Failure Prediction for the Tearing of a Pin-Loaded Dual Phase Steel (DP980) Adjusting Guide
Abstract
1. Introduction
2. Damage Model and Local Strain Measurement
2.1. Digital Image Correlation (DIC)
2.2. Triaxiality Failure Diagram and GISSMO
3. Determination of Flow and Damage Properties
3.1. Tensile Testing
3.2. Determination of Triaxiality η by DIC
3.3. FE Modeling
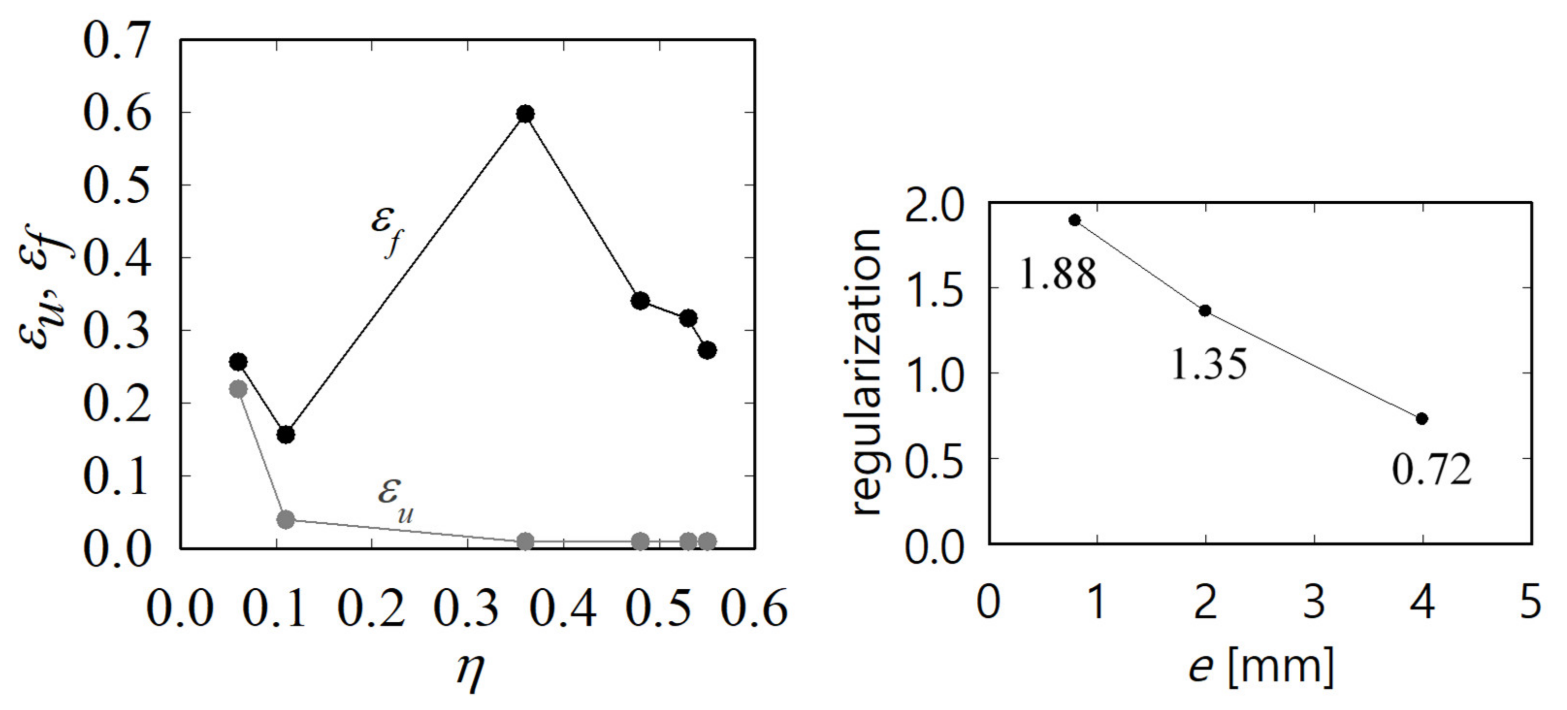
3.4. Determination of Damage Parameters through Optimization
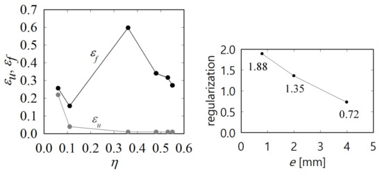
4. Validation by Tearing of Adjusting Guide
5. Conclusions
Author Contributions
Funding
Conflicts of Interest
References
- Cockcroft, M.G.; Latham, D.J. Ductility and the workability of metals. J. Inst. Met. 1968, 96, 33–39. [Google Scholar]
- Oh, S.I.; Chen, C.C.; Kobayashi, S. Ductile fracture in axisymmetric extrusion and drawing: Part 2 workability in extrusion and drawing. J. Manuf. Sci. Eng. Trans. ASME 1979, 101, 36–44. [Google Scholar] [CrossRef]
- Oyane, M.; Sato, T.; Okimoto, K.; Shima, S. Criteria for ductile fracture and their applications. J. Mech. Work. Technol. 1980, 4, 65–81. [Google Scholar] [CrossRef]
- Gurson, A.L. Continuum theory of ductile rupture by void nucleation and growth. J. Eng. Mater. Technol. 1977, 99, 2–15. [Google Scholar] [CrossRef]
- Johnson, G.R.; Cook, W.H. Fracture characteristics of three metals subjected to various strains, strain rates, temperatures and pressures. Eng. Fract. Mech. 1985, 21, 31–48. [Google Scholar] [CrossRef]
- McClintock, F.A. A Criterion for Ductile Fracture by the Growth of Holes. J. Appl. Mech. 1968, 35, 363–371. [Google Scholar] [CrossRef]
- Rice, J.R.; Tracey, D.M. On the ductile enlargement of voids in triaxial stress fields. J. Mech. Phys. Solids 1969, 17, 201–217. [Google Scholar] [CrossRef]
- Bai, Y.; Wierzbicki, T. Application of extended Mohr–Coulomb criterion to ductile fracture. Int. J. Fract. 2010, 161, 1–20. [Google Scholar] [CrossRef]
- Neukamm, F.; Feucht, M.; Haufe, A. Consistent damage modelling in the process chain of forming to crashworthiness simulations. LS DYNA Anwend. 2008, 30, 11–20. [Google Scholar]
- Neukamm, F.; Feucht, M.; Haufe, A.; Ag, D. Considering damage history in crashworthiness simulations. In Proceedings of the 7th European LS-DYNA Conference, Salzburg, Austria, 14–15 May 2009. [Google Scholar]
