Lurasidone Augmentation of Clozapine in Schizophrenia—Retrospective Chart Review
Abstract
1. Introduction
2. Materials and Methods
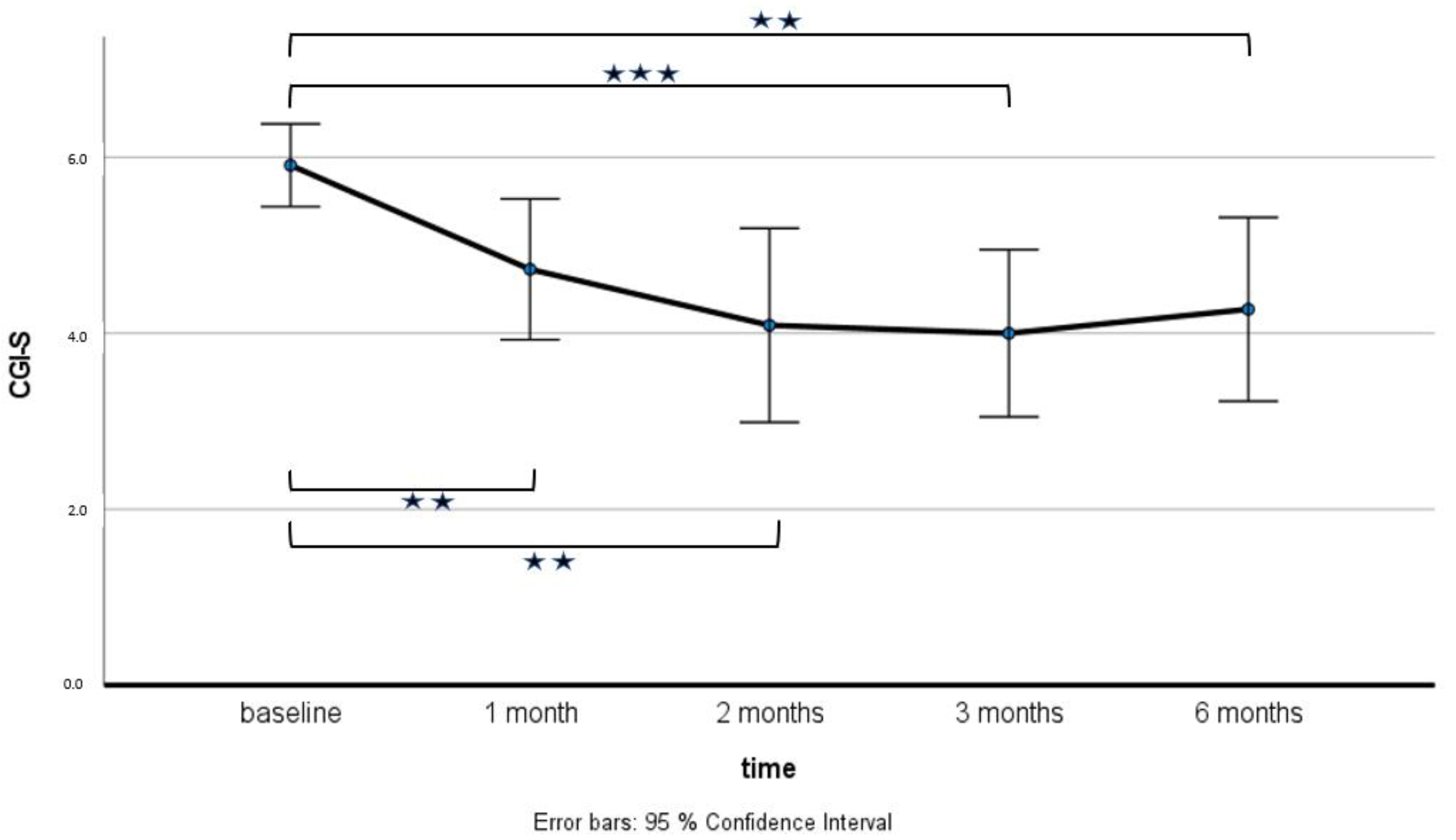
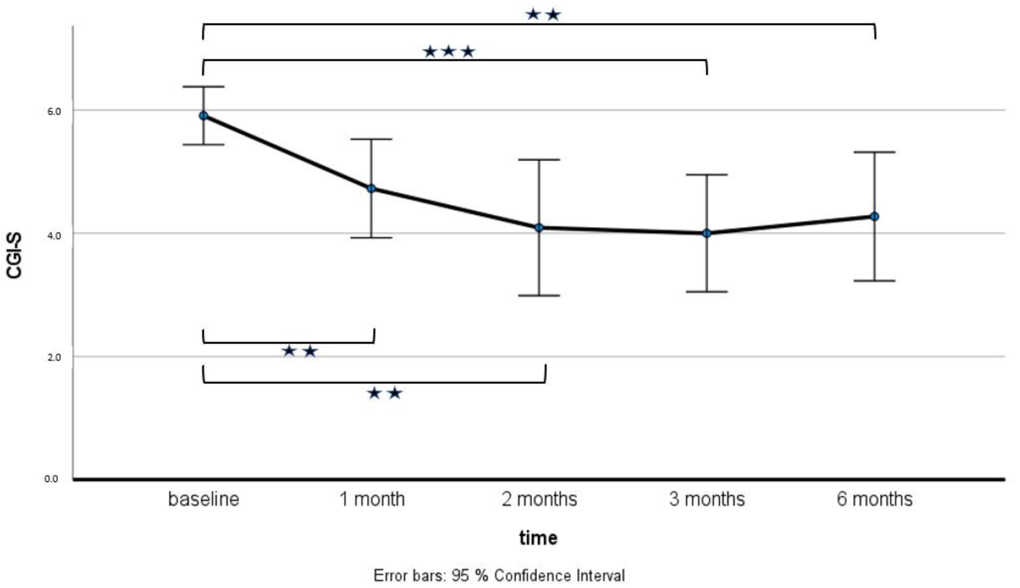
3. Results
4. Discussion
5. Conclusions
Supplementary Materials
Author Contributions
Funding
Institutional Review Board Statement
Informed Consent Statement
Data Availability Statement
Conflicts of Interest
References
- Suttajit, S.; Arunpongpaisal, S.; Srisurapanont, M.; Thavichachart, N.; Kongsakon, R.; Chantakarn, S.; Chantarasak, V.; Jariyavilas, A.; Jaroensook, P.; Kittiwattanagul, K.; et al. Psychosocial Functioning in Schizophrenia: Are Some Symptoms or Demographic Characteristics Predictors across the Functioning Domains? Neuropsychiatr. Dis. Treat. 2015, 11, 2471–2477. [Google Scholar] [CrossRef]
- Correll, C.U.; Howes, O.D. Treatment-Resistant Schizophrenia: Definition, Predictors, and Therapy Options. J. Clin. Psychiatry 2021, 82, MY20096AH1C. [Google Scholar] [CrossRef] [PubMed]
- Nucifora, F.C.; Woznica, E.; Lee, B.J.; Cascella, N.; Sawa, A. Treatment Resistant Schizophrenia: Clinical, Biological, and Therapeutic Perspectives. Neurobiol. Dis. 2019, 131, 104257. [Google Scholar] [CrossRef]
- Siskind, D.; McCartney, L.; Goldschlager, R.; Kisely, S. Clozapine v. First- and Second-Generation Antipsychotics in Treatment-Refractory Schizophrenia: Systematic Review and Meta-Analysis. Br. J. Psychiatry 2016, 209, 385–392. [Google Scholar] [CrossRef] [PubMed]
- Kane, J.; Honigfeld, G.; Singer, J.; Meltzer, H. Clozapine for the Treatment-Resistant Schizophrenic. A Double-Blind Comparison with Chlorpromazine. Arch. Gen. Psychiatry 1988, 45, 789–796. [Google Scholar] [CrossRef]
- Chakos, M.; Lieberman, J.; Hoffman, E.; Bradford, D.; Sheitman, B. Effectiveness of Second-Generation Antipsychotics in Patients with Treatment-Resistant Schizophrenia: A Review and Meta-Analysis of Randomized Trials. Am. J. Psychiatry 2001, 158, 518–526. [Google Scholar] [CrossRef] [PubMed]
