The Effect of Music Stimulation on Resting-State Brain Functional Networks Following Exhaustive Endurance Exercise: An EEG Study
Abstract
1. Introduction
2. Materials and Methods
2.1. Participants
2.2. Endurance Exercise Model
2.3. Music Selection
2.4. Acquisition and Processing of Electrical Signals
2.5. Connectivity Analysis of Brain Functional Networks
2.6. Mathematical Statistics
3. Results
3.1. Effects of Music on Endurance Exercise Performance
3.2. Differences in Brain Network Properties
3.3. Differences in Functional Connectivity of Brain Networks
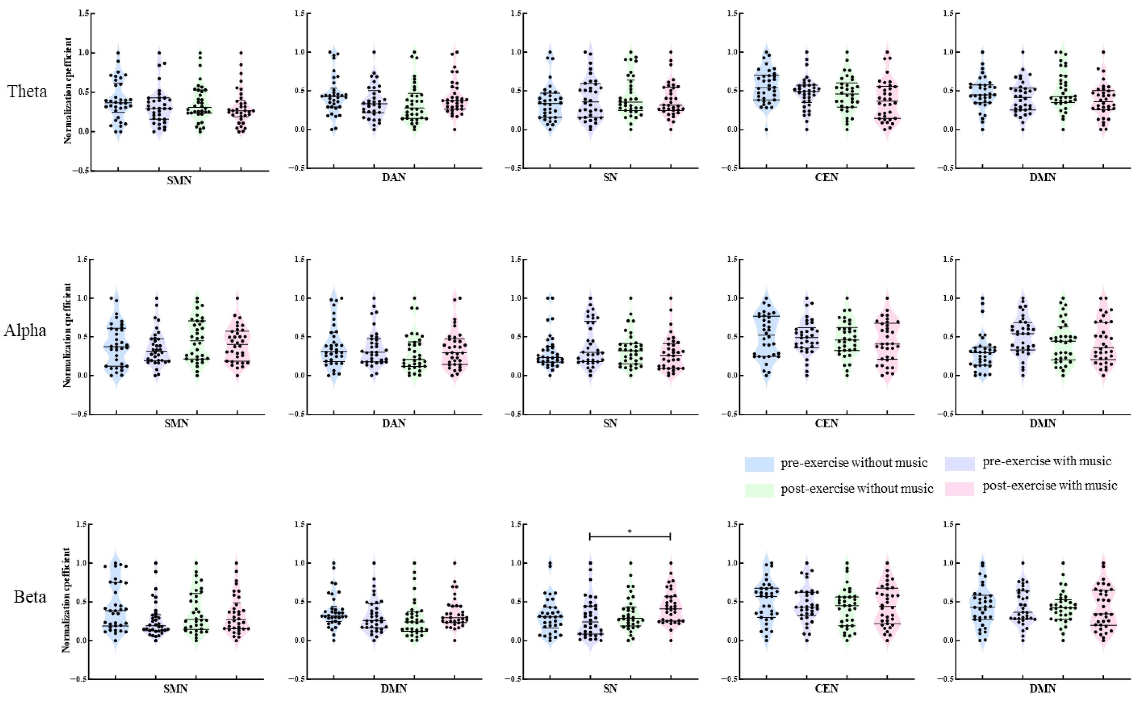
3.4. Calculation of Functional Connectivity Strength Within Networks
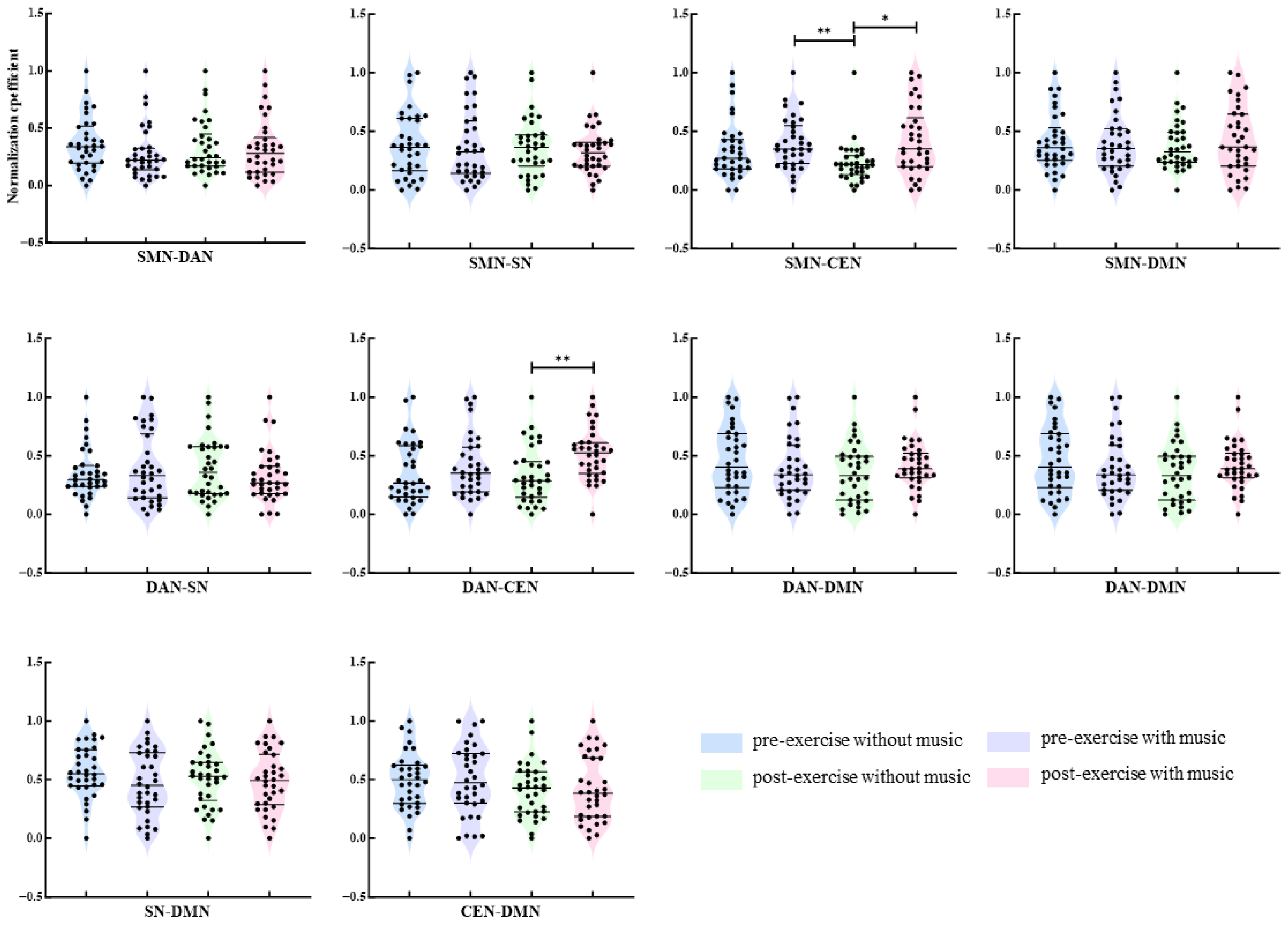
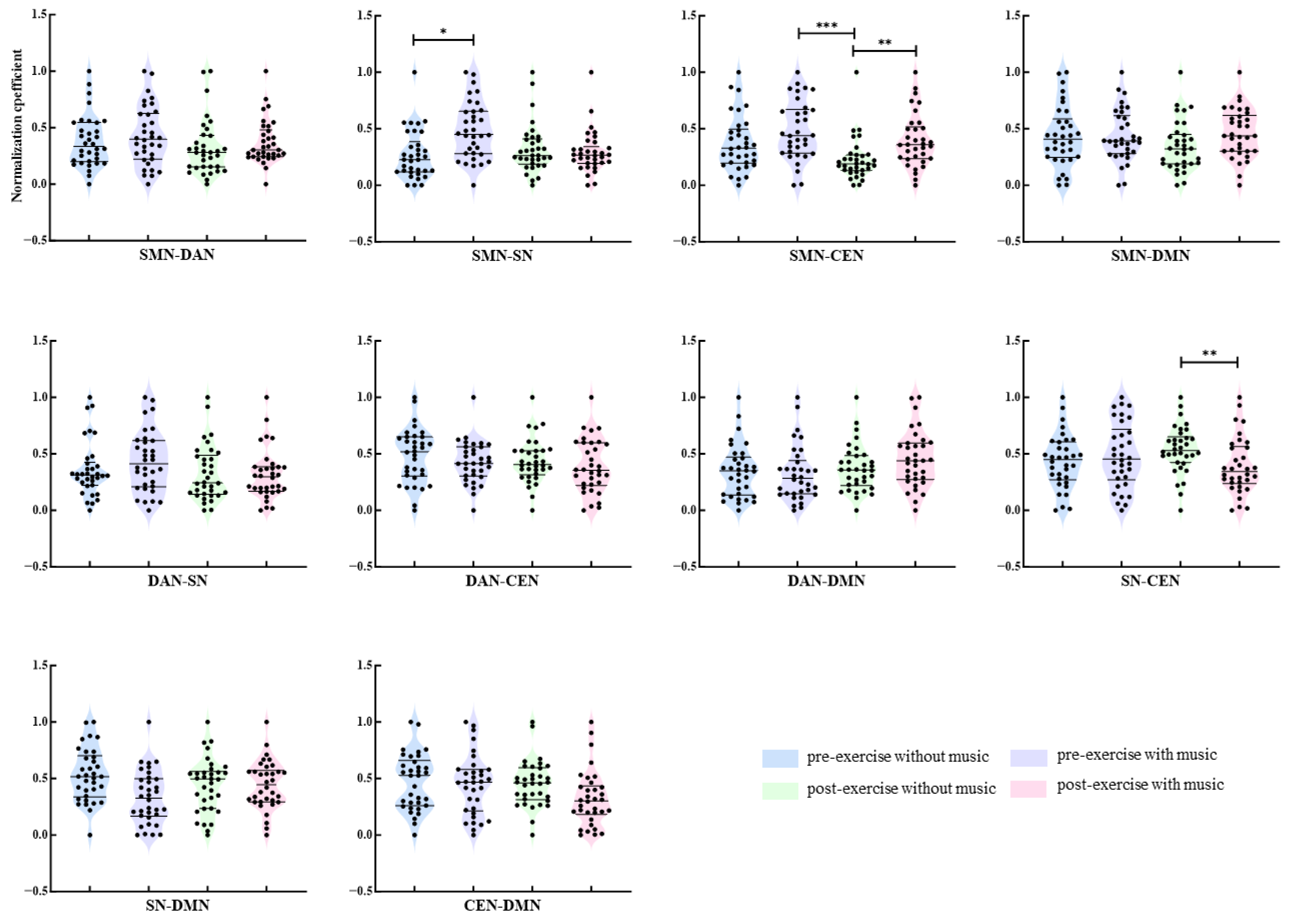
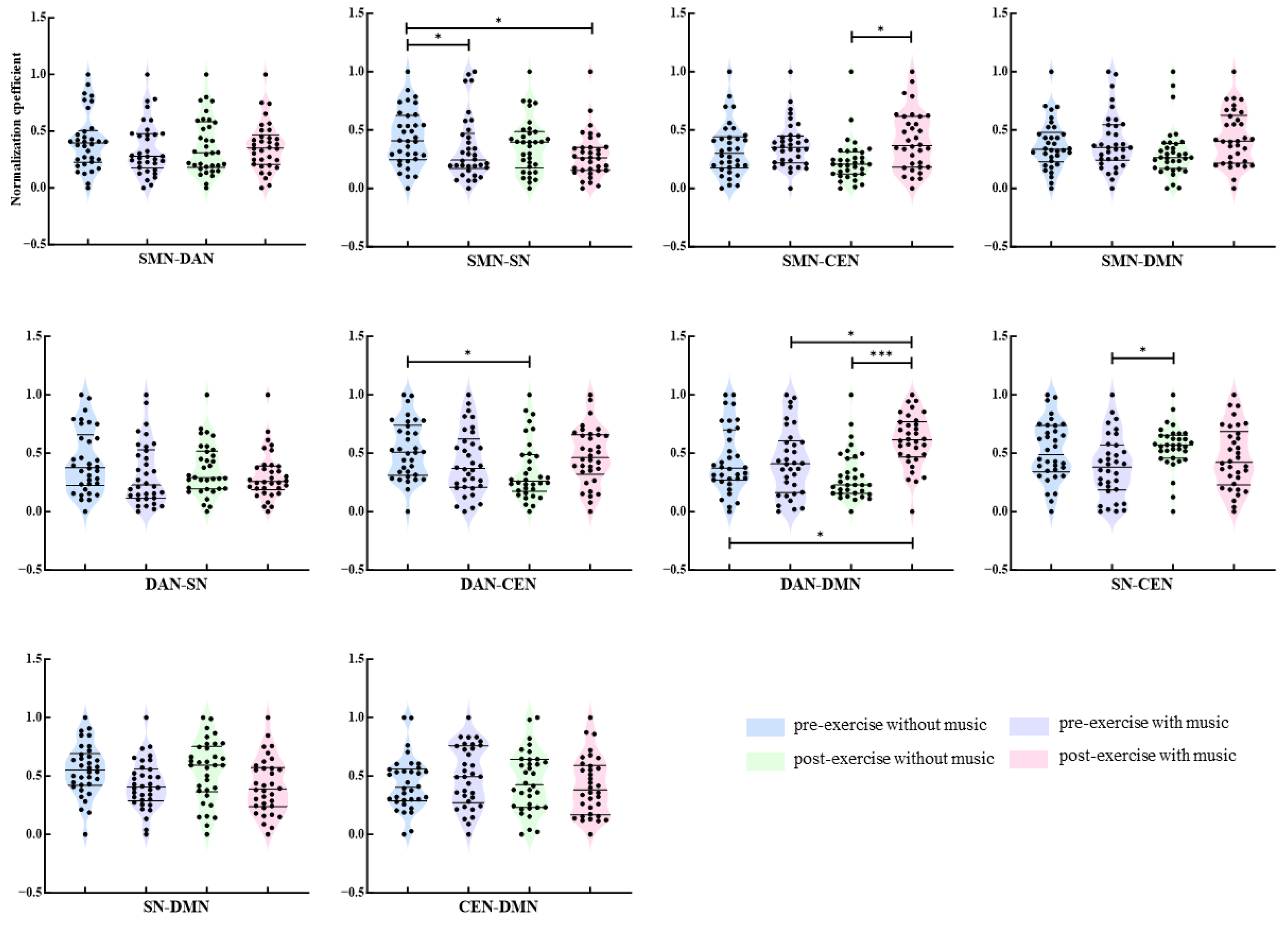
3.5. Calculation of Functional Connectivity Strength Between Networks
4. Discussion
4.1. The Neural Efficiency Hypothesis for Music-Enhanced Exercise Performance
4.2. Brain Network Reorganization in Response to Fatigue
4.3. Regulatory Effects of Music on Intra-Network and Inter-Network Functional Connectivity of the Brain
4.4. Research Limitations
5. Conclusions
Supplementary Materials
Author Contributions
Funding
Institutional Review Board Statement
Informed Consent Statement
Data Availability Statement
Acknowledgments
Conflicts of Interest
Abbreviations
| CNS | Central nervous system |
| RPE | Rated perceived exertion |
| EEG | Electroencephalogram |
| BMRI-2 | Brunel Music Rating Inventory-2 |
| ICA | Independent component analysis |
| CEN | Central executive network |
| DMN | Default mode network |
| SN | Salience network |
| SMN | Sensorimotor network |
| DNA | Dorsal attention network |
| PLV | Phase locking value |
| NBS | Network-based statistic |
References
- Powers, S.K.; Radak, Z.; Ji, L.L.; Jackson, M. Reactive Oxygen Species Promote Endurance Exercise-Induced Adaptations in Skeletal Muscles. J. Sport Health Sci. 2024, 13, 780–792. [Google Scholar] [CrossRef]
- Holloszy, J.O.; Coyle, E.F. Adaptations of Skeletal Muscle to Endurance Exercise and Their Metabolic Consequences. J. Appl. Physiol. 1984, 56, 831–838. [Google Scholar] [CrossRef] [PubMed]
- Tanaka, H.; Seals, D.R. Endurance Exercise Performance in Masters Athletes: Age-Associated Changes and Underlying Physiological Mechanisms. J. Physiol. 2008, 586, 55–63. [Google Scholar] [CrossRef]
