Next Article in Journal
Species of the Genus Salix L.: Biochemical Screening and Molecular Docking Approach to Potential Acetylcholinesterase Inhibitors
Next Article in Special Issue
Numerical Approach for Studying the Evolution of the Degrees of Coherence of Partially Coherent Beams Propagation through an ABCD Optical System
Previous Article in Journal
Trends and Research Issues of Augmented Reality Studies in Architectural and Civil Engineering Education—A Review of Academic Journal Publications
Previous Article in Special Issue
Nonlinearity of Microwave Electric Field Coupled Rydberg Electromagnetically Induced Transparency and Autler-Townes Splitting
 
 
Font Type:
Arial Georgia Verdana
Font Size:
Aa Aa Aa
Line Spacing:
Column Width:
Background:
Article

Statistical Patterns of Transmission Losses of Low-Frequency Sound in Shallow Sea Waveguides with Gaussian and Non-Gaussian Fluctuations

1
College of Electronic and Information Engineering, Guangdong Ocean University, Zhanjiang 524088, China
2
College of Underwater Acoustic Engineering, Harbin Engineering University, Harbin 150001, China
3
V.I. Il’ichev Pacific Oceanological Institute, Far-East Branch of Russian Academy of Sciences, Vladivostok 690068, Russia
*
Author to whom correspondence should be addressed.
Appl. Sci. 2019, 9(9), 1841; https://doi.org/10.3390/app9091841
Submission received: 11 March 2019 / Revised: 19 April 2019 / Accepted: 25 April 2019 / Published: 5 May 2019
(This article belongs to the Special Issue Recent Advances in Statistical Optics and Plasmonics)

Abstract

:

Featured Application

The results obtained in the article indicate the need to search for new approaches to the processing of information transmitted via one or another natural and artificial communication channels. The presence of fluctuations of parameters in waveguide systems leads to both improved signal propagation and rapid loss of correlations, which, depending on the situation, can be both a positive and a negative factor.

Abstract

Based on the local mode method, the problem of the average intensity (transmission loss) behavior in shallow waveguides with losses in the bottom and fluctuations of the speed of sound in water is considered. It was previously shown that the presence in a waveguide with absorbing penetrable bottom of 2D random inhomogeneities of the speed of sound leads to the appearance of strong fluctuations in the acoustic field already at relatively small distances from the sound source. One of the most important and interesting manifestations of this is the slowing down of the average intensity of the acoustic field compared with a waveguide, which has no such random inhomogeneities of the speed of sound. This paper presents the results of a numerical analysis of the decay of the average field intensity in the presence of both Gaussian and non-Gaussian fluctuations in the speed of sound. It is shown that non-Gaussian fluctuations do not fundamentally change the conclusion about reducing losses during the propagation of a sound signal but can enhance this effect.

1. Introduction

It is well known that the parameters of natural waveguides (ocean, atmosphere), as well as optical, electrodynamic, plasma, dielectric, and other waveguides, to one degree or another, are subject to random variations [1,2]. For example, during the propagation of an acoustic signal in the sea, one of the general sources of fluctuations of the main parameter, that is the speed of sound, is the passage of internal gravity waves (IGW) [3,4,5]. This circumstance is especially significant in the coastal (shelf) zones of the ocean, where a shallow water waveguide with a thermocline in the water column and a penetrable, absorbing bottom occurs for a low-frequency sound signal. As a rule, weak random perturbations of the speed of sound in such a waveguide cause a field of diffuse (background) internal waves that form on the “tails” of numerous collapses of nonlinear internal waves (solitons) when the latter passes into the shallow part of the sea shelf from the deepwater region [6]. Traditionally, on the basis of the central limit theorem, it is assumed that background internal waves lead to Gaussian perturbations of the sound speed in the sea. So, the influence of such fluctuations of the sound speed on the propagation of an acoustic signal in an oceanic waveguide has been studied for the past 40 years in numerous studies on this subject [7,8,9,10,11,12,13,14,15,16,17,18,19,20], both theoretically and experimentally. Modern ideas about the effect of random inhomogeneities of the marine environment on the sound fields are based on the results of an approximate theory described in [7,8,9], as applied to the description of weak perturbations in the sound speed in the deep ocean when the internal waves travel with a special type of spectrum (Garrett-Munk spectrum). Subsequent attempts to transfer this theory, called the diffusion approximation, to sound propagation in the shelf zones of the ocean [11,12,13,14,18,19,20,21,22,23,24,25,26] showed that the theory poorly describes the situation if there are not fluctuations that are too weak, not small losses in the medium, but actual and also at typical distances for the shallow sea, not exceeding 50–100 km. There is nothing surprising in the fact that for the conditions of sound propagation in the shallow sea, fundamentally different than in the deep ocean, it became necessary to make adjustments to the previous theory in order to find out new statistical patterns. The first steps in this direction were made in [11,21], where for weak fluctuations of the sound speed, in particular, strong fluctuations of the sound field were established at relatively small distances from the source and unusual changes were found in the law of decay of the field average intensity. We emphasize that new results are inherent in shallow water areas, where the bottom effect is significant. In the deep ocean, where acoustic waves propagate within the underwater sound channel, such patterns are not registered [9,10,15,16,17]. This paper briefly presents the previously obtained results of solving a two-dimensionally inhomogeneous statistical problem of sound propagation in a fluctuating shallow water waveguide with horizontal boundaries [21,22,23,24,25,26]. Further, on the basis of the developed approach, examples of non-Gaussian probability distributions of sound velocity fluctuations are considered, and for these cases the results of a statistical simulation of the average intensity of a low-frequency acoustic signal are presented. A comparative analysis showed that the conclusions obtained for Gaussian fluctuations of the speed of sound are also valid for the considered examples with non-Gaussian fluctuations. Moreover, non-Gaussian fluctuations may even somewhat enhance the previously established effects of attenuation of the decay of the average signal intensity in the waveguide.

