Abstract
Nickel oxide and Sc-doped ZrO2 electrode material with a 1:1 wt % composition of NiO and Zr0.84Sc0.16O1.92 was synthesized via a single-step glycine-nitrate combustion method. Different glycine to nitrate (g/n) molar ratios of 0.27, 0.54, and 1.1 were used to investigate its effect on the structural, morphological, and electrical properties of the heat-treated samples. X-ray diffraction (XRD) patterns of the as-sintered samples for all the g/n ratios were indexed to cubic phases of NiO and ScSZ. Upon reduction at 700 °C, NiO was fully reduced to Ni. In-situ XRD patterns showed that the composite Ni/Zr0.84Sc0.16O1.92 electrode material retains its cubic structure at intermediate temperatures from 500 °C to 800 °C. High magnification scanning electron microscopy (SEM) images revealed that nanoparticles of Ni are also formed and situated at the surfaces of ScSZ grains, apart from agglomerated submicron particles of Ni. SEM and electron-dispersive spectroscopy mapping revealed interconnected grains of ScSZ oxide-ion conducting phase. From the calculated conductivity based on electrochemical impedance spectroscopy results, the 0.27 g/n ratio showed an order of magnitude-higher total conductivity among the other prepared samples.
1. Introduction
Solid oxide electrochemical cells such as solid oxide fuel cell (SOFC) or solid oxide electrolysis cells (SOEC) are promising future green energy technologies for energy generation and production of hydrogen. SOEC is a solid oxide fuel cell that works in a reversed mode of operation. SOEC and SOFC are typically composed of an anode, cathode, and a solid electrolyte as the three basic cell components, where the SOFC anode becomes the cathode in SOEC when operated in the reverse mode. In order to circumvent the problems associated with high temperature of operation (around 1000 °C), such as degradation during long-term high temperature exposure, ongoing research efforts have been dedicated to developing new material components or tailoring the existing material in order to lower the operation to intermediate temperatures of around 500–800 °C [1,2,3].
For the electrode material, a mixed ionic and electronic conducting material or composite that provides both electronic as well as ionic conductivity as an electrode is needed. The typically studied cathode material for SOEC is Ni/yttrium-stabilized zirconia (YSZ) due to the use of YSZ as a solid electrolyte. YSZ is a typical solid electrolyte that is widely studied due to its high phase stability and high ionic conductivity [2]. However, at intermediate temperatures (around 500 °C to 800 °C), it exhibits low ionic conductivity [4]. One promising solid electrolyte is the Sc-doped ZrO2 (ScSZ) material system that shows higher ionic conductivity than YSZ at lower temperatures [5,6,7]. Hence, using this Sc-based ZrO2 for both the solid electrolyte and the ionic conducting phase of the electrode may enhance SOEC or SOFC performance at intermediate operating temperatures.
Only limited reports have been published on the combination of ScSZ with Ni as an electrode material. In SOFC mode, electrode materials using Ni and 10Sc1CeSZ:ZrO2 [4], Ni/10 mol%Sc2O3-1 mol%Y2O3-stabilized ZrO2 [8], Ni/10Sc2O3-1CeO2-89ZrO2 [9,10], Ni/10 mol%Sc2O3-90 mol % ZrO2 [10,11], and Ni/Zr0.81Sc0.19O1.905 [12] have been reported. For the preparation of these electrode materials, the typical synthesis method involves using a solid state reaction. In our previous work, we employed a modified glycine-nitrate combustion method to synthesize NiO/YSZ [13]. The use of the glycine-nitrate (g/n) combustion method significantly decreases the sintering temperature and produces a much finer morphology compared with the solid state reaction method [1,2,11]. The microstructure can also be tailored using this combustion process using different g/n ratio [14].
In this study, a composite of Ni and 8 mol % Sc2O3-stabilied ZrO2 or Ni/ Zr0.84Sc0.16O1.92 electrode material was synthesized using a single-step glycine-nitrate combustion method. The 8 mol % Sc2O3-stabilied ZrO2 with Zr0.84Sc0.16O1.92 composition has not been reported in the literature in combination with Ni as an electrode material, either as an anode for SOFC or as a cathode for SOEC. In addition, three different glycine to nitrate molar ratios (g/n = 0.27, 0.54, and 1.1) were used for the synthesis and the resulting microstructure and conductivity of the sintered samples were investigated.
