Real-Time Neuropsychological Testing for Hydrocephalus: Ultra-Fast Neuropsychological Testing During Infusion and Tap Test in Patients with Idiopathic Normal-Pressure Hydrocephalus
Abstract
1. Introduction
2. Materials and Methods
2.1. Patients
- Subjects with iNPH eligible for the CSF Tap Test and infusion test studied by the Department of Neurosurgery according to criteria based on the iNPH guidelines [20,21]. At our neurosurgery department, the CSF Tap Test is used to identify subjects with higher chances of response to surgical treatment [22].
- Patients aged 60 to 90 years.
- Patients who gave their informed consent to participate in the study.
- Patients meeting at least one of the following criteria were excluded from the study:
- Non-native Italian speakers (language proficiency is required to perform neuropsychological tests, including language functions);
- Known acquired structural abnormalities of the central nervous system, such as outcomes of ischemic events, traumatic events, or outcomes of neurosurgical interventions;
- Known congenital structural abnormalities of the central nervous system, such as cerebral or cerebrovascular malformations;
- Known neurocognitive developmental deficits;
- Other types of hydrocephalus, i.e., triventricular, neonatal, or long-standing overt ventriculomegaly;
- Other approaches, i.e., endoscopic third ventriculostomy (ETV).
2.2. Procedure
2.2.1. Hydro-RTNT Protocol
- Backward counting test [23] requiring the patient to count backward from 20 to 1, for a total of 4 repetitions, to evaluate executive dysfunction in INPH, and forward counting from 1 to 20, for a total of 4 repetitions; in their original article [23], the authors excluded learning effects due to task repetition as the effect was not significant.
- Verbal fluency (one letter) [24] in 1 min. The patient is required to retrieve the maximum number of items following a key letter criterion. The key letter was randomized across T0, T1, and T2 presentations in order to rule out potential effects related to lexical frequency or learning.
- Naming of 5 action-related verbs [25]. The patient is presented with 5 pictures depicting an action and asked to produce the corresponding verb.
- Discrimination of 2 degraded letters [26]. The patient is presented with 2 figures representing a visually degraded letter each and is asked to detect which letter is shown. For the latter two tasks, stimuli changed every RTNT run, namely for T0, T1, and T2, so that learning effects could be avoided.
2.2.2. Infusion and Tap Tests
2.2.3. Brief Neuropsychological Assessment: Pre- and Post-Tap Test
2.2.4. Statistical Analysis
3. Results
3.1. Clinical Data
3.2. Brief Neuropsychological Assessment: Pre-CSF Tap Test
3.3. CSF Dynamics Results
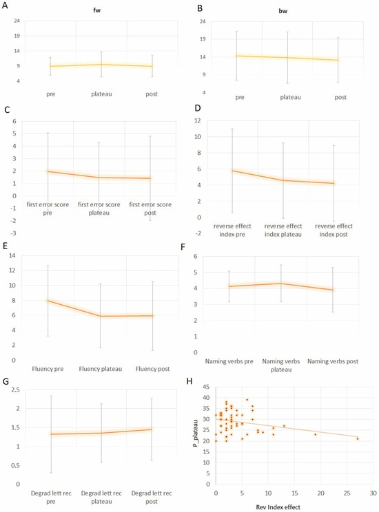
3.4. Hydro-RTNT Data
3.5. Correlation Among Clinical and Cognitive Variables
3.6. Brief Neuropsychological Assessment: Post-CSF Tap Test
4. Discussion
Limitations
5. Conclusions
Author Contributions
Funding
Institutional Review Board Statement
Informed Consent Statement
Data Availability Statement
Conflicts of Interest
References
- Hakim, S.; Adams, R.D. The special clinical problem of symptomatic hydrocephalus with normal cerebrospinal fluid pressure. Observations on cerebrospinal fluid hydrodynamics. J. Neurol. Sci. 1965, 2, 307–327. [Google Scholar] [CrossRef] [PubMed]
