Cognitive–Affective Risk Factors of Female Intimate Partner Violence Victimization: The Role of Early Maladaptive Schemas and Strategic Emotional Intelligence
Abstract
1. Introduction
2. Materials and Methods
2.1. Participants
2.2. Measures
2.3. Procedure
3. Results
3.1. Differences in Early Maladaptive Schemas between Women with and without IPV History
3.2. The Relationship between Early Maladaptive Schemas and Strategic Emotional Intelligence
3.3. Predictors of Intimate Partner Victimization
4. Discussion
Author Contributions
Funding
Institutional Review Board Statement
Informed Consent Statement
Data Availability Statement
Acknowledgments
Conflicts of Interest
References
- Council of Europe. Council of Europe Convention on Preventing and Combating Violence against Women and Domestic Violence; Council of Europe: Strasbourg, France, 2011. [Google Scholar]
- World Health Organization. World Health Organization Global and Regional Estimates of Violence against Women: Prevalence and Health Effects of Intimate Partner Violence and Non-Partner Sexual Violence; World Health Organization: Geneva, Switzerland, 2013; ISBN 978-92-4-156462-5. [Google Scholar]
- European Union Agency for Fundamental Rights. Violence against Women: An EU Wide Survey; Publications Office of the European Union: Luxembourg, 2014. [Google Scholar]
- Manoranjan, B.; Scott, T.; Szasz, O.P.; Bzovsky, S.; O’Malley, L.; Sprague, S.; Perera, G.; Bhandari, M.; Turkstra, L.S. Prevalence and Perception of Intimate Partner Violence-Related Traumatic Brain Injury. J. Head. TraumaRehabil. 2022, 37, 53–61. [Google Scholar] [CrossRef]
- Thomas, R.; Dyer, G.S.M.; Tornetta III, P.; Park, H.; Gujrathi, R.; Gosangi, B.; Lebovic, J.; Hassan, N.; Seltzer, S.E.; Rexrode, K.M.; et al. Upper Extremity Injuries in the Victims of Intimate Partner Violence. Eur. Radiol. 2021, 31, 5713–5720. [Google Scholar] [CrossRef] [PubMed]
- Wuest, J.; Ford-Gilboe, M.; Merritt-Gray, M.; Wilk, P.; Campbell, J.C.; Lent, B.; Varcoe, C.; Smye, V. Pathways of Chronic Pain in Survivors of Intimate Partner Violence. J. Womens Health 2010, 19, 1665–1674. [Google Scholar] [CrossRef] [PubMed]
- Tiwari, A.; Fong, D.Y.T.; Chan, C.-H.; Ho, P.-C. Factors Mediating the Relationship between Intimate Partner Violence and Chronic Pain in Chinese Women. J. Interpers. Violence 2013, 28, 1067–1087. [Google Scholar] [CrossRef] [PubMed]
- Cripe, S.M.; Sanchez, S.E.; Gelaye, B.; Sanchez, E.; Williams, M.A. Association Between Intimate Partner Violence, Migraine and Probable Migraine. Headache 2011, 51, 208–219. [Google Scholar] [CrossRef]
- Gelaye, B.; Do, N.; Avilla, S.; Velez, J.C.; Zhong, Q.-Y.; Sanchez, S.E.; Peterlin, B.L.; Williams, M.A. Childhood Abuse, Intimate Partner Violence and Risk of Migraine among Pregnant Women: An Epidemiologic Study. Headache 2016, 56, 976–986. [Google Scholar] [CrossRef]
- Mason, S.M.; Wright, R.J.; Hibert, E.N.; Spiegelman, D.; Jun, H.-J.; Hu, F.B.; Rich-Edwards, J.W. Intimate Partner Violence and Incidence of Type 2 Diabetes in Women. Diabetes Care 2013, 36, 1159–1165. [Google Scholar] [CrossRef]
- Seid, A.M.; Mishra, G.D.; Dobson, A.J. The Association between Childhood Sexual Abuse and Historical Intimate Partner Violence with Body Mass Index and Diabetes: Evidence from the Australian Longitudinal Study on Women’s Health. Prev. Med. 2022, 161, 107134. [Google Scholar] [CrossRef]
- Renzetti, C.M. Identified Intimate Partner Violence (IPV) as a Risk for Women in Contracting HIV/AIDS and Other Sexually Transmitted Disease. Violence Against Women 2013, 19, 811–813. [Google Scholar] [CrossRef]
- McClintock, H.F.; Dulak, S.L. Intimate Partner Violence and Sexually Transmitted Infections among Women in Sub-Saharan Africa. J. Immigr. Minor. Health 2021, 23, 191–198. [Google Scholar] [CrossRef]
- Thananowan, N.; Vongsirimas, N.; Rachapromma, P. Intimate Partner Violence and Factors Associated with Sexually Transmitted Infections among Thai Women Attending Gynecology Clinics. Int. J. STD AIDS 2021, 32, 336–343. [Google Scholar] [CrossRef] [PubMed]
- White, S.J.; Sin, J.; Sweeney, A.; Salisbury, T.; Wahlich, C.; Montesinos Guevara, C.M.; Gillard, S.; Brett, E.; Allwright, L.; Iqbal, N.; et al. Global Prevalence and Mental Health Outcomes of Intimate Partner Violence among Women: A Systematic Review and Meta-Analysis. Trauma Violence Abus. 2023, 15248380231155528. [Google Scholar] [CrossRef] [PubMed]
- Velopulos, C.G.; Carmichael, H.; Zakrison, T.L.; Crandall, M. Comparison of Male and Female Victims of Intimate Partner Homicide and Bidirectionality-an Analysis of the National Violent Death Reporting System. J. Trauma Acute Care Surg. 2019, 87, 331–336. [Google Scholar] [CrossRef] [PubMed]
- Walker-Descartes, I.; Mineo, M.; Condado, L.V.; Agrawal, N. Domestic Violence and Its Effects on Women, Children, and Families. Pediatr. Clin. N. Am. 2021, 68, 455–464. [Google Scholar] [CrossRef]
- United Nations General Assembly Declaration on the Elimination of Violence against Women. Available online: http://www.un-documents.net/a48r104.htm (accessed on 13 May 2023).
