Experimental Study of the Mechanical Behavior of the Steel–Concrete Joints in a Composite Truss Bridge
Abstract
1. Introduction
2. Pull-Out Test Setup
2.1. Pull-Out Specimens
2.2. Loading Scheme of Pull-Out Test
3. Pull-Out Test Results
3.1. Failure Modes of Pull-Out Specimens
3.2. Load–Slip Characteristic of Pull-Out Specimens
4. Steel–Concrete Composite Joint Test Setup
4.1. Description of Composite Joints
4.2. Loading Scheme of Composite Joint Test
5. Analysis of Composite Joint Test Results
5.1. Experimental Phenomena
5.2. Load–Displacement Curves
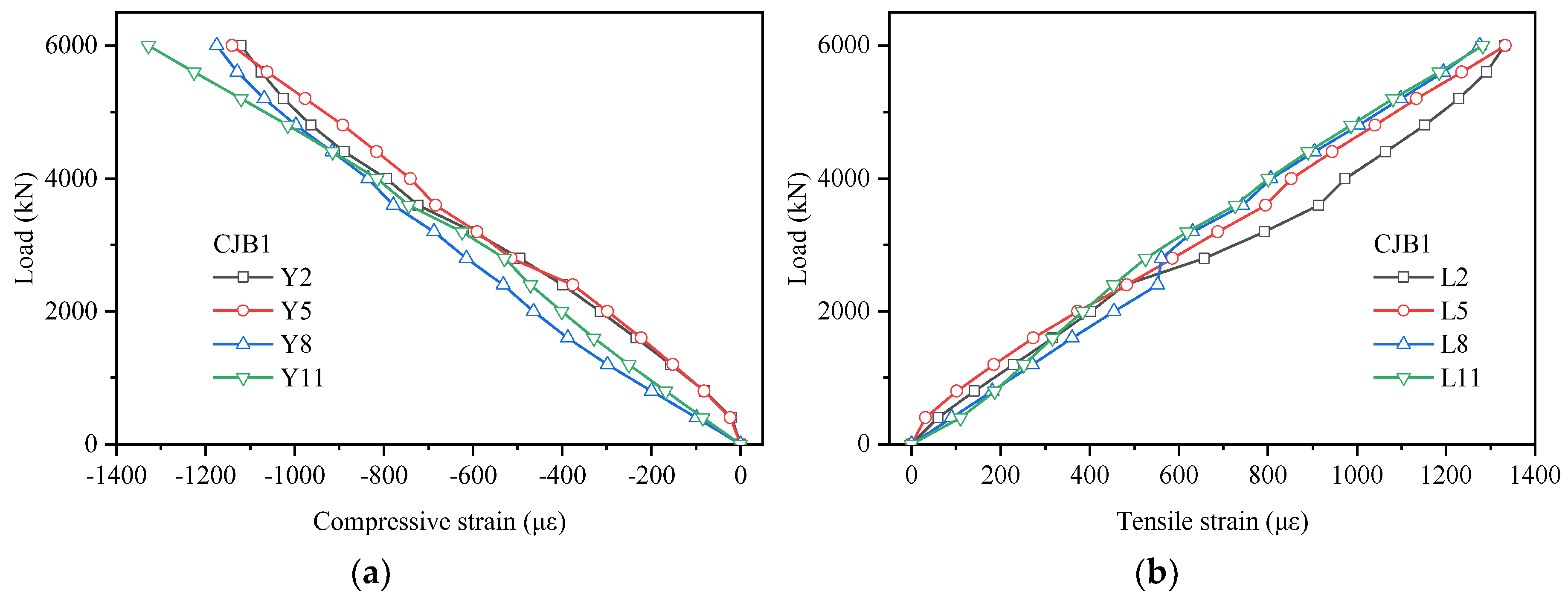
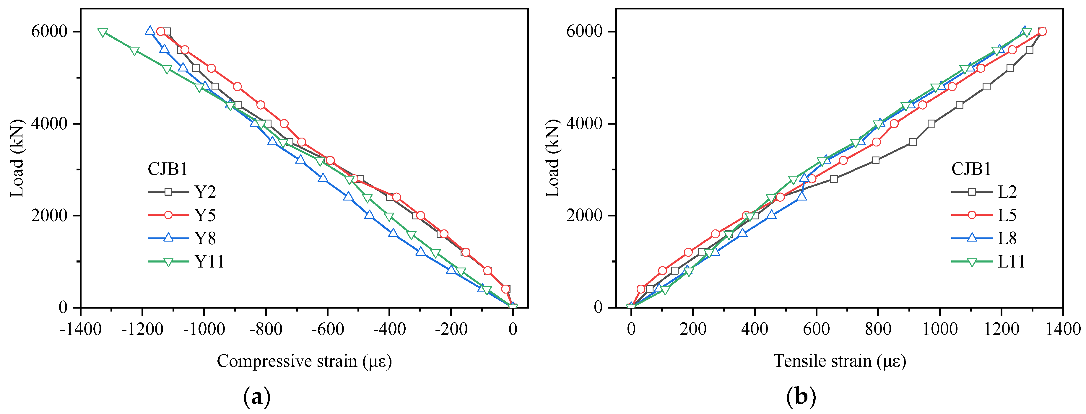
5.3. The Strain Distribution on the Concrete Chord and Steel Web
5.4. The Strain Distribution on the Exposed Gusset Plate
6. Conclusions
- The experimental results of the pull-out and composite joint test indicated that the pull-out specimens (except PC) and the steel–concrete composite joints showed excellent resistance to an external load. The ultimate load capacities of the PA and PB specimens were about 1133 kN and 933 kN, respectively. The ultimate bearing capacities of all composite joints in this study were higher than 6000 kN and over 2.93 times the design load. Hence, these results show that PBL shear connectors exhibit excellent connection performance in resisting and transferring shear force.