- Marcora, S. Perception of Effort during Exercise Is Independent of Afferent Feedback from Skeletal Muscles, Heart, and Lungs. J. Appl. Physiol. 2009, 106, 2060–2062. [Google Scholar] [CrossRef]
- Ballmann, C.G.; Rogers, R.R.; Porrill, S.L.; Washmuth, N.B. Implications for the Ergogenic Benefits of Self-Selected Music in Neurological Conditions: A Theoretical Review. Neurol. Int. 2025, 17, 106. [Google Scholar] [CrossRef]
- Tanaka, M. Psychological Effects of Music in Exercise and Sports Performance. Int. J. Arts Recreat. Sports 2024, 3, 28–40. [Google Scholar] [CrossRef]
- Conard, R.; Wu, W.-C. Assessing the Feasibility of Music Therapy during Exercise in Cardiac Rehabilitation: A Mixed-Methods Analysis. Innov. Aging 2025, 9, igaf122.4070. [Google Scholar] [CrossRef]
- Park, K.S.; Buseth, L.; Hong, J.; Etnier, J.L. Music-Based Multicomponent Exercise Training for Community-Dwelling Older Adults with Mild-to-Moderate Cognitive Decline: A Feasibility Study. Front. Med. 2023, 10, 1224728. [Google Scholar] [CrossRef] [PubMed]
- O’Connor, D.; Loke, J.; Brown, M.; Stanworth, S.J.; Young, A.; Prue, G. Non-Pharmacological Supportive-Care Interventions in Acute Myeloid Leukaemia: A Review of Randomised Controlled Trials. Br. J. Haematol. 2021, 195, e97–e113. [Google Scholar] [CrossRef] [PubMed]
- Billat, V.; Berthomier, C.; Clémençon, M.; Brandewinder, M.; Essid, S.; Damon, C.; Rigaud, F.; Bénichoux, A.; Maby, E.; Fornoni, L.; et al. Electroencephalography Response during an Incremental Test According to the V̇O2max Plateau Incidence. Appl. Sci. 2024, 14, 5411. [Google Scholar] [CrossRef]
- di Fronso, S.; Fiedler, P.; Tamburro, G.; Haueisen, J.; Bertollo, M.; Comani, S. Dry EEG in Sports Sciences: A Fast and Reliable Tool to Assess Individual Alpha Peak Frequency Changes Induced by Physical Effort. Front. Neurosci. 2019, 13, 982. [Google Scholar] [CrossRef]
- Büchel, D.; Torvik, P.Ø.; Lehmann, T.; Sandbakk, Ø.; Baumeister, J. The Mode of Endurance Exercise Influences Changes in EEG Resting-State Graphs among High-Level Cross-Country Skiers. Med. Sci. Sports Exerc. 2023, 55, 1003. [Google Scholar] [CrossRef]
- Chi, P.; Bai, Y.; Du, W.; Wei, X.; Liu, B.; Zhao, S.; Jiang, H.; Chi, A.; Shao, M. Altered Muscle–Brain Connectivity during Left and Right Biceps Brachii Isometric Contraction Following Sleep Deprivation: Insights from PLV and PDC. Sensors 2025, 25, 2162. [Google Scholar] [CrossRef]
