Carob Seed Peels Effect on Cognitive Impairment and Oxidative Stress Status in Methionine-Induced Mice Models of Schizophrenia
Abstract
1. Introduction
2. Materials and Methods
2.1. Sample Preparation
2.2. Plant Material and Preparation of Extracts
2.3. Total Phenolic Content
2.4. Total Flavonoid Content
2.5. Antibacterial Activity
2.6. Antioxidant Activity by β-Carotene Bleaching Test
2.7. Behavioral Tests
2.7.1. Animals
2.7.2. Drug Administrations
2.7.3. Y-Maze Test
2.7.4. Elevated Plus Maze
2.7.5. Forced Swimming Test
2.7.6. Novel Object Recognition
2.8. Tissue Collection
2.9. Estimation of Antioxidant Enzymes
2.9.1. Determination of Superoxide Dismutase
2.9.2. Determination of Glutathione Peroxidase
2.9.3. Determination of Malondialdehyde
2.10. Statistical Analysis
3. Results
3.1. Total Phenolic and Flavonoid Contents
3.2. Antibacterial Activity
3.3. β-Carotene Assay
3.4. Y-Maze Test
3.5. Elevated Plus Maze
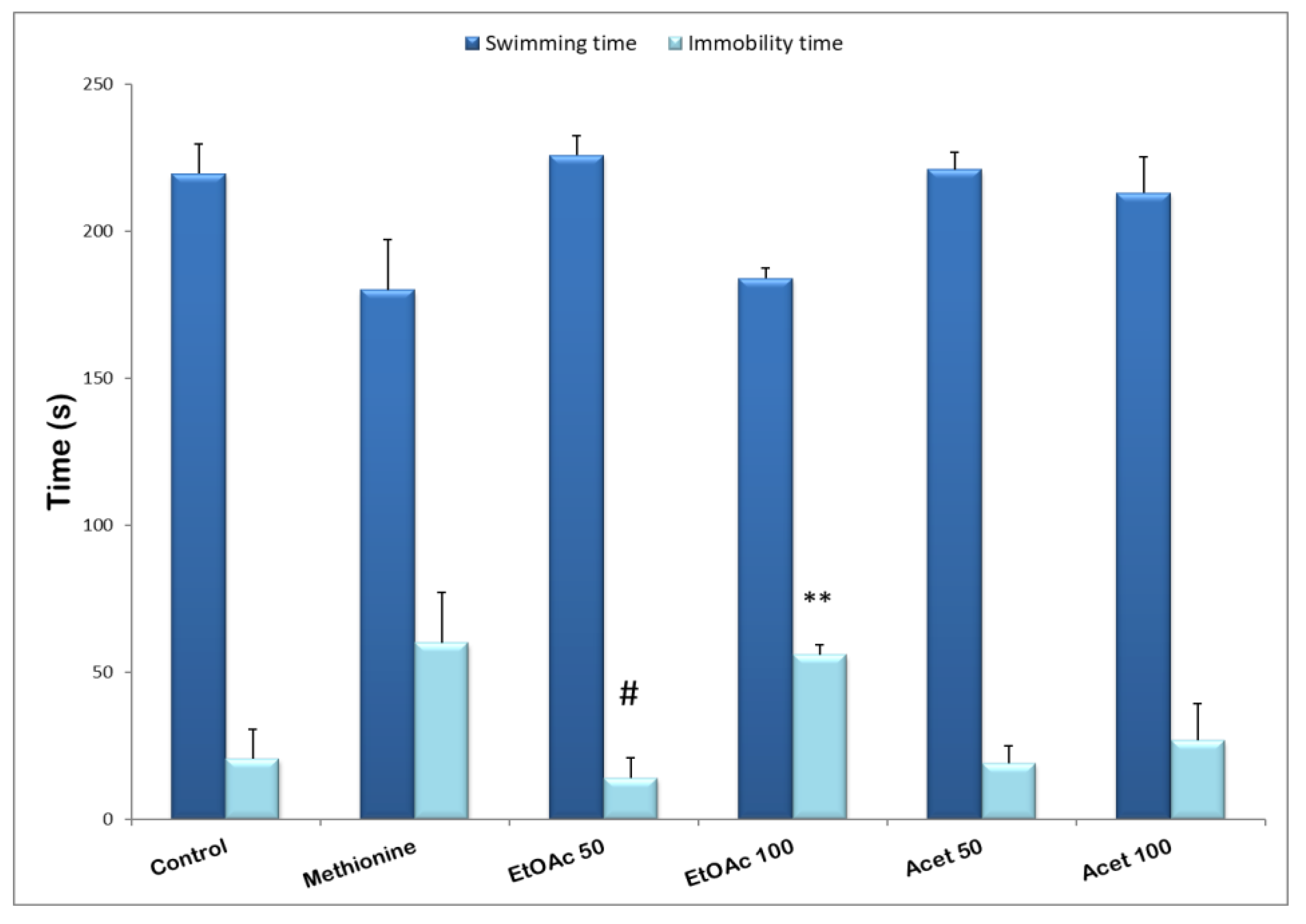
3.6. Forced Swimming Test
3.7. Novel Object Recognition
3.8. Effect of CSP Extracts on SOD Activity
3.9. Effect of CSP Extracts on GPx Activity
3.10. Determination of Malondialdehyde
4. Discussion
5. Conclusions
Author Contributions
Funding
Institutional Review Board Statement
Informed Consent Statement
Data Availability Statement
Acknowledgments
Conflicts of Interest
Abbreviations
References
- Kay, S.R.; Fiszbein, A.; Opler, L.A. The Positive and Negative Syndrome Scale (PANSS) for Schizophrenia. Schizophr. Bull. 1987, 13, 261–276. [Google Scholar] [CrossRef]
- Xiping, Z.; Shuai, Z.; Feijiang, Y.; Bo, C.; Shifeng, Y.; Qihui, C. Meta-Analysis on Correlation between Schizophrenia and Breast Cancer. Clin. Breast Cancer 2018, 19, 172–185. [Google Scholar] [CrossRef]
- Charlson, F.J.; Ferrari, A.J.; Santomauro, D.F.; Diminic, S.; Stockings, E.; Scott, G.; Mcgrath, J.J.; Whiteford, H.A. Global Epidemiology and Burden of Schizophrenia: Findings from the Global Burden of Disease Study 2016. Schizophr. Bull. 2018, 44, 1195–1203. [Google Scholar] [CrossRef]
- Halliwell, B. Antioxidant Defence Mechanisms: From the Beginning to the End (of the Beginning). Free Radic. Res. 1999, 31, 261–272. [Google Scholar] [CrossRef]
- Lobo, V.; Patil, A.; Phatak, A.; Chandra, N. Free Radicals, Antioxidants and Functional Foods: Impact on Human Health. Pharmacogn. Rev. 2010, 4, 118–126. [Google Scholar] [CrossRef]