2. Formulation of the Statistical Problem and Some Analytical Results

In a cylindrical coordinate system (r,z), we consider a marine waveguide with horizontal boundaries consisting of a water layer and a bottom layer of liquid sediments. Suppose that in the water column with a constant density ρ0, the average (regular) sound velocity c0(z) experiences weak two-dimensional fluctuations δc(r,z) = c(r,z) − c0(z), |δc/c0| << 1. The layer of liquid sediments is homogeneous with constant values of density, sound velocity, and absorption: ρ1, c1, β1. The random sound velocity field ε(r,z) = −2δc(r,z)/c0 is characterized by an average zero value 〈ε(r,z)〉 = 0, and is described by some anisotropic correlation function Bε(r1r2,z1z2) ≡ 〈ε(r1,z1)ε(r2,z2)〉 (hereinafter, the angle brackets mean averaging over the ensemble of realizations). This function has amplitude Bε(0,0) = σε2 (dimensionless intensity of fluctuations) and is characterized by scales of spatial correlation in the horizontal direction Lr and along the depth Lz. The specific form of the correlation function does not limit the generality of the research findings, but is usually dictated by the convenience of analytical evaluations [23,24,25].
The pressure field p(r,z) and components of velocity {u,w} of a point source with a frequency ω, located within a waveguide at r = 0, z = z0, satisfy linear equations of acoustics with random coefficients:
z p ( r , r 0 , z , z 0 ) i ω ρ ( r , z ) w ( r , r 0 , z , z 0 ) = 0 ,      r p ( r , r 0 , z , z 0 ) i ω ρ ( r , z ) u ( r , r 0 , z , z 0 ) = 0 , ρ { z w + [ r + 1 r ] u i ω p c 2 ( r , z ) } = i δ ( r r 0 ) ω r δ ( z z 0 ) .
Variations in the density of the medium ρ involved in the Equations (1) for acoustic frequencies above 1 Hz do not affect the sound propagation [4,5], therefore in underwater acoustics it is usually assumed in the water layer that ρ = ρ0, and in the bottom we will also assume ρ = ρ1.
The pressure field p(r,z) in the wave zone can be represented by decomposition into local modes of an irregular waveguide (density in the water ρ = ρ0 = 1 kg/m3):
p ( r , z ) = m G m ( r ) φ m ( r , z ) ; 2 z 2 φ m ( r , z ) + [ k 2 ( r , z ) κ m 2 ( r ) ] φ m ( r , z ) = 0
Eigenfunctions φm at the surface (z = H) and at the bottom (z = 0) of an ocean satisfy the following boundary conditions: φm(r,H) = 0, φm(r,0) + gm(r)φ′m(r,0) = 0, where gm(r) characterizes the impedance of the penetrable bottom, and the square of the wave number k2(r,z) = k02(z)[1+ε(r,z)] is a random function due to fluctuations in the speed of sound ε(r,z), k0=ω/c0(z). In [27,28,29], it was shown that in an irregular waveguide ignoring the backscattered field (that is, in the one-way propagation or forward scattering approximation), the amplitudes of modes Gm(r) satisfy the following quadrature representation:
G m ( r ) = A m ( r ) e x p { 0 r [ i κ m ( ξ ) ( 2 a m ) 1 n a n [ V m n ( ξ ) ( κ m ( ξ ) / κ n ( ξ ) ) V n m ( ξ ) ] ] d ξ }
where κm r >> 1, am = φm(0,z0)/2, Am = iam[2πiκm(r)r]−1/2, m = 1,2…. In this representation V m n ( r ) = 0 H φ m ( r , z ) ρ ( r , z ) φ n ( r , z ) r d z is the element of an skew-symmetric matrix, Vmn (r) = −Vnm (r), Vnn = 0, describing mode coupling due to horizontal variations caused by fluctuations in the speed of sound. The neglect of backscattering in the problem under consideration is justified due to the smallness of ε(r,z) [27,28]. To perform analytical estimates, we use an equation that obeys the local eigenvalues κm(r), as well as an expression for the mode coupling matrix, written via derivatives of the waveguide parameters [23,24,25,30]:
r κ m 2 ( r ) = 0 H d z φ m 2 ( r , z ) r k 2 ( r , z ) = 0 H d z φ m 2 ( r , z ) k 0 2 ( z ) r ε ( r , z ) , V m n ( r ) = [ κ n 2 ( r ) κ m 2 ( r ) ] 1 0 H d z φ m ( r , z ) φ n ( r , z ) ρ ( z ) k 0 2 ( z ) ε ( r , z ) r .
These relations follow from the original equations and they are valid in the case of horizontal changes in the medium due to fluctuations in ε(r,z). For actual observed values of ε(r,z), random variations of eigenfunctions and eigenvalues of modes are very small, so in the first order of the small perturbation method with respect to ε we can assume φm(r,z) ≈ φ0m(z), where φ 0 m ( z ) = φ 0 m ( 1 ) ( z ) + i φ 0 m ( 2 ) ( z ) is the eigenfunction of the deterministic (unperturbed) problem, when ε(r,z) = 0. In this approximation, for eigenvalues we obtain a linear functional dependence on fluctuations:
κ m 2 ( r ) κ m 2 ( 0 ) = 0 H φ 0 m 2 ( z ) k 0 2 [ ε ( r , z ) ε ( 0 , z ) ] d z .
If we assume κ m 2 ( r ) = κ 0 m 2 + δ κ m 2 ( r ) , where κ0m = κm (0), ε(0,z) = 0, then taking into account (4) δ κ m 2 ( r ) = 0 H φ 0 m 2 ( z ) k 0 2 ε ( r , z ) d z . Due to the smallness of random variations of δκm2(r) the following relations are also valid:
κ m ( r ) = κ 0 m + δ κ m ( r ) , δ κ m ( r ) = δ κ m 2 ( r ) 2 κ 0 m
Similarly, from (3) follows an approximate expression for the mode coupling matrix:
V m n ( r ) [ κ n 2 ( r ) κ m 2 ( r ) ] 1 0 H d z φ 0 m ( z ) φ 0 n ( z ) k 0 2 ( z ) ε ( r , z ) r .
For the mode amplitudes Gm(r) solution (2), taking into account (5) and (6), is written (an/am ≈ 1):
G m ( r ) A m e x p { i κ 0 m r + i ( 2 κ 0 m ) 1 0 H φ 0 m 2 ( z ) k 0 2 ( z ) d z 0 r ε ( ξ , z ) d ξ + n 1 2 κ 0 n 0 H φ 0 m ( z ) φ 0 n ( z ) k 0 2 ( z ) ε ( r , z ) ( κ 0 n κ 0 m ) d z } .
The second term in the exponent (7) contains the integral of r from the inhomogeneities and, therefore, characterizes the effect of fluctuations of the speed of sound on the acoustic field accumulating as the distance increases. In the third term related to the coupling of modes, there is no such integral. This implies that the coupling of modes is some variable-sign addition to the solution, weakly dependent on distance. This suggests that in this situation the adiabatic approximation to the solution for mode amplitudes
G m ( r ) = A m ( r ) e x p { i 0 r κ m ( ξ ) d ξ }