- Zhao, S.; Alhumaid, M.M.; Li, H.; Wei, X.; Chen, S.S.-C.; Jiang, H.; Gong, Y.; Gu, Y.; Qin, H. Exploring the Effects of Sleep Deprivation on Physical Performance: An EEG Study in the Context of High-Intensity Endurance. Sports Med.-Open 2025, 11, 4. [Google Scholar] [CrossRef] [PubMed]
- Li, J.; Fang, D.; Zhang, J.; Zhang, J.; Wang, Z.; Zhang, H. An Anxiety Regulation Framework with a Positive Emotion-Guided Strategy: Integrating EEG Neurofeedback and Music Intervention. Biol. Psychol. 2025, 201, 109132. [Google Scholar] [CrossRef]
- Bhavsar, P.; Shah, P.; Sinha, S.; Kumar, D. Musical Neurofeedback Advancements, Feedback Modalities, and Applications: A Systematic Review. Appl. Psychophysiol. Biofeedback 2024, 49, 347–363. [Google Scholar] [CrossRef] [PubMed]
- Faul, F.; Erdfelder, E.; Buchner, A.; Lang, A.-G. Statistical Power Analyses Using G*Power 3.1: Tests for Correlation and Regression Analyses. Behav. Res. Methods 2009, 41, 1149–1160. [Google Scholar] [CrossRef]
- Gosselink, R.; Troosters, T.; Decramer, M. Peripheral Muscle Weakness Contributes to Exercise Limitation in COPD. Am. J. Respir. Crit. Care Med. 1996, 153, 976–980. [Google Scholar] [CrossRef]
- Kusy, K.; Matysiak, J.; Kokot, Z.J.; Ciekot-Sołtysiak, M.; Klupczyńska-Gabryszak, A.; Zarębska, E.A.; Plewa, S.; Dereziński, P.; Zieliński, J. Exercise-Induced Response of Proteinogenic and Non-Proteinogenic Plasma Free Amino Acids Is Sport-Specific: A Comparison of Sprint and Endurance Athletes. PLoS ONE 2024, 19, e0309529. [Google Scholar] [CrossRef]
- Korman, P.; Kusy, K.; Straburzyńska-Lupa, A.; Kantanista, A.; Quintana, M.S.; Zieliński, J. Response of Skin Temperature, Blood Ammonia and Lactate during Incremental Exercise until Exhaustion in Elite Athletes. Sci. Rep. 2024, 14, 2237. [Google Scholar] [CrossRef] [PubMed]
- Bougrine, H.; Ammar, A.; Salem, A.; Trabelsi, K.; Jahrami, H.; Chtourou, H.; Souissi, N. Optimizing Short-Term Maximal Exercise Performance: The Superior Efficacy of a 6 Mg/Kg Caffeine Dose over 3 or 9 Mg/Kg in Young Female Team-Sports Athletes. Nutrients 2024, 16, 640. [Google Scholar] [CrossRef]
- Karageorghis, C.I.; Priest, D.-L.; Terry, P.C.; Chatzisarantis, N.L.D.; Lane, A.M. Redesign and Initial Validation of an Instrument to Assess the Motivational Qualities of Music in Exercise: The Brunel Music Rating Inventory-2. J. Sports Sci. 2006, 24, 899–909. [Google Scholar] [CrossRef]