2. Experimental Methods and Materials
2.1. Sample Preparation
A composite powder 50 wt% NiO and 50 wt% Zr0.84Sc0.16O1.92 was prepared using the modified glycine-nitrate combustion method using the following starting reagents: ZrO2 (97.2%, Emfutur), Sc2O3 (99.9%, Sigma-Aldrich) NiO (99.8%, Sigma-Aldrich), and glycine (98.5%, Ajax Finechem). In a single beaker, stoichiometric amounts of ZrO2, Sc2O3, and NiO were simultaneously dissolved in a nitric acid solution heated using a hot plate until a green mixture was formed. Different amounts of glycine were then added into the resulting green mixture to achieve various g/n ratios of 0.27, 0.54, and 1.1. Heating with occasional stirring was continued to evaporate excess water and until a viscous solution was formed. The viscous solution was heated using a hot plate until self-combustion occurred. The as-combusted powder was calcined at 1000 °C for 6 h. Disc-shape NiO/ScSZ pellets were obtained by uniaxial compression of the as-calcined powder at 10 MPa followed by sintering at 1300 °C for 6 h in a muffle furnace. The sintered NiO/ScSZ pellet was reduced under a gas mixture of 95% Ar-5% H2 with flow rate of 100 cc/min at a temperature of 700 °C for 2 h to form the Ni/ScSZ cermet pellet.
2.2. Sample Characterization
Powder X-ray diffraction (XRD) patterns were recorded at room temperature on a Rigaku High Resolution Smartlab X-ray diffractometer using Cu-Kα radiation (λ = 1.5406 Å) with a scan speed of 5 °/min and a step width of 0.01 ° and in-situ high temperature using Pt sample holder with the high temperature set-up. The sintered NiO/ScSZ pellet and the reduced Ni/ScSZ pellet were characterized for their microstructure using a Hitachi S-3400N scanning electron microscope (SEM). High magnification morphological images were obtained using a Hitachi SU-8230 field-emission scanning electron microscope (FE-SEM). Using the same FE-SEM machine, energy-dispersive spectroscopy (EDS) data were obtained using a Horiba X-maxN 50 sq. mm window X-Ray detector at an acceleration voltage of 10 kV.
Conductivity measurements for the bulk pellets with Ag paste as the current collector were performed at intermediate temperatures from 500 °C to 700 °C in 50 °C increments using electrochemical impedance spectroscopy (EIS) in a two-electrode configuration using Biologic VMP-300 Potentiostat/Galvanostat system with a signal amplitude of 100 mV in the frequency range of 7 MHz to 1 Hz, and using either Ar, O2, or Ar/5%H2 gas flow environment at 100 cc/min flow rate. Resistance values were determined from impedance data using the Z-fit tool of EC-Lab® (version 11.16) software.
3. Results and Discussion
Three different samples of 50 wt % NiO and 50 wt % Zr0.84Sc0.16O2-δ compositions using different glycine-to-nitrate ratios were synthesized via a modified single-step glycine-nitrate combustion method. In this study, the composite powder of NiO and ScSZ was synthesized using a single-step combustion method wherein the precursor reagents of these two phases, NiO and ScSZ, were mixed in a glassware, in contrast to our previous work, using a double combustion method wherein one phase was GNP-synthesized first before mixing and combusting the second phase [13]. This modified single-step preparation using simple and readily available oxides will be advantageous in the facile preparation of this composite electrode material. In order to study the resulting properties of the prepared samples using this single-step approach, the structure, morphology, and conductivity were investigated.
Figure 1 shows the XRD stack patterns for the 0.27 g/n ratio (Figure 1a), 0.54 g/n ratio (Figure 1b), and 1.1 g/n ratio (Figure 1c). For the as-combusted samples, the observed peaks and phases and their relative intensity varied with different g/n ratios. As the g/n ratio increases, the formation of Ni phase increases and the formation of NiO decreases. The observed formation of monoclinic ZrO2 (m-ZrO2) is also the main phase for the smallest g/n ratio compared with the already-formed ScSZ phase for the higher g/n ratio.