- Bhuptani, P.H.; Hunter, J.; Goodwin, C.; Millman, C.; Orchowski, L.M. Characterizing Intimate Partner Violence in the United States During the COVID-19 Pandemic: A Systematic Review. Trauma Violence Abus. 2022, 15248380221126188. [Google Scholar] [CrossRef]
- Kourti, A.; Stavridou, A.; Panagouli, E.; Psaltopoulou, T.; Spiliopoulou, C.; Tsolia, M.; Sergentanis, T.N.; Tsitsika, A. Domestic Violence During the COVID-19 Pandemic: A Systematic Review. Trauma Violence Abus. 2023, 24, 719–745. [Google Scholar] [CrossRef]
- Dutton, D.G. The Domestic Assault of Women: Psychological and Criminal Justice Perspectives, Rev. & Exp. ed.; 2nd ed.; University of British Columbia Press: Vancouver, BC, Canada, 1995; 337p, ISBN 978-0-7748-0462-2. [Google Scholar]
- Spencer, C.M.; Stith, S.M.; Cafferky, B. Risk Markers for Physical Intimate Partner Violence Victimization: A Meta-Analysis. Aggress. Violent Behav. 2019, 44, 8–17. [Google Scholar] [CrossRef]
- Alves, M.J.V.; Manita, C.; Caldas, I.M.; Fernández-Martinez, E.; Gomes da Silva, A.; Magalhães, T. Evolution and Analysis of Cultural and Cognitive Factors Related with Domestic Violence Against Women. J. Interpers. Violence 2019, 34, 621–641. [Google Scholar] [CrossRef]
- Stith, S.M.; Smith, D.B.; Penn, C.E.; Ward, D.B.; Tritt, D. Intimate Partner Physical Abuse Perpetration and Victimization Risk Factors: A Meta-Analytic Review. Aggress. Violent Behav. 2004, 10, 65–98. [Google Scholar] [CrossRef]
- Pilkington, P.D.; Noonan, C.; May, T.; Younan, R.; Holt, R.A. Early Maladaptive Schemas and Intimate Partner Violence Victimization and Perpetration: A Systematic Review and Meta-Analysis. Clin. Psychol. Psychother. 2021, 28, 1030–1042. [Google Scholar] [CrossRef]
- Li, S.; Zhao, F.; Yu, G. Childhood Maltreatment and Intimate Partner Violence Victimization: A Meta-Analysis. Child Abus. Negl. 2019, 88, 212–224. [Google Scholar] [CrossRef]
- Gibb, B.E. Childhood Maltreatment and Negative Cognitive Styles: A Quantitative and Qualitative Review. Clin. Psychol. Rev. 2002, 22, 223–246. [Google Scholar] [CrossRef]
- Atmaca, S.; Gençöz, T. Exploring Revictimization Process among Turkish Women: The Role of Early Maladaptive Schemas on the Link between Child Abuse and Partner Violence. Child Abus. Negl. 2016, 52, 85–93. [Google Scholar] [CrossRef]