- Dennery, P.A. Oxidative Stress in Development: Nature or Nurture? Free Radic. Biol. Med. 2010, 49, 1147–1151. [Google Scholar] [CrossRef] [PubMed]
- Lushchak, V.I. Free Radicals, Reactive Oxygen Species, Oxidative Stress and Its Classification. Chem. Biol. Interact. 2014, 224, 164–175. [Google Scholar] [CrossRef] [PubMed]
- Gama, C.S.; Salvador, M.; Andreazza, A.C.; Kapczinski, F.; Silva Belmonte-de-Abreu, P. Elevated Serum Superoxide Dismutase and Thiobarbituric Acid Reactive Substances in Schizophrenia: A Study of Patients Treated with Haloperidol or Clozapine. Prog. Neuro-Psychopharmacol. Biol. Psychiatry 2006, 30, 512–515. [Google Scholar] [CrossRef]
- Hurşitoğlu, O.; Orhan, F.Ö.; Kurutaş, E.B.; Doğaner, A.; Durmuş, H.T.; Kopar, H. Diagnostic Performance of Increased Malondialdehyde Level and Oxidative Stress in Patients with Schizophrenia. Noropsikiyatri Ars. 2021, 58, 184–188. [Google Scholar] [CrossRef]
- Wei, C.W.; Sun, Y.; Chen, N.; Chen, S.; Xiu, M.H.; Zhang, X.Y. Interaction of Oxidative Stress and BDNF on Executive Dysfunction in Patients with Chronic Schizophrenia. Psychoneuroendocrinology 2020, 111, 104473. [Google Scholar] [CrossRef] [PubMed]
- Raffa, M.; Mechri, A.; Othman, L.B.; Fendri, C.; Gaha, L.; Kerkeni, A. Decreased Glutathione Levels and Antioxidant Enzyme Activities in Untreated and Treated Schizophrenic Patients. Prog. Neuro-Psychopharmacol. Biol. Psychiatry 2009, 33, 1178–1183. [Google Scholar] [CrossRef] [PubMed]
- Zhang, X.Y.; Chen, D.C.; Tan, Y.L.; Tan, S.p.; Wang, Z.R.; Yang, F.D.; Okusaga, O.O.; Zunta-Soares, G.B.; Soares, J.C. The Interplay between BDNF and Oxidative Stress in Chronic Schizophrenia. Psychoneuroendocrinology 2015, 51, 201–208. [Google Scholar] [CrossRef]
- Zhang, X.Y.; Tan, Y.L.; Cao, L.Y.; Wu, G.Y.; Xu, Q.; Shen, Y.; Zhou, D.F. Antioxidant Enzymes and Lipid Peroxidation in Different Forms of Schizophrenia Treated with Typical and Atypical Antipsychotics. Schizophr. Res. 2006, 81, 291–300. [Google Scholar] [CrossRef] [PubMed]
- Zhang, M.; Zhao, Z.M.; He, L.; Wan, C.L. A Meta-Analysis of Oxidative Stress Markers in Schizophrenia. Sci. China Life Sci. 2010, 53, 112–124. [Google Scholar] [CrossRef] [PubMed]
- Üçok, A.; Gaebel, W. Side Effects of Atypical Antipsychotics: A Brief Overview. World Psychiatry 2008, 7, 58–62. [Google Scholar] [CrossRef] [PubMed]