- Jurcak, V.; Tsuzuki, D.; Dan, I. 10/20, 10/10, and 10/5 Systems Revisited: Their Validity as Relative Head-Surface-Based Positioning Systems. Neuroimage 2007, 34, 1600–1611. [Google Scholar] [CrossRef]
- Pion-Tonachini, L.; Kreutz-Delgado, K.; Makeig, S. ICLabel: An Automated Electroencephalographic Independent Component Classifier, Dataset, and Website. Neuroimage 2019, 198, 181–197. [Google Scholar] [CrossRef]
- Oostenveld, R.; Fries, P.; Maris, E.; Schoffelen, J.-M. FieldTrip: Open Source Software for Advanced Analysis of MEG, EEG, and Invasive Electrophysiological Data. Comput. Intell. Neurosci. 2011, 2011, 156869. [Google Scholar] [CrossRef] [PubMed]
- Garg, D.; Verma, G.K.; Singh, A.K. EEG-Based Emotion Recognition Using MobileNet Recurrent Neural Network with Time-Frequency Features. Appl. Soft Comput. 2024, 154, 111338. [Google Scholar] [CrossRef]
- Wu, X.; Liang, C.; Bustillo, J.; Kochunov, P.; Wen, X.; Sui, J.; Jiang, R.; Yang, X.; Fu, Z.; Zhang, D.; et al. The Impact of Atlas Parcellation on Functional Connectivity Analysis Across Six Psychiatric Disorders. Hum. Brain Mapp. 2025, 46, e70206. [Google Scholar] [CrossRef] [PubMed]
- Wang, J.; Wang, X.; Xia, M.; Liao, X.; Evans, A.; He, Y. GRETNA: A Graph Theoretical Network Analysis Toolbox for Imaging Connectomics. Front. Hum. Neurosci. 2015, 9, 386. [Google Scholar] [CrossRef]
- Suo, X.; Chen, L.; Kemp, G.J.; Wu, D.; Wang, S. Aberrant Structural–Functional Coupling of Large-Scale Brain Networks in Older Women With Subthreshold Depression. J. Gerontol. B Psychol. Sci. Soc. Sci. 2025, 80, gbaf013. [Google Scholar] [CrossRef]
- Xia, M.; Wang, J.; He, Y. BrainNet Viewer: A Network Visualization Tool for Human Brain Connectomics. PLoS ONE 2013, 8, e68910. [Google Scholar] [CrossRef]
- Krzywinski, M.; Schein, J.; Birol, I.; Connors, J.; Gascoyne, R.; Horsman, D.; Jones, S.J.; Marra, M.A. Circos: An Information Aesthetic for Comparative Genomics. Genome Res. 2009, 19, 1639–1645. [Google Scholar] [CrossRef] [PubMed]
- Bood, R.J.; Nijssen, M.; van der Kamp, J.; Roerdink, M. The Power of Auditory-Motor Synchronization in Sports: Enhancing Running Performance by Coupling Cadence with the Right Beats. PLoS ONE 2013, 8, e70758. [Google Scholar] [CrossRef]
- Wang, X.; Qu, J.; Bu, L.; Zhu, S. Investigating Virtual Reality for Alleviating Human-Computer Interaction Fatigue: A Multimodal Assessment and Comparison with Flat Video. IEEE Trans. Vis. Comput. Graph. 2025, 31, 3580–3590. [Google Scholar] [CrossRef]
