Unleashing the Biological Potential of Fomes fomentarius via Dry and Wet Milling
Abstract
1. Introduction
2. Materials and Methods
2.1. Reagents and Culture Media
2.1.1. Molisch’s Reagent
2.1.2. Fehling’s Solutions
2.1.3. Benedict’s Reagent
2.1.4. Wagner’s Reagent
2.1.5. Dragendorff’s Reagent
2.1.6. Mayer’s Reagent
2.1.7. Phosphate Buffer Saline (PBS)
2.1.8. Yeast Peptone Dextrose (YPD) Medium
2.1.9. Lysogeny Broth (LB) Preparation
2.2. Collection of Fomes fomentarius and Identification
2.3. Crushing and Milling
2.4. Characterization of Samples
2.5. Ethanolic Extract
2.6. Preparation of Suspensions, Supernatants and Pellets
2.7. Antioxidant Assays
2.7.1. 2,2-Diphenyl-1-Picryl-Hydrazyl-Hydrate (DPPH) Capacity
2.7.2. Ferric Reducing Antioxidant Potential (FRAP) Capacity
2.7.3. 2,2′-Azino-bis(3-Ethylbenzothiazoline-6-Sulfonic Acid (ABTS) Capacity
2.8. Electrochemical Analysis
2.9. Qualitative Screening for Reactive Substances
2.10. Nematode Assay
2.11. Statistical Analysis
3. Results
3.1. Dry and Wet Milling
3.2. Antioxidant Activity
3.2.1. DPPH Capacity
3.2.2. FRAP Capacity
3.2.3. ABTS Capacity
3.3. Nematode Assay
3.4. Qualitative Analysis of the Sample for Classes of Active Ingredients
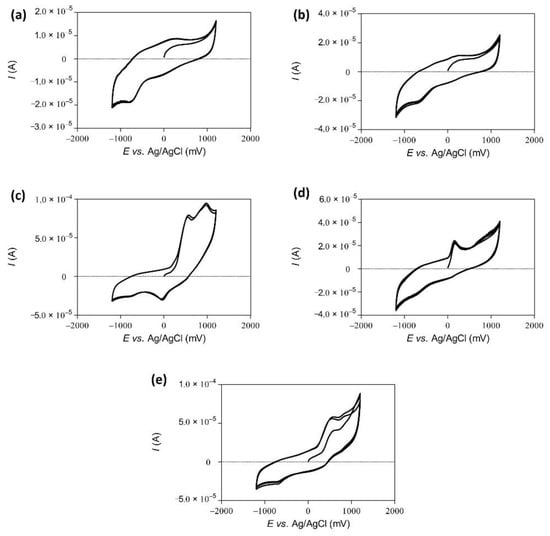
3.5. Cyclic Voltammetry
4. Discussion
5. Conclusions
Supplementary Materials
Author Contributions
Funding
Institutional Review Board Statement
Informed Consent Statement
Data Availability Statement
Acknowledgments
Conflicts of Interest
References
- Xu, D.-P.; Li, Y.; Meng, X.; Zhou, T.; Zhou, Y.; Zheng, J.; Zhang, J.-J.; Li, H.-B. Natural antioxidants in foods and medicinal plants: Extraction, assessment and resources. Int. J. Mol. Sci. 2017, 18, 96. [Google Scholar] [CrossRef]
- Aam, E.; Mirghani, M.E.S.; Kh, M.; Na, K.; Mz, A. Challenges of extraction techniques of natural antioxidants and their potential application opportunities as anti-cancer agents. Health Sci. J. 2018, 12. [Google Scholar] [CrossRef]
- Zhang, Y.; Xiao, Y.; Wang, P.; Liu, Q. Compositions and anti-tumor activity of pyropolyporus fomentarius petroleum ether fraction In Vitro and In Vivo. PLoS ONE 2014, 9, e0109599. [Google Scholar] [CrossRef]
- Nowacka, N.; Nowak, R.; Drozd, M.; Olech, M.; Los, R.; Malm, A. Antibacterial, antiradical potential and phenolic compounds of thirty-one polish mushrooms. PLoS ONE 2015, 10, e0140355. [Google Scholar] [CrossRef]
- Choe, J.-H.; Yi, Y.-J.; Lee, M.-S.; Seo, D.-W.; Yun, B.-S.; Lee, S.-M. Methyl 9-Oxo-(10E,12E)-Octadecadienoate isolated from fomes fomentarius attenuates lipopolysaccharide-induced inflammatory response by blocking phosphorylation of STAT3 in murine macrophages. Mycobiology 2015, 43, 319–326. [Google Scholar] [CrossRef] [PubMed][Green Version]
- Elkhateeb, W.A.; Elnahas, M.O.; Paul, W.; Daba, T.G.M. Fomes fomentarius and polyporus squamosus models of marvel medicinal mushrooms. Biomed. Res. Rev. 2020, 3. [Google Scholar] [CrossRef]