- Fond, G.; Korchia, T.; Sunhary de Verville, P.L.; Godin, O.; Schürhoff, F.; Berna, F.; André, M.; Aouizerate, B.; Capdevielle, D.; Chereau, I.; et al. Major Depression, Sleep, Hostility and Body Mass Index Are Associated with Impaired Quality of Life in Schizophrenia. Results from the FACE-SZ Cohort. J. Affect. Disord. 2020, 274, 617–623. [Google Scholar] [CrossRef]
- Dakia, P.A. Carob (Ceratonia siliqua L.) Seeds, Endosperm and Germ Composition, and Application to Health; Elsevier Inc.: Amsterdam, The Netherlands, 2011; ISBN 9780123756886. [Google Scholar]
- Corsi, L.; Avallone, R.; Cosenza, F.; Farina, F.; Baraldi, C.; Baraldi, M. Antiproliferative Effects of Ceratonia siliqua L. on Mouse Hepatocellular Carcinoma Cell Line. Fitoterapia 2002, 73, 674–684. [Google Scholar] [CrossRef]
- Custódio, L.; Escapa, A.L.; Fernandes, E.; Fajardo, A.; Aligué, R.; Alberício, F.; Neng, N.; Nogueira, J.M.F.; Romano, A. Phytochemical Profile, Antioxidant and Cytotoxic Activities of the Carob Tree (Ceratonia siliqua L.) Germ Flour Extracts. Plant Foods Hum. Nutr. 2011, 66, 78–84. [Google Scholar] [CrossRef]
- Rtibi, K.; Jabri, M.A.; Selmi, S.; Souli, A.; Sebai, H.; El-Benna, J.; Amri, M.; Marzouki, L. Gastroprotective Effect of Carob (Ceratonia siliqua L.) against Ethanol-Induced Oxidative Stress in Rat. BMC Complement. Altern. Med. 2015, 15, 292. [Google Scholar] [CrossRef]
- Rtibi, K.; Selmi, S.; Grami, D.; Amri, M.; Eto, B.; El-benna, J.; Sebai, H.; Marzouki, L. Chemical Constituents and Pharmacological Actions of Carob Pods and Leaves (Ceratonia siliqua L.) on the Gastrointestinal Tract: A Review. Biomed. Pharmacother. 2017, 93, 522–528. [Google Scholar] [CrossRef]
- Alzoubi, K.H.; Alibbini, S.; Khabour, O.F.; El-elimat, T.; Al-zubi, M.; Alali, F.Q. Carob (Ceratonia siliqua L.) Prevents Short-Term Memory Deficit Induced by Chronic Stress in Rats. J. Mol. Neurosci. 2018, 66, 314–321. [Google Scholar] [CrossRef] [PubMed]
- Lakkab, I.; El, H.; Lachkar, N.; Lefter, R.; Ciobica, A.; El, B.; Lachkar, M. Ceratonia siliqua L. Seed Peels: Phytochemical Profile, Antioxidant Activity, and Effect on Mood Disorders. J. Funct. Foods 2019, 54, 457–465. [Google Scholar] [CrossRef]
- Gharnit, N.; Mtile, N.E.; Ennabili, A.; Sayah, F. Pomological Characterization of Carob Tree (Ceratonia siliqua L.) from the Province of Chefchaouen (NW of Morocco). Moroccan J. Biol. 2006, 1–11. [Google Scholar]
- Lakkab, I.; EL Hajaji, H.; Lachkar, M.; El Bali, B. Nouveau Procédé de Décorticage de La Caroube. WO 2019/059751 A1, 4 July 2019. [Google Scholar]