- Pietri, M.; Bonnet, A. Analysis of Early Representations and Personality among Victims of Domestic Violence. Eur. Rev. Appl. Psychol. 2017, 67, 199–206. [Google Scholar] [CrossRef]
- Taskale, N.; Soygüt, G. Risk Factors for Women’s Intimate Partner Violence Victimization: An Examination from the Perspective of the Schema Therapy Model. J. Fam. Violence 2016, 32, 3–12. [Google Scholar] [CrossRef]
- Young, J.E. Cognitive Therapy for Personality Disorders: A Schema-Focused Approach, 3rd ed.; Professional Resource Press/Professional Resource Exchange: Sarasota, FL, USA, 1999; 83p, ISBN 978-1-56887-047-2. [Google Scholar]
- Young, J.E.; Klosko, J.S.; Weishaar, M.E. Schema Therapy: A Practitioner’s Guide; Guilford Press: New York, NY, USA, 2006; ISBN 978-1-59385-372-3. [Google Scholar]
- Kunst, H.; Lobbestael, J.; Candel, I.; Batink, T. Early Maladaptive Schemas and Their Relation to Personality Disorders: A Correlational Examination in a Clinical Population. Clin. Psychol. Psychother. 2020, 27, 837–846. [Google Scholar] [CrossRef] [PubMed]
- Davoodi, E.; Wen, A.; Dobson, K.S.; Noorbala, A.A.; Mohammadi, A.; Farahmand, Z. Early Maladaptive Schemas in Depression and Somatization Disorder. J. Affect. Disord. 2018, 235, 82–89. [Google Scholar] [CrossRef] [PubMed]
- Tariq, A.; Reid, C.; Chan, S.W.Y. A Meta-Analysis of the Relationship between Early Maladaptive Schemas and Depression in Adolescence and Young Adulthood. Psychol. Med. 2021, 51, 1233–1248. [Google Scholar] [CrossRef]
- Maher, A.; Cason, L.; Huckstepp, T.; Stallman, H.; Kannis-Dymand, L.; Millear, P.; Mason, J.; Wood, A.; Allen, A. Early Maladaptive Schemas in Eating Disorders: A Systematic Review. Eur. Eat. Disord. Rev. 2022, 30, 3–22. [Google Scholar] [CrossRef]
- Peeters, N.; van Passel, B.; Krans, J. The Effectiveness of Schema Therapy for Patients with Anxiety Disorders, OCD, or PTSD: A Systematic Review and Research Agenda. Br. J. Clin. Psychol. 2022, 61, 579–597. [Google Scholar] [CrossRef]
- Janovsky, T.; Rock, A.J.; Thorsteinsson, E.B.; Clark, G.I.; Murray, C.V. The Relationship between Early Maladaptive Schemas and Interpersonal Problems: A Meta-Analytic Review. Clin. Psychol. Psychother. 2020, 27, 408–447. [Google Scholar] [CrossRef] [PubMed]
- Taylor, C.D.J.; Bee, P.; Haddock, G. Does Schema Therapy Change Schemas and Symptoms? A Systematic Review across Mental Health Disorders. Psychol. Psychother. 2017, 90, 456–479. [Google Scholar] [CrossRef] [PubMed]