Figure 1.
X-ray diffraction (XRD) stack patterns of the as-combusted, as-calcined, as-sintered NiO/ScSZ, and as-reduced Ni/ScSZ bulk pellets for g/n ratios of (a) 0.27, (b) 0.54, and (c) 1.1.
For the as-sintered samples in all g/n ratios, the phases observed in the XRD pattern were indexed to both cubic phases of NiO (PDF 00-047-1049, a = 4.177 Å) and Zr0.8Sc0.2O1.9 (PDF 01-089-5485, a = 5.091 Å). The calculated lattice parameters for sintered samples of NiO and Zr0.84Sc0.16O1.92 are 4.186 Å, 4.184 Å, and 4.1799 Å, and 5.094 Å, 5.093 Å, and 5.090 Å for g/n ratio of 0.27, 0.54, and 1.1, respectively. Compared to the YSZ with a lattice parameter of 5.141 Å (PDF 01-083-9463), the lattice parameter of ScSZ is smaller due to a smaller ionic radius of Sc (0.885 Å) compared to Y3+ (1.1 Å) into the Zr4+ (0.92 Å) lattice site [13,15].
The room temperature XRD patterns of the reduced samples are shown in the topmost pattern in Figure 1a–c. It can be observed that the NiO peaks completely disappear with the formation of the metallic Ni phase. The observed Ni phase can be indexed to cubic Ni (PDF 00-004-0850) with a lattice parameter of 3.529 Å, 3.529 Å, and 3.527 Å for g/n ratios of 0.27, 0.54, and 1.1, respectively.
Figure 2 reveals the porous microstructures of the as-sintered bulk pellets of NiO/ScSZ (Figure 2a–c) and reduced Ni/ScSZ (Figure 2e,f) at all g/n ratios. It can be observed that the smallest g/n ratio is denser compared with the other two g/n ratios for the as-sintered composites. Upon reduction of these samples to obtain the Ni/ScSZ, the dense and agglomerated particles then revealed a more porous channel or separation in between the grains due to volume reduction and shrinkage when oxygen is released upon reduction of NiO to Ni. From the observed results, the 0.27 g/n ratio showed a more desirable homogeneous porous morphology compared with the other prepared samples.
Figure 2.
Scanning electron microscopy (SEM) micrographs at 10,000× magnification for sintered NiO/ScSZ (top) and reduced Ni/ScSZ (bottom) using g/n ratios of (a,e) 0.27, (b,d) 0.54, and (c,f) 1.1.
In order to investigate the morphology and composition of the unreduced NiO/ScSZ and the reduced Ni/ScSZ with a 0.27 g/n ratio sample, EDS elemental mapping was performed and the results are shown in Figure 3. As shown in the figure, the NiO and ScSZ ceramics are well mixed in a micron-range distance throughout the sample. The NiO phase is also about 1 micron in size. For the reduced Ni/ScSZ EDS mapping, we observed that there is agglomeration of Ni in the map, which is situated in the vicinity of the connected grains of ScSZ.
Figure 3.
Electron-dispersive spectroscopy (EDS) mapping of as sintered NiO/ScSZ (top images) and reduced Ni/ScSZ (bottom image) for a g/n ratio of 0.27, showing the elemental map of Zr, Sc, Ni, and O.
Although from Figure 3, the Ni phase seems to agglomerate, the high magnification SEM images in Figure 4 clearly reveal that some nanoparticles of Ni are attached at the surfaces of the micrograined size ScSZ apart from the agglomerated ones. These Ni nanoparticles can be observed as fine yellow dots in the EDS mapping in Figure 3. This particular morphology may be important in increasing the triple-phase boundary (TPB) reaction sites. For SOEC applications, the TPB is an important site as this is a region of contact for the steam gaseous phase, ion conducting electrolyte phase, and electronic conducting electrode phase and where the reaction occurs. For this particular electrode material for SOEC, ScSZ is the ion conducting phase, the pore is where the gaseous steam flows in, and Ni is the electron- conducting electrode phase and a catalyst. Hence, the rate of the chemical reaction is proportional to the number of these active TPBs. Though the Ni particles appeared to be somewhat agglomerated, as shown in the EDS map in Figure 3, there are scattered Ni nanograins or nanoparticles situated at the surfaces of ScSZ grains, as revealed in Figure 4. Although the Ni nanoparticles are not connected, if electronic conductivity exists within the electrode, or such nanoparticles are connected or can be connected to the current collector, these nanoparticles that also act as a catalyst may play an important role and may contribute to the active TPBs. From the conductivity results in this study, it seems that the total conductivity of the electrode (Ni/ScSZ) is dominated by electronic conduction with the low activation energy (Figure 6). Hence, the observed Ni nanoparticles may be advantageous. Further study is needed to investigate the activity of these nanoparticles and if they will contribute to active TPBs [16].
