New Amides and Phosphoramidates Containing Selenium: Studies on Their Cytotoxicity and Antioxidant Activities in Breast Cancer
Abstract
1. Introduction
2. Materials and Methods
2.1. Chemistry
2.2. Biological Evaluation
2.2.1. Cell Cultures
2.2.2. Cytotoxic and Antiproliferative Activities
2.2.3. Evaluation of Cell Cycle Progression and Cell Death
2.2.4. Protein Analysis
2.2.5. Antioxidant Activity
DPPH Radical Scavenging Assay
ABTS Radical Scavenging Assay
2.2.6. Statistical Analysis
3. Results
3.1. Chemistry
3.2. Biology
3.2.1. Cytotoxicity and Antiproliferative Activities
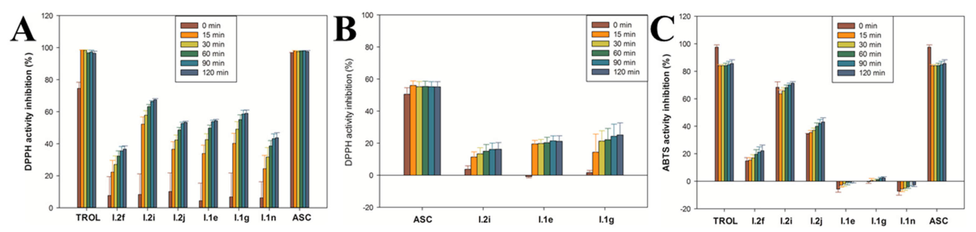
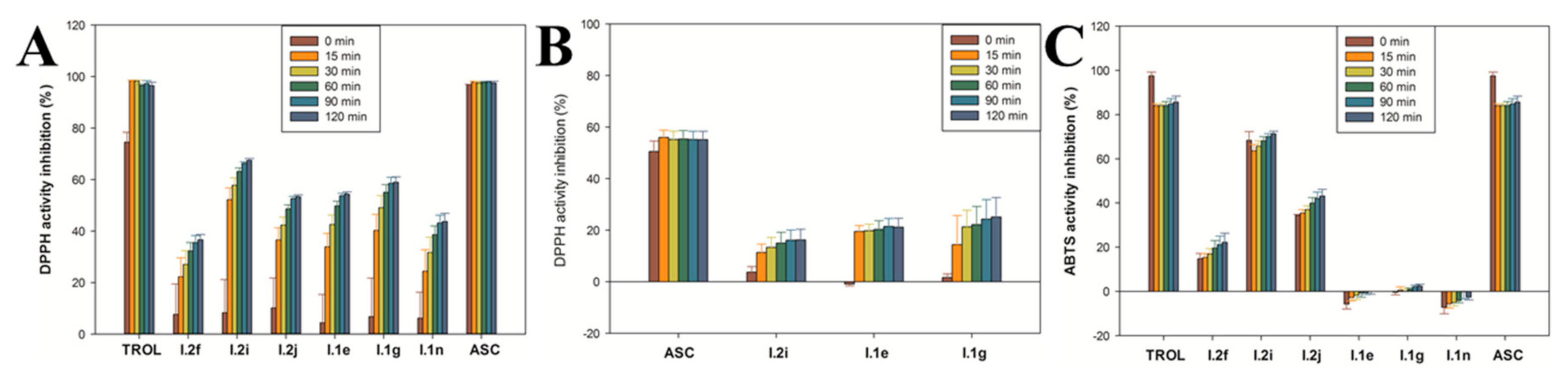
3.2.2. Radical Scavenging Activity
3.2.3. Apoptosis and Cell Cycle Arrest
3.2.4. Compounds I.1f and I.2f Induce Autophagy-Mediated Cell Death and Compound II.2d Caspase-Mediated Cell Death
4. Conclusions
Author Contributions
Funding
Institutional Review Board Statement
Informed Consent Statement
Data Availability Statement
Acknowledgments
Conflicts of Interest
References
- Siegel, R.L.; Miller, K.D.; Jemal, A. Cancer statistics, 2019. CA Cancer J. Clin. 2019, 69, 7–34. [Google Scholar] [CrossRef] [PubMed]
- Siegel, R.L.; Miller, K.D.; Jemal, A. Cancer statistics, 2018. CA Cancer J. Clin. 2018, 68, 7–30. [Google Scholar] [CrossRef] [PubMed]
- Miao, Q.; Xu, J.; Lin, A.; Wu, X.; Wu, L.; Xie, W. Recent advances for the synthesis of selenium-containing small molecules as potent antitumor agents. Curr. Med. Chem. 2018, 25, 2009–2033. [Google Scholar] [CrossRef] [PubMed]
- Bartolini, D.; Sancineto, L.; Fabro de Bem, A.; Tew, K.D.; Santi, C.; Radi, R.; Toquato, P.; Galli, F. Selenocompounds in cancer therapy: An overview. Adv. Cancer Res. 2017, 136, 259–302. [Google Scholar]
- Gandin, V.; Khalkar, P.; Braude, J.; Fernandes, A.P. Organic selenium compounds as potential chemotherapeutic agents for improved cancer treatment. Free Radic. Biol. Med. 2018, 127, 80–97. [Google Scholar] [CrossRef]
- Singletary, K.; Milner, J. Diet, autophagy, and cancer: A review. Cancer Epidemiol. Biomark. Prev. 2008, 17, 1596–1610. [Google Scholar] [CrossRef]
- Bi, C.; Zhang, N.; Yang, P.; Ye, C.; Wang, Y.; Fan, T.; Shao, R.; Deng, H.; Song, D. Synthesis, biological evaluation, and autophagy mechanism of 12n-substituted sophoridinamines as novel anticancer agents. ACS Med. Chem. Lett. 2017, 8, 245–250. [Google Scholar] [CrossRef]