describes the main statistical effects, which are just accumulating with distance. Calculations in many cases confirm this conclusion. We note that in the framework of the theory of [7,8,9,13,14,15,16,17,20] instead of (1′), the solution is sought through the eigenvalues and eigenfunctions of the unperturbed waveguide for ε(r,z) = 0) κ0m, φ0m. In addition, for the mode amplitudes Gm(r) and mode coupling matrix Vmn (r) approximate equations are used:
r G m ( r ) = i κ 0 m G m ( r ) + i n = 1 N V m n ( r ) G n ( r ) , κ 0 m ( r ) = κ 0 m ( 1 ) ( r ) + i κ 0 m ( 2 ) ( r ) , V m n ( r ) = 0.5 ( κ 0 m ( 1 ) κ 0 n ( 1 ) ) 1 / 2 0 H φ 0 m ( z ) φ 0 n ( z ) k 0 2 ( z ) ε ( r , z ) d z
In the first order of the perturbation method with respect to ε, the diagonal term of the matrix V in (8) gives a solution that is close to adiabatic (the first term of the exponent in (2), based on (4), (5) κ m ( r ) = κ 0 m + δ κ m ( r ) , δ κ m ( r ) 1 2 κ 0 m 0 H φ 0 m 2 ( z ) k 0 2 ε ( r , z ) d z . However, as shown in [31], for actual parameters of a shallow sea waveguide with a not too rigid bottom, the difference between solution (8) and more accurate (2) can be significant and grows with distance.
The second statistical moment of the pressure field (average intensity), represented by incoherent and coherent sums, has the form:
I = | p | 2 = n | G n | 2 | φ n | 2 + ( n m ) G n G m ( φ n φ m ) n | G n | 2 | φ 0 n | 2 + ( n m ) G n G m ( φ 0 n φ 0 m ) .
The simplest analysis of the structure of sums in (9) shows that for small fluctuations ε(r,z), substantial changes (with respect to the deterministic problem) in both sums are possible only due to accumulating statistical effects in exponential terms GnGm(r). Due to sound absorption in marine sediments (β1) and penetration into the bottom, the horizontal wave number of modes is always complex κ m ( r ) = κ m ( 1 ) ( r ) + i κ m ( 2 ) ( r ) . We emphasize that it is precisely the sequential consideration of this circumstance, as compared with all known works, that allows analytical interpretation, and in general cases, with the help of numerical modeling, to establish new features of the behavior of average intensity and moments of higher order. It is known that the first, incoherent sum [21,22] makes the largest contribution to the mean intensity value. The oscillating coherent sum in (9), which is responsible for the intermode beats in some field realizations, after averaging, does not contribute to the solution when moving away from the source. Consider the asymptotic dependence on r of the terms of the incoherent series (9), assuming that the fluctuations ε are Gaussian. Averaging over the ensemble of realizations of the function GnGn(r), with (2′) taken into account, allows us to obtain the following expression [25]:
G n G n * A n ( r ) A n * ( r ) e x p [ 2 κ 0 n ( 2 ) r + Λ n n ( r ) / 2 ]
where notations are entered:
Λ n n ( r ) = 0 H d z 1 0 H d z 2 a n ( z 1 ) a n ( z 2 ) 0 r d ξ 1 0 r d ξ 2 B ε ( ξ 1 ξ 2 , z 1 z 2 ) , a n ( z ) = k 0 2 ( z ) | κ 0 n | 2 [ 2 φ 0 n ( 1 ) ( z ) φ 0 n ( 2 ) ( z ) κ 0 n ( 1 ) ( φ 0 n ( 1 ) ( z ) ) 2 κ 0 n ( 2 ) ] .
Let us consider two limiting cases of the horizontal scales of fluctuations: r << Lr and r >> Lr. In the first case of small distances with relatively large horizontal scales of fluctuations, it can be approximately assumed that the correlation function of ε depends only on z: Bε(r1r2,z1z2) ≈ B1(z1z2). In the second case of large distances, the correlation function Bε(r1r2,z1z2) is “sharp”, so it can be replaced with an effective Bε(r1r2,z1z2) δ(r1r2) B2(z1z2) [2,25]. Here, B1(z1z2) and B2(z1z2) are functions determined from the condition of conservation of the normalization of new effective correlation functions: B1(z1z2) = Bε(0,z1z2), and the function B2(z1z2) = CBε(0,z1z2), where the constant C is determined from the following identity: 0 r d ξ 0 H d z B ε ( ξ , z ) = 0 H d z B 2 ( z ) . Thus, replacing it in the first of formulas (11) the initial correlation function with its effective analogues, we obtain the following asymptotics:
Λ n n ( r ) = r 2 0 H d z 1 0 H d z 2 a n ( z 1 ) a n ( z 2 ) B 1 ( z 1 z 2 ) , r < < L r , Λ n n ( r ) = r 0 H d z 1 0 H d z 2 a n ( z 1 ) a n ( z 2 ) B 2 ( z 1 z 2 ) , r > > L r .
To illustrate the formulas (12), we choose the anisotropic correlation function in the form B ε ( r 1 r 2 , z 1 z 2 ) = σ ε 2 e x p ( | r 1 r 2 | L r | z 1 z 2 | L z ) . For example, a similar function was used in [14] to describe the effect of internal waves on sound propagation in the Florida Strait. In this case, one can accurately integrates over r the expression (11) for Λnn(r):
Λ n n ( r ) = 2 σ ε 2 [ r L r 2 + L r 2 e x p ( r L r ) ] 0 H d z 1 0 H d z 2 a n ( z 1 ) a n ( z 2 ) e x p ( | z 1 z 2 | L z )
Obviously, the asymptotic expressions (12) follow from the formula (13). Thus, on the basis of (12) it is clear that the function Λnn(r) changes from linear, with r/Lr >> 1, to quadratic, with r/Lr << 1. So, the curve describing the dependence of the average field intensity 〈|p|2〉 on the distance is higher than the curve |p|2, corresponding to the solution of the deterministic problem. This rise in average intensity is determined by the exponent in formula (10). At short distances from the source r Lr, this rise is faster than at long distances. Obviously, in the layered problem (Lr → ∞), the effect is observed along the entire path of sound propagation [21,22]. In this case, as shown above (estimates (12)), the asymptotics considered do not depend on the specific type of correlation function Bε(r1r2, z1z2) and, accordingly, on the form of the spectral density of inhomogeneities. Therefore, reference to the Garrett-Munk spectrum [3,4,5,6,7,8,9], adopted when studying the passage of sound through random inhomogeneities in the form of background internal waves, is not mandatory, but from an analysis point of view it is undesirable because of the complex empirical appearance of this spectrum. Unfortunately, it is possible to obtain transparent analytical expressions (10)–(13) only under the assumptions made above about the Gaussian fluctuations and the small contribution of mode coupling to the acoustic field. Thus, in the general case, numerical simulation is of particular interest.