- Kaushik, P.; Shrivastava, P.K. Remediation of Learning Difficulty Utilizing School-Based Cognitive Behavioral Intervention Measured by EEG Theta-Alpha and Theta-Beta Ratio during Resting and Cognitive Task Performance Conditions. Clin. EEG Neurosci. 2024, 55, 426–444. [Google Scholar] [CrossRef]
- Yang, X.; Fiebelkorn, I.C.; Jensen, O.; Knight, R.T.; Kastner, S. Differential Neural Mechanisms Underlie Cortical Gating of Visual Spatial Attention Mediated by Alpha-Band Oscillations. Proc. Natl. Acad. Sci. USA 2024, 121, e2313304121. [Google Scholar] [CrossRef]
- Ghaffari Sarvarmaleki, S. Distinct Spatial and Functional Dynamics for Alpha and Gamma Oscillations in Human Visual Cortex. Master’s Thesis, Bishop’s University, Sherbrooke, QC, Canada, 8 January 2026. [Google Scholar]
- Navarrete, M.; Greco, V.; Rakowska, M.; Bellesi, M.; Lewis, P.A. Auditory Stimulation during REM Sleep Modulates REM Electrophysiology and Cognitive Performance. Commun. Biol. 2024, 7, 193. [Google Scholar] [CrossRef]
- Wang, T.; Tang, J.; Wang, C.; Yang, D.; Li, J.; Kong, W.; Xi, X. Effect of Music Stimuli on Corticomuscular Coupling and the Brain Functional Connectivity Network. Biomed. Signal Process. Control. 2023, 79, 104264. [Google Scholar] [CrossRef]
- Choi, K.-M.; Hwang, H.-H.; Yang, C.; Jung, B.; Im, C.-H.; Lee, S.-H. Association between the Functional Brain Network and Antidepressant Responsiveness in Patients with Major Depressive Disorders: A Resting-State EEG Study. Psychol. Med. 2025, 55, e25. [Google Scholar] [CrossRef] [PubMed]
- Wu, S.; Fu, Z.; Wang, S.; Zheng, F.; Qiu, W.; Xu, G.; Zhang, D.; Song, J. Disrupted Functional Brain Network Architecture in Sufferers with Boxing-Related Repeated Mild Traumatic Brain Injury: A Resting-State EEG Study. J. Integr. Neurosci. 2024, 23, 102. [Google Scholar] [CrossRef] [PubMed]
- Westlin, C.; Guthrie, A.J.; Bleier, C.; Finkelstein, S.A.; Maggio, J.; Ranford, J.; MacLean, J.; Godena, E.; Millstein, D.; Paredes-Echeverri, S.; et al. Delineating Network Integration and Segregation in the Pathophysiology of Functional Neurological Disorder. Brain Commun. 2025, 7, fcaf195. [Google Scholar] [CrossRef]
- Stam, C.J. Nonlinear Dynamical Analysis of EEG and MEG: Review of an Emerging Field. Clin. Neurophysiol. 2005, 116, 2266–2301. [Google Scholar] [CrossRef]