- Singleton, V.L.; Orthofer, R.; Lamuela-Raventos, R.M. Analysis of Total Phenols and Other Oxidation Substrates and Antioxidants by Means of Folin-Ciocalteu Reagent. Methods Enzymol. 1999, 299, 152–178. [Google Scholar]
- Kasangana, P.; Haddad, P.; Stevanovic, T. Study of Polyphenol Content and Antioxidant Capacity of Myrianthus Arboreus (Cecropiaceae) Root Bark Extracts. Antioxidants 2015, 4, 410–426. [Google Scholar] [CrossRef]
- Bouhdid, S.; Abrini, J.; Zhiri, A.; Espuny, M.J.; Manresa, A. Investigation of Functional and Morphological Changes in Pseudomonas Aeruginosa and Staphylococcus Aureus Cells Induced by Origanum Compactum Essential Oil. J. Appl. Microbiol. 2009, 106, 1558–1568. [Google Scholar] [CrossRef] [PubMed]
- Taga, M.S.; Miller, E.E.; Pratt, D.E. Chia Seeds as a Source of Natural Lipid Antioxidants. J. Am. Oil Chem. Soc. 1984, 61, 928–931. [Google Scholar] [CrossRef]
- Barros, L.; Falcão, S.; Baptista, P.; Freire, C.; Vilas-Boas, M.; Ferreira, I.C.F.R. Antioxidant Activity of Agaricus Sp. Mushrooms by Chemical, Biochemical and Electrochemical Assays. Food Chem. 2008, 111, 61–66. [Google Scholar] [CrossRef]
- Wang, L.; Alachkar, A.; Sanathara, N.; Belluzzi, J.D.; Wang, Z.; Civelli, O. A Methionine-Induced Animal Model of Schizophrenia: Face and Predictive Validity. Int. J. Neuropsychopharmacol. 2015, 18, pyv054. [Google Scholar] [CrossRef][Green Version]
- Pădurariu, M.; Balmuș, M.; Ciobîcă, A.; Lefter, R.; Cojocaru, S.; Antioch, I.; Foyet, H.; Dobrin, R.; Ababei, D.C.; Bild, V. Oxytocin Administration Improves Memory, Anxiety and Some Oxidative Stress Parameters in a Methionine-Induced Rat Model of Schizophrenia. Farmacia 2018, 66, 421–431. [Google Scholar] [CrossRef]
- Foyet, H.S.; Hritcu, L.; Ciobica, A.; Stefan, M.; Kamtchouing, P.; Cojocaru, D. Methanolic Extract of Hibiscus Asper Leaves Improves Spatial Memory Deficits in the 6-Hydroxydopamine-Lesion Rodent Model of Parkinson’s Disease. J. Ethnopharmacol. 2011, 133, 773–779. [Google Scholar] [CrossRef]
- Hritcu, L.; Clicinschi, M.; Nabeshima, T. Brain Serotonin Depletion Impairs Short-Term Memory, but Not Long-Term Memory in Rats. Physiol. Behav. 2007, 91, 652–657. [Google Scholar] [CrossRef]
- Ciobica, A.; Hritcu, L.; Artenie, V.; Stoica, B.; Bild, V. Effects of 6-OHDA Infusion into the Hypothalamic Paraventricular Nucleus in Mediating Stress-Induced Behavioral Responses and Oxidative Damage in Rats. Acta Endocrinol. (Copenh) 2009, 5, 425–436. [Google Scholar] [CrossRef]