- Huan, L.C.; Tran, P.T.; Phuong, C.V.; Duc, P.H.; Anh, D.T.; Hai, P.T.; Huong, L.T.T.; Thuan, N.T.; Lee, H.J.; Park, E.J.; et al. Novel 3,4-dihydro-4-oxoquinazoline-based acetohydrazides: Design, synthesis and evaluation of antitumor cytotoxicity and caspase activation activity. Bioorganic Chem. 2019, 92, 103202. [Google Scholar] [CrossRef]
- He, X.; Zhang, J.; Li, C.; Zhang, Y.; Lu, Y.; Zhang, Y.; Liu, L.; Ruan, C.; Chen, Q.; Chen, X.; et al. Enhanced bioreduction-responsive diselenide-based dimeric prodrug nanoparticles for triple negative breast cancer therapy. Theranostics 2018, 8, 4884–4897. [Google Scholar] [CrossRef]
- Collery, P.; Veena, V.; Harikrishnan, A.; Desmaele, D. The rhenium(i)-diselenoether anticancer drug targets ROS, TGF-β1, VEGF-A, and IGF-1 in an in vitro experimental model of triple-negative breast cancers. Investig. New Drugs 2019, 37, 973–983. [Google Scholar] [CrossRef]
- Csonka, A.; Kincses, A.; Nove, M.; Vadas, Z.; Sanmartin, C.; Dominguez-Alvarez, E.; Spengler, G. Selenoesters and selenoanhydrides as novel agents against resistant breast cancer. Anticancer Res. 2019, 39, 3777–3783. [Google Scholar] [CrossRef]
- Qiu, C.; Zhang, T.; Zhu, X.; Qiu, J.; Jiang, K.; Zhao, G.; Wu, H.; Deng, G. Methylseleninic acid suppresses breast cancer growth via the JAK2/STAT3 pathway. Reprod. Sci. 2019, 26, 829–838. [Google Scholar] [CrossRef]
- Griñan-Lison, C.; Blaya-Cánovas, J.L.; López-Tejada, A.; Ávalos-Moreno, M.; Navarro-Ocón, A.; Cara, F.E.; González-González, A.; Lorente, J.A.; Marchal, J.A.; Granados-Principal, S. Antioxidants for the treatment of breast cancer: Are we there yet? Antioxidants 2021, 10, 205. [Google Scholar] [CrossRef]
- Kwon, Y. Possible beneficial effects of n-acetylcysteine for treatment of triple-negative breast cancer. Antioxidants 2021, 10, 169. [Google Scholar] [CrossRef]
- Farhat, Z.; Hershberger, P.A.; Freudenheim, J.L.; Mammen, M.J.; Hageman Blair, R.; Aga, D.S.; Mu, L. Types of garlic and their anticancer and antioxidant activity: A review of the epidemiologic and experimental evidence. Eur. J. Nutr. 2021. [Google Scholar] [CrossRef]
- Ye, X.S.; Tian, W.J.; Zhou, M.; Zeng, D.Q.; Lin, T.; Wang, G.H.; Yao, X.S.; Chen, H.F. Prenylated flavonoids from Ficus hirta induces HeLa cells apoptosis via MAPK and AKT signaling pathways. Bioorganic Med. Chem. Lett. 2021, 38, 127859. [Google Scholar] [CrossRef]