- Rajkumar, A.P.; Poonkuzhali, B.; Kuruvilla, A.; Jacob, M.; Jacob, K.S. Clinical Predictors of Serum Clozapine Levels in Patients with Treatment-Resistant Schizophrenia. Int. Clin. Psychopharmacol. 2013, 28, 50–56. [Google Scholar] [CrossRef]
- McCutcheon, R.; Beck, K.; Bloomfield, M.A.P.; Marques, T.R.; Rogdaki, M.; Howes, O.D. Treatment Resistant or Resistant to Treatment? Antipsychotic Plasma Levels in Patients with Poorly Controlled Psychotic Symptoms. J. Psychopharmacol. 2015, 29, 892–897. [Google Scholar] [CrossRef]
- Sagud, M. Treatment-Resistant Schizophrenia: Challenges and Implications for Clinical Practice. Psychiatr. Danub. 2015, 27, 319–326. [Google Scholar] [PubMed]
- Chakrabarti, S. Clozapine Resistant Schizophrenia: Newer Avenues of Management. World J. Psychiatry 2021, 11, 429–448. [Google Scholar] [CrossRef]
- Wagner, E.; Löhrs, L.; Siskind, D.; Honer, W.G.; Falkai, P.; Hasan, A. Clozapine Augmentation Strategies—A Systematic Meta-Review of Available Evidence. Treatment Options for Clozapine Resistance. J. Psychopharmacol. 2019, 33, 423–435. [Google Scholar] [CrossRef]
- Yeh, T.C.; Correll, C.U.; Yang, F.C.; Chen, M.H.; Tseng, P.T.; Hsu, C.W.; Carvalho, A.F.; Stubbs, B.; Thompson, T.; Chu, C.S.; et al. Pharmacological and Nonpharmacological Augmentation Treatments for Clozapine-Resistant Schizophrenia: A Systematic Review and Network Meta-Analysis with Normalized Entropy Assessment. Asian J. Psychiatr. 2023, 79, 103375. [Google Scholar] [CrossRef] [PubMed]
- Weise, J.; Schomerus, G.; Speerforck, S. Add-on Cariprazine in Patients with Long-Term Clozapine Treatment and Treatment Resistant Schizophrenia: Two Cases of Psychotic Deterioration and Pisa Syndrome. Clin. Psychopharmacol. Neurosci. 2022, 20, 398–401. [Google Scholar] [CrossRef] [PubMed]
- Oloyede, E.; Clark, I.; Mace, S.; Whiskey, E.; Taylor, D. Clozapine Augmentation with Cariprazine for Negative Symptoms: A Case Series and Literature Review. Ther. Adv. Psychopharmacol. 2022, 12, 204512532110666. [Google Scholar] [CrossRef]
- de Berardis, D.; Rapini, G.; Olivieri, L.; Giardini, A.; de Lauretis, I.; Serroni, N.; Orsolini, L.; Fornaro, M.; Iasevoli, F.; Trotta, S.; et al. Cariprazine Add-on in Inadequate Clozapine Response: A Report on Two Cases. Clin. Psychopharmacol. Neurosci. 2021, 19, 174–178. [Google Scholar] [CrossRef] [PubMed]