3. Results of Numerical Simulation

Below are examples of statistical simulation for Gaussian and non-Gaussian fluctuations in the speed of sound. As a model for calculations, a shallow water three-layer waveguide with a regular thermocline and two-dimensional fluctuations of the speed of sound (Figure 1) was taken.
Fluctuations are described by the exponential correlation function Bε(r1r2, z1z2), given above. The waveguide characteristics are as follows: Depth H = 50 m, surface layer 15 m thick, where c0(z) = 〈c(z)〉 = 1525 m/s, and intensity of fluctuations 〈(δc/c0)2〉 = 10−6, bottom layer 10 m thick, where c0(z) = 1500 m/s and 〈(δc/c0)2〉 = 10−6, a layer of linear thermocline 25 m thick with 1500 m/s ≤ c0(z) ≤ 1525 m/s, and 〈(δc/c0)2〉 = 10−5. ρ1,c1, β1 were the parameters of a homogeneous liquid bottom were used different for the representativeness of the research. These hydrological conditions are typical (with the exception of constant depth) for the autumn observation period in the shelf areas of the Sea of Japan, when a pronounced thermocline region is formed in the water layer. Active hydrodynamic processes occur at these horizons, randomly disturbing the average sound velocity profile. The considered formulation of the problem corresponds to the passage of a sound signal along the propagation path of internal waves (major mode), or other hydrodynamic disturbances. For calculations, a sound frequency of 500 Hz was chosen as the reference. In this situation, 4–11 propagating (trapped) modes are formed in the waveguide, depending on the bottom penetrability, or only leaky modes are present. In the presence of a thermocline, the behavior of horizontal wave numbers κm(r) (eigenvalues of modes) on the complex plane (Rem), Imm)), is characterized by substantial non-monotonicity, unlike a homogeneous water layer (Pekeris waveguide model), for which the consistent growth of κm on the complex plane is typical. The presence of fluctuations enhances non-monotony: in many individual realizations, the modes with higher numbers (2nd–5th) can propagate even better than the 1st one. This feature leads to the rapid development of strong fluctuations of the field in the waveguide, established in [11,14,22,32], which is manifested in a significant dispersion of the levels of individual intensity realizations. Average sound field intensity 〈I〉 = 〈|p|2〉 was calculated by averaging over an ensemble of 1000–2000 random realizations. The following three examples show the effect of Gaussian fluctuations in the speed of sound. In Figure 2 there is a graph of transmission losses for a waveguide with bottom parameters c1 = 1600 m/s, (ρ10) = 2, β1 = 0.01. In such a waveguide, there are 11 propagating modes that fluctuate and couple with each other. This example is illustrative, since the model bottom chosen is sufficiently rigid, with the result that mode attenuation with a distance becomes noticeable at relatively large distances r > 10–15 km. The curves in the graphs are given starting from a distance of 200 m from the source. It is clearly seen that, compared with the deterministic model, there is a noticeable slowdown in the decay of the average intensity of the sound field with a distance.
As a result, the level of average intensity gradually rises above the level of averaged (over spatial oscillations) intensity corresponding to deterministic propagation conditions (dashed curve). Moreover, the stronger this rise is expressed, the larger the horizontal scale Lr of the correlation of inhomogeneities, in full accordance with the above analytical estimates for Gaussian fluctuations. So, for the scale Lr = 50 km, the level rise reaches 23 dB to a distance of 50 km, for the scale Lr = 1 km, the level rise at a distance of 50 km is 3−7 dB depending on the observation horizon. We emphasize that the transmission losses for the scale Lr = 50 km are presented purely for demonstration purposes, to confirm the analytical estimates. Typical horizontal scales for modes of internal wave perturbations are within the range of 1–10 km [8,9,14,18]. Based on the estimates made (9)–(12), it is also obvious that the effect is stronger, the greater the intensity of fluctuations, and the greater the modal absorption coefficient of sound by the bottom, since in this case the imaginary parts of the eigenvalues fluctuate more strongly (see (4) and (5)). The latter circumstance takes place, in particular, when the radiation frequency increases. In contrast, lowering the frequency of the sound reduces all statistical effects. Another important parameter on which the magnitude of the effects under consideration depends is the degree of penetrability of the waveguide bottom for sound waves, which is determined by the value of the refractive index at the water-bottom interface (c0(0)/c1)(1 + iβ1) [26].
Above, a fairly rigid bottom boundary was considered. We now turn to waveguides with greater bottom penetrability, and we will call the bottom boundary “rigid” if c0(0) < c1, and “soft” in the contrary case c0(0) > c1. Figure 3 demonstrates the transmission losses in the waveguide with the parameters: c1 = 1530 m/s, (ρ10) = 1.5, β1 = 0.01. In this case, four propagating modes are excited in the unperturbed water layer, and four leaky modes were additionally taken into account in the calculations (the reference was carried out to the Pekeris cut on the complex plane of κ). The imaginary parts of the horizontal wave numbers κm of modes for a given waveguide are noticeably superior to those of the previous waveguide, so the sound field decays with distance much faster. The source location corresponds to 8 m from the bottom, where the maximum of the first eigenfunction of the deterministic waveguide is located; two observation horizons are considered: 8 m and 24 m from the bottom.
Figure 3 shows that the slowdown in the decay of the average intensity is manifested already at fairly close distances of 8–10 km from the source, and to a distance of 30 km it reaches 20–23 dB.
In Figure 4 there is a graph of transmission losses in the waveguide with the “soft” bottom: c0(0) > c1 = 1200 m/s, (ρ10) = 1.5, β1 = 0.01. For this waveguide, no propagating mode is excited within the water layer, the calculations took into account eight leaky modes, which form the acoustic field in the deterministic waveguide at distances from the source of interest for statistical analysis. In this case, the sound field decays even faster than in the previous example (dashed curve in Figure 4), and the absorption value in the bottom β1 does not play a practical role and can be set equal to zero. As can be seen from Figure 4, the effect of slowing the decay of the average intensity is noticeable already at distances of 5–7 km from the source, and to a distance of 30 km it can exceed 60 dB. The significant effect in this waveguide compared with the previous ones is due to stronger fluctuations of the modal wave numbers κm. The consequence of this is the rapid development of strong fluctuations of the intensity of the sound field, which on average reduces the transmission losses.
Let us now compare the simulation results for waveguides with Gaussian statistics of fluctuations ε(r,z), presented above, with results for similar waveguides, but having non-Gaussian fluctuations ε. Consider random fields of the form:
ε(r,z) = ε1(z) ε2(r),   |ε(r,z) | << 1,
where ε1(z) is Gaussian random process and ε2(r) is non-Gaussian one. These processes are statistically independent and have the same correlation function as before: B ε ( r 1 r 2 , z 1 z 2 ) = σ ε 2 e x p ( | r 1 r 2 | L r | z 1 z 2 | L z ) , σ ε 2 = σ 1 2 σ 2 2 . One of the well-known non-Gaussian random processes is the telegraph process, which is widely used in various fields of economics, mathematics, physics, and optics [33]. For the description of random perturbations in underwater acoustics, the telegraph process was not widespread, but it can serve as a model of weak nonlinear cnoidal waves having a discontinuous amplitude, which are often present in the composition of background internal waves on the sea shelf. This process is defined as follows: ε2(r) = σ2(−1)n(0,r), where n(0,r) is the Poissonian random process with a probability distribution P n(r1,r2)=n = 〈n(r1,r2)〉n exp[-〈n(r1,r2)〉]/n!, where 〈n(r1,r2)〉 is the average number of points on the interval (r1,r2), 〈n(r1,r2)〉 = ν|r1-r2|. If at r = 0, ε2(0) = ±σ2 is equiprobable, then ε2(r) is a stationary process, having the average 〈ε2(r)〉 = 0, and the correlation function B ε 2 ( r 1 r 2 ) = σ 2 2 e x p ( | r 1 r 2 | / L r ) , Lr = (2ν)−1.
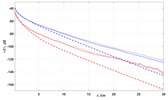
In Figure 5 for two horizons, the transmission losses are presented in a waveguide with Gaussian fluctuations, as in Figure 3, and with fluctuations of the form (14) using the telegraph random process ε2(r) described above. It is clearly seen that the telegraph process noticeably underlines the weakening of the decay of the average intensity in the waveguide. The corresponding curves begin to diverge at r > 8–10 km, and the loss attenuation to 30 km, caused by the difference in the fluctuation field from the Gaussian one, is 10 dB or more. In this case, the curves become somewhat more cut due to the discontinuous nature of the telegraph process ε2(r). For a waveguide with a “soft bottom” (Figure 6), the picture is similar, only the discrepancy with Gaussian average intensity curves increases towards attenuation of propagation losses to a distance of 30 km, additional attenuation is 20 dB or more for different observation horizons.
The following example demonstrates the situation with a log-normal probability distribution of the fluctuations ε2(r). Log-normal distributions are quite often encountered in statistical wave problems [2,33]. Main feature of the such distribution in comparison with Gaussian one is the asymmetry and the presence of slowly falling tails, which leads to the appearance in the ensemble of random realizations of rare but strong emissions in intensity. The probability density of the generated process ε2 is shown in Figure 7. As before, ε2 has zero mean value and is described by an exponential correlation function. The median of the distribution is non-zero, but the distribution parameters are chosen so that the fluctuations are adequate in intensity to those observed in the experiment and correspond to the values described above. As applied to the propagation of low-frequency sound on the sea shelf, log-normal fluctuations in the speed of sound can be viewed as the result of the influence of transient hydrodynamic perturbations leading to the formation of background internal waves (formed on the tails of numerous collapses of nonlinear internal waves), which are commonly described by Gaussian processes.
From the transmission loss curves given below, it can be seen that the effect of reducing the decay of the average intensity is preserved also with log-normal fluctuations in the speed of sound. Compared with Gaussian fluctuations (thin curves in Figure 8), at distances of 10–20 km the effect can be 2–4 dB, depending on the observation horizon.