- The load–slip relations and the experimental phenomena of pull-out specimens showed that the embedded depth and the existence of perforated rebars played an important role in the ultimate bearing capacity, deformability, and even the failure mode of PBL shear connectors. Resulting from increased embedded depth, the ultimate load and the corresponding slip of PA specimens were on average 21% and 408% bigger, respectively, in comparison with those of PB specimens. Furthermore, compared with PB specimens, PA specimens underwent ductile failure rather than brittle failure. Similarly, the average ultimate bearing capacity and the corresponding slip of PA specimens were increased by 110% and 633%, respectively, in comparison with those of PC specimens, because of the existence of perforated rebars in the PA specimens.
- Increased embedded depth can enhance the stiffness of composite joints in a composite truss bridge. For instance, the joint stiffness increased from 37.61 × 104 kN/m in CJB1 to 43.38 × 104 kN/m in CJA because the embedded depth was increased from 130 mm to 200 mm.
- The experimental data of composite joints revealed that there was an interesting distribution of strain on the exposed gusset plate and the concrete chord. The strain decreased from G8 to G1 in the same row and from G13 to G23. Similarly, the diminution of strain occurred in the same column from G9 to G12 as well as from G14 to G17. Consequently, the area enclosed by G8, G9, G14, and G13 was the key area of the exposed gusset plate. In addition, the compressive strain in the first column of gauging points was bigger than that on the concrete chord, and the strain on the concrete chord increased from top to bottom in the vertical direction.