- Seow, T.X.F.; Rouault, M.; Gillan, C.M.; Fleming, S.M. How Local and Global Metacognition Shape Mental Health. Biol. Psychiatry 2021, 90, 436–446. [Google Scholar] [CrossRef]
- Nordahl, H.; Hjemdal, O.; Wells, A. Metacognitive Beliefs Uniquely Contribute to Interpersonal Problems: A Test Controlling for Adult Attachment, Big-5 Personality Traits, Anxiety, and Depression. Front. Psychol. 2021, 12, 694565. [Google Scholar] [CrossRef]
- Mayer, J.D.; Salovey, P.; Caruso, D.R. Emotional Intelligence: Theory, Findings, and Implications. Psychol. Inq. 2004, 15, 197–215. [Google Scholar] [CrossRef]
- Ke, T.; Barlas, J. Thinking about Feeling: Using Trait Emotional Intelligence in Understanding the Associations between Early Maladaptive Schemas and Coping Styles. Psychol. Psychother. 2020, 93, 1–20. [Google Scholar] [CrossRef] [PubMed]
- Oettingen, J.; Chodkiewicz, J.; Mącik, D.; Gruszczyńska, E. Polska Adaptacjai Walidacja Krótkiej Wersji Kwestionariusza Schematów Younga (YSQ-S3-PL). Psychiatr. Pol. 2018, 52, 707–718. [Google Scholar] [CrossRef]
- Matczak, A.; Piekarska, J. Test Rozumienia Emocji; Pracownia Testów Psychologicznych Polskiego Towarzystwa Psychologicznego: Warszawa, Poland, 2011. [Google Scholar]
- Gay, L.E.; Harding, H.G.; Jackson, J.L.; Burns, E.E.; Baker, B.D. Attachment Style and Early Maladaptive Schemas as Mediators of the Relationship between Childhood Emotional Abuse and Intimate Partner Violence. J. Aggress. Maltreatment Trauma 2013, 22, 408–424. [Google Scholar] [CrossRef]
- Calvete, E.; Gámez-Guadix, M.; Fernández-Gonzalez, L.; Orue, I.; Borrajo, E. Maladaptive Schemas as Mediators of the Relationship between Previous Victimizations in the Family and Dating Violence Victimization in Adolescents. Child Abus. Negl. 2018, 81, 161–169. [Google Scholar] [CrossRef]
- Shorey, R.C.; Elmquist, J.; Anderson, S.; Stuart, G.L. Early Maladaptive Schemas and Aggression in Men Seeking Residential Substance Use Treatment. Pers. Individ. Differ. 2015, 83, 6–12. [Google Scholar] [CrossRef]
- Shorey, R.C.; Strauss, C.; Zapor, H.; Stuart, G.L. Dating Violence Perpetration: Associations with Early Maladaptive Schemas. Violence Vict. 2017, 32, 714–727. [Google Scholar] [CrossRef] [PubMed]
- Alaftar, İ.; Uzer, T. Understanding Intergenerational Transmission of Early Maladaptive Schemas from a Memory Perspective: Moderating Role of Overgeneral Memory on Adverse Experiences. Child Abus. Negl. 2022, 127, 105539. [Google Scholar] [CrossRef]