- Mihalj, M.; Dolić, K.; Kolić, K.; Ledenko, V. CSF tap test—Obsolete or appropriate test for predicting shunt responsiveness? A systemic review. J. Neurol. Sci. 2016, 362, 78–84. [Google Scholar] [CrossRef]
- Gavrilov, G.V.; Gaydar, B.V.; Svistov, D.V.; Korovin, A.E.; Samarcev, I.N.; Churilov, L.P.; Tovpeko, D.V. Idiopathic Normal Pressure Hydrocephalus (Hakim-Adams Syndrome): Clinical Symptoms, Diagnosis and Treatment. Psychiatr. Danub. 2019, 31 (Suppl. S5), 737–744. [Google Scholar] [PubMed]
- Cage, T.A.; Auguste, K.I.; Wrensch, M.; Wu, Y.W.; Gupta, N. Self-reported functional outcome after surgical intervention in patients with idiopathic normal pressure hydrocephalus. J. Clin. Neurosci. 2011, 18, 649–654. [Google Scholar] [CrossRef] [PubMed]
- Eide, P.K.; Sorteberg, W. Diagnostic intracranial pressure monitoring and surgical management in idiopathic normal pressure hydrocephalus: A 6-year review of 214 patients. Neurosurgery 2010, 66, 80–91. [Google Scholar] [CrossRef]
- Hashimoto, M.; Ishikawa, M.; Mori, E.; Kuwana, N.; Study of INPH on neurological improvement (SINPHONI). Diagnosis of idiopathic normal pressure hydrocephalus is supported by MRI-based scheme: A prospective cohort study. Cerebrospinal Fluid. Res. 2010, 7, 18. [Google Scholar] [CrossRef] [PubMed]
- Klinge, P.M. Idiopathic normal pressure hydrocephalus--neurosurgical management of dementia! Med. Health R. I. 2012, 95, 86–87. [Google Scholar] [PubMed]
- Lemcke, J.; Meier, U. Improved outcome in shunted iNPH with a combination of a Codman Hakim programmable valve and an Aesculap-Miethke ShuntAssistant. Cent. Eur. Neurosurg. 2010, 71, 113–116. [Google Scholar] [CrossRef][Green Version]
- Katzman, R.; Hussey, F. A simple constant-infusion manometric test for measurement of CSF absorption: I. Rationale and method. Neurology 1970, 20, 534–544. [Google Scholar] [CrossRef] [PubMed]
- Eklund, A.; Smielewski, P.; Chambers, I.; Alperin, N.; Malm, J.; Czosnyka, M.; Marmarou, A. Assessment of cerebrospinal fluid outflow resistance. Med. Biol. Eng. Comput. 2007, 45, 719–735. [Google Scholar] [CrossRef] [PubMed]
- Tans, J.T.; Poortvliet, D.C. CSF outflow resistance and pressure-volume index determined by steady-state and bolus infusions. Clin. Neurol. Neurosurg. 1985, 87, 159–165. [Google Scholar] [CrossRef] [PubMed]
- Hellström, P.; Klinge, P.; Tans, J.; Wikkelsø, C. The neuropsychology of iNPH: Findings and evaluation of tests in the European multicentre study. Clin. Neurol. Neurosurg. 2012, 114, 130–134. [Google Scholar] [CrossRef] [PubMed]
- Picascia, M.; Minafra, B.; Zangaglia, R.; Gracardi, L.; Pozzi, N.G.; Sinforiani, E.; Pacchetti, C. Spectrum of cognitive disorders in idiopathic normal pressure hydrocephalus. Funct. Neurol. 2016, 31, 143–147. [Google Scholar] [CrossRef]
- Belotti, F.; Pertichetti, M.; Muratori, A.; Migliorati, K.; Panciani, P.P.; Draghi, R.; Godano, U.; Borghesi, I.; Fontanella, M.M. Idiopathic normal pressure hydrocephalus: Postoperative patient perspective and quality of life. Acta Neurochir. 2022, 164, 2855–2866. [Google Scholar] [CrossRef]
- Wikkelsø, C.; Andersson, H.; Blomstrand, C.; Lindqvist, G. The clinical effect of lumbar puncture in normal pressure hydrocephalus. J. Neurol. Neurosurg. Psychiatry 1982, 45, 64–69. [Google Scholar] [CrossRef] [PubMed]
- Damasceno, B.P.; Carelli, E.F.; Honorato, D.C.; Facure, J.J. The predictive value of cerebrospinal fluid tap-test in normal pressure hydrocephalus. Arq. Neuropsiquiatr. 1997, 55, 179–185. [Google Scholar] [CrossRef] [PubMed]