4. Discussion

In this paper, we considered the influence of Gaussian and non-Gaussian fluctuations in the speed of sound in acoustic waveguides of the shallow sea. The laws governing the decay of the average intensity of a low-frequency sound signal with distance were investigated. It is shown that the effect of attenuation of transmission losses in a random waveguide with absorbing and penetrable bottom, established in previous works for Gaussian fluctuations, in the presence of non-Gaussian ones is not only preserved in the considered examples, but also may manifests itself more clearly. At the same time, the main parameters providing the effect of attenuation of sound signal losses are characteristic scales of longitudinal fluctuations (horizontal radius of the correlation of inhomogeneities) and characteristic scales of sound attenuation associated with bottom penetrability and absorption, which form one or another modal attenuation coefficient. If the characteristic scale of attenuation of sound in a waveguide is comparable to the scale of longitudinal fluctuations, the effect of slowing down the decay of the average intensity is measured in tens of decibels already at relatively close distances from the source. If the attenuation of sound in the waveguide is small (a rather “rigid” bottom boundary, or vice versa, it is very “soft”), so that the characteristic attenuation scale significantly exceeds the scale of longitudinal fluctuations, then the effect of slowing down the decay of the average intensity becomes hardly noticeable at distances (up to 50 km) that are of interest in studying shallow-water waveguides of the sea shelf. It is obvious that the studied statistical regularities of transmission losses during signal propagation should be observed in any waveguides (optical, ionospheric, electrodynamic, etc.) with fluctuations and lossy boundaries, if the wave processes within these waveguides are described by similar equations. The obvious direction of deepening and expanding on the research performed is to consider the effect of random inhomogeneities of the waveguide boundaries (surface and bottom in the sea), which, along with fluctuations in the speed of sound in the water column, will lead to changes in transmission losses of the acoustic signal. The approach (1), (2), (9) developed in this work without fundamental changes allows us to investigate such a more general problem. The ratio of the scales of random inhomogeneities and attenuation of sound in a waveguide will also play a fundamental role in this case.

Author Contributions

F. Z.(Data curation, Writing-original draft); O.E.G. (Formal analysis, Validation, Writing—review and editing); I.O.Y. (Investigation, Software, Project administration).

Funding

This research was funded by the National Natural Science Foundation of China, Grant No. 41406041. The research was carried out as a part of the Russian State program "The study of the fundamental foundations of the appearance, development, transformation and interaction of hydroacoustic, hydrophysical and geophysical fields in the conditions of the deep and shallow sea" (No. 0271-2018-0011).

Conflicts of Interest

The authors declare no conflict of interest.