Figure 4.
SEM images of reduced Ni/ScSZ (g/n = 0.27) at high magnifications with 20,000× (top) and 50,000× (bottom).
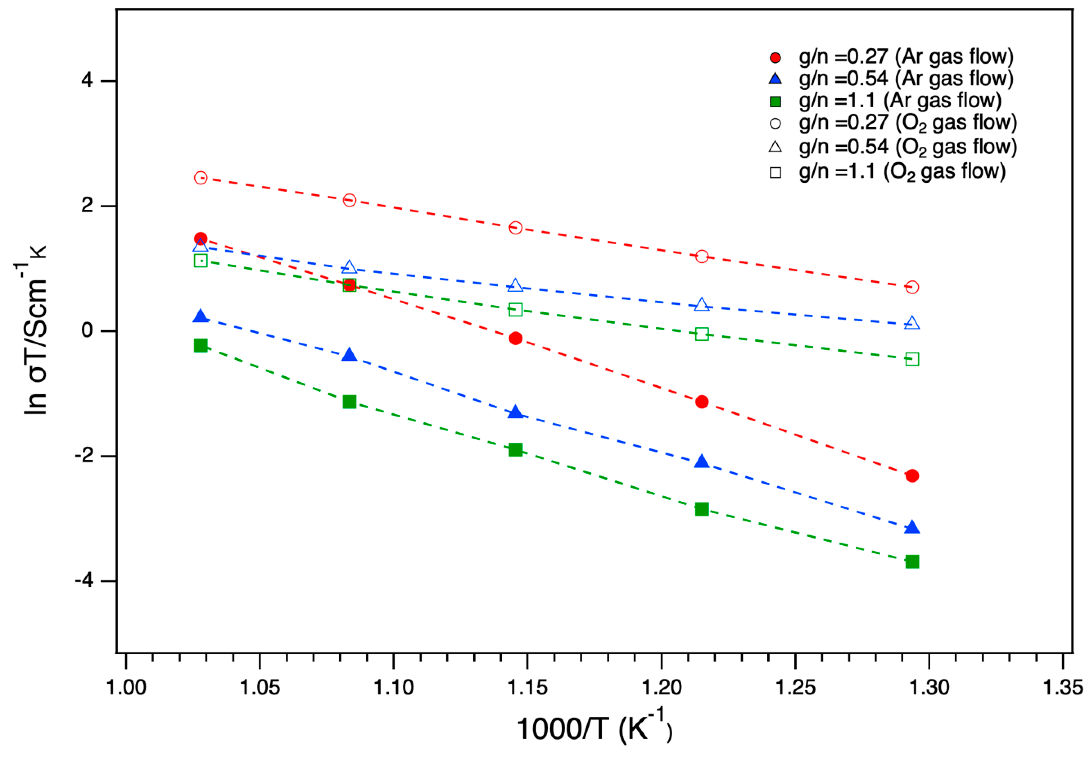
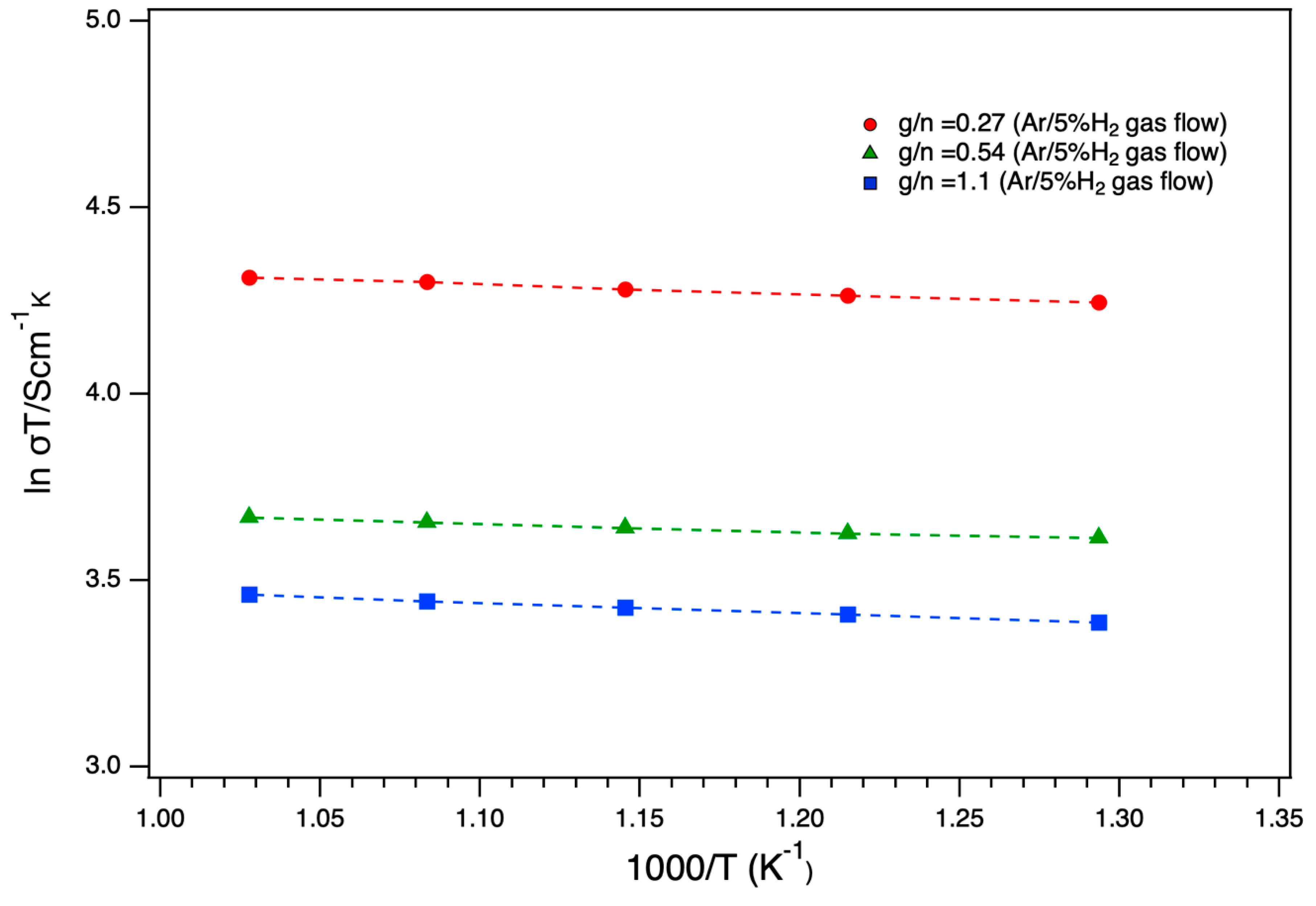
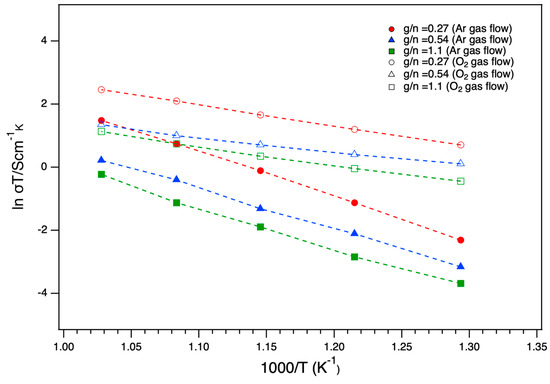
The Arrhenius-type plots of the total conductivities of NiO/ScSZ samples with different g/n ratios under Ar and O2 gas flow environments, and under a Ar/5%H2 gas flow environment, at a 500–700 °C operating temperature range are shown in Figure 5 and Figure 6, respectively. The conductivities were calculated based on the results of the EIS measurements, wherein the resistance observed can be related to the conductivity with the following equation:
where the resistance (R) taken from EIS Nyquist plot can then be converted to conductivity (σ) using the cross-sectional area (A) and thickness (t) of the sample pellet. As shown in Figure 5, under O2 gas flow environment, the samples showed higher total conductivity compared to the Ar gas flow, which is possibly due to the increase in the oxide ion conductivity contribution from ScSZ and/or other defect associations with the NiO phase under the oxidizing atmosphere. Since conductivity is related to the concentration of the mobile oxide ions and its mobility, the concentration may be depleted under pure Ar gas flow by the creation of oxygen vacancies, dictated by the charge balance of Sc3+ doping into the Zr4+ cationic site in the ZrO2 lattice structure. Hence, the calculated activation energy (Ea) under pure Ar gas is higher compared to O2 gas flow environment. The doping of Sc3+ on the Zr4+ lattice site is given in Equation (2) using the Kroger-Vink notation:
Figure 5.