- Priyam, P.; Nath, S. A Cross-Sectional Study on the Effect of Adverse Childhood Events and Perception Toward Parents on Emotional Intelligence. Prim. Care Companion CNS Disord. 2021, 23, 37449. [Google Scholar] [CrossRef] [PubMed]
- Nordahl, H.M.; Holthe, H.; Haugum, J.A. Early Maladaptive Schemas in Patients with or without Personality Disorders: Does Schema Modification Predict Symptomatic Relief? Clin. Psychol. Psychother. 2005, 12, 142–149. [Google Scholar] [CrossRef]


| Variables | IPV * Group | Non-IPV * Group | ||
|---|---|---|---|---|
| n | % | n | % | |
| Age M ± SD | 32.91 ± 7.79 | 34.27 ± 2.90 | ||
| Range | 20–55 | 28–42 | ||
| Education | ||||
| Primary | 18 | 37.5 | - | - |
| Vocational | 6 | 12.5 | - | - |
| Secondary | 13 | 27.08 | 6 | 12.5 |
| Higher | 11 | 22.92 | 42 | 87.5 |
| Marital status | ||||
| Marriage | 17 | 35.42 | 39 | 81.25 |
| Informal relationship | 9 | 18.75 | 7 | 14.58 |
| Divorced | 5 | 10.42 | 2 | 4.17 |
| No relationship | 17 | 35.42 | - | - |
| Place of residence | ||||
| Countryside | 2 | 4.17 | 14 | 29.17 |
| City up to 50,000 residents | 4 | 8.33 | 4 | 8.33 |
| City 50,000–100,000 residents | 11 | 22.92 | 3 | 6.25 |
| City over 100,000 residents | 31 | 64.58 | 27 | 56.25 |
| Children | ||||
| 1 | 18 | 37.5 | 27 | 56.25 |
| 2 | 16 | 33.33 | 20 | 41.67 |
| 3 | 14 | 29.17 | 1 | 2.08 |
| Childhood victimization | 28 | 58.33 | 1 | 2.08 |
| Witnessing violence in childhood | 41 | 85.42 | 5 | 10.42 |
| Psychiatric diagnosis | 23 | 47.92 | 9 | 18.75 |
| Measures | IPV Group | Non-IPV Group | U | Z | p | ||||
|---|---|---|---|---|---|---|---|---|---|
| Mean | St.Dev | Rank Sum | Mean | St.Dev | Rank Sum | ||||
| YSQ-SF3 * | |||||||||
| Emotional deprivation | 17.69 | 6.42 | 3200.5 | 8.83 | 4.37 | 1455.5 | 279.5 | −6.389 | 0.000 |
| Abandonment | 18.25 | 6.55 | 2913.0 | 12.67 | 4.76 | 1743.0 | 567.0 | −4.283 | 0.000 |
| Mistrust/Abuse | 19.06 | 5.70 | 3118.5 | 10.98 | 5.24 | 1537.5 | 361.5 | −5.789 | 0.000 |
| Social isolation/ Alienation | 15.50 | 6.20 | 2857.5 | 10.67 | 5.60 | 1798.5 | 622.5 | −3.877 | 0.000 |
| Defectiveness/ Shame | 12.98 | 6.63 | 2984.5 | 7.50 | 4.00 | 1671.5 | 495.5 | −4.807 | 0.000 |
| Failure to achieve | 13.73 | 6.18 | 2800.5 | 9.67 | 5.52 | 1855.5 | 679.5 | −3.459 | 0.000 |
| Dependence/ Incompetence | 11.69 | 5.46 | 2771.5 | 8.15 | 3.22 | 1884.5 | 708.5 | −3.246 | 0.000 |