References

  1. Tatarskii, V.I. Effects of the Turbulent Atmosphere on Wave Propagation; Israel Program for Scientific Translations: Jerusalem, Israel, 1971. [Google Scholar]
  2. Rytov, S.M.; Kravtsov, Y.A.; Tatarskii, V.I. Principles of Radiophysics, 4th ed.; Springer: Berlin, Germany, 1989. [Google Scholar]
  3. Munk, W.H.; Zachariasen, F. Sound propagation through fluctuating stratified ocean: Theory and observation. J. Acoust. Soc. Am. 1976, 59, 818–838. [Google Scholar] [CrossRef]
  4. Flatte, S.M. (Ed.) Sound Transmission through a Fluctuating Ocean; Cambridge University: Cambridge, UK, 1979. [Google Scholar]
  5. Brekhovskikh, L.M.; Lysanov, Y.P. Fundamentals of Ocean. Acoustics; Springer: Berlin, Germany, 1982. [Google Scholar]
  6. Katsnelson, B.G.; Pereselkov, S.A.; Petnikov, V.G.; Sabinin, K.D.; Serebriany, A.N. Acoustical effects caused by intensive internal waves in a shelf. Acoust. Phys. 2001, 47, 494–500. [Google Scholar]
  7. Kohler, W.; Papanicolaou, G.C. Propagation of waves in randomly-inhomogeneous ocean. In Waves Propagation and Underwater Acoustics; Keller, J.B., Papadakis, J.S., Eds.; Springer: Berlin, Germany, 1977; pp. 126–179. [Google Scholar]
  8. Dozier, L.B.; Tappert, F.D. Statistics of normal-mode amplitudes in a random ocean. I. Theory. J. Acoust. Soc. Am. 1978, 63, 353–365. [Google Scholar] [CrossRef]
  9. Dozier, L.B.; Tappert, F.D. Statistics of normal-mode amplitudes in a random ocean. II. Computations. J. Acoust. Soc. Am. 1978, 64, 533–547. [Google Scholar] [CrossRef]
  10. Gulin, O.E. Vector characteristics in statistically inhomogeneous wave-guides. Sov. Phys. Acoust. 1984, 30, 276–279. [Google Scholar]
  11. Creamer, D.B. Scintillating shallow water waveguides. J. Acoust. Soc. Am. 1996, 99, 2825–2838. [Google Scholar] [CrossRef]
  12. Tielburger, D.; Finnette, S.; Wolf, S. Acoustic propagation through an internal wave field in a shallow water waveguide. J. Acoust. Soc. Am. 1997, 101, 789–808. [Google Scholar] [CrossRef]
  13. Katsnelson, B.G.; Petnikov, V.G.; Lynch, J. Fundamentals of Shallow Water Acoustics; Springer: New York, NY, USA, 2012. [Google Scholar]
  14. Tang, X.; Tappert, F.D.; Creamer, D.B. Simulations of large acoustic scintillations in the Straits of Florida. J. Acoust. Soc. Am. 2006, 120, 3539–3552. [Google Scholar] [CrossRef]
  15. Voronovich, A.G.; Ostashev, V.E. Low frequency sound scattering by internal waves in the ocean. J. Acoust. Soc. Am. 2006, 119, 1406–1419. [Google Scholar] [CrossRef]
  16. Voronovich, A.G.; Ostashev, V.E. Coherence function of a sound field in an ocean with horizontally isotropic statistics. J. Acoust. Soc. Am. 2009, 125, 99–110. [Google Scholar] [CrossRef]
  17. Colosi, J.A.; Morozov, A.K. Statistics of normal-mode amplitudes in an ocean with random sound-speed perturbations: Cross mode coherence and mean intensity. J. Acoust. Soc. Am. 2009, 126, 1026–1035. [Google Scholar] [CrossRef] [PubMed]
  18. Colosi, J.A.; Duda, T.F.; Morozov, A.K. Statistics of low-frequency normal-mode amplitudes in an ocean with random sound-speed perturbations: Shallow-water environments. J. Acoust. Soc. Am. 2012, 131, 1749–1761. [Google Scholar] [CrossRef]
  19. Lunkov, A.A.; Petnikov, V.G. Influence of random hydrodynamic inhomogeneities on the attenuation of low-frequency sound in a shallow sea. Acoust. Phys. 2010, 56, 328–335. [Google Scholar] [CrossRef]
  20. Lunkov, A.A.; Petnikov, V.G. Coherence of low-frequency sound in a shallow sea in the presence of internal waves. Acoust. Phys. 2014, 60, 61–71. [Google Scholar] [CrossRef]
  21. Yaroshchuk, I.O.; Gulin, O.E. Method of Statistical Modeling in the Problems of Hydroacoustics; Dal’nauka: Vladivostok, Russia, 2002. (In Russian) [Google Scholar]
  22. Gulin, O.E.; Yaroshchuk, I.O. Simulation of underwater acoustical field fluctuations in shallow sea with random inhomogeneities of sound speed: Depth-dependent environment. J. Comp. Acoust. 2014, 22, 1440002. [Google Scholar] [CrossRef]
  23. Gulin, O.E.; Yaroshchuk, I.O. Simulation of underwater acoustical field fluctuations in range-dependent random environment of shallow sea. J. Comp. Acoust. 2014, 22, 1440006. [Google Scholar] [CrossRef]
  24. Gulin, O.E.; Yaroshchuk, I.O. Notes on the theory of low-frequency acoustic fields in a randomly heterogeneous ocean. Dokl. Earth Sci. 2014, 458, 1121–1124. [Google Scholar] [CrossRef]
  25. Gulin, O.E.; Yaroshchuk, I.O. Features of the energy structure of acoustic fields in the ocean with two-dimensional random inhomogeneities. Acoust. Phys. 2017, 63, 168–174. [Google Scholar] [CrossRef]
  26. Gulin, O.E.; Yaroshchuk, I.O. Dependence of the mean intensity of a low-frequency acoustic field on the bottom parameters of a shallow sea with random volumetric water-layer inhomogeneities. Acoust. Phys. 2018, 64, 186–189. [Google Scholar] [CrossRef]
  27. Gulin, O.E. Causal first-order equations for wave field modeling in a horizontally inhomogeneous ocean. Acoust. Phys. 2006, 52, 17–23. [Google Scholar] [CrossRef]
  28. Gulin, O.E. Calculation of low-frequency sound fields in irregular waveguides with strong backscattering. Acoust. Phys. 2008, 54, 495–505. [Google Scholar] [CrossRef]
  29. Gulin, O.E. Comments on modeling the sound fields in an irregular ocean by causal first-order equations. Acoust. Phys. 2008, 54, 353–355. [Google Scholar] [CrossRef]
  30. Brekhovskikh, L.M.; Godin, O.A. Sound Fields in Layered and Three-Dimensional Inhomogeneous Media. In Acoustics of Inhomogeneous Media, 2nd ed.; Nauka: Moscow, Russia, 2009. (In Russian) [Google Scholar]
  31. Gulin, O.E.; Yaroshchuk, I.O. On local effect of low-frequency sound field mode coupling in randomly-inhomogeneous two–dimensional shallow sea. Mem. Fac. Phys. Lomonosov Moscow State Univ. 2017, 5, 1750114. [Google Scholar]
  32. Gulin, O.E.; Yaroshchuk, I.O. Simulation of low-frequency sound propagation in shallow sea with two-dimensional random inhomogeneities. Proc. Meet. Acoust. 2015, 24, 070027. [Google Scholar]