- Arienti, V.; Basetti, N.; Civardi, S.; Brondino, N.; Politi, P.; Olivola, M. Lurasidone Augmentation of Clozapine in Refractory Schizophrenia: A Case Report. Int. J. Clin. Stud. Med. Case Rep. 2021, 13, 002. [Google Scholar] [CrossRef]
- Siwek, M.; Krupa, A.J.; Wasik, A. Lurasidone—Pharmacodynamic and pharmacokinetic properties, clinical potential and interaction risk. Pharmacother. Psychiatry Neurol. 2020, 362, 117–134. [Google Scholar] [CrossRef]
- Ishibashi, T.; Horisawa, T.; Tokuda, K.; Ishiyama, T.; Ogasa, M.; Tagashira, R.; Matsumoto, K.; Nishikawa, H.; Ueda, Y.; Toma, S.; et al. Pharmacological Profile of Lurasidone, a Novel Antipsychotic Agent with Potent 5-Hydroxytryptamine 7 (5-HT7) and 5-HT1A Receptor Activity. J. Pharmacol. Exp. Ther. 2010, 334, 171–181. [Google Scholar] [CrossRef]
- Heebøll, S.; Kreuzfeldt, M.; Hamilton-Dutoit, S.; Kjær Poulsen, M.; Stødkilde-Jørgensen, H.; Møller, H.J.; Jessen, N.; Thorsen, K.; Kristina Hellberg, Y.; Bønløkke Pedersen, S.; et al. Placebo-Controlled, Randomised Clinical Trial: High-Dose Resveratrol Treatment for Non-Alcoholic Fatty Liver Disease. Scand. J. Gastroenterol. 2016, 51, 456–463. [Google Scholar] [CrossRef]
- Nakamura, M.; Ogasa, M.; Guarino, J.; Phillips, D.; Severs, J.; Cucchiaro, J.; Loebel, A. Lurasidone in the Treatment of Acute Schizophrenia: A Double-Blind, Placebo-Controlled Trial. J. Clin. Psychiatry 2009, 70, 829–836. [Google Scholar] [CrossRef]
- Meltzer, H.Y.; Cucchiaro, J.; Silva, R.; Ogasa, M.; Phillips, D.; Xu, J.; Kalali, A.H.; Schweizer, E.; Pikalov, A.; Loebel, A. Lurasidone in the Treatment of Schizophrenia: A Randomized, Double-Blind, Placebo- and Olanzapine-Controlled Study. Am. J. Psychiatry 2011, 168, 957–967. [Google Scholar] [CrossRef] [PubMed]
- Loebel, A.; Cucchiaro, J.; Sarma, K.; Xu, L.; Hsu, C.; Kalali, A.H.; Pikalov, A.; Potkin, S.G. Efficacy and Safety of Lurasidone 80 Mg/Day and 160 Mg/Day in the Treatment of Schizophrenia: A Randomized, Double-Blind, Placebo- and Active-Controlled Trial. Schizophr. Res. 2013, 145, 101–109. [Google Scholar] [CrossRef]