- Hua, R.; Liu, C.; Liu, X.; Zhu, J.; Zhang, J.; Wang, L.; Shi, Z.; Li, J.; Kong, S.; Yang, C.; et al. Predictive Value of Cerebrospinal Fluid Biomarkers for Tap Test Responsiveness in Patients with Suspected Idiopathic Normal Pressure Hydrocephalus. Front. Aging Neurosci. 2021, 13, 665878. [Google Scholar] [CrossRef]
- Wesner, E.; Etzkorn, L.; Bakre, S.; Chen, J.; Davis, A.; Zhang, Y.; Yasar, S.; Rao, A.; Luciano, M.; Wang, J.; et al. The Clinical Utility of the MOCA in iNPH Assessment. Front. Neurol. 2022, 13, 887669. [Google Scholar] [CrossRef] [PubMed]
- Skrap, M.; Marin, D.; Ius, T.; Fabbro, F.; Tomasino, B. Brain mapping: A novel intraoperative neuropsychological approach. J. Neurosurg. 2016, 125, 877–887. [Google Scholar] [CrossRef]
- Relkin, N.; Marmarou, A.; Klinge, P.; Bergsneider, M.; Black, P.M. Diagnosing idiopathic normal-pressure hydrocephalus. Neurosurgery 2005, 57 (Suppl. S3), S4-v. [Google Scholar] [CrossRef]
- Nakajima, M.; Yamada, S.; Miyajima, M.; Ishii, K.; Kuriyama, N.; Kazui, H.; Kanemoto, H.; Suehiro, T.; Yoshiyama, K.; Kameda, M.; et al. Guidelines for Management of Idiopathic Normal Pressure Hydrocephalus (Third Edition): Endorsed by the Japanese Society of Normal Pressure Hydrocephalus. Neurol. Med. Chir. 2021, 61, 63–97. [Google Scholar] [CrossRef] [PubMed]
- Tuniz, F.; Vescovi, M.C.; Bagatto, D.; Drigo, D.; De Colle, M.C.; Maieron, M.; Skrap, M. The role of perfusion and diffusion MRI in the assessment of patients affected by probable idiopathic normal pressure hydrocephalus. A cohort-prospective preliminary study. Fluids Barriers CNS 2017, 14, 24. [Google Scholar] [CrossRef]
- Kanno, S.; Saito, M.; Hayashi, A.; Uchiyama, M.; Hiraoka, K.; Nishio, Y.; Hisanaga, K.; Mori, E. Counting-backward test for executive function in idiopathic normal pressure hydrocephalus. Acta Neurol. Scand. 2012, 126, 279–286. [Google Scholar] [CrossRef]
- Novelli, G.; Papagno, C.; Capitani, E.; Laiacona, M.; Vallar, G.; Cappa, S.F. Tre test clinici di ricerca e produzione lessicale. Taratura su sogetti normali [Three clinical tests to research and rate the lexical performance of normal subjects]. Arch. Psicol. Neurol. Psichiatr. 1986, 47, 477–506. [Google Scholar]
- Crepaldi, D.; Aggujaro, S.; Arduino, L.S.; Zonca, G.; Ghirardi, G.; Inzaghi, M.G.; Colombo, M.; Chierchia, G.; Luzzatti, C. Noun-verb dissociation in aphasia: The role of imageability and functional locus of the lesion. Neuropsychologia 2006, 44, 73–89. [Google Scholar] [CrossRef]
- Warrington, E.K.; James, M. The Visual Object and Space Perception Battery; Thames Valley Test Company: Bury St. Edmunds, UK, 1991. [Google Scholar]
- Belgrado, E.; Tereshko, Y.; Tuniz, F.; Lettieri, C.; Bagatto, D.; Fabbro, S.; Piccolo, D.; Gigli, G.L.; Skrap, M.; Valente, M. MDS-UDPRS-III in the diagnosis of idiopathic Normal Pressure Hydrocephalus and identification of candidates for Ventriculo-Peritoneal Shunting surgery. Results from a retrospective large cohort of patients. J. Neurol. Sci. 2023, 445, 120536. [Google Scholar] [CrossRef] [PubMed]
- Fabbro, S.; Piccolo, D.; Vescovi, M.C.; Bagatto, D.; Tereshko, Y.; Belgrado, E.; Maieron, M.; De Colle, M.C.; Skrap, M.; Tuniz, F. Resting-state functional-MRI in iNPH: Can default mode and motor networks changes improve patient selection and outcome? Preliminary report. Fluids Barriers CNS 2023, 20, 7. [Google Scholar] [CrossRef] [PubMed]