  33. Klyatskin, V.I. The imbedding method in statistical boundary-value wave problems. In Progress in Optics; Wolf, E., Ed.; Elsevier: Amsterdam, The Netherlands, 1994; pp. 1–128. [Google Scholar]
Figure 1. Random shallow water waveguide. The left graph: r=19900 m, 20 random realizations of a sound speed profile from the ensemble of 1000. The right graph: 5 random realizations of a sound speed profile along the propagation path at the horizon H-z = 25 m.
Figure 1. Random shallow water waveguide. The left graph: r=19900 m, 20 random realizations of a sound speed profile from the ensemble of 1000. The right graph: 5 random realizations of a sound speed profile along the propagation path at the horizon H-z = 25 m.
Applsci 09 01841 g001
Figure 2. Transmission losses reported relative to intensity in a free field at a distance of 1 m from the source. Lower dashed curve corresponds to the intensity, averaged over spatial oscillations, for a deterministic waveguide model (ε = 0). Blue curve demonstrates presence of two-dimensional Gaussian fluctuations of the speed of sound ε(r,z) in the waveguide with the scale Lr = 50 km; red curve is Lr = 5 km, black curve is Lr = 1 km. Vertical scale is Lz = 10 m; Hz = 26 m, Hz0 = 42 m.
Figure 2. Transmission losses reported relative to intensity in a free field at a distance of 1 m from the source. Lower dashed curve corresponds to the intensity, averaged over spatial oscillations, for a deterministic waveguide model (ε = 0). Blue curve demonstrates presence of two-dimensional Gaussian fluctuations of the speed of sound ε(r,z) in the waveguide with the scale Lr = 50 km; red curve is Lr = 5 km, black curve is Lr = 1 km. Vertical scale is Lz = 10 m; Hz = 26 m, Hz0 = 42 m.
Applsci 09 01841 g002
Figure 3. Similarly Figure 2 transmission loss for a waveguide with Gaussian fluctuations, Lz = 20 m, Lr = 4 km, and parameters of the bottom: c1 = 1530 m/s, (ρ10) = 1.5, β1 = 0.01. H-z0 = 42 m. Blue curves: H-z = 42 m. Red curves: H-z = 26 m. Thin dash curves correspond to the adiabatic approximation, thick dash curves represent a deterministic waveguide (ε = 0).
Figure 3. Similarly Figure 2 transmission loss for a waveguide with Gaussian fluctuations, Lz = 20 m, Lr = 4 km, and parameters of the bottom: c1 = 1530 m/s, (ρ10) = 1.5, β1 = 0.01. H-z0 = 42 m. Blue curves: H-z = 42 m. Red curves: H-z = 26 m. Thin dash curves correspond to the adiabatic approximation, thick dash curves represent a deterministic waveguide (ε = 0).
Applsci 09 01841 g003
Figure 4. Similarly Figure 3 transmission loss for a waveguide with Gaussian fluctuations, Lz = 20 m, Lr = 4 km, and parameters of the bottom c1 = 1200 m/s, (ρ10) = 1.5, β1 = 0.01. H-z0 = 42 m. Blue curves: H-z = 42 m, red curves: H-z = 26 m. Thin dash curves correspond to adiabatic approximation, thick dash curves represent a deterministic waveguide (ε = 0).
Figure 4. Similarly Figure 3 transmission loss for a waveguide with Gaussian fluctuations, Lz = 20 m, Lr = 4 km, and parameters of the bottom c1 = 1200 m/s, (ρ10) = 1.5, β1 = 0.01. H-z0 = 42 m. Blue curves: H-z = 42 m, red curves: H-z = 26 m. Thin dash curves correspond to adiabatic approximation, thick dash curves represent a deterministic waveguide (ε = 0).
Applsci 09 01841 g004
Figure 5. Transmission loss for a waveguide with Gaussian fluctuations ε and with non-Gaussian fluctuations in the form (14) with telegraph process ε2(r); Lz = 20 m, Lr = 4 km. Parameters of the bottom: c1 = 1530 m/s, (ρ10) = 1.5, β1 = 0.01. H-z0 = 42 m. Blue curves: H-z = 42 m; red curves: H-z = 26 m. Bold curves are the telegraph process ε2(r), dash curves are the adiabatic approximation, thin curves are similar to ones in Figure 3, correspond to Gaussian fluctuations.
Figure 5. Transmission loss for a waveguide with Gaussian fluctuations ε and with non-Gaussian fluctuations in the form (14) with telegraph process ε2(r); Lz = 20 m, Lr = 4 km. Parameters of the bottom: c1 = 1530 m/s, (ρ10) = 1.5, β1 = 0.01. H-z0 = 42 m. Blue curves: H-z = 42 m; red curves: H-z = 26 m. Bold curves are the telegraph process ε2(r), dash curves are the adiabatic approximation, thin curves are similar to ones in Figure 3, correspond to Gaussian fluctuations.
Applsci 09 01841 g005
Figure 6. Transmission loss for a waveguide with Gaussian fluctuations ε and with non-Gaussian fluctuations in the form (14) with telegraph process ε2(r), Lz = 20 m, Lr = 4 km. Parameters of the bottom: c1 = 1200 m/s, (ρ10) = 1.5, β1 = 0.01. H-z0 = 42 m. Blue curves: H-z = 42 m; red curves: H-z = 26 m. Bold curves are the telegraph process ε2(r), dash curves are the adiabatic approximation, thin curves are similar to ones in Figure 4, correspond to Gaussian fluctuations.
Figure 6. Transmission loss for a waveguide with Gaussian fluctuations ε and with non-Gaussian fluctuations in the form (14) with telegraph process ε2(r), Lz = 20 m, Lr = 4 km. Parameters of the bottom: c1 = 1200 m/s, (ρ10) = 1.5, β1 = 0.01. H-z0 = 42 m. Blue curves: H-z = 42 m; red curves: H-z = 26 m. Bold curves are the telegraph process ε2(r), dash curves are the adiabatic approximation, thin curves are similar to ones in Figure 4, correspond to Gaussian fluctuations.
Applsci 09 01841 g006
Figure 7. Probability density of the log-normal distribution of fluctuations ε2(r), c=0.45/σ2.
Figure 7. Probability density of the log-normal distribution of fluctuations ε2(r), c=0.45/σ2.
Applsci 09 01841 g007
Figure 8. Transmission loss for a waveguide with Gaussian fluctuations ε (thin curves) and with fluctuations ε2(r) having log-normal probability distribution (bold curves); Lz = 20 m, Lr = 4 km. Parameters of the bottom: c1 = 1530 m/s, (ρ10) = 1.5, β1 = 0.01. H-z0 = 42 m. Blue curves: H-z = 42 m, red curves: H-z = 26 m.
Figure 8. Transmission loss for a waveguide with Gaussian fluctuations ε (thin curves) and with fluctuations ε2(r) having log-normal probability distribution (bold curves); Lz = 20 m, Lr = 4 km. Parameters of the bottom: c1 = 1530 m/s, (ρ10) = 1.5, β1 = 0.01. H-z0 = 42 m. Blue curves: H-z = 42 m, red curves: H-z = 26 m.
Applsci 09 01841 g008