| Vulnerability to harm | 16.48 | 6.36 | 2975.5 | 10.23 | 4.21 | 1680.5 | 504.5 | −4.741 | 0.000 |
| Enmeshment/ Undeveloped self | 9.77 | 4.63 | 2516.0 | 8.15 | 2.92 | 2140.0 | 964.0 | −1.374 | 0.169 |
| Entitlement/Grandiosity | 13.00 | 4.01 | 2369.0 | 12.71 | 4.34 | 2287.0 | 1111.0 | −0.297 | 0.766 |
| Insufficient self-control/ Self-discipline | 14.21 | 5.76 | 2422.0 | 13.25 | 5.09 | 2234.0 | 1058.0 | −0.685 | 0.492 |
| Subjugation | 13.29 | 5.72 | 2781.0 | 9.41 | 4.56 | 1875.0 | 699.0 | −3.316 | 0.000 |
| Self-sacrifice | 21.04 | 6.23 | 2740.5 | 17.50 | 5.32 | 1915.5 | 739.5 | −3.019 | 0.003 |
| Approval-seeking/ Recognition-seeking | 13.83 | 5.26 | 2265.5 | 14.29 | 5.26 | 2390.5 | 1089.5 | −0.454 | 0.649 |
| Emotional inhibition | 14.50 | 6.43 | 2781.5 | 10.29 | 5.35 | 1874.5 | 698.5 | −3.319 | 0.001 |
| Unrelenting standards/ Hypercriticism | 17.31 | 5.40 | 2581.0 | 15.40 | 4.95 | 2075.0 | 899.0 | −1.850 | 0.064 |
| Negativity/Pessimism | 19.06 | 6.71 | 2994.0 | 12.02 | 5.23 | 1662.0 | 486.0 | −4.877 | 0.000 |
| Punitiveness | 14.85 | 5.34 | 2884.0 | 10.50 | 3.92 | 1772.0 | 596.0 | −4.071 | 0.000 |
| YSQ-SF3 * | IPV Group | Non-IPV Group | U | Z | p |
|---|---|---|---|---|---|
| Schema Domain | Rank Sum | Rank Sum | |||
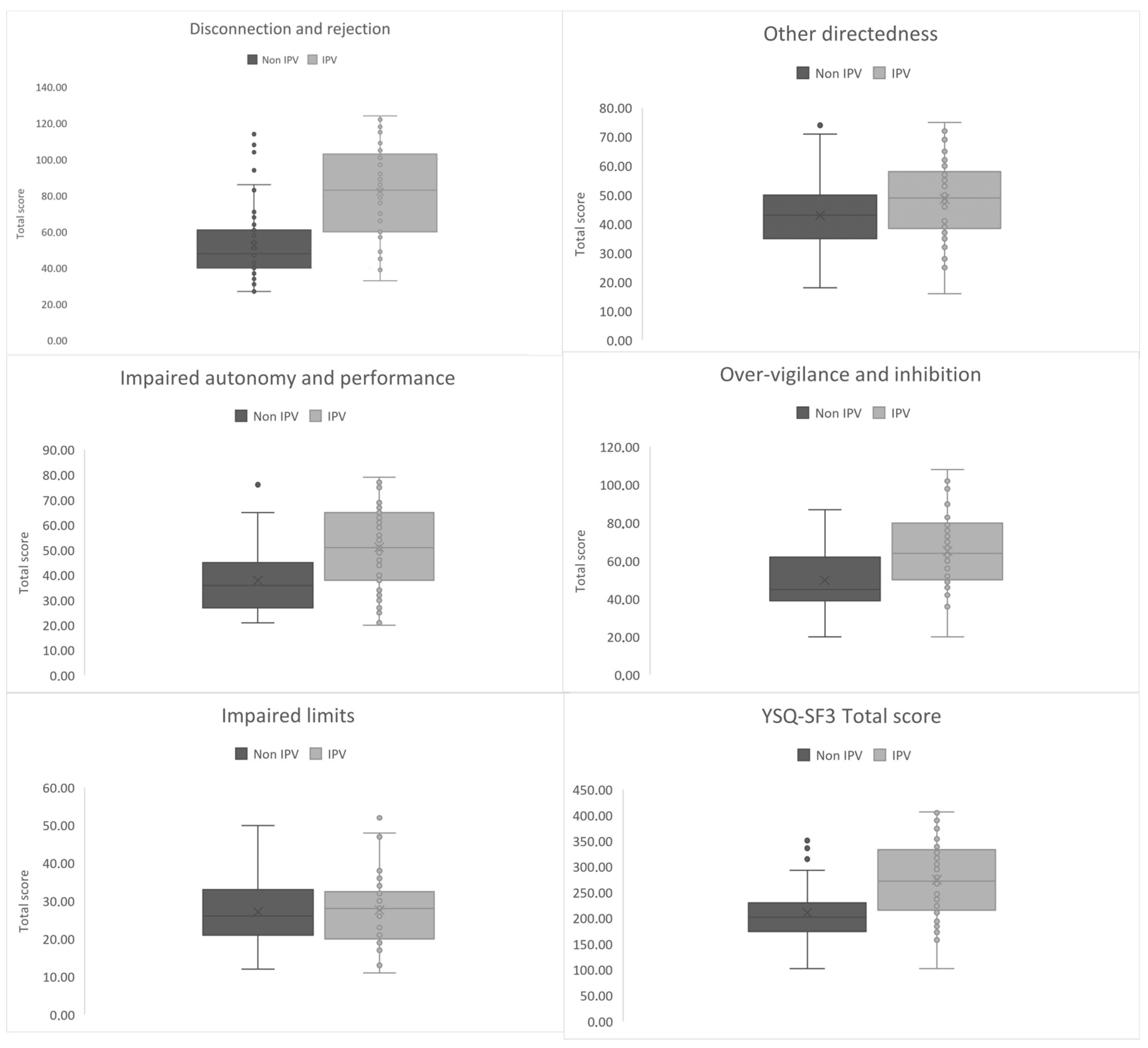
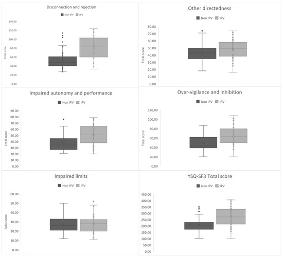
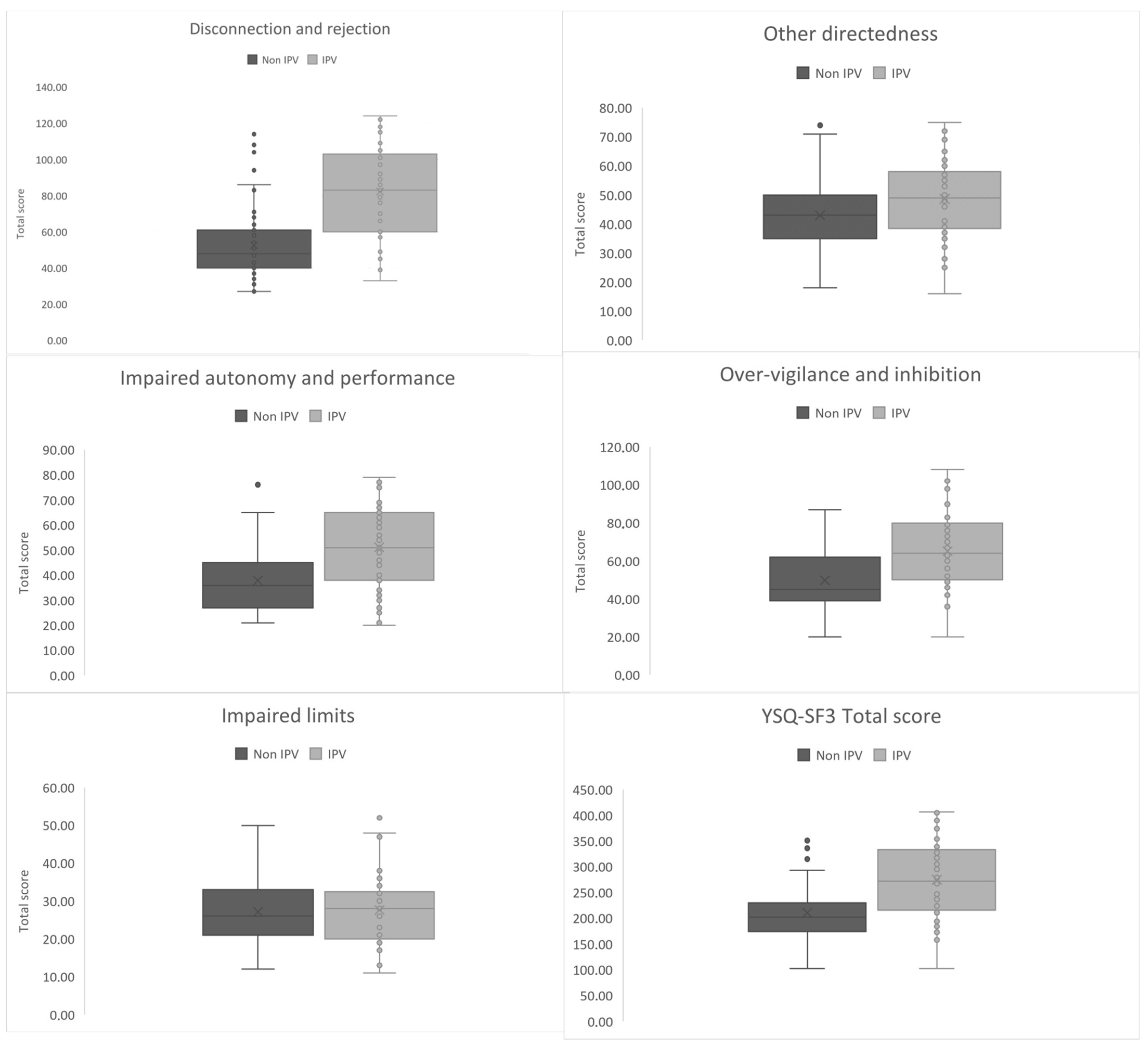
| Disconnection and rejection | 3572.5 | 1887.5 | 456.5 | −5.82 | 0.000 |
| Impaired autonomy and performance | 3340.5 | 2119.5 | 688.5 | −4.31 | 0.000 |
| Impaired limits | 2765.5 | 2694.5 | 1263.5 | −0.57 | 0.569 |
| Other directedness | 3088.5 | 2371.5 | 940.5 | −2.67 | 0.007 |
| Over-vigilance and inhibition | 3387.0 | 2073.0 | 642.0 | −4.61 | 0.000 |
| Variable | 1 | 2 | 3 | 4 | 5 | 6 | 7 | 8 | 9 | 10 | 11 | 12 | 13 | 14 | 15 | 16 | 17 | 18 | 19 |
|---|---|---|---|---|---|---|---|---|---|---|---|---|---|---|---|---|---|---|---|
| 1.TRE 1 | 1.00 | ||||||||||||||||||
| 2. ED 2 | −0.29 | 1.00 | |||||||||||||||||
| 3. Ab 3 | −0.14 | 0.58 | 1.00 | ||||||||||||||||
| 4. M/A 4 | −0.28 | 0.66 | 0.69 | 1.00 | |||||||||||||||
| 5. Si/A 5 | −0.05 | 0.59 | 0.50 | 0.62 | 1.00 | ||||||||||||||
| 6. D/S 6 | −0.19 | 0.69 | 0.65 | 0.59 | 0.70 | 1.00 | |||||||||||||
| 7. FA 7 | −0.09 | 0.55 | 0.53 | 0.56 | 0.65 | 0.69 | 1.00 | ||||||||||||