Author Contributions
Funding
Conflicts of Interest
References
- Chen, C.; Lin, N. Analytical model for predicting axial capacity and behavior of concrete encased steel composite stub columns. J. Constr. Steel Res. 2006, 62, 424–433. [Google Scholar] [CrossRef]
- Liang, Y.; Li, D.; Parvasi, S.M.; Kong, Q.; Lim, I.; Song, G. Bond-slip detection of concrete-encased composite structure using electro-mechanical impedance technique. Smart Mater. Struct. 2016, 25, 095003. [Google Scholar] [CrossRef]
- Zeng, L.; Parvasi, S.M.; Kong, Q.; Huo, L.; Lim, I.; Li, M.; Song, G. Bond slip detection of concrete-encased composite structure using shear wave based active sensing approach. Smart Mater. Struct. 2015, 24, 125026. [Google Scholar] [CrossRef]
- Xu, B.; Zhang, T.; Song, G.; Gu, H. Active interface debonding detection of a concrete-filled steel tube with piezoelectric technologies using wavelet packet analysis. Mech. Syst. Signal Process. 2013, 36, 7–17. [Google Scholar] [CrossRef]
- Zhang, J.; Li, Y.; Du, G.; Song, G. Damage Detection of L-Shaped Concrete Filled Steel Tube (L-CFST) Columns under Cyclic Loading Using Embedded Piezoceramic Transducers. Sensors 2018, 18, 2171. [Google Scholar] [CrossRef] [PubMed]
- Xu, B.; Li, B.; Song, G. Active Debonding Detection for Large Rectangular CFSTs Based on Wavelet Packet Energy Spectrum with Piezoceramics. J. Struct. Eng. 2013, 139, 1435–1443. [Google Scholar] [CrossRef]
- Ding, F.-X.; Luo, L.; Wang, L.; Cheng, S.; Yu, Z.-W. Pseudo-static tests of terminal stirrup-confined concrete-filled rectangular steel tubular columns. J. Constr. Steel Res. 2018, 144, 135–152. [Google Scholar] [CrossRef]
- Zhang, J.; Li, Y.; Zheng, Y.; Wang, Z. Seismic Damage Investigation of Spatial Frames with Steel Beams Connected to L-Shaped Concrete-Filled Steel Tubular (CFST) Columns. Appl. Sci. 2018, 8. [Google Scholar] [CrossRef]
- Jung, K.H.; Lee, S.H.; Yi, J.W.; Kim, J.H.J.; Ha, J.H. Fatigue capacity of a new connection system for a prestressed concrete hybrid truss web girder. Mag. Concr. Res. 2012, 64, 665–672. [Google Scholar] [CrossRef]
- Machacek, J.; Cudejko, M. Longitudinal shear in composite steel and concrete trusses. Eng. Struct. 2009, 31, 1313–1320. [Google Scholar] [CrossRef]
- Choi, J.-H.; Jung, K.-H.; Kim, T.-K.; Kim, J.-H.J. Analytical and Experimental Studies on Torsional Behavior of Hybrid Truss Bridge Girders with Various Connection Joints. J. Adv. Concr. Technol. 2014, 12, 478–495. [Google Scholar] [CrossRef]
- Yin, G.; Ding, F.; Wang, H.; Bai, Y.; Liu, X. Connection Performance in Steel–Concrete Composite Truss Bridge Structures. J. Bridge Eng. 2016, 22, 04016126. [Google Scholar] [CrossRef]
- Huo, L.; Song, G.; Nagarajaiah, S.; Li, H. Semi-active vibration suppression of a space truss structure using a fault tolerant controller. J. Vib. Control 2011, 18, 1436–1453. [Google Scholar] [CrossRef]
- Suo, Y.; Yang, W.; Chen, P. Study on Hysteresis Model of Welding Material in Unstiffened Welded Joints of Steel Tubular Truss Structure. Appl. Sci. 2018, 8, 1701. [Google Scholar] [CrossRef]
- Yang, W.; Lin, J.; Gao, N.-N.; Yan, R. Experimental Study on the Static Behavior of Reinforced Warren Circular Hollow Section (CHS) Tubular Trusses. Appl. Sci. 2018, 8, 2237. [Google Scholar] [CrossRef]