- Guo, D.; Hendryx, M.; Liang, X.; Manson, J.E.; He, K.; Vitolins, M.Z.; Li, Y.; Luo, J. Association between selenium intake and breast cancer risk: Results from the women’s health initiative. Breast Cancer Res. Treat. 2020, 183, 217–226. [Google Scholar] [CrossRef]
- Khandelwal, S.; Boylan, M.; Kirsch, G.; Spallholz, J.E.; Gollahon, L.S. Investigating the potential of conjugated selenium redox folic acid as a treatment for triple negative breast cancer. Antioxidants 2020, 9, 138. [Google Scholar] [CrossRef]
- Banerjee, K.; Padmavathi, G.; Bhattacherjee, D.; Saha, S.; Kunnumakkara, A.B.; Bhabak, K.P. Potent anti-proliferative activities of organochalcogenocyanates towards breast cancer. Org. Biomol. Chem. 2018, 16, 8769–8782. [Google Scholar] [CrossRef]
- He, X.; Zhong, M.; Li, S.; Li, X.; Li, Y.; Li, Z.; Gao, Y.; Ding, F.; Wen, D.; Lei, Y.; et al. Synthesis and biological evaluation of organoselenium (NSAIDS-SeCN and SeCF3) derivatives as potential anticancer agents. Eur. J. Med. Chem. 2020, 208, 112864. [Google Scholar] [CrossRef]
- Krasowska, D.; Iraci, N.; Santi, C.; Drabowicz, J.; Cieslak, M.; Kazmierczak-Baranska, J.; Palomba, M.; Krolewska-Golinska, K.; Magiera, J.; Sancineto, L. Diselenides and benzisoselenazolones as antiproliferative agents and glutathione-s-transferase inhibitors. Molecules 2019, 24, 2914. [Google Scholar] [CrossRef] [PubMed]
- Pons, D.G.; Moran, C.; Alorda-Clara, M.; Oliver, J.; Roca, P.; Sastre-Serra, J. Micronutrients selenomethionine and selenocysteine modulate the redox status of MCF-7 breast cancer cells. Nutrients 2020, 12, 865. [Google Scholar] [CrossRef] [PubMed]
- Shaaban, S.; Ashmawy, A.M.; Negm, A.; Wessjohann, L.A. Synthesis and biochemical studies of novel organic selenides with increased selectivity for hepatocellular carcinoma and breast adenocarcinoma. Eur. J. Med. Chem. 2019, 179, 515–526. [Google Scholar] [CrossRef] [PubMed]
- Romano, B.; Plano, D.; Encio, I.; Palop, J.A.; Sanmartin, C. In vitro radical scavenging and cytotoxic activities of novel hybrid selenocarbamates. Bioorganic Med. Chem. 2015, 23, 1716–1727. [Google Scholar] [CrossRef]