- Maljurić, N.; Golubović, J.; Ravnikar, M.; Žigon, D.; Štrukelj, B.; Otašević, B. Isolation and determination of fomentariol: Novel potential antidiabetic drug from fungal material. J. Anal. Meth. Chem. 2018, 2018. [Google Scholar] [CrossRef]
- Vaso, M.; Ali, W.; Masood, M.I.; Nasim, M.J.; Lilischkis, R.; Schäfer, K.-H.; Schneider, M.; Papajani, V.T.; Jacob, C. Nanosizing Nigella: A cool alternative to liberate biological activity. Curr. Nutr. 2020, 1, 1–12. [Google Scholar] [CrossRef]
- Yassin, D.A.; Nasim, M.J.; Abraham, A.M.; Keck, C.M.; Jacob, C. Upcycling culinary organic waste: Production of plant particles from potato and carrot peels to improve antioxidative capacity. Curr. Nutr. 2020, 1, 1–10. [Google Scholar]
- Griffin, S.; Tittikpina, N.K.; Al-Marby, A.; Alkhayer, R.; Denezhkin, P.; Witek, K.; Gbogbo, K.A.; Batawila, K.; Duval, R.E.; Nasim, M.J.; et al. Turning waste into value: Nanosized natural plant materials of Solanum incanum, L. and Pterocarpus erinaceus poir with promising antimicrobial activities. Pharmaceutics 2016, 8, 11. [Google Scholar] [CrossRef]
- McCormick, M.A.; Grand, L.F.; Post, J.B.; Cubeta, M.A. Phylogenetic and phenotypic characterization of fomes fasciatus and fomes fomentarius in the United States. Mycologia 2013, 105, 1524–1534. [Google Scholar] [CrossRef]
- Gáper, J.; Gáperová, S.; Pristas, P.; Naplavova, K. Medicinal value and taxonomy of the tinder polypore, fomes fomentarius (Agaricomycetes): A review. Int. J. Med. Mushrooms 2016, 18, 851–859. [Google Scholar] [CrossRef]
- Grienke, U.; Zöll, M.; Peintner, U.; Rollinger, J.M. European medicinal polypores-a modern view on traditional uses. J. Ethnopharmacol. 2014, 154, 564–583. [Google Scholar] [CrossRef] [PubMed]
- Sujata, W.; Devi, S.N.; Mandal, S.C. Phytochemicals and Investigations on Traditionally Used Medicinal Mushrooms. In Evidence Based Validation of Traditional Medicines: A Comprehensive Approach; Mandal, S.C., Chakraborty, R., Sen, S., Eds.; Springer: Singapore, 2021; pp. 965–984. [Google Scholar]
- Shimamura, T.; Sumikura, Y.; Yamazaki, T.; Tada, A.; Kashiwagi, T.; Ishikawa, H.; Matsui, T.; Sugimoto, N.; Akiyama, H.; Ukeda, H.; et al. Applicability of the DPPH assay for evaluating the antioxidant capacity of food additives-inter-laboratory evaluation study. Anal. Sci. 2014, 30, 717–721. [Google Scholar] [CrossRef] [PubMed]
- Salari, S.; Esmaeilzadeh Bahabadi, S.; Samzadeh-Kermani, A.; Yosefzaei, F. In-Vitro evaluation of antioxidant and antibacterial potential of greensynthesized silver nanoparticles using prosopis farcta fruit extract. Iran. J. Pharm. Res. 2019, 18, 430–455. [Google Scholar] [PubMed]
- Fernández-Martínez, E.; Díaz-Espinoza, R.; Villavicencio-Nieto, M.A.; Pérez-Escandón, B.E.; Pérez-Hernández, N.; Macías, A.; Ortíz, M.I.; Ponce-Monter, H.A. Preliminary phytochemical and biological study of Cirsium ehrenbergii. Proc. West. Pharm. Soc. 2007, 50, 162–164. [Google Scholar]
