Prediction and Sound Quality Analysis of Tire Pattern Noise Based on System Identification by Utilizing an Optimal Adaptive Filter
Abstract
:Featured Application
Abstract
1. Introduction
2. Prediction of Tire Pattern Noise Based on System Identification
2.1. Mechanism of Tire Pattern Noise
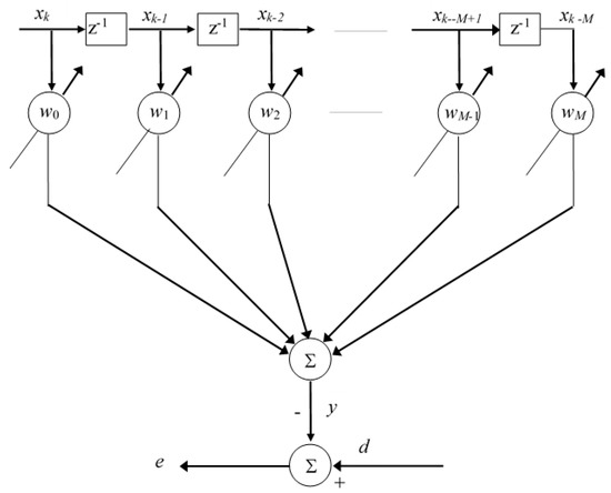
2.2. System Identification Based on Adaptive Filter Theory
2.3. Optimal Adaptive Filter Theory
2.4. Estimation of Pattern Noise Using the Optimal Adaptive Filter
3. Sound Quality Analysis of Pattern Noise
3.1. Jury Evaluation
3.2. SQI of the Tire Pattern Noise
3.3. Sound Quality Analysis Based on Predicted Pattern Noises
4. Discussion
5. Conclusions
Author Contributions
Funding
Acknowledgments
Conflicts of Interest
References
- Zhang, L.; Kang, J.; Luo, H.; Zhong, B. Drivers’ physiological response and emotional evaluation in the noisy environment of the control cabin of a shield tunneling machine. Appl. Acoust. 2018, 138, 1–8. [Google Scholar] [CrossRef]
- Lee, S.M.; Lee, S.K. Objective evaluation of human perception of automotive sound based on physiological signal of human brain. Int. J. Automot. Technol. 2014, 15, 273–282. [Google Scholar] [CrossRef]
- Lee, S.M.; Lee, S.K.; Shin, T.; Han, M. Annoyance, Detectability, Electric vehicle, Masking effect, Sound quality, Whine index Objective Evaluation of the Sound Quality of the Warning Sound of Electric Vehicles with a Consideration of the Masking Effect: Annoyance and Detectability. Int. J. Automot. Technol. 2017, 18, 699–705. [Google Scholar] [CrossRef]
- Sandberg, U.; Ejsmont, J. Tyre/Road Noise; INFORMEX: Kisa, Sweden; Harg, Sweden, 2002. [Google Scholar]
- Losa, M.; Leandri, P.; Licitra, G. Mixture design optimization of low-noise pavements. Transp. Res. Rec. 2013, 2, 25–33. [Google Scholar] [CrossRef]
- Hamet, J.F.; Klein, P. Road texture and tire noise. In Proceedings of the Inter Noise, Nice, France, 27–30 August 2000; pp. 178–183. [Google Scholar]
- Losa, M.; Leandri, P.; Bacci, R. Empirical Rolling Noise Prediction Models Based on Pavement Surface Characteristics. Road Mater. Pavement Des. 2010, 11, 487–506. [Google Scholar] [CrossRef]
- Licitra, G.; Cerchiai, M.; Teti, L.; Ascari, E.; Bianco, F.; Chetoni, M. Performance assessment of low-noise road surfaces in the Leopoldo project: Comparison and validation of different measurement methods. Coatings 2015, 5, 3–25. [Google Scholar] [CrossRef]
- Praticò, F.G. On the dependence of acoustic performance on pavement characteristics. Transp. Res. Part D Transp. Environ. 2014, 29, 79–87. [Google Scholar] [CrossRef]
- Licitra, G.; Teti, L.; Cerchiai, M.; Bianco, F. The influence of tyres on the use of the CPX method for evaluating the effectiveness of a noise mitigation action based on low-noise road surfaces. Transp. Res. Part D Transp. Environ. 2017, 55, 217–226. [Google Scholar] [CrossRef]
- Licitra, G.; Moro, A.; Teti, L.; Del Pizzo, A.; Bianco, F. Modelling of acoustic ageing of rubberized pavements. Appl. Acoust. 2019, 146, 237–245. [Google Scholar] [CrossRef]
- Subbian, J.; Padmanaban, S.; Skp, A. Investigation of Tyre Acoustic Cavity Mode Induced In-Cabin Noise. In Proceedings of the SAE Noise and Vibration Conference, Grand Rapid, MI, USA, 10–13 June 2019. SAE 2019-26-0187. [Google Scholar]
- Morgan, P.A.; Phillips, S.M.; Watts, G.R. The Localisation, Quantification and Propagation of Noise from a Rolling Tire; Project Report 104; TRL Limited: Wokingam, UK, 2007. [Google Scholar]