- Garnica, P.; Encio, I.; Plano, D.; Palop, J.A.; Sanmartin, C. Combined acylselenourea-diselenide structures: New potent and selective antitumoral agents as autophagy activators. ACS Med. Chem. Lett. 2018, 9, 306–311. [Google Scholar] [CrossRef]
- Diaz, M.; Gonzalez, R.; Plano, D.; Palop, J.A.; Sanmartin, C.; Encio, I. A diphenyldiselenide derivative induces autophagy via jnk in HTB-54 lung cancer cells. J. Cell Mol. Med. 2018, 22, 289–301. [Google Scholar] [CrossRef]
- Garnica, P.; Encio, I.; Plano, D.; Palop, J.A.; Sanmartin, C. Organoseleno cytostatic derivatives: Autophagic cell death with AMPK and JNK activation. Eur. J. Med. Chem. 2019, 175, 234–246. [Google Scholar] [CrossRef]
- Kumari, S.; Carmona, A.V.; Tiwari, A.K.; Trippier, P.C. Amide bond bioisosteres: Strategies, synthesis, and successes. J. Med. Chem. 2020, 63, 12290–12358. [Google Scholar] [CrossRef]
- Yanai, K.; Fujii, T.; Horiguchi, J.; Nakazawa, Y.; Kurozumi, S.; Obayashi, S.; Yajima, R.; Shirabe, K. Phase ii study of sequential s-1 and cyclophosphamide therapy in patients with metastatic breast cancer. BMC Cancer 2020, 20, 1068. [Google Scholar] [CrossRef]
- Etxebeste-Mitxeltorena, M.; Plano, D.; Espuelas, S.; Moreno, E.; Aydillo, C.; Jimenez-Ruiz, A.; Garcia Soriano, J.C.; Sanmartin, C. New amides containing selenium as potent leishmanicidal agents targeting trypanothione reductase. Antimicrob. Agents Chemother. 2020, 65, e00524-20. [Google Scholar] [CrossRef]
- Etxebeste-Mitxeltorena, M.; Plano, D.; Espuelas, S.; Moreno, E.; Aydillo, C.; Jimenez-Ruiz, A.; Garcia-Soriano, J.; Sanmartin, C. New phosphoramidates containing selenium as leishmanicidal agents. Antimicrob. Agents Chemother. 2020, 65, e00524-20. [Google Scholar] [CrossRef]
- DTP Databases and Search Tools. Available online: https://dtp.cancer.gov/databases_tools/data_search.htm. (accessed on 11 October 2020).
- Peña-Morán, O.A.; Villarreal, M.L.; Álvarez-Berber, L.; Meneses-Acosta, A.; Rodríguez-López, V. Cytotoxicity, post-treatment recovery, and selectivity analysis of naturally occurring podophyllotoxins from Bursera fagaroides var. Fagaroides on breast cancer cell lines. Molecules 2016, 21, 1013. [Google Scholar]
- Dos Santos, D.C.; Rafique, J.; Saba, S.; Almeida, G.M.; Siminski, T.; Pádua, C.; Filho, D.W.; Zamoner, A.; Braga, A.L.; Pedrosa, R.C.; et al. Apoptosis oxidative damage-mediated and antiproliferative effect of selenylated imidazo[1,2-a]pyridines on hepatocellular carcinoma HepG2 cells and in vivo. J. Biochem. Mol. Toxicol. 2020, 35, e22663. [Google Scholar] [CrossRef]
