Phenolic Composition and Antioxidant Activity of Purple Sweet Potato (Ipomoea batatas (L.) Lam.): Varietal Comparisons and Physical Distribution
Abstract
1. Introduction
2. Materials and Methods
2.1. Chemicals and Reagents
2.2. Purple Sweet Potato Samples
2.3. Extrtaction of Anthocyanin and Non-Anthocyanin Phenolic Compounds
2.4. Identification of Anthocyanins Using a UHPLC-(ESI)-qTOF and UPLC-Iontrap
2.5. Quantification of Anthocyanins Using HPLC-DAD
2.6. Determination of Non-Anthocyanin Phenolic Composition Using UHPLC-(ESI)-QqQ
2.7. Total Phenolic Content Measurement
2.8. Antioxidant Activities
2.9. Statistical Analysis
3. Results
3.1. Identification of Anthocyanins in Purple Sweet Potato Extracts Using UHPLC-(ESI)-qTOF and UHPLC-Iontrap
3.2. Quantification of Anthocyanins in Purple Sweet Potato Cultivars
3.3. Non-Anthocyanin Phenolic Composition of Purple Sweet Potato Cultivars
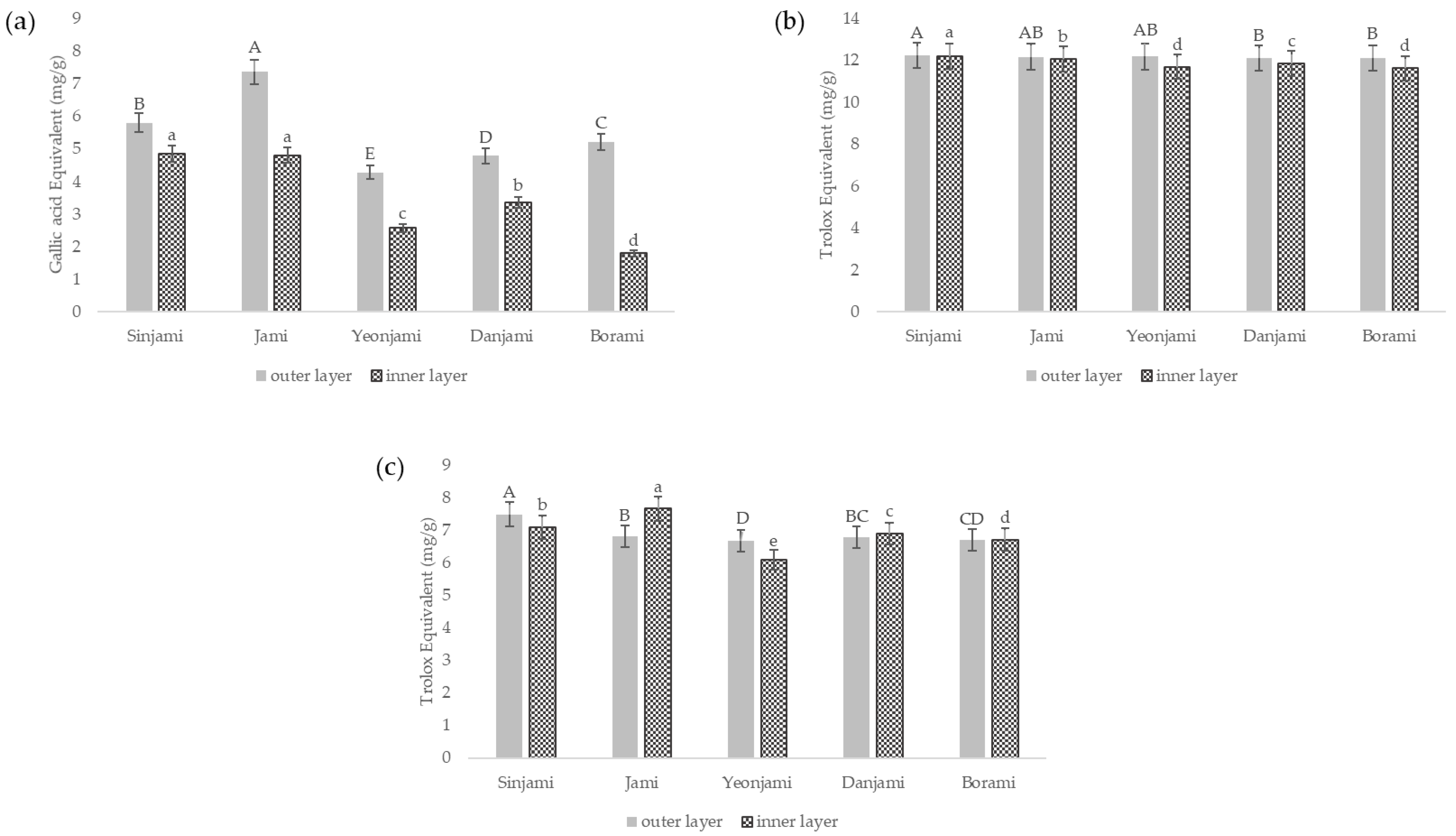
3.4. Total Phenolic Content and Antioxidant Activity
3.5. Principal Component Analysis and Heatmap of Purple Sweet Potato Cultivars
4. Conclusions
Supplementary Materials
Author Contributions
Funding
Institutional Review Board Statement
Informed Consent Statement
Data Availability Statement
Conflicts of Interest
References
- Khoo, H.E.; Azlan, A.; Tang, S.T.; Lim, S.M. Anthocyanidins and anthocyanins: Colored pigments as food, pharmaceutical ingredients, and the potential health benefits. Food Nutr. Res. 2017, 61, 1361779. [Google Scholar] [CrossRef] [PubMed]
- Kong, J.-M.; Chia, L.-S.; Goh, N.-K.; Chia, T.-F.; Brouillard, R. Analysis and biological activities of anthocyanins. Phytochemistry 2003, 64, 923–933. [Google Scholar] [CrossRef]
- Turturică, M.; Oancea, A.M.; Râpeanu, G.; Bahrim, G. Anthocyanins: Naturally occuring fruit pigments with functional properties. Ann. Univ. Dunarea Jos Galati Fascicle VI Food Technol. 2015, 39, 9–24. [Google Scholar]
- Giusti, M.M.; Wrolstad, R.E. Acylated anthocyanins from edible sources and their applications in food systems. Biochem. Eng. J. 2003, 14, 217–225. [Google Scholar] [CrossRef]
- He, J.; Giusti, M.M. Anthocyanins: Natural colorants with health-promoting properties. Annu. Rev. Food Sci. Technol. 2010, 1, 163–187. [Google Scholar] [CrossRef] [PubMed]
- Kim, H.S.; Lee, C.-J.; Kim, S.-E.; Ji, C.Y.; Kim, S.-T.; Kim, J.-S.; Kim, S.; Kwak, S.-S. Current status on global sweetpotato cultivation and its prior tasks of mass production. J. Plant Biotechnol. 2018, 45, 190–195. [Google Scholar] [CrossRef]
- Huamari, Z. Systematic botany and morphology of the sweetpotato plant. CIP Tech. Info. Bull. 1992, 25, 1–25. [Google Scholar]