| 8. D/I 8 | −0.19 | 0.54 | 0.55 | 0.54 | 0.49 | 0.59 | 0.68 | 1.00 | |||||||||||
| 9. Vh 9 | −0.29 | 0.69 | 0.63 | 0.70 | 0.55 | 0.66 | 0.55 | 0.61 | 1.00 | ||||||||||
| 10. E/Us 10 | −0.08 | 0.28 | 0.15 | 0.13 | 0.08 | 0.33 | 0.24 | 0.32 | 0.28 | 1.00 | |||||||||
| 11. Sb 11 | −0.07 | 0.60 | 0.61 | 0.54 | 0.60 | 0.69 | 0.58 | 0.66 | 0.67 | 0.33 | 1.00 | ||||||||
| 12. Ss 12 | −0.21 | 0.47 | 0.57 | 0.58 | 0.43 | 0.39 | 0.44 | 0.41 | 0.56 | 0.08 | 0.49 | 1.00 | |||||||
| 13. Ei 13 | −0.05 | 0.56 | 0.53 | 0.55 | 0.71 | 0.67 | 0.57 | 0.49 | 0.53 | 0.12 | 0.63 | 0.40 | 1.00 | ||||||
| 14. Us/H 14 | 0.00 | 0.46 | 0.38 | 0.37 | 0.43 | 0.38 | 0.50 | 0.37 | 0.41 | 0.04 | 0.48 | 0.47 | 0.42 | 1.00 | |||||
| 15. E/G 15 | −0.17 | 0.13 | 0.15 | 0.19 | 0.15 | 0.07 | 0.14 | 0.17 | 0.16 | 0.09 | 0.01 | 0.26 | 0.07 | 0.38 | 1.00 | ||||
| 16. Is/Sd 16 | −0.21 | 0.29 | 0.35 | 0.24 | 0.28 | 0.41 | 0.41 | 0.53 | 0.46 | 0.20 | 0.47 | 0.37 | 0.34 | 0.38 | 0.32 | 1.00 | |||
| 17. As/Rs 17 | −0.11 | 0.14 | 0.33 | 0.15 | 0.09 | 0.18 | 0.36 | 0.30 | 0.22 | 0.21 | 0.21 | 0.21 | 0.15 | 0.42 | 0.51 | 0.51 | 1.00 | ||
| 18. N/P 18 | −0.25 | 0.73 | 0.66 | 0.74 | 0.59 | 0.68 | 0.64 | 0.60 | 0.87 | 0.24 | 0.64 | 0.62 | 0.56 | 0.58 | 0.13 | 0.50 | 0.29 | 1.00 | |
| 19. P 19 | −0.16 | 0.55 | 0.57 | 0.57 | 0.48 | 0.53 | 0.59 | 0.46 | 0.50 | 0.15 | 0.47 | 0.53 | 0.40 | 0.55 | 0.23 | 0.36 | 0.35 | 0.63 | 1.00 |
| B | Wald | df | p | Exp(B) | 95% C.I. for EXP(B) | ||
|---|---|---|---|---|---|---|---|
| Lower | Upper | ||||||
| Age | 0.155 | 2.390 | 1 | 0.122 | 1.167 | 0.959 | 1.421 |
| Place of residence | 2.780 | 3 | 0.427 | ||||
| Place of residence (1) | −0.270 | 0.013 | 1 | 0.909 | 0.764 | 0.008 | 76.258 |
| Place of residence (2) | 2.663 | 2.405 | 1 | 0.121 | 14.336 | 0.495 | 414.969 |
| Place of residence (3) | 1.442 | 1.143 | 1 | 0.285 | 4.229 | 0.301 | 59.453 |
| Marital status | 5.930 | 2 | 0.052 | ||||
| Marital status (1) | 2.938 | 4.793 | 1 | 0.029 | 18.874 | 1.360 | 261.879 |
| Marital status (2) | 2.638 | 3.284 | 1 | 0.070 | 13.987 | 0.806 | 242.625 |
| Employment status | 8.129 | 2 | 0.017 | ||||
| Employment status (1) | 4.874 | 7.287 | 1 | 0.007 | 130.907 | 3.801 | 4508.158 |
| Employment status (2) | 2.170 | 3.662 | 1 | 0.056 | 8.760 | 0.949 | 80.866 |
| History of psychiatric diagnosis (1) | 0.852 | 0.721 | 1 | 0.396 | 2.345 | 0.328 | 16.778 |
| Disconnection and rejection * | 0.145 | 6.655 | 1 | 0.010 | 1.156 | 1.036 | 1.291 |