- Ashok Kumar, B.S.; Lakshman, K.; Velmurugan, C.; Sridhar, S.M.; Gopisetty, S. Antidepressant activity of methanolic extract of Amaranthus spinosus. Basic Clin. Neurosci. 2014, 5, 11–17. [Google Scholar] [PubMed]
- Abere, T.A.; Okoto, P.E.; Agoreyo, F.O. Antidiarrhoea and Toxicological evaluation of the leaf extract of dissotis rotundifolia triana (Melastomataceae). BMC Complement. Altern. Med. 2010, 10, 71. [Google Scholar] [CrossRef] [PubMed]
- Rahman, A.; Sitepu, I.R.; Tang, S.-Y.; Hashidoko, Y. Salkowski’s reagent test as a primary screening index for functionalities of rhizobacteria isolated from wild dipterocarp saplings growing naturally on medium-strongly acidic tropical peat soil. Biosci Biotechnol. Biochem. 2010, 74, 2202–2208. [Google Scholar] [CrossRef]
- Kobakhidze, A.; Asatiani, M.; Kachlishvili, E.; Elisashvili, V. Induction and catabolite repression of cellulase and xylanase synthesis in the selected white-rot basidiomycetes. Ann. Agrar. Sci. 2016, 14, 169–176. [Google Scholar] [CrossRef]
- Seniuk, O.F.; Gorovoj, L.F.; Beketova, G.V.; Savichuk, H.O.; Rytik, P.G.; Kucherov, I.I.; Prilutskay, A.B.; Prilutsky, A.I. Anti-infective properties of the melanin-glucan complex obtained from medicinal tinder bracket mushroom, Fomes fomentarius (L.: Fr.) Fr. (Aphyllophoromycetideae). Int. J. Med. Mushrooms 2011, 13, 7–18. [Google Scholar] [CrossRef]
- Rytioja, J.; Hildén, K.; Yuzon, J.; Hatakka, A.; de Vries, R.P.; Mäkelä, M.R. Plant-polysaccharide-degrading enzymes from basidiomycetes. Microbiol. Mol. Biol. Rev. 2014, 78, 614–649. [Google Scholar] [CrossRef]
- Kalitukha, L.; Sari, M. Fascinating vital mushrooms. Tinder fungus (Fomes fomentarius (L.) Fr.) as a dietary supplement. Int. J. Res. Stud. Sci. Eng. Tech. 2019, 6, 1–9. [Google Scholar]
- Ilyasov, I.R.; Beloborodov, V.L.; Selivanova, I.A.; Terekhov, R.P. ABTS/PP decolorization assay of antioxidant capacity reaction pathways. Int. J. Mol. Sci. 2020, 21, 1131. [Google Scholar] [CrossRef] [PubMed]
- Griffin, S.; Sarfraz, M.; Farida, V.; Nasim, M.J.; Ebokaiwe, A.P.; Keck, C.M.; Jacob, C. No time to waste organic waste: Nanosizing converts remains of food processing into refined materials. J. Environ. Manag. 2018, 210, 114–121. [Google Scholar] [CrossRef]
- Sarfraz, M.; Griffin, S.; Gabour Sad, T.; Alhasan, R.; Nasim, M.J.; Irfan Masood, M.; Schäfer, K.H.; Ejike, C.E.C.C.; Keck, C.M.; Jacob, C.; et al. Milling the Mistletoe: Nanotechnological conversion of african Mistletoe (Loranthus micranthus) intoantimicrobial materials. Antioxidants 2018, 7, 60. [Google Scholar] [CrossRef]
- Estevam, E.C.; Griffin, S.; Nasim, M.J.; Denezhkin, P.; Schneider, R.; Lilischkis, R.; Dominguez-Alvarez, E.; Witek, K.; Latacz, G.; Keck, C.; et al. Natural Selenium particles from Staphylococcus carnosus: Hazards or Particles with particular promise? J. Hazard. Mater. 2017, 324, 22–30. [Google Scholar] [CrossRef]