- Steed, L.; Truong, V.D. Anthocyanin content, antioxidant activity, and selected physical properties of flowable purple-fleshed sweetpotato purees. J. Food Sci. 2008, 73, S215–S221. [Google Scholar] [CrossRef]
- Truong, V.-D.; Deighton, N.; Thompson, R.T.; McFeeters, R.F.; Dean, L.O.; Pecota, K.V.; Yencho, G.C. Characterization of anthocyanins and anthocyanidins in purple-fleshed sweetpotatoes by HPLC-DAD/ESI-MS/MS. J. Agric. Food Chem. 2010, 58, 404–410. [Google Scholar] [CrossRef]
- Fossen, T.; Andersen, Ø.M. Anthocyanins from tubers and shoots of the purple potato, Solanum tuberosum. J. Hortic. Sci. Biotechnol. 2000, 75, 360–363. [Google Scholar] [CrossRef]
- Li, J.; Li, X.-d.; Zhang, Y.; Zheng, Z.-d.; Qu, Z.-y.; Liu, M.; Zhu, S.-h.; Liu, S.; Wang, M.; Qu, L. Identification and thermal stability of purple-fleshed sweet potato anthocyanins in aqueous solutions with various pH values and fruit juices. Food Chem. 2013, 136, 1429–1434. [Google Scholar] [CrossRef] [PubMed]
- Jackman, R.; Smith, J. Anthocyanins and betalains. In Natural Food Colorants; Springer: Boston, MA, USA, 1996; pp. 244–309. [Google Scholar]
- Zhao, C.-L.; Yu, Y.-Q.; Chen, Z.-J.; Wen, G.-S.; Wei, F.-G.; Zheng, Q.; Wang, C.-D.; Xiao, X.-L. Stability-increasing effects of anthocyanin glycosyl acylation. Food Chem. 2017, 214, 119–128. [Google Scholar] [CrossRef] [PubMed]
- Lee, J.H.; Woo, K.S.; Lee, H.-U.; Nam, S.S.; Lee, B.W.; Lee, Y.-Y.; Lee, B.; Kim, H.-J. Intracellular reactive oxygen species (ros) removal and cytoprotection effects of sweet potatoes of various flesh colors and their polyphenols, including anthocyanin. Prev. Nutr. Food Sci. 2019, 24, 293. [Google Scholar] [CrossRef] [PubMed]
- Hagiwara, A.; Yoshino, H.; Ichihara, T.; Kawabe, M.; Tamano, S.; Aoki, H.; Koda, T.; Nakamura, M.; Imaida, K.; Ito, N.; et al. Prevention by natural food anthocyanins, purple sweet potato color and red cabbage color, of 2-amino-1-methyl-6-phenylimidazo [4,5-B] pyridine (phip)-associated colorectal carcinogenesis in rats. J. Toxicol. Sci. 2002, 27, 57–68. [Google Scholar]
- Park, J.-S.; Bae, J.-O.; Choi, G.-H.; Chung, B.-W.; Choi, D.-S. Antimutagenicity of Korean sweet potato (Ipomoea batatas L.) cultivars. J. Korean Soc. Food Sci. Nutr. 2011, 40, 37–46. [Google Scholar] [CrossRef]
- Jung, J.-K.; Lee, S.-U.; Kozukue, N.; Levin, C.E.; Friedman, M. Distribution of phenolic compounds and antioxidative activities in parts of sweet potato (Ipomoea batata L.) plants and in home processed roots. J. Food Compost. Anal. 2011, 24, 29–37. [Google Scholar] [CrossRef]
- Frond, A.D.; Iuhas, C.I.; Stirbu, I.; Leopold, L.; Socaci, S.; Andreea, S.; Ayvaz, H.; Andreea, S.; Mihai, S.; Diaconeasa, Z.; et al. Phytochemical characterization of five edible purple-reddish vegetables: Anthocyanins, flavonoids, and phenolic acid derivatives. Molecules 2019, 24, 1536. [Google Scholar] [CrossRef]