- Mantini, D.; Perrucci, M.G.; Del Gratta, C.; Romani, G.L.; Corbetta, M. Electrophysiological Signatures of Resting State Networks in the Human Brain. Proc. Natl. Acad. Sci. USA 2007, 104, 13170–13175. [Google Scholar] [CrossRef]
- Qiu, P.; Dai, J.; Wang, T.; Li, H.; Ma, C.; Xi, X. Altered Functional Connectivity and Complexity in Major Depressive Disorder after Musical Stimulation. Brain Sci. 2022, 12, 1680. [Google Scholar] [CrossRef]
- Köhler, R.M.; Binns, T.S.; Merk, T.; Zhu, G.; Yin, Z.; Zhao, B.; Chikermane, M.; Vanhoecke, J.; Busch, J.L.; Habets, J.G.V.; et al. Dopamine and Deep Brain Stimulation Accelerate the Neural Dynamics of Volitional Action in Parkinson’s Disease. Brain J. Neurol. 2024, 147, 3358–3369. [Google Scholar] [CrossRef]
- Di Plinio, S.; Perrucci, M.G.; Ferrara, G.; Sergi, M.R.; Tommasi, M.; Martino, M.; Saggino, A.; Ebisch, S.J. Intrinsic Brain Mapping of Cognitive Abilities: A Multiple-Dataset Study on Intelligence and Its Components. Neuroimage 2025, 309, 121094. [Google Scholar] [CrossRef]
- Pekna, M.; Pekny, M.; Nilsson, M. Modulation of Neural Plasticity as a Basis for Stroke Rehabilitation. Stroke 2012, 43, 2819–2828. [Google Scholar] [CrossRef] [PubMed]
- Altenmüller, E.; Schlaug, G. Neurologic Music Therapy: The Beneficial Effects of Music Making on Neurorehabilitation. Acoust. Sci. Technol. 2013, 34, 5–12. [Google Scholar] [CrossRef]
- Menon, V.; Uddin, L.Q. Saliency, Switching, Attention and Control: A Network Model of Insula Function. Brain Struct. Funct. 2010, 214, 655–667. [Google Scholar] [CrossRef]
- Slade, B.; Williams, B.; Engelbrecht, R.; Ciorciari, J. Improving Executive Functioning and Reducing the Risk of Alzheimer’s Disease with Music Therapy: A Narrative Review of Potential Neural Mechanisms. J. Alzheimer’s Dis. 2025, 105, 319–330. [Google Scholar] [CrossRef] [PubMed]
- van der Vlist, B.; Bartneck, C.; Mäueler, S. moBeat: Using Interactive Music to Guide and Motivate Users during Aerobic Exercising. Appl. Psychophysiol. Biofeedback 2011, 36, 135–145. [Google Scholar] [CrossRef]
- Tripathi, M.M.; Haroon, M.; Ahmad, S.; Ahmad, J.; Tripathi, M.M.; Haroon, M.; Ahmad, S.; Ahmad, J. Automatic Music Beats According to Intensity of Exercise. Available online: https://www.igi-global.com/gateway/chapter/380135#pnlRecommendationForm (accessed on 24 January 2026).