- Griffin, S.; Sarfraz, M.; Hartmann, S.F.; Pinnapireddy, S.R.; Nasim, M.J.; Bakowsky, U.; Keck, C.M.; Jacob, C. Resuspendable powders of lyophilized chalcogen particles with activity against microorganisms. Antioxidants 2018, 7, 23. [Google Scholar] [CrossRef] [PubMed]
- Al Ghanem, A.; Nasim, M.J.; Alnahas, F.; Ney, Y.; Weiss, A.; Koch, M.; Schneider, M.; Jacob, C. Incredible edible Selenium nanoparticles produced by food-grade microorganisms. Curr. Nutr. 2020, 1, 1–10. [Google Scholar] [CrossRef]
- Rivas, S.; Conde, E.; Moure, A.; Domínguez, H.; Parajó, J.C. Characterization, Refining and antioxidant activity of saccharides derived from Hemicelluloses of wood and rice husks. Food Chem. 2013, 141, 495–502. [Google Scholar] [CrossRef]
- Veenashri, B.R.; Muralikrishna, G. In Vitro anti-oxidant activity of xylo-oligosaccharides derived from cereal and millet brans—A comparative study. Food Chem. 2011, 126, 1475–1481. [Google Scholar] [CrossRef]
- Dokoumetzidis, A.; Papadopoulou, V.; Macheras, P. Analysis of dissolution data using modified versions of noyes-whitney equation and the weibull function. Pharm. Res. 2006, 23, 256–261. [Google Scholar] [CrossRef]
- Hattori, Y.; Haruna, Y.; Otsuka, M. Dissolution process analysis using model-free noyes-whitney integral equation. Colloids Surf. B Biointerfaces 2013, 102, 227–231. [Google Scholar] [CrossRef] [PubMed]
- Skrdla, P.J.; Floyd, P.D.; Dell’Orco, P.C. Predicted Amorphous solubility and dissolution rate advantages following moisture sorption: Case studies of indomethacin and felodipine. Int. J. Pharm. 2019, 555, 100–108. [Google Scholar] [CrossRef] [PubMed]
- Abraham, A.M.; Alnemari, R.M.; Jacob, C.; Keck, C.M. PlantCrystals-nanosized plant material for improved bioefficacy of medical plants. Materials 2020, 13, 4368. [Google Scholar] [CrossRef]
- Zhu, X.; Zhou, Y.; Feng, J. Analysis of both chitinase and chitosanase produced by Sphingomonas Sp. CJ-5. J. Zhejiang Univ. Sci. B 2007, 8, 831–838. [Google Scholar] [CrossRef]
- Jarle Horn, S.; Eijsink, V.G.H. A reliable reducing end assay for chito-oligosaccharides. Carbohydr. Polym. 2004, 56, 35–39. [Google Scholar] [CrossRef]
- Lee, S.-O.; Lee, M.-H.; Lee, K.-R.; Lee, E.-O.; Lee, H.-J. Fomes fomentarius ethanol extract exerts inhibition of cell growth and motility induction of apoptosis via targeting AKT in human breast cancer MDA-MB-231 cells. Int. J. Mol. Sci. 2019, 20, 1147. [Google Scholar] [CrossRef] [PubMed]
- Dresch, P.; Aguanno, M.N.D.; Rosam, K.; Grienke, U.; Rollinger, J.M.; Peintner, U. Fungal strain matters: Colony growth and bioactivity of the european medicinal polypores fomes fomentarius, Fomitopsis pinicola and Piptoporus betulinus. Amb Express 2015, 5, 4. [Google Scholar] [CrossRef] [PubMed]