- Qian, B.-J.; Liu, J.-H.; Zhao, S.-J.; Cai, J.-X.; Jing, P. The effects of gallic/ferulic/caffeic acids on colour intensification and anthocyanin stability. Food Chem. 2017, 228, 526–532. [Google Scholar] [CrossRef]
- Fan, L.; Wang, Y.; Xie, P.; Zhang, L.; Li, Y.; Zhou, J. Copigmentation effects of phenolics on color enhancement and stability of blackberry wine residue anthocyanins: Chromaticity, kinetics and structural simulation. Food Chem. 2019, 275, 299–308. [Google Scholar] [CrossRef]
- Kim, H.W.; Kim, J.B.; Cho, S.M.; Chung, M.N.; Lee, Y.M.; Chu, S.M.; Che, J.H.; Kim, S.N.; Kim, S.Y.; Cho, Y.S. Anthocyanin changes in the Korean purple-fleshed sweet potato, Shinzami, as affected by steaming and baking. Food Chem. 2012, 130, 966–972. [Google Scholar] [CrossRef]
- Lee, M.J.; Park, J.S.; Choi, D.S.; Jung, M.Y. Characterization and quantitation of anthocyanins in purple-fleshed sweet potatoes cultivated in Korea by HPLC-DAD and HPLC-ESI-QTOF-MS/MS. J. Agric. Food Chem. 2013, 61, 3148–3158. [Google Scholar] [CrossRef]
- Fan, G.; Han, Y.; Gu, Z.; Chen, D. Optimizing conditions for anthocyanins extraction from purple sweet potato using response surface methodology (RSM). LWT-Food Sci. Technol. 2008, 41, 155–160. [Google Scholar] [CrossRef]
- Zheng, W.; Clifford, M.N. Profiling the chlorogenic acids of sweet potato (Ipomoea batatas) from China. Food Chem. 2008, 106, 147–152. [Google Scholar] [CrossRef]
- Ono, M. Resin glycosides from Convolvulaceae plants. J. Nat. Med. 2017, 71, 591–604. [Google Scholar] [CrossRef] [PubMed]
- Kim, I.; Moon, J.K.; Hur, S.J.; Lee, J. Structural changes in mulberry (Morus Microphylla. Buckl) and chokeberry (Aronia melanocarpa) anthocyanins during simulated in vitro human digestion. Food Chem. 2020, 318, 126449. [Google Scholar] [CrossRef] [PubMed]
- Kim, I.; Ku, K.-H.; Jeong, M.-C.; Kwon, S.-I.; Lee, J. Metabolite profiling and antioxidant activity of 10 new early-to mid-season apple cultivars and 14 traditional cultivars. Antioxidants 2020, 9, 443. [Google Scholar] [CrossRef] [PubMed]
- Kim, I.; Lee, J. Variations in anthocyanin profiles and antioxidant activity of 12 genotypes of mulberry (Morus spp.) fruits and their changes during processing. Antioxidants 2020, 9, 242. [Google Scholar] [CrossRef] [PubMed]
- Vieira, F.G.K.; Borges, G.D.S.C.; Copetti, C.; Di Pietro, P.F.; da Costa Nunes, E.; Fett, R. Phenolic compounds and antioxidant activity of the apple flesh and peel of eleven cultivars grown in Brazil. Sci. Hortic. 2011, 128, 261–266. [Google Scholar] [CrossRef]