- Li, T. Literature review of tire-pavement interaction noise and reduction approaches. J. Vibroeng. 2018, 20, 2424–2452. [Google Scholar] [CrossRef]
- Kim, E.Y.; Hwang, S.U.; Lee, S.K. Image-based Approach to Optimize the Tyre Pitch Sequence for a Reduction in the Air-pumping Noise based on a Genetic Algorithm. Proc. Inst. Mech. Eng. Part D J. Automob. Eng. 2012, 226, 1171–1184. [Google Scholar] [CrossRef]
- Hayden, R.E. Roadside noise from the interaction of a rolling tire with road surface. In Proceedings of the Purdue Noise Conference, West Lafayette, IN, USA, 14–16 July 1971; pp. 62–67. [Google Scholar]
- Haykin, S. Adaptive Filter Theory, 4th ed.; Prentice Hall: Upper Saddle River, NJ, USA, 2002; pp. 666–682. [Google Scholar]
- Shin, K.; Hammond, J. Fundamentals of Signal Processing for Sound and Vibration Engineering; Wiley: Hoboken, NJ, USA, 2008; pp. 57–118. [Google Scholar]
- Kim, T.G.; Lee, S.K.; Lee, K.H.; Park, D.C.; Kim, S.J. Characterization and Quantification of Luxury Sound Quality in Premium-class Passenger Cars. Proc. Inst. Mech. Eng. Part D J. Automob. Eng. 2009, 223, 343–353. [Google Scholar] [CrossRef]
- Gorsuch, R.L. Factor Analysis, 2nd ed.; Lawrence Erlbaum Associates: Mahwah, NJ, USA, 1983; pp. 94–238. [Google Scholar]
- Fastl, H.; Zwicker, E. Psychoacoustics–Facts and Models, 3rd ed.; Springer: Berlin/Heidelberg, Germany, 2006; pp. 203–264. [Google Scholar]
- Lee, S.K. Objective evaluation of interior sound quality in passenger cars during acceleration. J. Sound Vib. 2008, 310, 149–168. [Google Scholar] [CrossRef]
- Myers, R.H. Classical and Modern Regression with Applications, 2nd ed.; Duxbury Resource Center: Middletown, RI, USA, 1984; pp. 8–80. [Google Scholar]










| Model | Non-Standardization Coefficient | Standardization Coefficient | t | p | |
|---|---|---|---|---|---|
| B | Standard Error | β | |||
| (constant) | 13.743 | 1.151 | 11.943 | 0.000 | |
| Loudness | −0.088 | 0.026 | −1.027 | −3.328 | 0.013 |
| Sharpness | −0.104 | 0.358 | 0.090 | 0.292 | 0.0779 |
© 2019 by the authors. Licensee MDPI, Basel, Switzerland. This article is an open access article distributed under the terms and conditions of the Creative Commons Attribution (CC BY) license (http://creativecommons.org/licenses/by/4.0/).
Share and Cite
Lee, S.-K.; An, K.; Cho, H.-Y.; Hwang, S.-U. Prediction and Sound Quality Analysis of Tire Pattern Noise Based on System Identification by Utilizing an Optimal Adaptive Filter. Appl. Sci. 2019, 9, 3995. https://doi.org/10.3390/app9193995
Lee S-K, An K, Cho H-Y, Hwang S-U. Prediction and Sound Quality Analysis of Tire Pattern Noise Based on System Identification by Utilizing an Optimal Adaptive Filter. Applied Sciences. 2019; 9(19):3995. https://doi.org/10.3390/app9193995
Chicago/Turabian StyleLee, Sang-Kwon, Kanghyun An, Hye-Young Cho, and Sung-Uk Hwang. 2019. "Prediction and Sound Quality Analysis of Tire Pattern Noise Based on System Identification by Utilizing an Optimal Adaptive Filter" Applied Sciences 9, no. 19: 3995. https://doi.org/10.3390/app9193995
APA StyleLee, S.-K., An, K., Cho, H.-Y., & Hwang, S.-U. (2019). Prediction and Sound Quality Analysis of Tire Pattern Noise Based on System Identification by Utilizing an Optimal Adaptive Filter. Applied Sciences, 9(19), 3995. https://doi.org/10.3390/app9193995