- Pigliautile, M.; Chiesi, F.; Rossetti, S.; della Staffa, M.C.; Ricci, M.; Federici, S.; Chiloiro, D.; Primi, C.; Mecocci, P. Normative data for the ACE-R in an Italian population sample. Neurol. Sci. 2015, 36, 2185–2190. [Google Scholar] [CrossRef] [PubMed]
- Gleichgerrcht, E.; Cervio, A.; Salvat, J.; Loffredo, A.R.; Vita, L.; Roca, M.; Torralva, T.; Manes, F. Executive function improvement in normal pressure hydrocephalus following shunt surgery. Behav. Neurol. 2009, 21, 181–185. [Google Scholar] [CrossRef][Green Version]
- Behrens, A.; Elgh, E.; Leijon, G.; Kristensen, B.; Eklund, A.; Malm, J. The Computerized General Neuropsychological INPH Test revealed improvement in idiopathic normal pressure hydrocephalus after shunt surgery. J. Neurosurg. 2020, 132, 733–740. [Google Scholar] [CrossRef]
- Bonney, P.A.; Briggs, R.G.; Wu, K.; Choi, W.; Khahera, A.; Ojogho, B.; Shao, X.; Zhao, Z.; Borzage, M.; Wang, D.J.J.; et al. Pathophysiological Mechanisms Underlying Idiopathic Normal Pressure Hydrocephalus: A Review of Recent Insights. Front. Aging Neurosci. 2022, 14, 866313. [Google Scholar] [CrossRef] [PubMed] [PubMed Central]
- Zhao, Z.; He, J.; Chen, Y.; Wang, Y.; Wang, C.; Tan, C.; Liao, J.; Xiao, G. The pathogenesis of idiopathic normal pressure hydrocephalus based on the understanding of AQP1 and AQP4. Front. Mol. Neurosci. 2022, 15, 952036. [Google Scholar] [CrossRef] [PubMed] [PubMed Central]



Disclaimer/Publisher’s Note: The statements, opinions and data contained in all publications are solely those of the individual author(s) and contributor(s) and not of MDPI and/or the editor(s). MDPI and/or the editor(s) disclaim responsibility for any injury to people or property resulting from any ideas, methods, instructions or products referred to in the content. |
© 2025 by the authors. Licensee MDPI, Basel, Switzerland. This article is an open access article distributed under the terms and conditions of the Creative Commons Attribution (CC BY) license (https://creativecommons.org/licenses/by/4.0/).
Share and Cite
Guarracino, I.; Fabbro, S.; Piccolo, D.; D’Agostini, S.; Skrap, M.; Belgrado, E.; Vindigni, M.; Tuniz, F.; Tomasino, B. Real-Time Neuropsychological Testing for Hydrocephalus: Ultra-Fast Neuropsychological Testing During Infusion and Tap Test in Patients with Idiopathic Normal-Pressure Hydrocephalus. Brain Sci. 2025, 15, 36. https://doi.org/10.3390/brainsci15010036
Guarracino I, Fabbro S, Piccolo D, D’Agostini S, Skrap M, Belgrado E, Vindigni M, Tuniz F, Tomasino B. Real-Time Neuropsychological Testing for Hydrocephalus: Ultra-Fast Neuropsychological Testing During Infusion and Tap Test in Patients with Idiopathic Normal-Pressure Hydrocephalus. Brain Sciences. 2025; 15(1):36. https://doi.org/10.3390/brainsci15010036
Chicago/Turabian StyleGuarracino, Ilaria, Sara Fabbro, Daniele Piccolo, Serena D’Agostini, Miran Skrap, Enrico Belgrado, Marco Vindigni, Francesco Tuniz, and Barbara Tomasino. 2025. "Real-Time Neuropsychological Testing for Hydrocephalus: Ultra-Fast Neuropsychological Testing During Infusion and Tap Test in Patients with Idiopathic Normal-Pressure Hydrocephalus" Brain Sciences 15, no. 1: 36. https://doi.org/10.3390/brainsci15010036
APA StyleGuarracino, I., Fabbro, S., Piccolo, D., D’Agostini, S., Skrap, M., Belgrado, E., Vindigni, M., Tuniz, F., & Tomasino, B. (2025). Real-Time Neuropsychological Testing for Hydrocephalus: Ultra-Fast Neuropsychological Testing During Infusion and Tap Test in Patients with Idiopathic Normal-Pressure Hydrocephalus. Brain Sciences, 15(1), 36. https://doi.org/10.3390/brainsci15010036