- Loebel, A.; Cucchiaro, J.; Silva, R.; Mao, Y.; Xu, J.; Pikalov, A.; Marder, S.R. Efficacy of Lurasidone across Five Symptom Dimensions of Schizophrenia: Pooled Analysis of Short-Term, Placebo-Controlled Studies. Eur. Psychiatry 2015, 30, 26–31. [Google Scholar] [CrossRef] [PubMed]
- Harvey, P.D.; Siu, C.O.; Ogasa, M.; Loebel, A. Effect of Lurasidone Dose on Cognition in Patients with Schizophrenia: Post-Hoc Analysis of a Long-Term, Double-Blind Continuation Study. Schizophr. Res. 2015, 166, 334–338. [Google Scholar] [CrossRef] [PubMed]
- Taylor, D.M.; Smith, L.; Gee, S.H.; Nielsen, J. Augmentation of Clozapine with a Second Antipsychotic—A Meta-Analysis. Acta Psychiatr. Scand. 2012, 125, 15–24. [Google Scholar] [CrossRef] [PubMed]
- Siwek, M.; Chrobak, A.A.; Gorostowicz, A.; Krupa, A.J.; Dudek, D. Withdrawal Symptoms Following Discontinuation of Vortioxetine—Retrospective Chart Review. Pharmaceuticals 2021, 14, 451. [Google Scholar] [CrossRef]
- Siwek, M.; Gorostowicz, A. Lurasidone in Therapy of Treatment-Resistant Ultra-Rapid Cycling Bipolar Disorder: Case Report. Clin. Psychopharmacol. Neurosci. 2021, 19, 568. [Google Scholar] [CrossRef]
- Caccia, S.; Pasina, L.; Nobili, A. Critical Appraisal of Lurasidone in the Management of Schizophrenia. Neuropsychiatr. Dis. Treat. 2012, 8, 155. [Google Scholar] [CrossRef]
- Lally, J.; Gaughran, F. Treatment Resistant Schizophrenia—Review and a Call to Action. Ir. J. Psychol. Med. 2019, 36, 279–291. [Google Scholar] [CrossRef]
- Miyamoto, S.; Jarskog, L.F.; Fleischhacker, W.W. Schizophrenia: When Clozapine Fails. Curr. Opin. Psychiatry 2015, 28, 243–248. [Google Scholar] [CrossRef]
- Siskind, D.; Siskind, V.; Kisely, S. Clozapine Response Rates among People with Treatment-Resistant Schizophrenia: Data from a Systematic Review and Meta-Analysis. Can. J. Psychiatry 2017, 62, 772–777. [Google Scholar] [CrossRef] [PubMed]
- Latuda® (Lurasidone HCl) Tablets; Sunovion Pharmaceuticals Inc.: Marlborough, MA, USA. 2013. Available online: Http://www.latuda.com/LatudaPrescribingInformation.Pdf (accessed on 28 January 2023).