- Livermore Software Technology Corporation. LS-DYNA Keyword User’s Manual, R9.0; Livermore Software Technology Corporation: Livermore, CA, USA, 2016; ISBN 9254492507. [Google Scholar]
- Schauwecker, F.; Moncayo, D.; Andrade, F.; Feucht, M. Modeling of Bolts using the GISSMO Model for Crash Analysis. In Proceedings of the 12th European LS-DYNA Conference, Koblenz, Germany, 14–16 May 2019. [Google Scholar]
- ARAMIS. Manual Aramis Professional 2018; GOM-Gesellschaft für Optische Messtechnik mbH: Braunschweig, Germany, 2018. [Google Scholar]
- Effelsberg, J.; Haufe, A.; Feucht, M.; Neukamm, F.; Bois, P. Du On parameter identification for the GISSMO damage model. In Proceedings of the 12th International LS-DYNA Users Conference, Detroit, MI, USA, 3–5 June 2012; pp. 1–12. [Google Scholar]













| DP980 | η | εu | εf | m | f |
|---|---|---|---|---|---|
| SH45 | 0.06 | 0.219 | 0.257 | 1.206 | 5.249 |
| SH30 | 0.11 | 0.040 | 0.156 | ||
| UT | 0.36 | 0.022 | 0.590 | ||
| N9 | 0.48 | 0.010 | 0.341 | ||
| N16 | 0.53 | 0.010 | 0.316 | ||
| N5 | 0.55 | 0.010 | 0.272 |
© 2019 by the authors. Licensee MDPI, Basel, Switzerland. This article is an open access article distributed under the terms and conditions of the Creative Commons Attribution (CC BY) license (http://creativecommons.org/licenses/by/4.0/).
Share and Cite
Hong, S.; Kim, J.; Jun, T. Failure Prediction for the Tearing of a Pin-Loaded Dual Phase Steel (DP980) Adjusting Guide. Appl. Sci. 2019, 9, 5460. https://doi.org/10.3390/app9245460
Hong S, Kim J, Jun T. Failure Prediction for the Tearing of a Pin-Loaded Dual Phase Steel (DP980) Adjusting Guide. Applied Sciences. 2019; 9(24):5460. https://doi.org/10.3390/app9245460
Chicago/Turabian StyleHong, Seokmoo, Jinkyoo Kim, and Taehwan Jun. 2019. "Failure Prediction for the Tearing of a Pin-Loaded Dual Phase Steel (DP980) Adjusting Guide" Applied Sciences 9, no. 24: 5460. https://doi.org/10.3390/app9245460
APA StyleHong, S., Kim, J., & Jun, T. (2019). Failure Prediction for the Tearing of a Pin-Loaded Dual Phase Steel (DP980) Adjusting Guide. Applied Sciences, 9(24), 5460. https://doi.org/10.3390/app9245460