- Jiang, T.; Wu, Q.; Wang, L.; Huo, L.; Song, G. Monitoring of Bolt Looseness-Induced Damage in Steel Truss Arch Structure Using Piezoceramic Transducers. IEEE Sens. J. 2018, 18, 6677–6685. [Google Scholar] [CrossRef]
- Song, G.; Vlattas, J.; Johnson, S.E.; Agrawal, B.N. Active vibration control of a space truss using a lead zirconate titanate stack actuator. Proc. Inst. Mech. Eng. Part G J. Aerosp. Eng. 2001, 215, 355–361. [Google Scholar] [CrossRef]
- Chang, S.-Y. Experimental Studies of Reinforced Concrete Bridge Columns under Axial Load Plus Biaxial Bending. J. Struct. Eng. 2010, 136, 12–25. [Google Scholar] [CrossRef]
- Kowalsky, M.J. Deformation Limit States for Circular Reinforced Concrete Bridge Columns. J. Struct. Eng. 2000, 126, 869–878. [Google Scholar] [CrossRef]
- Song, G.; Mo, Y.L.; Otero, K.; Gu, H. Health monitoring and rehabilitation of a concrete structure using intelligent materials. Smart Mater. Struct. 2006, 15, 309–314. [Google Scholar] [CrossRef]
- Chen, K. Introduction of Boulonnais Viaduct in France. Foreign Bridges 1999, 1, 15–17. [Google Scholar]
- Pham, X.T. A new generation of composite bridges, The Boulonnais Viaducts in France. Proc. FIP Symp. Lisbon Portugal 1997, 2, 909–916. [Google Scholar]
- Dauner, H.; Oribasi, A.; Wery, D. The Lully Viaduct, a composite bridge with steel tube truss. J. Constr. Steel Res. 1998, 46, 67–68. [Google Scholar] [CrossRef]
- Aoki, K.; Takatoku, Y.; Notoya, H.; Uehira, Y.; Kato, T.; Yamaguchi, T. Design and construction of Sarutagawa bridge and Tomoegawa bridge. Bridge Found. 2005, 39, 2–11. [Google Scholar]
- Fujiwara, H.; Kabaki, Y.; Shoji, A.; Noro, T. Design and Construction of Shitsumiohashi. Concr. J. 2005, 43, 47–52. [Google Scholar] [CrossRef]
- Minami, H.; Yamamura, M.; Taira, Y.; Furuichi, K. Design of the Kinokawa viaduct composite truss bridge. In Proceedings of the 1st JSCE Congress, Composite Structures, Osaka, Japan, 13–19 October 2002; pp. 371–380. [Google Scholar]
- He, J.; Liu, Y.; Pei, B. Experimental Study of the Steel-Concrete Connection in Hybrid Cable-Stayed Bridges. J. Perform. Constr. Facil. 2014, 28, 559–570. [Google Scholar] [CrossRef]
- Sato, Y.; Hino, S.I.; Sonoda, Y.; Yamaguchi, K.; Cheon, S.B. Study on load transfer mechanism of the joint in hybrid truss bridge. J. Struct. Eng. A 2008, 54, 778–785. [Google Scholar] [CrossRef]
- Udomworarat, P.; Miki, C.; Ichikawa, A.; Komechi, M.; Mitsuki, K.; Hosaka, T. Fatigue performance of composite tubular K-joints for truss type bridge. J. Struct. Eng. 2002, 19, 65–79. [Google Scholar] [CrossRef]
- Udomworarat, P.; Miki, C.; Ichikawa, A.; Sasaki, E.; Sakamoto, T.; Mitsuki, K.; Hasaka, T. Fatigue and ultimate strengths of concrete filled tubular k-joints on truss girder. J. Struct. Eng. 2000, 46, 1627–1635. [Google Scholar]
- Huang, W.; Fenu, L.; Chen, B.; Briseghella, B. Experimental study on K-joints of concrete-filled steel tubular truss structures. J. Constr. Steel Res. 2015, 107, 182–193. [Google Scholar] [CrossRef]
- Huang, W.; Fenu, L.; Chen, B.; Briseghella, B. Experimental study on joint resistance and failure modes of concrete filled steel tubular (CFST) truss girders. J. Constr. Steel Res. 2018, 141, 241–250. [Google Scholar] [CrossRef]