- Zhu, H.; Sun, H.; Liu, Y.; Duan, Y.; Liu, J.; Yang, X.; Li, W.; Qin, S.; Xu, S.; Zhu, Z.; et al. Design, synthesis and biological evaluation of vinyl selenone derivatives as novel microtubule polymerization inhibitors. Eur. J. Med. Chem. 2020, 207, 112716. [Google Scholar] [CrossRef]
- Rusetskaya, N.Y.; Fedotov, I.V.; Koftina, V.A.; Borodulin, V.B. Selenium compounds in redox regulation of inflammation and apoptosis. Biochem. Mosc. Suppl. Ser. B Biomed. Chem. 2019, 65, 165–179. [Google Scholar]
- Alvarez-Meythaler, J.G.; Garcia-Mayea, Y.; Mir, C.; Kondoh, H.; ME, L.L. Autophagy takes center stage as a possible cancer hallmark. Front. Oncol. 2020, 10, 586069. [Google Scholar] [CrossRef]
- D’Arcy, M.S. Cell death: A review of the major forms of apoptosis, necrosis and autophagy. Cell Biol. Int. 2019, 43, 582–592. [Google Scholar] [CrossRef]
- He, G.Q.; Chen, Y.; Liao, H.J.; Xu, W.M.; Zhang, W.; He, G.L. Associations between huwe1 and autophagy in rat cerebral neuron oxygen-glucose deprivation and reperfusion injury. Mol. Med. Rep. 2020, 22, 5083–5094. [Google Scholar] [CrossRef]
- Chrysovergis, A.; Papanikolaou, V.S.; Tsiambas, E.; Kikidis, D.; Maragoudakis, P.; Ragos, V.; Kyrodimos, E. Caspase complex in laryngeal squamous cell carcinoma. J. BU ON.: Off. J. Balk. Union Oncol. 2019, 24, 1–4. [Google Scholar]
- Guo, L.; Kang, J.S.; Kang, N.J.; Choi, Y.W. S-petasin induces apoptosis and inhibits cell migration through activation of p53 pathway signaling in melanoma B16F10 cells and A375 cells. Arch. Biochem. Biophys. 2020, 692, 108519. [Google Scholar] [CrossRef]












| Comp | Cell Lines | ||||||||||||||
|---|---|---|---|---|---|---|---|---|---|---|---|---|---|---|---|
| MCF-7 | CCRF-CEM | HT-29 | HTB54 | PC-3 | |||||||||||
| GI50 a | TGI b | LC50 c | GI50 a | TGI b | LC50 c | GI50 a | TGI b | LC50 c | GI50 a | TGI b | LC50 c | GI50 a | TGI b | LC50 c | |
| I.1b | 4.6 ± 0.5 | >100 | >100 | 9.0 ± 1.6 | 72.6 ± 1.1 | >100 | 3.0 ± 1.8 | 7.7 ± 0.6 | >100 | >100 | >100 | >100 | 7.7 ± 2.2 | >100 | >100 |
| I.1e | 7.4 ± 1.0 | 40.1 ± 0.1 | 73.4 ± 0.1 | 6.5 ± 1.5 | 33.8 ± 2.0 | 67.0 ± 2.0 | 16.8 ± 2.5 | 44.6 ± 3.1 | 72.3 ± 1.8 | 16.9 ± 3.1 | 44.8 ± 2.3 | 72.8 ± 1.4 | 2.5 ± 0.2 | 28.5 ± 1.9 | 64.9 ± 1.1 |