- Sari, M.; Chung, Y.; Agatha, F.; Kim, H.K. Evaluation of antioxidant and antimicrobial activity of phenolic lipids produced by the transesterification of 4-hydroxyphenylacetic acid and triglycerides. Appl. Biol. Chem. 2019, 62, 1–9. [Google Scholar] [CrossRef]
- Wang, L.; Zhao, Y.; Zhou, Q.; Luo, C.-L.; Deng, A.-P.; Zhang, Z.-C.; Zhang, J.-L. Characterization and hepatoprotective activity of anthocyanins from purple sweet potato (Ipomoea batatas L. cultivar Eshu No. 8). J. Food Drug Anal. 2017, 25, 607–618. [Google Scholar] [CrossRef] [PubMed]
- Gras, C.C.; Nemetz, N.; Carle, R.; Schweiggert, R.M. Anthocyanins from purple sweet potato (Ipomoea batatas (L.) Lam.) and their color modulation by the addition of phenolic acids and food-grade phenolic plant extracts. Food Chem. 2017, 235, 265–274. [Google Scholar] [CrossRef] [PubMed]
- Matsufuji, H.; Kido, H.; Misawa, H.; Yaguchi, J.; Otsuki, T.; Chino, M.; Takeda, M.; Yamagata, K. Stability to light, heat, and hydrogen peroxide at different pH values and DPPH radical scavenging activity of acylated anthocyanins from red radish extract. J. Agric. Food Chem. 2007, 55, 3692–3701. [Google Scholar] [CrossRef]
- Castañeda-Ovando, A.; de Lourdes Pacheco-Hernández, M.; Páez-Hernández, M.E.; Rodríguez, J.A.; Galán-Vidal, C.A. Chemical studies of anthocyanins: A review. Food Chem. 2009, 113, 859–871. [Google Scholar] [CrossRef]
- Terahara, N.; Konczak, I.; Ono, H.; Yoshimoto, M.; Yamakawa, O. Characterization of acylated anthocyanins in callus induced from storage root of purple-freshed sweet potato, Ipomoea batatas L. J. Biomed. Biotechnol. 2004, 2004, 279–286. [Google Scholar] [CrossRef] [PubMed]
- Kim, M.Y.; Lee, B.W.; Lee, H.U.; Lee, Y.Y.; Kim, M.H.; Lee, J.Y.; Lee, B.K.; Woo, K.S.; Kim, H.J. Phenolic compounds and antioxidant activity in sweet potato after heat treatment. J. Sci. Food Agric. 2019, 99, 6833–6840. [Google Scholar] [CrossRef] [PubMed]
- Zhu, F.; Cai, Y.-Z.; Yang, X.; Ke, J.; Corke, H. Anthocyanins, hydroxycinnamic acid derivatives, and antioxidant activity in roots of different Chinese purple-fleshed sweetpotato genotypes. J. Agric. Food Chem. 2010, 58, 7588–7596. [Google Scholar] [CrossRef]
- Wang, S.Y.; Lin, H.-S. Antioxidant activity in fruits and leaves of blackberry, raspberry, and strawberry varies with cultivar and developmental stage. J. Agric. Food Chem. 2000, 48, 140–146. [Google Scholar] [CrossRef]
- Hamouz, K.; Lachman, J.; Pazderů, K.; Tomášek, J.; Hejtmánková, K.; Pivec, V. Differences in anthocyanin content and antioxidant activity of potato tubers with different flesh colour. Plant Soil Environ. 2011, 57, 478–485. [Google Scholar] [CrossRef]