Share and Cite

MDPI and ACS Style

Zhu, F.; Gulin, O.E.; Yaroshchuk, I.O. Statistical Patterns of Transmission Losses of Low-Frequency Sound in Shallow Sea Waveguides with Gaussian and Non-Gaussian Fluctuations. Appl. Sci. 2019, 9, 1841. https://doi.org/10.3390/app9091841

AMA Style

Zhu F, Gulin OE, Yaroshchuk IO. Statistical Patterns of Transmission Losses of Low-Frequency Sound in Shallow Sea Waveguides with Gaussian and Non-Gaussian Fluctuations. Applied Sciences. 2019; 9(9):1841. https://doi.org/10.3390/app9091841

Chicago/Turabian Style

Zhu, Fengqin, Oleg E. Gulin, and Igor O. Yaroshchuk. 2019. "Statistical Patterns of Transmission Losses of Low-Frequency Sound in Shallow Sea Waveguides with Gaussian and Non-Gaussian Fluctuations" Applied Sciences 9, no. 9: 1841. https://doi.org/10.3390/app9091841

APA Style

Zhu, F., Gulin, O. E., & Yaroshchuk, I. O. (2019). Statistical Patterns of Transmission Losses of Low-Frequency Sound in Shallow Sea Waveguides with Gaussian and Non-Gaussian Fluctuations. Applied Sciences, 9(9), 1841. https://doi.org/10.3390/app9091841

Note that from the first issue of 2016, this journal uses article numbers instead of page numbers. See further details here.

Article Metrics

Back to TopTop