| I.1f | 0.1 ± 0.0 | 13.0 ± 0.3 | 54.6 ± 0.7 | 4.7 ± 0.7 | 31.7 ± 1.8 | 79.2 ± 4.1 | 0.1 ± 0.0 | 5.7 ± 0.9 | >100 | 25.1 ± 3.1 | 50.2 ± 2.4 | 75.4 ± 1.7 | 1.2 ± 1.5 | 32.9 ± 3.1 | 65.0 ± 0.6 |
| I.1h | 18.0 ± 2.3 | 47.3 ± 2.4 | 76.6 ± 2.5 | 4.1 ± 2.4 | 36.1 ± 1.4 | 72.8 ± 2.9 | 17.4 ± 1.9 | 45.8 ± 1.2 | 74.3 ± 0.7 | 20.8 ± 2.5 | 48.6 ± 1.8 | 76.3 ± 3.6 | 2.3 ± 0.3 | 27.6 ± 2.8 | 65.6 ± 4.1 |
| I.2b | 0.5 ± 0.9 | 51.8 ± 2.5 | >100 | 8.7 ± 1.1 | >100 | >100 | 16.5 ± 3.6 | >100 | >100 | >100 | >100 | >100 | >100 | >100 | >100 |
| I.2e | 0.6 ± 0.1 | 54.4 ± 2.7 | >100 | 31.6 ± 0.4 | >100 | >100 | 0.8 ± 0.1 | 58.2 ± 6.4 | >100 | >100 | >100 | >100 | >100 | >100 | >100 |
| I.2f | 0.9 ± 0.0 | 6.2 ± 0.4 | 42.2 ± 0.8 | 7.3 ± 0.5 | >100 | >100 | 0.6 ± 0.4 | 79.2 ± 0.3 | >100 | 29.8 ± 1.5 | 57.1 ± 3.3 | 84.4 ± 5.2 | 28.5 ± 0.7 | 53.1 ± 0.6 | 77.7 ± 0.6 |
| I.2h | 7.4 ± 1.9 | 50.4 ± 1.3 | 94.9 ± 4.7 | 21.8 ± 3.1 | >100 | >100 | 42.7 ± 1.2 | >100 | >100 | >100 | >100 | >100 | >100 | >100 | >100 |
| II.1b | 4.3 ± 0.6 | 8.8 ± 0.1 | 56.9 ± 5.4 | 2.0 ± 0.1 | 3.9 ± 0.4 | 8.0 ± 2.8 | 20.0 ± 3.1 | 47.4 ± 2.0 | 74.9 ± 0.6 | 7.2 ± 3.2 | 37.1 ± 3.2 | 76.0 ± 4.2 | 17.1 ± 1.7 | 46.9 ± 2.3 | 76.6 ± 2.5 |
| II.1d | 2.3 ± 0.2 | 4.2 ± 0.3 | 8.8 ± 0.8 | 0.4 ± 0.2 | 1.7 ± 0.2 | 3.4 ± 0.2 | 1.7 ± 0.1 | 3.0 ± 0.1 | 4.3 ± 0.1 | 5.9 ± 0.3 | 7.7 ± 0.2 | 9.4 ± 0.1 | 6.4 ± 0.2 | 8.6 ± 0.2 | 35.1 ± 4.9 |
| II.2b | 0.6 ± 0.2 | 5.0 ± 1.0 | 9.1 ± 0.7 | 1.6 ± 0.2 | 3.2 ± 0.2 | 4.8 ± 0.3 | 2.0 ± 0.3 | 3.5 ± 0.1 | 5.0 ± 0.1 | 6.2 ± 0.2 | 8.6 ± 0.4 | 34.6 ± 0.4 | 6.4 ± 0.2 | 9.3 ± 0.1 | 49.0 ± 0.7 |
| II.2d | 0.9 ± 0.1 | 4.1 ± 0.1 | 8.4 ± 0.1 | 0.2 ± 0.0 | 0.5 ± 0.0 | 0.9 ± 0.1 | 5.0 ± 0.8 | 7.3 ± 0.2 | 9.5 ± 0.4 | 1.6 ± 0.4 | 3.2 ± 0.3 | 4.8 ± 0.2 | 1.9 ± 0.1 | 4.4 ± 0.1 | 99.9 ± 9.5 |
| Cp d | 3.2 | >100 | >100 | 1.0 | 79.6 | >100 | 7.9 | >100 | >100 | 9.6 | 32.7 | 50.0 | 5.0 | 50.1 | >100 |
| Comp. | Cell Lines | |||||||
|---|---|---|---|---|---|---|---|---|
| 184B5 | SI d | BEAS-2B | SI d | |||||
| GI50 a | TGI b | LC50 c | GI50 a | TGI b | LC50 c | |||
| I.1b | 7.08 | >100 | >100 | 1.57 | 1.11 | 42.78 | >100 | <0 |
| I.1e | 7.76 | 33.79 | 68.16 | 1.14 | 0.42 | 4.80 | 15.81 | 0.02 |
| I.1f | 6.59 | 43.95 | 92.30 | 82.38 | 10.66 | 41.79 | 72.91 | 0.42 |
| I.1h | 19.94 | 47.19 | 74.44 | 1.11 | 10.60 | 40.65 | 70.70 | 0.51 |