- Tarnopolsky, L.J.; MacDougall, J.D.; Atkinson, S.A.; Tarnopolsky, M.A.; Sutton, J.R. Gender Differences in Substrate for Endurance Exercise. J. Appl. Physiol. 1990, 68, 302–308. [Google Scholar] [CrossRef] [PubMed]
- Ballmann, C.G. The Influence of Music Preference on Exercise Responses and Performance: A Review. J. Funct. Morphol. Kinesiol. 2021, 6, 33. [Google Scholar] [CrossRef]
- Rogers, R.R.; Williams, T.D.; Nester, E.B.; Owens, G.M.; Ballmann, C.G. The Influence of Music Preference on Countermovement Jump and Maximal Isometric Performance in Active Females. J. Funct. Morphol. Kinesiol. 2023, 8, 34. [Google Scholar] [CrossRef]
- Nixon, K.M.; Parker, M.G.; Elwell, C.C.; Pemberton, A.L.; Rogers, R.R.; Ballmann, C.G. Effects of Music Volume Preference on Endurance Exercise Performance. J. Funct. Morphol. Kinesiol. 2022, 7, 35. [Google Scholar] [CrossRef] [PubMed]
- Owens, B. The Effect of Self-Selected Music on Back Squat Performance. In All Graduate Plan B and other Reports, Spring 1920 to Spring 2023; Utah State University: Logan, UT, USA, 2018. [Google Scholar] [CrossRef]
- Ballmann, C.G.; Favre, M.L.; Phillips, M.T.; Rogers, R.R.; Pederson, J.A.; Williams, T.D. Effect of Pre-Exercise Music on Bench Press Power, Velocity, and Repetition Volume. Percept. Mot. Ski. 2021, 128, 1183–1196. [Google Scholar] [CrossRef] [PubMed]









| Music Condition | Exercise Termination Status | Exercise Duration (min) | |||
|---|---|---|---|---|---|
| Maximum Heart Rate (beats/min) | RPE Rating | Behavioral Performance | Pedaling Cadence (rpm) | ||
| Without Music | 182.029 ± 2.099 | 19.500 ± 0.507 | Dyspnea | <60 | 14.016 ± 2.562 |
| With Music | 181.941 ± 2.723 | 19.618 ± 0.493 | Dyspnea | <60 | 17.191 ± 5.272 *** |
| Frequency Band | Metric | Without Music | With Music | p | |||||
|---|---|---|---|---|---|---|---|---|---|
| Pre | Post | Pre | Post | Pre vs. Post | Without Music vs. With Music | ||||
| Without Music | With Music | Per | Post | ||||||
| Theta | Eglob | 0.231 ± 0.013 | 0.227 ± 0.016 | 0.241 ± 0.008 | 0.241 ± 0.009 | 0.215 | 1.000 | 0.001 | <0.001 |
| Eloc | 0.340 ± 0.012 | 0.336 ± 0.014 | 0.346 ± 0.007 | 0.343 ± 0.008 | 0.237 | 0.111 | 0.016 | 0.022 | |
| Cp | 0.287 ± 0.009 | 0.286 ± 0.012 | 0.286 ± 0.010 | 0.283 ± 0.008 | 0.889 | 0.151 | 0.892 | 0.221 | |
| Gamma | 0.815 ± 0.157 | 0.767 ± 0.142 | 0.869 ± 0.120 | 0.836 ± 0.123 | 0.194 | 0.294 | 0.113 | 0.057 | |
| Alpha | Eglob | 0.226 ± 0.014 | 0.225 ± 0.016 | 0.235 ± 0.011 | 0.234 ± 0.013 | 0.007 | 0.016 | 0.846 | 0.947 |
| ELoc | 0.337 ± 0.013 | 0.337 ± 0.014 | 0.343 ± 0.011 | 0.341 ± 0.011 | 0.374 | 0.229 | 0.044 | 0.202 | |
| Cp | 0.287 ± 0.010 | 0.288 ± 0.011 | 0.288 ± 0.010 | 0.286 ± 0.010 | 0.557 | 0.368 | 0.496 | 0.409 | |
| Gamma | 0.773 ± 0.145 | 0.785 ± 0.151 | 0.830 ± 0.156 | 0.795 ± 0.153 | 0.428 | 0.186 | 0.319 | 0.778 | |
| Beta | Eglob | 0.231 ± 0.014 | 0.226 ± 0.018 | 0.238 ± 0.010 | 0.241 ± 0.009 | 0.229 | 0.243 | 0.015 | <0.001 |
| ELoc | 0.340 ± 0.010 | 0.335 ± 0.015 | 0.344 ± 0.006 | 0.342 ± 0.007 | 0.149 | 0.431 | 0.044 | 0.021 | |
| Cp | 0.286 ± 0.010 | 0.285 ± 0.012 | 0.285 ± 0.010 | 0.282 ± 0.007 | 0.746 | 0.214 | 0.677 | 0.223 | |