| Peak 2 | Compound | Theoretical Mass (m/z) | Fragment Ion (m/z) 3 | Mass Error (ppm) 4 | Sinjami | Jami | Yeonjami | Danjami | Borami |
|---|---|---|---|---|---|---|---|---|---|
| 1 | Cy 3-soph-5-glc | 773.2135 | 611/449/287 | 1.4 | O 1 | O | O | O | O |
| 2 | Pg 3-soph-5-glc | 757.2186 | 595/433/271 | 1.8 | X | X | O | X | O |
| 3 | Peo 3-soph-5-glc | 787.2291 | 625/463/301 | 2.5 | O | O | O | O | O |
| 4 | Cy 3-p-hb soph-glc | 893.2346 | 731/449/287 | 2.6 | O | O | O | O | O |
| 5 | Cy 3-(6‴-caf soph)-5-glc | 935.2452 | 773/449/287 | 2.8 | O | X | X | X | X |
| 6 | Peo 3-p- hb soph-5-glc | 907.2503 | 745/463/301 | 2.5 | O | O | O | O | O |
| 7 | Peo 3-(6‴-caf soph)-5-glc | 949.2608 | 787/463/301 | 2.9 | O | O | O | O | O |
| 8 | Cy 3-fer soph-5-glc | 949.2608 | 787/449/287 | 2.4 | O | O | O | O | X |
| 9 | Pg 3-(6‴-caf soph)-5-glc | 919.2503 | 757/433/271 | 1.0 | X | X | X | X | O |
| 10 | Peo 3-fer soph-5-glc | 963.2765 | 801/463/301 | 2.6 | O | O | O | O | O |
| 11 | Pg 3-fer soph-5-glc | 933.2659 | 771/433/271 | −6.3 | X | X | X | X | O |
| 12 | Cy 3-caf soph-5-glc | 935.2452 | 773/449/287 | 3.6 | O | O | O | O | O |
| 13 | Cy 3-caf-p-hb soph-5-glc | 1055.2663 | 893/449/287 | 2.9 | O | O | O | O | O |
| 14 | Peo 3-caf soph-5-glc | 949.2608 | 787/463/301 | 3.3 | O | O | X | X | X |
| 15 | Cy 3-caf-fer soph-5-glc | 1111.2925 | 949/449/287 | 4.0 | O | O | O | O | O |
| 16 | Peo 3-dicaf soph-5-glc | 1111.2925 | 949/463/301 | 4.0 | O | O | O | O | O |
| 17 | Peo 3-caf-p-hb soph-5-glc | 1069.2820 | 907/463/301 | 3.1 | O | O | O | O | O |
| 18 | Peo 3-caf-fer soph-5-glc | 1125.3082 | 963/463/301 | 3.2 | O | O | O | O | O |
| 19 | Pg 3-caf-fer soph-5-glc | 1095.2976 | 933/433/271 | 3.0 | X | X | O | X | O |
| 20 | Peo 3-fer-p-hb soph-5-glc | 1083.2976 | 921/463/301 | 3.9 | O | O | X | X | X |
| Anthocyanin Content (mg/kg DW) | |||||||||||
|---|---|---|---|---|---|---|---|---|---|---|---|
| Outer Layer | Inner Layer | ||||||||||
| Peak 1 | Compound | SO | DO | YO | JO | BO | SI | DI | YI | JI | BI |
| 1 | Cy 3-soph-5-glc | 66 ± 5 C | 82 ± 6 B | 114 ± 6 A | 54± 2 ***D | 9 ± 1 *E | 67 ± 1 c | 81 ± 2 b | 124 ± 2 a | 35 ± 2 d | 11 ± 1 e |
| 2 | Pg 3-soph-5-glc | N.D. | N.D. | N.D. | N.D. | 70 ± 11 * | N.D. | N.D. | N.D. | N.D. | 100 ± 9 |
| 3 | Peo 3-soph-5-glc | 368 ± 27 B | 184 ± 12 *C | 688 ± 37 A | 4 ± 1 E | 73 ± 6 **D | 370 ± 14 b | 181 ± 17 c | 635 ± 32 a | N.D. | 145 ± 11 d |
| 4 | Cy 3-p-hb soph-glc | 488 ± 14 **A | 280 ± 13 **B | 234 ± 17 C | 135 ± 3 **D | 15 ± 1 ***E | 386 ± 26 a | 305 ± 5 b | 228 ± 5 c | 161 ± 6 d | 6 ± 1 e |
| 5 | Cy 3-(6‴-caf soph)-5-glc | 72 ± 3 *B | 20 ± 2 CD | 26 ± 1 ***C | 82 ± 7 *A | 14 ± 1 E | 59 ± 3 a | 10 ± 1 bc | 10 ± 1 c | 60 ± 3 a | 14 ± 1 b |