- Komada, M.; Takao, K.; Miyakawa, T. Elevated Plus Maze for Mice. J. Vis. Exp. 2008, e1088. [Google Scholar] [CrossRef]
- Detke, M.J.; Lucki, I. Detection of Serotonergic and Noradrenergic Antidepressants in the Rat Forced Swimming Test: The Effects of Water Depth. Behav. Brain Res. 1995, 73, 43–46. [Google Scholar] [CrossRef] [PubMed]
- Petit-Demouliere, B.; Chenu, F.; Bourin, M. Forced Swimming Test in Mice: A Review of Antidepressant Activity. Psychopharmacology 2005, 177, 245–255. [Google Scholar] [CrossRef]
- Antunes, M.; Biala, G. The Novel Object Recognition Memory: Neurobiology, Test Procedure, and Its Modifications. Cogn. Process. 2012, 13, 93–110. [Google Scholar] [CrossRef] [PubMed]
- Bild, W.; Hritcu, L.; Stefanescu, C.; Ciobica, A. Inhibition of Central Angiotensin II Enhances Memory Function and Reduces Oxidative Stress Status in Rat Hippocampus. Prog. Neuro-Psychopharmacol. Biol. Psychiatry 2013, 43, 79–88. [Google Scholar] [CrossRef] [PubMed]
- Ciobica, A.; Padurariu, M.; Dobrin, I.; Stefanescu, C.; Dobrin, R. Oxidative Stress in Schizophrenia—Focusing on the Main Markers. Psychiatr. Danub. 2011, 23, 237–245. [Google Scholar]
- Bradford, M.M. A Rapid and Sensitive Method for the Quantitation Microgram Quantities of Protein Utilizing the Principle of Protein-Dye Binding. Anal. Biochem. 1976, 254, 248–254. [Google Scholar] [CrossRef]
- Burton, G.W.; Ingold, K.U. B-Carotene_ an Unusual Type of Lipid Antioxidant. Science 1983, 224, 569–573. [Google Scholar] [CrossRef] [PubMed]
- Kadri, A.; Zarai, Z.; Békir, A.; Gharsallah, N.; Damak, M. Chemical Composition and Antioxidant Activity of Marrubium Vulgare L. Essential Oil from Tunisia. Afr. J. Biotechnol. 2011, 10, 3908–3914. [Google Scholar]
- Suzek, H.; Celik, I.; Dogan, A. Nephroprotective Hepatoprotective Potential and Antioxidant Role of Carob Pods (Cerotonia siliqua L.) against Carbon Tetrachloride-Induced Toxicity in Rats. Indian J. Pharm. Educ. Res. 2017, 51, 312–320. [Google Scholar] [CrossRef]
- Ben Ayache, S.; Reis, F.S.; Inês Dias, M.; Pereira, C.; Glamočlija, J.; Soković, M.; Behija Saafi, E.; Ferreira, C.F.R.I.; Barros, L.; Achour, L. Chemical Characterization of Carob Seeds (Ceratonia siliqua L.) and Use of Different Extraction Techniques to Promote Its Bioactivity. Food Chem. 2021, 351, 129263. [Google Scholar] [CrossRef]