| Gamma | 0.814 ± 0.160 | 0.769 ± 0.158 | 0.840 ± 0.115 | 0.811 ± 0.118 | 0.297 | 0.329 | 0.319 | 0.262 | |
| Frequency Band | Metric | Main Effect of Time | Main Effect of Condition | Interaction Effect | ||||||
|---|---|---|---|---|---|---|---|---|---|---|
| F (df) | p | η2 | F (df) | p | η2 | F (df) | p | η2 | ||
| Theta | Eglob | 1.099 (1,33) | 0.302 | 0.032 | 30.405 (1,33) | <0.001 | 0.480 | 1.364 (1,33) | 0.251 | 0.040 |
| Eloc | 2.876 (1,33) | 0.099 | 0.080 | 10.845 (1,33) | 0.002 | 0.247 | 0.156 (1,33) | 0.695 | 0.005 | |
| Cp | 0.637 (1,33) | 0.431 | 0.019 | 0.813 (1,33) | 0.374 | 0.024 | 0.880 (1,33) | 0.355 | 0.026 | |
| Gamma | 3.517 (1,33) | 0.070 | 0.096 | 7.881 (1,33) | 0.008 | 0.193 | 0.084 (1,33) | 0.774 | 0.003 | |
| Alpha | Eglob | 0.050 (1,33) | 0.825 | 0.001 | 17.775 (1,33) | <0.001 | 0.350 | 0.014 (1,33) | 0.908 | 0.000 |
| ELoc | 1.843 (1,33) | 0.184 | 0.053 | 4.841 (1,33) | 0.035 | 0.128 | 0.001 (1,33) | 0.980 | 0.000 | |
| Cp | 0.085 (1,33) | 0.773 | 0.003 | 0.009 (1,33) | 0.923 | 0.000 | 1.273 (1,33) | 0.267 | 0.037 | |
| Gamma | 1.831 (1,33) | 0.185 | 0.053 | 0.724 (1,33) | 0.401 | 0.021 | 0.141 (1,33) | 0.710 | 0.004 | |
| Beta | Eglob | 0.199 (1,33) | 0.659 | 0.006 | 24.730 (1,33) | <0.001 | 0.428 | 2.894 (1,33) | 0.098 | 0.081 |
| ELoc | 2.857 (1,33) | 0.100 | 0.080 | 11.222 (1,33) | 0.002 | 0.254 | 0.931 (1,33) | 0.342 | 0.027 | |
| Cp | 1.052 (1,33) | 0.313 | 0.031 | 1.195 (1,33) | 0.282 | 0.035 | 0.334 (1,33) | 0.567 | 0.010 | |
| Gamma | 1.977 (1,33) | 0.169 | 0.057 | 3.052 (1,33) | 0.090 | 0.085 | 0.109 (1,33) | 0.743 | 0.003 | |
Disclaimer/Publisher’s Note: The statements, opinions and data contained in all publications are solely those of the individual author(s) and contributor(s) and not of MDPI and/or the editor(s). MDPI and/or the editor(s) disclaim responsibility for any injury to people or property resulting from any ideas, methods, instructions or products referred to in the content. |
© 2026 by the authors. Licensee MDPI, Basel, Switzerland. This article is an open access article distributed under the terms and conditions of the Creative Commons Attribution (CC BY) license.
Share and Cite
Fan, J.; Li, B.; Liu, F.; Jiao, F.; Chi, A.; Yao, S. The Effect of Music Stimulation on Resting-State Brain Functional Networks Following Exhaustive Endurance Exercise: An EEG Study. Brain Sci. 2026, 16, 258. https://doi.org/10.3390/brainsci16030258
Fan J, Li B, Liu F, Jiao F, Chi A, Yao S. The Effect of Music Stimulation on Resting-State Brain Functional Networks Following Exhaustive Endurance Exercise: An EEG Study. Brain Sciences. 2026; 16(3):258. https://doi.org/10.3390/brainsci16030258
Chicago/Turabian StyleFan, Jing, Bohan Li, Fujie Liu, Fanghao Jiao, Aiping Chi, and Shuqi Yao. 2026. "The Effect of Music Stimulation on Resting-State Brain Functional Networks Following Exhaustive Endurance Exercise: An EEG Study" Brain Sciences 16, no. 3: 258. https://doi.org/10.3390/brainsci16030258
APA StyleFan, J., Li, B., Liu, F., Jiao, F., Chi, A., & Yao, S. (2026). The Effect of Music Stimulation on Resting-State Brain Functional Networks Following Exhaustive Endurance Exercise: An EEG Study. Brain Sciences, 16(3), 258. https://doi.org/10.3390/brainsci16030258