Arrhenius-type plot of the total conductivity at intermediate temperatures for NiO/ScSZ with different g/n ratios under Ar and O2 gas flow environment from 500 °C to 700 °C.
Figure 6.
Arrhenius-type plot of the total conductivity at intermediate temperatures for the reduced Ni/ScSZ with different g/n ratios under Ar/5%H2 gas flow environment from 500 °C to 700 °C.
Among the g/n ratios, 0.27 showed the highest total conductivity. At 700 °C, the total conductivity of the 0.27 g/n sample was 4.5 × 10−3 S/cm and 1.2 × 10−2 S/cm under Ar and O2 gas flow environments, respectively. The calculated activation energies are 1.23 eV, 1.10 eV, and 1.16 eV under Ar and 0.57 eV, 0.40 eV, and 0.51 eV under O2 gas flow for g/n ratios of 0.27, 0.54, and 1.1, respectively.
Using the 2-electrode configuration in the EIS measurements, the calculated total conductivities of the reduced samples in Arrhenius-type plot are shown in Figure 6. The g/n ratio of 0.27 has almost twice the conductivity compared to the other samples. The total conductivities at 700 °C are 7.66 × 10−2 S/cm, 4.03 × 10−2 S/cm, and 3.27 × 10−2 S/cm for 0.27, 0.54, and 1.1 g/n ratios, respectively. The reduced Ni/ScSZ samples has higher total conductivity than NiO/ScSZ. Although, there are only few or no reports for the total conductivity of Ni/ Zr0.84Sc0.16O1.92 with 1:1 wt % composition, the conductivity is lower if compared to the reported Ni/YSZ cermet, which is about 300–1000 S/cm [17,18]. This may be due to the limitation of the EIS measurement employed in this study compared to the four-point probe direct current (DC) technique. With the same EIS measurement, another study reported an electrical conductivity of 1.58 S/cm at 900 °C for Ni/YSZ [19]. In addition, the lower total conductivity observed in this study for Ni/ScSZ may be due to the more porous nature of our reduced sample. For thin film of Ni/10ScSZ with 40 vol % Ni, an electrical conductivity of 300 S/cm at 700 °C was reported using the four-point probe DC technique [11]. Hence, our future study will involve further characterization of Ni/ScSZ using the four-point probe DC technique and to investigate the ionic and electronic contributions to the total conductivity.
In order to investigate the structural change in ScSZ in the Ni/ScSZ cathode composition, in-situ high-temperature XRD was conducted. Figure 7 shows the in-situ XRD stack patterns of the reduced Ni/ScSZ sample for the 0.27 g/n ratio under a A5/5%H2 gas flow. The pattern revealed that ScSZ with the Zr0.84Sc0.16O1.92 composition can retain its cubic phase structure as observed from the XRD results when subjected to 500–800 °C operating temperatures. Figure 7b shows the 111 peaks, and the pattern suggested a cubic phase retention at these intermediate temperatures. There is a remnant formation of NiO due to possible oxidation of the reduced Ni inside the in-situ high temperature XRD sample chamber apparatus due to remaining oxygen inside the apparatus that was not vacuumed. Figure 8 shows the calculated lattice constant change in ScSZ and Ni, which revealed a slight increase in the cubic lattice constant at 500–800 °C. At room temperature, the lattice constant calculated is 5.09 Å and 3.53 Å for ScSZ and Ni, respectively.