| Other-directedness * | −0.029 | 0.264 | 1 | 0.607 | 0.971 | 0.870 | 1.085 |
| Impaired autonomy and performance * | −0.001 | 0.000 | 1 | 0.992 | 0.999 | 0.888 | 1.125 |
| Over-vigilance and inhibition * | −0.041 | 0.423 | 1 | 0.516 | 0.960 | 0.850 | 1.085 |
| Impaired limits * | −0.194 | 4.830 | 1 | 0.028 | 0.823 | 0.692 | 0.979 |
| Constant | −9.085 | 3.614 | 1 | 0.057 | 0.000 | ||
Disclaimer/Publisher’s Note: The statements, opinions and data contained in all publications are solely those of the individual author(s) and contributor(s) and not of MDPI and/or the editor(s). MDPI and/or the editor(s) disclaim responsibility for any injury to people or property resulting from any ideas, methods, instructions or products referred to in the content. |
© 2023 by the authors. Licensee MDPI, Basel, Switzerland. This article is an open access article distributed under the terms and conditions of the Creative Commons Attribution (CC BY) license (https://creativecommons.org/licenses/by/4.0/).
Share and Cite
Sójta, K.; Margulska, A.; Jóźwiak-Majchrzak, W.; Grażka, A.; Grzelczak, K.; Strzelecki, D. Cognitive–Affective Risk Factors of Female Intimate Partner Violence Victimization: The Role of Early Maladaptive Schemas and Strategic Emotional Intelligence. Brain Sci. 2023, 13, 1118. https://doi.org/10.3390/brainsci13071118
Sójta K, Margulska A, Jóźwiak-Majchrzak W, Grażka A, Grzelczak K, Strzelecki D. Cognitive–Affective Risk Factors of Female Intimate Partner Violence Victimization: The Role of Early Maladaptive Schemas and Strategic Emotional Intelligence. Brain Sciences. 2023; 13(7):1118. https://doi.org/10.3390/brainsci13071118
Chicago/Turabian StyleSójta, Klaudia, Aleksandra Margulska, Wioletta Jóźwiak-Majchrzak, Anna Grażka, Karolina Grzelczak, and Dominik Strzelecki. 2023. "Cognitive–Affective Risk Factors of Female Intimate Partner Violence Victimization: The Role of Early Maladaptive Schemas and Strategic Emotional Intelligence" Brain Sciences 13, no. 7: 1118. https://doi.org/10.3390/brainsci13071118
APA StyleSójta, K., Margulska, A., Jóźwiak-Majchrzak, W., Grażka, A., Grzelczak, K., & Strzelecki, D. (2023). Cognitive–Affective Risk Factors of Female Intimate Partner Violence Victimization: The Role of Early Maladaptive Schemas and Strategic Emotional Intelligence. Brain Sciences, 13(7), 1118. https://doi.org/10.3390/brainsci13071118