| 6 | Peo 3-p-hb-5-glc | 2673 ± 88 *A | 1123 ± 67.7 C | 1410 ± 27 ***B | 200 ± 12 **D | 112 ± 9 **D | 3177 ± 200 a | 1193 ± 19 c | 1613 ± 16 b | 125 ± 4 d | 170 ± 12 d |
| 7 | Peo 3-(6‴-caf soph)-5-glc | 421 ± 21.4 A | 33 ± 2 E | 120 ± 9 **C | 87 ± 6 **D | 215 ± 15 B | 423 ± 15 a | 33 ± 2 d | 60 ± 8 c | 45 ± 4 cd | 247 ± 13 b |
| 8 | Cy 3-fer soph-5-glc | 512 ± 17 A | 62 ± 5 **D | 225 ± 7 ***B | 196 ± 12 C | N.D. | 466 ± 26 a | 29 ± 1 d | 102 ± 4 c | 205 ± 11 b | N.D. |
| 9 | Pg 3-(6‴-caf soph)-5-glc | N.D. | N.D. | N.D. | N.D. | 15 ± 1 **A | N.D. | N.D. | N.D. | N.D. | 11 ± 1 a |
| 10 | Peo 3-fer soph-5-glc | 2979 ± 220 A | 129 ± 8 ***C | 1074 ± 27 ***B | 184 ± 11 ***C | 133 ± 8 C | 3064 ± 206 a | 54 ± 5 c | 525 ± 19 b | 83 ± 7 c | 117 ± 10 c |
| 11 | Pg 3-fer soph-5-glc | N.D. | N.D. | N.D. | N.D. | 107 ± 15 *A | N.D. | N.D. | N.D. | N.D. | 64 ± 9 |
| 12 | Cy 3-caf soph-5-glc | 72 ± 2 **A | 33 ± 2 C | 10 ± 1 ***D | 66 ± 3 ***B | N.D. | 95 ± 4.7 b | 40 ± 2 c | 20 ± 1 d | 190 ± 7 a | 4 ± 1 e |
| 13 | Cy 3-caf-p-hb soph-5-glc | 1866 ± 101 *B | 1232 ± 119 C | 892 ± 16 D | 3928 ± 151 *A | 796 ± 60 ***D | 1663 ± 37 b | 1179 ± 34 c | 965 ± 43 c | 4572 ± 300 a | 336 ± 10 d |
| 14 | Peo 3-caf soph-5-glc | 7 ± 1 **BC | 5 ± 1 ***C | 8 ± 1 ***B | 28 ± 2 ***A | N.D. | 3 ± 1 b | 1 ± 1 c | N.D. | 54 ± 2 a | N.D. |
| 15 | Cy 3-caf-fer soph-5-glc | 883 ± 33 B | 161 ± 11 ***D | 368 ± 5 ***C | 2537 ± 104 A | 894 ± 74 **B | 936 ± 33 b | 62.1 ± 5 e | 188 ± 9 d | 2490 ± 131 a | 572 ± 30 c |
| 16 | Peo 3-dicaf soph-5-glc | 677 ± 17 **B | 598 ± 55 C | 931 ± 17 ***A | 194 ± 18 *E | 256 ± 20 ***D | 1050 ± 65 b | 672 ± 54 c | 1470 ± 71 a | 230 ± 7 e | 459 ± 10 d |
| 17 | Peo 3-caf-p-hb soph-5-glc | 12,366 ± 121 **A | 3974 ± 326 E | 4996 ± 129 D | 7414 ± 269 B | 6059 ± 491 **C | 14,832 ± 529 a | 3464 ± 110 d | 4911 ± 300 c | 6612 ± 436 b | 3790 ± 130 d |
| 18 | Peo 3-caf-fer soph-5-glc | 6837 ± 173 *A | 495 ± 24 ***D | 2867 ± 80 ***C | 5060 ± 216 *B | 2848 ± 269 **C | 7831 ± 400 a | 158 ± 4 e | 1145 ± 59 d | 4283 ± 273 b | 1639 ± 58 c |
| 19 | Pg 3-caf-fer soph-5-glc | N.D. | N.D. | N.D. | N.D. | 1988 ± 119 ***A | N.D. | N.D. | N.D. | N.D. | 1066 ± 46 a |
| 20 | Peo 3-fer-p-hb soph-5-glc | 152 ± 10 B | 4 ± 1 **E | 40 ± 2 ***D | 188 ± 19 A | 122 ± 7 **C | 141.4 ± 6 b | 10.0 ± 1 d | 19 ± 1 d | 201 ± 13 a | 78 ± 6 c |
| Total anthocyanin | 30,446 ± 721 *A | 8421 ± 633 D | 14010 ± 107 **C | 20,365 ± 776 B | 13,732 ± 1037 **C | 34,569 ± 1493 a | 7477 ± 214 d | 12,020 ± 523 c | 19,352 ± 1154 b | 8833 ± 247 d | |
| Non-acylated anthocyanin | 435 ± 32 B (1%) | 266 ± 17 C (3%) | 802.9 ± 40 A (6%) | 59 ± 1 ***E (0%) | 152 ± 7 **D (1%) | 437 ± 14 b (1%) | 262 ± 16 c (4%) | 759 ± 33 a (6%) | 35 ± 1 d (0%) | 257 ± 18 c (3%) | |