- Meltzer, H.Y.; Share, D.B.; Jayathilake, K.; Salomon, R.M.; Lee, M.A. Lurasidone Improves Psychopathology and Cognition in Treatment-Resistant Schizophrenia. J. Clin. Psychopharmacol. 2020, 40, 240. [Google Scholar] [CrossRef] [PubMed]
- Miyauchi, M.; Neugebauer, N.M.; Meltzer, H.Y. Dopamine D4 Receptor Stimulation Contributes to Novel Object Recognition: Relevance to Cognitive Impairment in Schizophrenia. J. Psychopharmacol. 2017, 31, 442–452. [Google Scholar] [CrossRef] [PubMed]
- Mauri, M.C.; Paletta, S.; Maffini, M.; Colasanti, A.; Dragogna, F.; Di Pace, C.; Altamura, A. Clinical pharmacology of atypical antipsychotics: An update. EXCLI J. 2014, 13, 1163–1191. [Google Scholar] [PubMed]



| Case numbers | 1 | 2 | 3 | 4 | 5 | 6 | 7 | 8 | 9 | 10 | 11 | 12 | 13 | 14 | 15 | 16 |
|---|---|---|---|---|---|---|---|---|---|---|---|---|---|---|---|---|
| Age | 27 | 42 | 42 | 35 | 37 | 45 | 40 | 38 | 36 | 42 | 28 | 29 | 23 | 40 | 27 | 38 |
| Sex | M | M | F | F | M | F | M | F | F | F | M | M | M | M | M | F |
| Duration of illness | 4 | 22 | 13 | 12 | 18 | 16 | 16 | 10 | 14 | 20 | 7 | 3 | 7 | 16 | 1 | 12 |
| Number of previous ineffective pharmacotherapy trials prior to the use of clozapine +lurasidone combination | 4 | 3 | 5 | 6 | 3 | 2 | 7 | 5 | 4 | 6 | 7 | 7 | 2 | 5 | 2 | 8 |
| Dose of clozapine that was combined with lurasidone | 500 mg | 450 mg | 325 mg | 300 mg | 300 mg | 500mg | 100 mg | 50 mg | 400 mg | 425 mg | 300 mg | 500 mg | 375 mg | 100 mg | 400 mg | 200 mg |
| Antipsychotic used in combination with clozapine prior to switch to lurasidone | Initially lurasidone + olanzapine, subsequent gradual switch from olanzapine to clozapine | Amisulpride 300 mg | Amisulpride 600 mg | Haloperidol 3 mg | Risperidone 4 mg | Amisulpride 400 mg | Amisulpride 600 mg | Aripiprazole 15 mg | Aripiprazole 30 mg | Cariprazine 4,5 mg | Aripiprazole 30 mg | Amisulpride | Aripiprazole + olanzapine prior to switch to clozapine +lurasidone | Amisulpride + lurasidone (with subsequent switch from amisulpride to clozapine) | Olanzapine + lurasidone (with subsequent switch from olanzapine to clozapine) | Aripiprazole |
| Somatic comorbidities | - | - | - | Hypothyroidism | Obesity, hypercholesterolemia, hypertension, impaired glucose tolerance | - | - | Diabetes | - | - | - | - | Chronic myeloid leukemia, hypercholesterolemia, obesity | - | Hyperprolactinemia | |
| Addictions (ICD-10 code) | F17 | F10 In remission | - | - | F19 In remission | - | - | - | - | F17 | - | F17, F12 in remission | - | - | - | - |
| Other psychotropic medications used at the time of adding the antipsychotic (reason for their use) | - | Pregabalin 600 mg, vortioxetine 10mg | Lamotrigine 150 mg, vortioxetine 10mg Opipramol 150 mg | Lamotrigine 100 mg | Trazodone 100 mg | - | - | Vortioxetine 10 mg, lamotrigine 200 mg/d | - | Pregabalin 300 mg, lorazepam 2 mg, Biperiden 4 mg | Biperiden 4 mg | Biperiden 6mg (due to extrapyramidal symptoms during antipsychotic treatment), Lamotrigine 100 mg | - | - | - | Pregabalin 150 mg, sertraline 100 mg (anxiolytic treatment) |
| Nonpsychiatric medications (with daily doses) | Bisoprolol 5 mg | - | - | Levothyroxine 125 ug | Rosuvastatin 40 mg, clofibrate fenofibrate 215 mg, nebivolol 5 mg, metformin 1000 mg | Lamotrigine 175 mg | Metformin 1000 mg | Bisoprolol 5 mg | - | Propranolol 40 mg/d | - | Nilotinib 800 mg/d | - | Propranolol 30 mg/d | ||
| Initial dose of lurasidone | 37 mg | 37 mg | 37 mg | 37 mg | 37 mg | 37 mg | 37 mg | 37 mg | 37 mg | 37 mg | 37 mg | 37 mg | 37 mg | 37 mg | 37 mg | 37 mg |