- Berber-Villamar, N.K.; Netzahuatl-Muñoz, A.R.; Morales-Barrera, L.; Chávez-Camarillo, G.M.; Flores-Ortiz, C.M.; Cristiani-Urbina, E. Corncob as an effective, eco-friendly, and economic biosorbent for removing the Azo Dye Direct yellow 27 from Aqueous solutions. PLoS ONE 2018, 13, e0196428. [Google Scholar] [CrossRef]
- Tang, S.; Chen, Y.; Xie, R.; Jiang, W.; Jiang, Y. Preparation of activated carbon from corn cob and its adsorption behavior on Cr(VI) removal. Water Sci. Technol. 2016, 73, 2654–2661. [Google Scholar] [CrossRef] [PubMed]
- Vafakhah, S.; Bahrololoom, M.E.; Bazarganlari, R.; Saeedikhani, M. Removal of copper ions from electroplating effluent solutions with native corn cob and corn stalk and chemically modified corn stalk. J. Environ. Chem. Eng. 2014, 2, 356–361. [Google Scholar] [CrossRef]









| Class of Compounds | Assays | Dry Suspension | Wet Suspension | Extract |
|---|---|---|---|---|
| Carbohydrates | Molisch’s Test | + | + | + |
| Fehling’s Test | + | + | + | |
| Benedict’s Test | + | + | + | |
| Alkaloids | Wagner’s Test | + | + | + |
| Mayer’s Test | − | − | − | |
| Dragendorff’s Test | + | + | + | |
| Glycosides | Foam Test | + | + | + |
| Legal’s Test | + | + | + | |
| Keller-Killiani Test | − | − | + | |
| Steroids | Salkowski’s Test | + | + | + |
| Samples | Epa1 (mV) | Ipa1 (µA) | Q(µC) | Epa2 (mV) | Ipa2 (µA) | Epc (mV) | Ipc (µA) |
|---|---|---|---|---|---|---|---|
| Wet suspension | 273.6 | 9.6 | 4.3 | - | - | −728.0 | −19.4 |
| Extract | 315.6 | 17.3 | 5.5 | - | - | −657.6 | −26.4 |
| 3,4-DHBA | 542.0 | 63.3 | 23.7 | 975.0 | 61.6 | −29.0 | −36.2 |
| Purpurogallin | 154.0 | 22.6 | 6.8 | - | - | −732.0 | −37.1 |
| Gallic acid | 498.0 | 57.1 | 22.8 | - | - | −711.0 | −26.8 |
Publisher’s Note: MDPI stays neutral with regard to jurisdictional claims in published maps and institutional affiliations. |
© 2021 by the authors. Licensee MDPI, Basel, Switzerland. This article is an open access article distributed under the terms and conditions of the Creative Commons Attribution (CC BY) license (http://creativecommons.org/licenses/by/4.0/).
Share and Cite
Darkal, A.K.; Zuraik, M.M.; Ney, Y.; Nasim, M.J.; Jacob, C. Unleashing the Biological Potential of Fomes fomentarius via Dry and Wet Milling. Antioxidants 2021, 10, 303. https://doi.org/10.3390/antiox10020303
Darkal AK, Zuraik MM, Ney Y, Nasim MJ, Jacob C. Unleashing the Biological Potential of Fomes fomentarius via Dry and Wet Milling. Antioxidants. 2021; 10(2):303. https://doi.org/10.3390/antiox10020303
Chicago/Turabian StyleDarkal, Abdul Karim, Mhd Mouayad Zuraik, Yannick Ney, Muhmmad Jawad Nasim, and Claus Jacob. 2021. "Unleashing the Biological Potential of Fomes fomentarius via Dry and Wet Milling" Antioxidants 10, no. 2: 303. https://doi.org/10.3390/antiox10020303
APA StyleDarkal, A. K., Zuraik, M. M., Ney, Y., Nasim, M. J., & Jacob, C. (2021). Unleashing the Biological Potential of Fomes fomentarius via Dry and Wet Milling. Antioxidants, 10(2), 303. https://doi.org/10.3390/antiox10020303