| Mono-acylated anthocyanin | 7227 ± 340 A (24%) | 1681 ± 86 C (20%) | 3110 ± 73 ***B (22%) | 952 ± 13 **D (5%) | 614 ± 34 E (4%) | 7676 ± 467 a (22%) | 1667 ± 28 c (22%) | 2561 ± 34 b (21%) | 872 ± 8 d (5%) | 634 ± 22 d (7%) | |
| Di-acylated anthocyanin | 22,783 ± 407 *A (75%) | 6467 ± 532 *E (77%) | 10096 ± 194 **D (72%) | 19,324 ± 763 B (95%) | 12,965 ± 1003 **C (94%) | 26,455 ± 1036 a (77%) | 5546 ± 194 d (74%) | 8699 ± 468 c (72%) | 18,389 ± 1148 b (95%) | 7941 ± 244 c (90%) | |
| Cyanidin-based anthocyanin | 3962 ± 129 B | 1871 ± 153 C | 1872 ± 44 **C | 7001 ± 256 A | 1730 ± 131 **C | 3675 ± 119 b | 1709 ± 36 c | 1639 ± 40 c | 7716 ± 444 a | 943 ± 34 d | |
| Peonidin-based anthocyanin | 26,483 ± 612 *A | 6544 ± 481 E | 12,137 ± 147 **C | 13,335 ± 525 *B | 9820 ± 780 **D | 30,894 ± 1374 a | 5767 ± 178 c | 10,381 ± 484 b | 11,581 ± 721 b | 6647 ± 189 c | |
| Pelargonidin-based anthocyanin | N.D. | N.D. | N.D. | N.D. | 2181 ± 139 **A | N.D. | N.D. | N.D. | N.D. | 1242 ± 43 a | |
| Polyphenols | Sinjami | Danjami | Yeonjami | Jami | Borami | ||||||
|---|---|---|---|---|---|---|---|---|---|---|---|
| Peak 1 | Compound | Outer | Inner | Outer | Inner | Outer | Inner | Outer | Inner | Outer | Inner |
| Hydroxycinnamic acids | |||||||||||
| g | p-Coumaric acid | N.Q. | N.Q. | N.Q. | N.Q. | N.Q. | N.Q. | N.Q. | N.Q. | 1 ± 0 *A | 1 ± 0 a |
| f | Caffeic acid | 143 ± 1 ***D | 44 ± 0 e | 478 ± 8 ***A | 46 ± 0 d | 124 ± 3 ***E | 55 ± 1 c | 286 ± 2 ***C | 65 ± 1 b | 318 ± 1 ***B | 70 ± 0 a |
| h | trans-Ferulic acid | 5 ± 0 ***B | 7 ± 0 a | 2 ± 0 ***D | N.Q. | 3 ± 0 ***C | 1 ± 0 c | 11 ± 1 ***A | 5 ± 0 b | 5 ± 0 **B | 7 ± 0 a |
| m | cis-Ferulic acid | 11 ± 0 ***CD | 2 ± 0 c | 40.3 ± 3.4 **A | 4 ± 0 b | 14 ± 0 ***BC | 3 ± 0 b | 10 ± 1 ***D | 3 ± 0 c | 16 ± 1 ***B | 7 ± 1 a |
| b | Caffeoylquinic acid isomer 1 | 5528 ± 2 C | 5378 ± 90 b | 5705 ± 44 B | 5702 ± 34 a | 5821 ± 82 A | 5862 ± 99 a | 5514 ± 13 C | 5662 ± 4 a | 5338 ± 13 D | 5150 ± 236 c |
| o | Caffeoylquinic acid isomer 2 | 30,433 ± 1281 E | 31,178 ± 467 d | 86,062 ± 745 ***A | 56,801 ± 395 a | 32,294 ± 436 ***D | 35,635 ± 133 c | 52,319 ± 1027 **B | 47,086 ± 348 b | 42,620 ± 145 ***C | 24,029 ± 406 e |
| a | Dicaffeoylquinic acid isomer 1 | 23 ± 0 BC | 24 ± 2 a | 23 ± 1 ***BC | N.D. | 24 ± 2 **AB | N.D. | 21 ± 1 ***C | N.D. | 26 ± 0 ***A | 19 ± 0 b |
| c | Dicaffeoylquinic acid isomer 2 | 73 ± 4 **A | 50 ± 3 a | 54 ± 5 **C | 27 ± 2 d | 65 ± 2 ***B | 25 ± 1 d | 73 ± 0 **A | 38 ± 2 c | 75 ± 1 ***A | 43 ± 2 b |
| n | Dicaffeoylquinic acid isomer 3 | 412 ± 16 **AB | 263 ± 3 d | 376 ± 11 **BC | 454 ± 12 b | 334 ± 33 C | 352 ± 37 c | 367 ± 18 **BC | 443 ± 18 b | 426 *A ± 36 *A | 531 ± 37 a |