- Furuichi, K.; Yamamura, M.; Nagumo, H.; Yoshida, K.; Eligehausen, R. Experimental study on a new joint for prestressed concrete composite bridge with steel truss web. In Proceedings of the International Symposium on Connections between Steel and Concrete, Bagneux, France; 2001; pp. 1250–1259. [Google Scholar]
- Furuichi, K.; Hishiki, Y.; Yoshida, K.; Honda, T.; Yamamura, M.; Minami, H. The proposal of a design method of the joint structure for the steel/concrete truss bridge. Proc. Jpn. Soc. Civ. Eng. 2006, 62, 349–366. [Google Scholar] [CrossRef]
- Jung, K.H.; Yi, J.W.; Kim, J.H.J. Structural safety and serviceability evaluations of prestressed concrete hybrid bridge girders with corrugated or steel truss web members. Eng. Struct. 2010, 32, 3866–3878. [Google Scholar] [CrossRef]
- Jung, K.H.; Kim, J.H.J.; Yi, J.W.; Lee, S.H. Development and Evaluation of New Connection Systems for Hybrid Truss Bridges. J. Adv. Concr. Technol. 2013, 11, 61–79. [Google Scholar] [CrossRef]
- Xue, D.; Liu, Y.; He, J.; Ma, B. Experimental study and numerical analysis of a composite truss joint. J. Constr. Steel Res. 2011, 67, 957–964. [Google Scholar] [CrossRef]
- Liu, Y.; Xin, H.; He, J.; Xue, D.; Ma, B. Experimental and analytical study on fatigue behavior of composite truss joints. J. Constr. Steel Res. 2013, 83, 21–36. [Google Scholar] [CrossRef]
- Zhou, L.; He, G. Experimental research on end joint of steel-concrete composite truss. Balt. J. Road Bridge E 2012, 7, 305–313. [Google Scholar] [CrossRef]
- MRPRC (Ministry of Railways of the People’s Republic of China). Code for Design in Reinforced and Prestressed Concrete Structure of Railway Bridge and Culvert; TB 10002.3-2005; China Railway Press: Beijing, China, 2005.
- Li, Z.; Zhao, C.; Deng, K.; Wang, W. Load Sharing and Slip Distribution in Multiple Holes of a Perfobond Rib Shear Connector. J. Struct. Eng. 2018, 144, 04018147. [Google Scholar] [CrossRef]
- Xiao, L.; Li, X.; John Ma, Z. Behavior of Perforated Shear Connectors in Steel–Concrete Composite Joints of Hybrid Bridges. J. Bridge Eng. 2017, 22, 04016135. [Google Scholar] [CrossRef]
- Liu, Y.; Xin, H.; Liu, Y. Load transfer mechanism and fatigue performance evaluation of suspender-girder composite anchorage joints at serviceability stage. J. Constr. Steel Res. 2018, 145, 82–96. [Google Scholar] [CrossRef]
- Wang, X.; Zhu, B.; Cui, S.; Lui, E.M. Experimental Research on PBL Connectors Considering the Effects of Concrete Stress State and Other Connection Parameters. J. Bridge Eng. 2018, 23, 04017125. [Google Scholar] [CrossRef]
- Zhang, Q.; Jia, D.; Bao, Y.; Cheng, Z.; Xiao, L.; Bu, Y. Internal force transfer effect-based fatigue damage evaluation for PBL shear connector groups. J. Constr. Steel Res. 2018, 148, 469–478. [Google Scholar] [CrossRef]
- Zhao, C.; Li, Z.; Deng, K.; Wang, W. Experimental investigation on the bearing mechanism of Perfobond rib shear connectors. Eng. Struct. 2018, 159, 172–184. [Google Scholar] [CrossRef]
- Wang, W.; Zhao, C.; Li, Q.; Zhuang, W. Study on Load-Slip Characteristic Curves of Perfobond Shear Connectors in Hybrid Structures. J. Adv. Concr. Technol. 2014, 12, 413–424. [Google Scholar] [CrossRef]
- MRPRC (Ministry of Railways of the People’s Republic of China). Fundamental Code for Design on Railway Bridge and Culvert; TB 10002.1-2005; China Railway Press: Beijing, China, 2005.
















