQ | b0.1088 * (69.6%) | 0.0107 | 0.8385 | ab 0.2429 * (89.0%) | 0.0170 | 0.9105 |
| Lauryl gallate | a0.1396 * (89.3%) | 0.0042 | 0.9826 | b 0.2080 * (76.2%) | 0.0120 | 0.9381 |
| Surfactant Concentration: 2.93 mM | ||||||
|---|---|---|---|---|---|---|
| Surfactant Used | ||||||
| Antioxidant | Only Brij S20 | Brij S20/S100 Mixture | ||||
| k | S.E. | r2 | k | S.E. | r2 | |
| - | a2.3970 * | 0.1139 | 0.9568 | a2.8030 * | 0.0863 | 0.9814 |
| TBHQ | a2.2180 (92.5%) | 0.0993 | 0.9614 | b2.4230 (86.4%) | 0.0568 | 0.9891 |
| Lauryl gallate | b1.9430 (81.1%) | 0.0616 | 0.9803 | c1.9400 (69.2%) | 0.0824 | 0.9652 |
| Surfactant Concentration: 1.00 mm | ||||||
| Surfactant Used | ||||||
| Antioxidant | Only Brij s100 | Brij s100/s20 Mixture | ||||
| K | S.e. | r2 | K | S.e. | r2 | |
| - | a0.8981 * | 0.0467 | 0.9487 | a3.2180 * | 0.0636 | 0.9923 |
| TBHQ | a0.9338 * (104.0%) | 0.0358 | 0.9715 | b1.9260 * (59.9%) | 0.0637 | 0.9786 |
| Lauryl gallate | b0.7316 * (81.5%) | 0.0429 | 0.9355 | c1.6780 * (52.1%) | 0.0488 | 0.9834 |
Publisher’s Note: MDPI stays neutral with regard to jurisdictional claims in published maps and institutional affiliations. |
© 2021 by the authors. Licensee MDPI, Basel, Switzerland. This article is an open access article distributed under the terms and conditions of the Creative Commons Attribution (CC BY) license (https://creativecommons.org/licenses/by/4.0/).
Share and Cite
Lee, J.; Choi, S.-J. Influence of Blending of Nonionic Emulsifiers Having Various Hydrophilic Head Sizes on Lipid Oxidation: Investigation of Antioxidant Polarity—Interfacial Characteristics Relationship. Antioxidants 2021, 10, 886. https://doi.org/10.3390/antiox10060886
Lee J, Choi S-J. Influence of Blending of Nonionic Emulsifiers Having Various Hydrophilic Head Sizes on Lipid Oxidation: Investigation of Antioxidant Polarity—Interfacial Characteristics Relationship. Antioxidants. 2021; 10(6):886. https://doi.org/10.3390/antiox10060886
Chicago/Turabian StyleLee, Jiyun, and Seung-Jun Choi. 2021. "Influence of Blending of Nonionic Emulsifiers Having Various Hydrophilic Head Sizes on Lipid Oxidation: Investigation of Antioxidant Polarity—Interfacial Characteristics Relationship" Antioxidants 10, no. 6: 886. https://doi.org/10.3390/antiox10060886
APA StyleLee, J., & Choi, S.-J. (2021). Influence of Blending of Nonionic Emulsifiers Having Various Hydrophilic Head Sizes on Lipid Oxidation: Investigation of Antioxidant Polarity—Interfacial Characteristics Relationship. Antioxidants, 10(6), 886. https://doi.org/10.3390/antiox10060886