Figure 7.
In-situ high temperature XRD stack patterns of the as-reduced Ni/ScSZ for a g/n ratio of 0.27, showing the structure at 500–800 °C intermediate temperatures.
Figure 8.
Lattice constant change during the high-temperature XRD analysis of Ni/ScSZ at 500–800 °C.
4. Conclusions
NiO/ScSZ was successfully synthesized via the glycine-nitrate combustion method. Using different g/n ratios, the 0.27 g/n ratio showed good morphology upon reduction to Ni/ScSZ with good ScSZ phase connectivity. For this 0.27 g/n sample, the Ni phase is situated along the micrograined size electrolyte vicinity, as revealed by EDS mapping, and at the surfaces of ScSZ grain as Ni nanoparticles, as observed by SEM images. Room-temperature XRD patterns showed a cubic phase structure of NiO and cubic phase structure of Zr0.84Sc0.16O1.92 sample composition. The conductivity measurement revealed that the 0.27 g/n ratio sample provides the highest total conductivity for both the as-sintered NiO/ScSZ and reduced Ni/ScSZ. In-situ high temperature XRD patterns showed that ScSZ retains its cubic phase at 500–800 °C intermediate temperatures.
Author Contributions
All authors contributed to conceptualizing and performing the experiments, data analyses, and writing the article. Supervision, Project Administration, and Funding Acquisition, R.B.C.
Funding
This research was funded by the Philippine-California Advanced Research Institute-Commission on Higher Education Institute (PCARI-CHED) for Information Infrastructure Development GREENPower research grant (IIID-2015-09) and in part by the Engineering Research and Development for Technology scholarship Department of Science and Technology (ERDT-DOST).
Conflicts of Interest
The authors declare no conflict of interest.
References
- Lakshmi, V.; Bauri, R.; Gandhi, A.; Paul, S. Synthesis and characterization of nanocrystalline ScSZ electrolyte for SOFCs. Int. J. Hydrog. Energy 2011, 36, 14937–14942. [Google Scholar]
- Jais, A.A.; Ali, S.M.; Anwar, M.; Somalu, M.R.; Muchtar, A.; Isahak, W.; Tan, C.Y.; Singh, R.; Brandon, N. Enhanced ionic conductivity of Scandia-ceria-stabilized-zirconia (10Sc1CeSZ) electrolyte syntheized by the microwave-assisted glycine nitrate process. Ceram. Int. 2017, 43, 8119–8125. [Google Scholar] [CrossRef]
- Cervera, R.B.; Miyoshi, S.; Oyama, Y.; Elammari, Y.; Yagi, T.; Yamaguchi, S. Perovskite-Structured BaScO2(OH) as a Novel Proton Conductor: Heavily Hydrated Phase Obtained via Low-Temperature Synthesis. Chem. Mater. 2013, 25, 1483–1489. [Google Scholar] [CrossRef]
- Panthi, D.; Choi, B.; Tsutsumi, A. Fabrication and evaluation of a micro-tubular solid oxide fuel cell with an inert support, using Scandia-stabilized zirconia electrolyte. J. Electrochem. Soc. 2015, 162, F1555–F1560. [Google Scholar] [CrossRef]
- Abbas, H.A.; Argirusis, C.; Kilo, M.; Wiemhofer, H.D.; Hammad, F.F.; Hanafi, Z.M. Preparation and conductivity of ternary Scandia-stabilized zirconia. Solid State Ion. 2011, 184, 6–9. [Google Scholar] [CrossRef]
- Yamamoto, O.; Sakai, A.; Takeda, Y.; Imanishi, N.; Mizutani, Y.; Kawai, M.; Nakamura, Y. Zirconia based oxide ion conductors for solid oxide fuel cells. Ionics 1998, 4, 403–408. [Google Scholar] [CrossRef]