| Member | Material | fy or fcu (MPa) | Es or Ec (GPa) |
|---|---|---|---|
| Concrete | C50 | 59.2 | 34.5 |
| Steel plate | Q345qE | 410 | 206 |
| Gusset plate | Q345qE | 410 | 206 |
| Steel web | Q345qE | 410 | 206 |
| Perforated rebar | HRB335 | 393 | 200 |
| Reinforcement | HRB335 | 393 | 200 |
| Specimen | Ny (kN) | Nu (kN) | Nu/Ny | Sy (mm) | Su (mm) | Su/Sy |
|---|---|---|---|---|---|---|
| PA1 | 750 | 1150 | 1.53 | 0.5 | 12.13 | 24.26 |
| PA2 | 750 | 1100 | 1.47 | 0.54 | 9.06 | 16.78 |
| PA3 | 750 | 1150 | 1.53 | 0.47 | 10.05 | 21.38 |
| Average | 750 | 1133.33 | 1.51 | 0.5 | 10.41 | 20.81 |
| PB1 | 700 | 900 | 1.29 | 0.45 | 1.24 | 2.76 |
| PB2 | 700 | 1000 | 1.43 | 0.58 | 3.4 | 5.86 |
| PB3 | 650 | 900 | 1.38 | 0.4 | 1.5 | 3.75 |
| Average | 683.33 | 933.33 | 1.37 | 0.48 | 2.05 | 4.12 |
| PC1 | - | 540 | - | - | 1.53 | - |
| PC2 | - | 540 | - | - | 1.31 | - |
| Average | - | 540 | - | - | 1.42 | - |
© 2019 by the authors. Licensee MDPI, Basel, Switzerland. This article is an open access article distributed under the terms and conditions of the Creative Commons Attribution (CC BY) license (http://creativecommons.org/licenses/by/4.0/).
Share and Cite
Tan, Y.; Zhu, B.; Yan, T.; Huang, B.; Wang, X.; Yang, W.; Huang, B. Experimental Study of the Mechanical Behavior of the Steel–Concrete Joints in a Composite Truss Bridge. Appl. Sci. 2019, 9, 854. https://doi.org/10.3390/app9050854
Tan Y, Zhu B, Yan T, Huang B, Wang X, Yang W, Huang B. Experimental Study of the Mechanical Behavior of the Steel–Concrete Joints in a Composite Truss Bridge. Applied Sciences. 2019; 9(5):854. https://doi.org/10.3390/app9050854
Chicago/Turabian StyleTan, Yingliang, Bing Zhu, Tingyi Yan, Biao Huang, Xuewei Wang, Wenwei Yang, and Bo Huang. 2019. "Experimental Study of the Mechanical Behavior of the Steel–Concrete Joints in a Composite Truss Bridge" Applied Sciences 9, no. 5: 854. https://doi.org/10.3390/app9050854
APA StyleTan, Y., Zhu, B., Yan, T., Huang, B., Wang, X., Yang, W., & Huang, B. (2019). Experimental Study of the Mechanical Behavior of the Steel–Concrete Joints in a Composite Truss Bridge. Applied Sciences, 9(5), 854. https://doi.org/10.3390/app9050854