| p | Dicaffeoylquinic acid isomer 4 | 606 ± 13 C | 694 ± 45 c | 826 ± 47 B | 804 ± 84 b | 826 ± 15 B | 859 ± 73 b | 898 ± 56 AB | 973 ± 26 a | 960 ± 39 ***A | 689 ± 12 c |
| r | Dicaffeoylquinic acid isomer 5 | 38 ± 1 D | 39 ± 1 d | 81 ± 8 *A | 37 ± 3 d | 52 ± 3C | 51 ± 1 b | 63 ± 5 B | 67 ± 2 a | 68 ± 7 **B | 43 ± 1 c |
| e | Chlorogenic acid | 14,739 ± 19 **C | 12,831 ± 24 b | 12,818 ± 49 ***E | 8360 ± 25 c | 17,244 ± 440 ***B | 13,268 ± 49 a | 20,650 ± 103 ***A | 13,310 ± 203 a | 13,258 ± 276 ***D | 6714 ± 48 d |
| Flavonols | |||||||||||
| i | Quercetin diglucoside | 13 ± 0 *C | 15 ± 1 b | 6 ± 1 ***E | 15 ± 0 b | 21 ± 1 ***B | 15 ± 1 b | 30 ± 1 *A | 27 ± 1 a | 8 ± 0 **D | 6 ± 0 c |
| d | Quercetin hexoside 1 | 1 ± 0 A | 1 ± 0 a | N.Q. | N.Q. | N.Q. | N.Q. | 1 ± 0 A | 1 ± 0 a | N.Q. | N.Q. |
| j | Quercetin hexoside 2 | 1 ± 0 *B | 1 ± 0 a | N.Q. | 1 ± 0 a | 1 ± 0 *B | N.Q. | 2 ± 0 *A | 1 ± 0 a | N.Q. | N.Q. |
| k | Quercetin 3-O-galactoside | 1 ± 0 **A | N.D. | N.D. | N.D. | N.Q. | N.D. | N.Q. | N.D. | N.D. | N.D. |
| l | Quercetin 3-O-glucoside | 1 ± 0 ***B | N.Q. | N.Q. | N.Q. | 7 ± 0 ***A | 1 ± 0 a | 1 ± 0 **B | N.Q. | 1 ± 0 *B | N.Q. |
| q | Quercetin hexoside 3 | 1 ± 0 **B | 2 ± 0 a | N.Q. | 1 ± 0 b | N.D. | N.D. | 2 ± 0 *A | 1 ± 0 b | N.Q. | N.Q. |
Publisher’s Note: MDPI stays neutral with regard to jurisdictional claims in published maps and institutional affiliations. |
© 2021 by the authors. Licensee MDPI, Basel, Switzerland. This article is an open access article distributed under the terms and conditions of the Creative Commons Attribution (CC BY) license (http://creativecommons.org/licenses/by/4.0/).
Share and Cite
Im, Y.R.; Kim, I.; Lee, J. Phenolic Composition and Antioxidant Activity of Purple Sweet Potato (Ipomoea batatas (L.) Lam.): Varietal Comparisons and Physical Distribution. Antioxidants 2021, 10, 462. https://doi.org/10.3390/antiox10030462
Im YR, Kim I, Lee J. Phenolic Composition and Antioxidant Activity of Purple Sweet Potato (Ipomoea batatas (L.) Lam.): Varietal Comparisons and Physical Distribution. Antioxidants. 2021; 10(3):462. https://doi.org/10.3390/antiox10030462
Chicago/Turabian StyleIm, Yeong Ran, Inhwan Kim, and Jihyun Lee. 2021. "Phenolic Composition and Antioxidant Activity of Purple Sweet Potato (Ipomoea batatas (L.) Lam.): Varietal Comparisons and Physical Distribution" Antioxidants 10, no. 3: 462. https://doi.org/10.3390/antiox10030462
APA StyleIm, Y. R., Kim, I., & Lee, J. (2021). Phenolic Composition and Antioxidant Activity of Purple Sweet Potato (Ipomoea batatas (L.) Lam.): Varietal Comparisons and Physical Distribution. Antioxidants, 10(3), 462. https://doi.org/10.3390/antiox10030462