| Final dose of lurasidone | 148 mg | 148 mg | 148 mg | 37 mg | 74 mg | 74 mg | 148 mg | 37 mg | 74 mg | 74 mg | 111 mg | 74 mg | 148 mg | 148 mg | 111 mg | 111 mg |
| Duration of the combined treatment (clozapine + lurasidone), in months | 14 | 14 | 38 | 8 | 12 | 18 | 6 | 4 | 4 | 2 | 2 | 4 | 9 | 17 | 3 | 12 |
| 7 | 5 | 6 | 5 | 5 | 7 | 6 | 5 | 6 | 6 | 7 | 6 | 6 | 6 | 7 | 6 | |
| 5 | 2 | 3 | 1 | 4 | 5 | 3 | 4 | 5 | 5 | 5 | 5 | 5 | 4 | 5 | 4 | |
| 2 | 1 | 1 | 2 | 3 | 2 | 1 | 1 | 2 | 2 | 2 | 3 | 2 | 2 | 2 | 2 | |
| Number of weeks until the observable therapeutic effect was achieved | 4 | 5 | 3 | 4 | 6 | 12 | 8 | 6 | 8 | 4 | 6 | 6 | 8 | 6 | 4 | 4 |
| Effects of the addition of lurasidone | Reduction in positive symptoms, remission of anxiety, mood improvement; the patient was more eager to make social contacts and decided to start treatment in a day care unit. | Remission of sexual dysfunctions (decreased libido and erectile dysfunctions); Remission of depressive and anxiety symptoms; Reduction in intensity of ideas of reference; Improved level of functioning. The patient returned to work activity. | Further gradual improvement throughout the duration of treatment; Returned to work. | Complete remission after 2 months of the combined treatment (in all symptom domains); Marked reduction in positive symptoms, greater emotional stability, decreased level of anxiety and excessive worrying, improved level of activity; Stabilization of weight; Overall improvement in functioning and social interactions. | Normalization of prolactin, glucose and HbA1 levels; Possibility of clozapine daily dose reduction from 300 to 225 mg; Weight reduction (from 145 to 134 kg for 5 weeks); After 10 months, recurrence of depressive symptoms—treated with 60 mg of duloxetine, without worsening of positive symptoms; Partial improvement in sexual functions; Weight reduction (from 144 to 121 kg). | Improved: emotional reactivity, psychomotor drive, motivation to pursue activities, spontaneity; Overall improvement in functioning and social interaction. Normalization of the prolactin level. | Significant improvement, less anxiety; the patient returned to work. | Significant mood improvement. | Improvement in mood, level of activity, intensity of hallucinations. | Improvement in affective symptoms, better modulation of affect, significant reduction in positive symptoms (delusions and hallucinations), improved level of functioning: the patient was planning to return to work, was more eager to make social contacts. | Significant reduction in positive symptoms and anxiety. The patient decided to start treatment in a day care unit. | Moderate improvement in positive symptoms and level of activity (the patient was more willing to participate in ward activities, made contacts with other patients). Due to extrapyramidal symptoms (tremor in upper limbs), lurasidone was discontinued. | Improvement in mood, reduction in positive symptoms, decreased level of anxiety, more social contacts. | Reduction in frequency and intensity of positive symptoms, improved level of social and occupational functioning | Improvement in mood, reduction in positive symptoms and anxiety, remission of suicidal thoughts and behaviors; After 3 months of treatment, the patient discontinued the medications without consulting with his doctor (the patient presented little insight into the disease and his symptoms). | Significant reduction in positive symptoms and anxiety level, improved level of functioning; Due to symptomatic hyperprolactinemia (with galactorrhea), lurasidone was discontinued and switched to aripiprazole. |