- Ben Hsouna, A.; Trigui, M.; Mansour, R.B.; Jarraya, R.M.; Damak, M.; Jaoua, S. Chemical Composition, Cytotoxicity Effect and Antimicrobial Activity of Ceratonia Siliqua Essential Oil with Preservative Effects against Listeria Inoculated in Minced Beef Meat. Int. J. Food Microbiol. 2011, 148, 66–72. [Google Scholar] [CrossRef] [PubMed]
- Halpin-Dohnalek, M.I.M.; Marth, E.H. Staphylococcus Aureus: Production of Extracellular Compounds and Behavior in Foods—A Review. J. Food Prot. 1989, 52, 267–282. [Google Scholar] [CrossRef]
- Brune, G.G.; Himwich, H.E. Effects of Methionine Loading on the Behavior of Schizophrenic Patients. J. Nerv. Ment. Dis. 1962, 134, 447–450. [Google Scholar] [CrossRef]
- Albayrak, Y.; Ünsal, C.; Beyazyüz, M.; Ünal, A.; Kuloǧlu, M. Reduced Total Antioxidant Level and Increased Oxidative Stress in Patients with Deficit Schizophrenia: A Preliminary Study. Prog. Neuro-Psychopharmacol. Biol. Psychiatry 2013, 45, 144–149. [Google Scholar] [CrossRef] [PubMed]
- Agrawal, A.; Mohan, M.; Kasture, S.; Foddis, C.; Frau, M.A.; Loi, M.C.; Maxia, A. Antidepressant Activity of Ceratonia siliqua L. Fruit Extract, a Source of Polyphenols. Nat. Prod. Res. 2011, 25, 450–456. [Google Scholar] [CrossRef]
- Ciobica, A.; Bild, V.; Hritcu, L.; Padurariu, M.; Bild, W. Effects of Angiotensin II Receptor Antagonists on Anxiety and Some Oxidative Stress Markers in Rat. Cent. Eur. J. Med. 2011, 6, 331–340. [Google Scholar] [CrossRef]
- Reglodi, D.; Renaud, J.; Tamas, A.; Tizabi, Y.; Socías, S.B.; Del-Bel, E.; Raisman-Vozari, R. Novel Tactics for Neuroprotection in Parkinson’s Disease: Role of Antibiotics, Polyphenols and Neuropeptides. Prog. Neurobiol. 2017, 155, 120–148. [Google Scholar] [CrossRef] [PubMed]
- Foyet, H.S.; Ngatanko Abaïssou, H.H.; Wado, E.; Asongalem Acha, E.; Alin, C. Emilia Coccinae (SIMS) G Extract Improves Memory Impairment, Cholinergic Dysfunction, and Oxidative Stress Damage in Scopolamine-Treated Rats. BMC Complement. Altern. Med. 2015, 15, 333. [Google Scholar] [CrossRef] [PubMed]
- Wang, H.; Xu, H.; Dyck, L.E.; Li, X. Olanzapine and Quetiapine Protect PC12 Induced Oxidative Stress and the Ensuing Apoptosis. J. Neurosci. Res. 2005, 81, 572–580. [Google Scholar] [CrossRef] [PubMed]
- Yao, J.K.; Reddy, R.; McElhinny, L.G.; Kammen, D.P. van Effects of Haloperidol on Antioxidant Defense System Enzymes in Schizophrenia. J. Psychiatr. Res. 1998, 32, 385–391. [Google Scholar] [CrossRef] [PubMed]