- Borik, M.A.; Bredikhin, S.I.; Bublik, V.T.; Kulebyakin, A.V.; Kuritsina, I.E.; Lomonova, E.E.; Milovich, F.O.; Myzina, V.A.; Osiko, V.V.; Ryabockhkina, P.A.; et al. Phase composition, structure and properties of (ZrO2)1-x-y(Sc2O3)x(Y2O3)y solid solution cyrstals (x = 0.08-0.11; y = 0.01 − 0.02) grown by directional crystallization of the melt. J. Cryst. Growth 2017, 457, 122–127. [Google Scholar] [CrossRef]
- Ramos, T.; Sogaard, M.; Mogensen, M.B. Electrochemical characterization of Ni/ScYSZ electrodes as SOFC anodes. J. Electrochem. Soc. 2014, 16194, F434–F444. [Google Scholar] [CrossRef]
- Sumi, H.; Ukai, K.; Mizutani, Y.; Mori, H.; Wen, C.J.; Takahashi, H.; Yamamoto, O. Performance of nickel-scandia-stabilized zirconia cermet anodes for SOFCs in 3% H2O-CH4. Solid State Ion. 2004, 174, 151–156. [Google Scholar] [CrossRef]
- Zhang, C.; Lin, Y.; Ran, R.; Shao, Z. Improving single-chamber performance of an anode-supported SOFC by impregnating anode with active nickel catalyst. Int. J. Hydrog. Energy 2010, 35, 8171–8176. [Google Scholar] [CrossRef]
- Somalu, M.R.; Yufit, V.; Cumming, D.; Lorente, E.; Brandon, N.P. Fabrication and characterization of Ni/ScSZ cermet anodes for IT-SOFCs. Int. J. Hydrog. Energy 2011, 36, 5557–5566. [Google Scholar] [CrossRef]
- Spirin, A.V.; Nikonov, A.V.; Lipilin, A.S.; Khrustov, V.R.; Kuterbekov, K.A.; Nurakhmetov, T.N.; Bekmyrza, K.Z. Effect of structural parameters of Ni-ScSZ cermet components on the SOFC anodes characteristics. Russ. J. Electrochem. 2016, 52, 613–621. [Google Scholar] [CrossRef]
- Bueta, F.R.; Imperial, J.F.; Cervera, R.B. Structure and conductivity of NiO/YSZ composite prepared via modified glycine-nitrate process at varying sintering temperatures. Ceram. Int. 2017, 43, 16174–16177. [Google Scholar] [CrossRef]
- Lei, Z.; Zhu, Q.; Zhang, S. Nanocrystalline Scandia-doped zirconia (ScSZ) powders prepared by a glycine-nitrate solution combustion route. J. Eur. Ceram. Soc. 2006, 26, 397–401. [Google Scholar] [CrossRef]
- Shannon, R.D. Revised ionic radii and systematic studies of interatomic distances in halides and chalcogenides. Acta Cryst. 1976, A32, 751–766. [Google Scholar] [CrossRef]
- Lu, X.; Heenan, T.; Balley, J.; Li, T.; Li, K.; Brett, D.; Shearing, P. Correlation between triple phase boundary and the microstructure of Solid Oxide Fuel Cell anodes. J. Power Sources 2017, 365, 210–219. [Google Scholar] [CrossRef]
- Pihlatie, M.H.; Kaiser, A.; Mogensen, M.; Chen, M. Electrical conducitivity of Ni-YSZ composites: Degradation due to Ni particle growth. Solid State Ion. 2011, 189, 82–90. [Google Scholar] [CrossRef]
- Davarpanah, A.; Yaremchenko, A.A.; Fagg, D.P.; Frade, J.R. Ni-YSZ cermets for solid oxide fuel cell anodes via two-step firing. Int. J. Hydrog. Energy 2014, 39, 15046–15056. [Google Scholar] [CrossRef]
- Marinsek, M.; Zupan, K.; Maeek, J. Ni–YSZ cermet anodes prepared by citrate/nitrate combustion synthesis. J. Power Sources 2002, 106, 178–188. [Google Scholar] [CrossRef]
© 2019 by the authors. Licensee MDPI, Basel, Switzerland. This article is an open access article distributed under the terms and conditions of the Creative Commons Attribution (CC BY) license (http://creativecommons.org/licenses/by/4.0/).