| Treatment-Resistant SZ Patients Undergoing Lurasidone Augmentation of Clozapine Treatment (n = 16) | |
|---|---|
| Age (median number of years, (25th percentile–75th percentile)) | 37.5 (28.25–41.5) |
| Sex (women/men) | 7/9 |
| Duration of SZ treatment (median number of weeks, (25th percentile–75th percentile)) | 12.5 (7–16) |
| Number of previous unsuccessful pharmacotherapies before introducing lurasidone augmentation of clozapine | 5 (3–6.75) |
| Initial lurasidone dose (mean mg, (SD)) | 37 (0) |
| Final lurasidone dose (mean mg, (SD)) | 104.1 (41) |
| Clozapine dose (mean mg, (SD)) | 326.6 (147,3) |
| CGI-S baseline (mean (SD)) | 6 (0.73) |
| CGI-S final (mean (SD)) | 4.19 (1.33) |
| CGI-I (mean (SD)) | 1.88 (0.62) |
| Duration of lurasidone augmentation of clozapine treatment (median number of weeks, (25th percentile–75th percentile)) | 8.5 (4–14) |
| Number of weeks of treatment until observable therapeutic effect (median, (25th percentile–75th percentile)) | 6 (4–6) |
| Number of patients responding to treatment (n, (%)) | 14 (87.5%) |
| Discontinuation of treatment due to the side effects (n, (%)) | 2 (12.5%) |
| Discontinuation without prior medical advice (n, (%)) | 1 (6.25%) |
| Case Number | 1 | 2 | 3 | 4 | 5 | 6 | 7 | 8 | 9 | 10 | 11 | 12 | 13 | 14 | 15 | 16 |
|---|---|---|---|---|---|---|---|---|---|---|---|---|---|---|---|---|
| Residual positive symptoms | X | X | X | X | X | X | X | X | X | X | X | X | ||||
| Exacerbation of positive symptoms | X | X | X | X | X | |||||||||||
| Negative symptoms | X | X | X | X | X | X | ||||||||||
| Depressive symptoms | X | X | X | X | X | X | X | X | ||||||||
| Anxiety | X | X | X | X | X | X | X | X | ||||||||
| Suicidal thoughts | X | X | ||||||||||||||
| Cognitive dysfunctions | X | X | X | |||||||||||||
| Sexual dysfunctions | X | X | X | |||||||||||||
| Hyperprolactinemia | X | X | X | X | ||||||||||||
| Increased appetite and body weight/obesity | X | X | X | X | ||||||||||||
| Disorders of glucose metabolism | X | X |
Disclaimer/Publisher’s Note: The statements, opinions and data contained in all publications are solely those of the individual author(s) and contributor(s) and not of MDPI and/or the editor(s). MDPI and/or the editor(s) disclaim responsibility for any injury to people or property resulting from any ideas, methods, instructions or products referred to in the content. |
© 2023 by the authors. Licensee MDPI, Basel, Switzerland. This article is an open access article distributed under the terms and conditions of the Creative Commons Attribution (CC BY) license (https://creativecommons.org/licenses/by/4.0/).
Share and Cite
Siwek, M.; Chrobak, A.A.; Gorostowicz, A.; Król, P.; Dudek, D. Lurasidone Augmentation of Clozapine in Schizophrenia—Retrospective Chart Review. Brain Sci. 2023, 13, 445. https://doi.org/10.3390/brainsci13030445
Siwek M, Chrobak AA, Gorostowicz A, Król P, Dudek D. Lurasidone Augmentation of Clozapine in Schizophrenia—Retrospective Chart Review. Brain Sciences. 2023; 13(3):445. https://doi.org/10.3390/brainsci13030445
Chicago/Turabian StyleSiwek, Marcin, Adrian Andrzej Chrobak, Aleksandra Gorostowicz, Patrycja Król, and Dominika Dudek. 2023. "Lurasidone Augmentation of Clozapine in Schizophrenia—Retrospective Chart Review" Brain Sciences 13, no. 3: 445. https://doi.org/10.3390/brainsci13030445
APA StyleSiwek, M., Chrobak, A. A., Gorostowicz, A., Król, P., & Dudek, D. (2023). Lurasidone Augmentation of Clozapine in Schizophrenia—Retrospective Chart Review. Brain Sciences, 13(3), 445. https://doi.org/10.3390/brainsci13030445