| I.2b | 0.89 | >100 | >100 | 1.53 | >100 | >100 | >100 | <0 |
| I.2e | 7.13 | >100 | >100 | 20.97 | >100 | >100 | >100 | <0 |
| I.2f | 16.59 | >100 | >100 | 17.84 | 20.76 | 46.96 | 73.15 | 0.70 |
| I.2h | 36,1 | >100 | >100 | 5.66 | 8.47 | 67.32 | >100 | <0 |
| II.1b | 5.75 | 7.20 | 8.65 | 1.36 | 6.48 | 41.33 | >100 | 0.84 |
| II.1d | 5.45 | 7.01 | 8.58 | 2.38 | 5.43 | 6.98 | 8.54 | 0.92 |
| II.2b | 5.44 | 6.94 | 8.44 | 7.56 | 5.22 | 6.80 | 8.38 | 0.84 |
| II.2d | 5.70 | 7.31 | 8.93 | 6.33 | 4.65 | 6.59 | 8.30 | 2.85 |
Publisher’s Note: MDPI stays neutral with regard to jurisdictional claims in published maps and institutional affiliations. |
© 2021 by the authors. Licensee MDPI, Basel, Switzerland. This article is an open access article distributed under the terms and conditions of the Creative Commons Attribution (CC BY) license (https://creativecommons.org/licenses/by/4.0/).
Share and Cite
Etxebeste-Mitxeltorena, M.; Plano, D.; Astrain-Redín, N.; Morán-Serradilla, C.; Aydillo, C.; Encío, I.; Moreno, E.; Espuelas, S.; Sanmartín, C. New Amides and Phosphoramidates Containing Selenium: Studies on Their Cytotoxicity and Antioxidant Activities in Breast Cancer. Antioxidants 2021, 10, 590. https://doi.org/10.3390/antiox10040590
Etxebeste-Mitxeltorena M, Plano D, Astrain-Redín N, Morán-Serradilla C, Aydillo C, Encío I, Moreno E, Espuelas S, Sanmartín C. New Amides and Phosphoramidates Containing Selenium: Studies on Their Cytotoxicity and Antioxidant Activities in Breast Cancer. Antioxidants. 2021; 10(4):590. https://doi.org/10.3390/antiox10040590
Chicago/Turabian StyleEtxebeste-Mitxeltorena, Mikel, Daniel Plano, Nora Astrain-Redín, Cristina Morán-Serradilla, Carlos Aydillo, Ignacio Encío, Esther Moreno, Socorro Espuelas, and Carmen Sanmartín. 2021. "New Amides and Phosphoramidates Containing Selenium: Studies on Their Cytotoxicity and Antioxidant Activities in Breast Cancer" Antioxidants 10, no. 4: 590. https://doi.org/10.3390/antiox10040590
APA StyleEtxebeste-Mitxeltorena, M., Plano, D., Astrain-Redín, N., Morán-Serradilla, C., Aydillo, C., Encío, I., Moreno, E., Espuelas, S., & Sanmartín, C. (2021). New Amides and Phosphoramidates Containing Selenium: Studies on Their Cytotoxicity and Antioxidant Activities in Breast Cancer. Antioxidants, 10(4), 590. https://doi.org/10.3390/antiox10040590