- Padurariu, M.; Ciobica, A.; Dobrin, I.; Stefanescu, C. Evaluation of Antioxidant Enzymes Activities and Lipid Peroxidation in Schizophrenic Patients Treated with Typical and Atypical Antipsychotics. Neurosci. Lett. 2010, 479, 317–320. [Google Scholar] [CrossRef] [PubMed]






| MIC (mg/mL) | MBC (mg/mL) | |||
|---|---|---|---|---|
| EtOAc | Acet | EtOAc | Acet | |
| Bacillus subtilis ILP1428B | 1.5 | 3.125 | 3 | 6.25 |
| Pseudomonas aeruginosa ATCC27653 | 6 | 6.25 | 24 | 50 |
| Escherichia coli CIP5412 | - | - | - | - |
| Staphylococcus aureus CIP543154 | 7.5 | 3.125 | 7.5 | 12.5 |
Publisher’s Note: MDPI stays neutral with regard to jurisdictional claims in published maps and institutional affiliations. |
© 2022 by the authors. Licensee MDPI, Basel, Switzerland. This article is an open access article distributed under the terms and conditions of the Creative Commons Attribution (CC BY) license (https://creativecommons.org/licenses/by/4.0/).
Share and Cite
Lakkab, I.; Ouakil, A.; El Hajaji, H.; Lachkar, N.; Lefter, R.; Ciobica, A.; El Bali, B.; Dobrin, R.; Hritcu, L.D.; Lachkar, M. Carob Seed Peels Effect on Cognitive Impairment and Oxidative Stress Status in Methionine-Induced Mice Models of Schizophrenia. Brain Sci. 2022, 12, 1660. https://doi.org/10.3390/brainsci12121660
Lakkab I, Ouakil A, El Hajaji H, Lachkar N, Lefter R, Ciobica A, El Bali B, Dobrin R, Hritcu LD, Lachkar M. Carob Seed Peels Effect on Cognitive Impairment and Oxidative Stress Status in Methionine-Induced Mice Models of Schizophrenia. Brain Sciences. 2022; 12(12):1660. https://doi.org/10.3390/brainsci12121660
Chicago/Turabian StyleLakkab, Imane, Abdelmoughite Ouakil, Hanane El Hajaji, Nadya Lachkar, Radu Lefter, Alin Ciobica, Brahim El Bali, Romeo Dobrin, Luminita Diana Hritcu, and Mohammed Lachkar. 2022. "Carob Seed Peels Effect on Cognitive Impairment and Oxidative Stress Status in Methionine-Induced Mice Models of Schizophrenia" Brain Sciences 12, no. 12: 1660. https://doi.org/10.3390/brainsci12121660
APA StyleLakkab, I., Ouakil, A., El Hajaji, H., Lachkar, N., Lefter, R., Ciobica, A., El Bali, B., Dobrin, R., Hritcu, L. D., & Lachkar, M. (2022). Carob Seed Peels Effect on Cognitive Impairment and Oxidative Stress Status in Methionine-Induced Mice Models of Schizophrenia. Brain Sciences, 12(12), 1660. https://doi.org/10.3390/brainsci12121660

