Performance Improvement for Mixed RF–FSO Communication System by Adopting Hybrid Subcarrier Intensity Modulation
Abstract
1. Introduction
2. System and Channel Model
3. Performance Analysis
3.1. Outage Probability
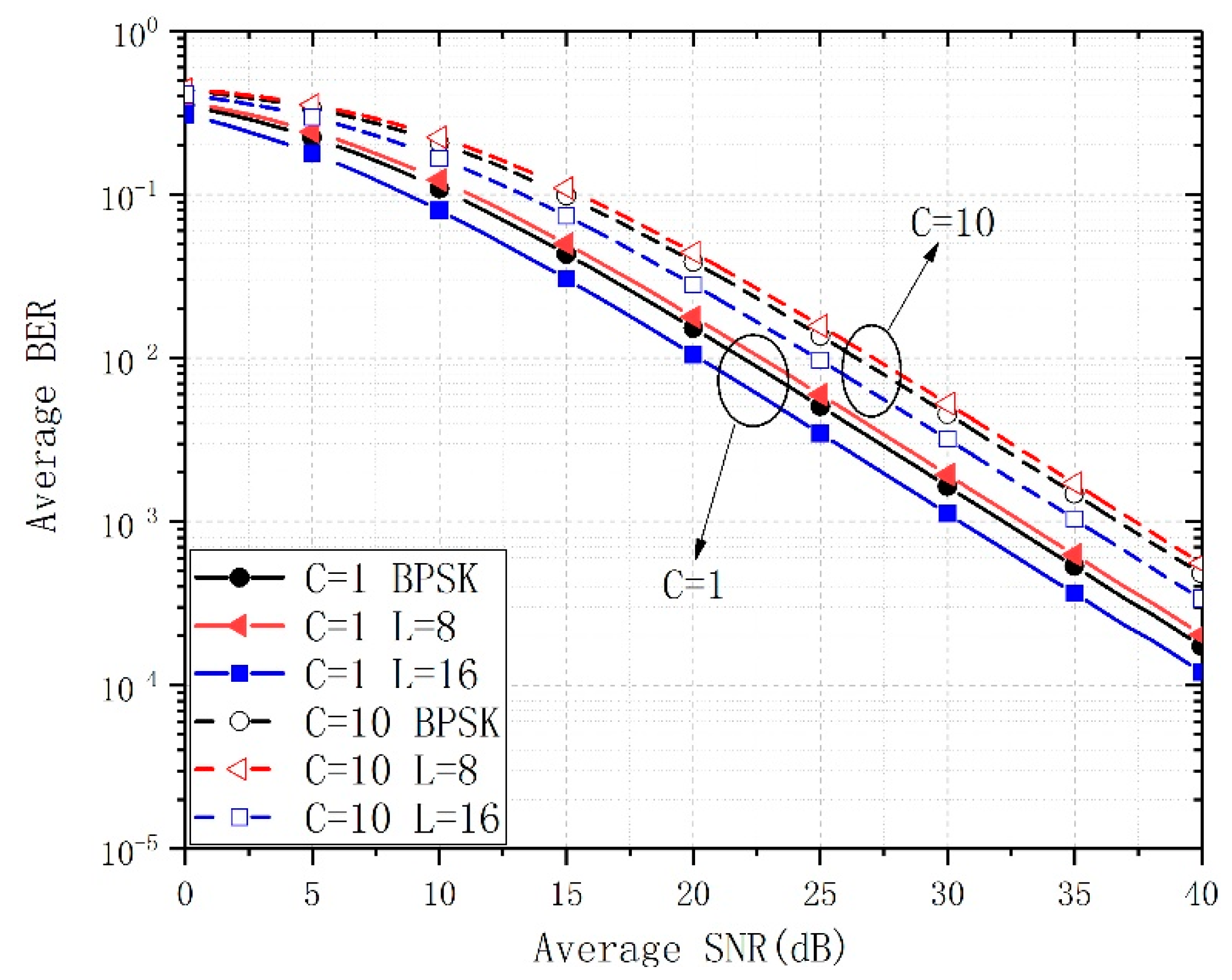
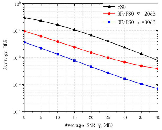
3.2. Average Bit Error Rate
3.3. Average Capacity
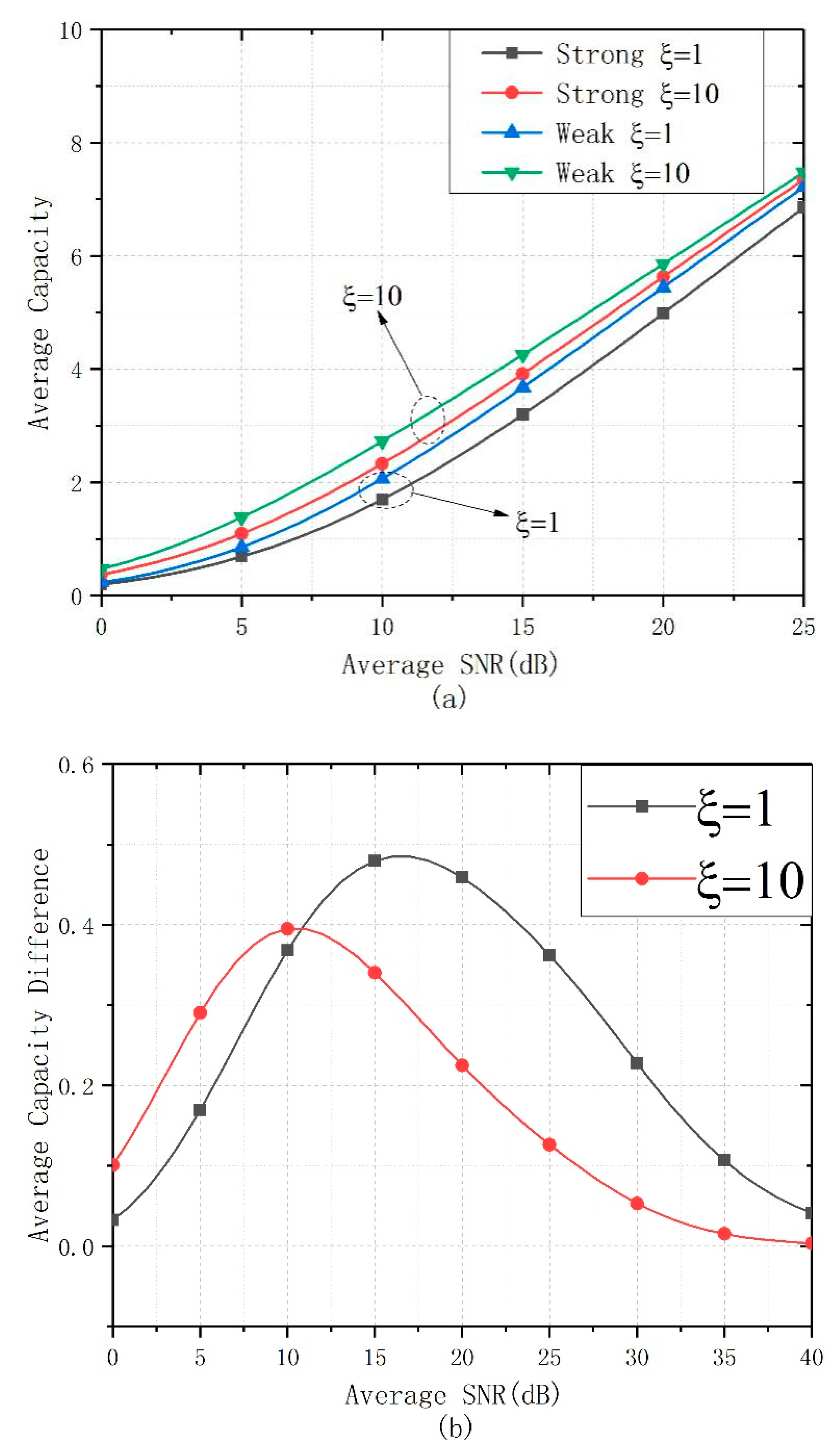
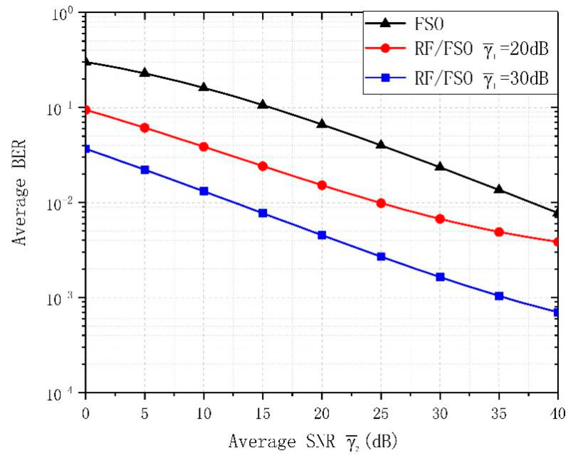
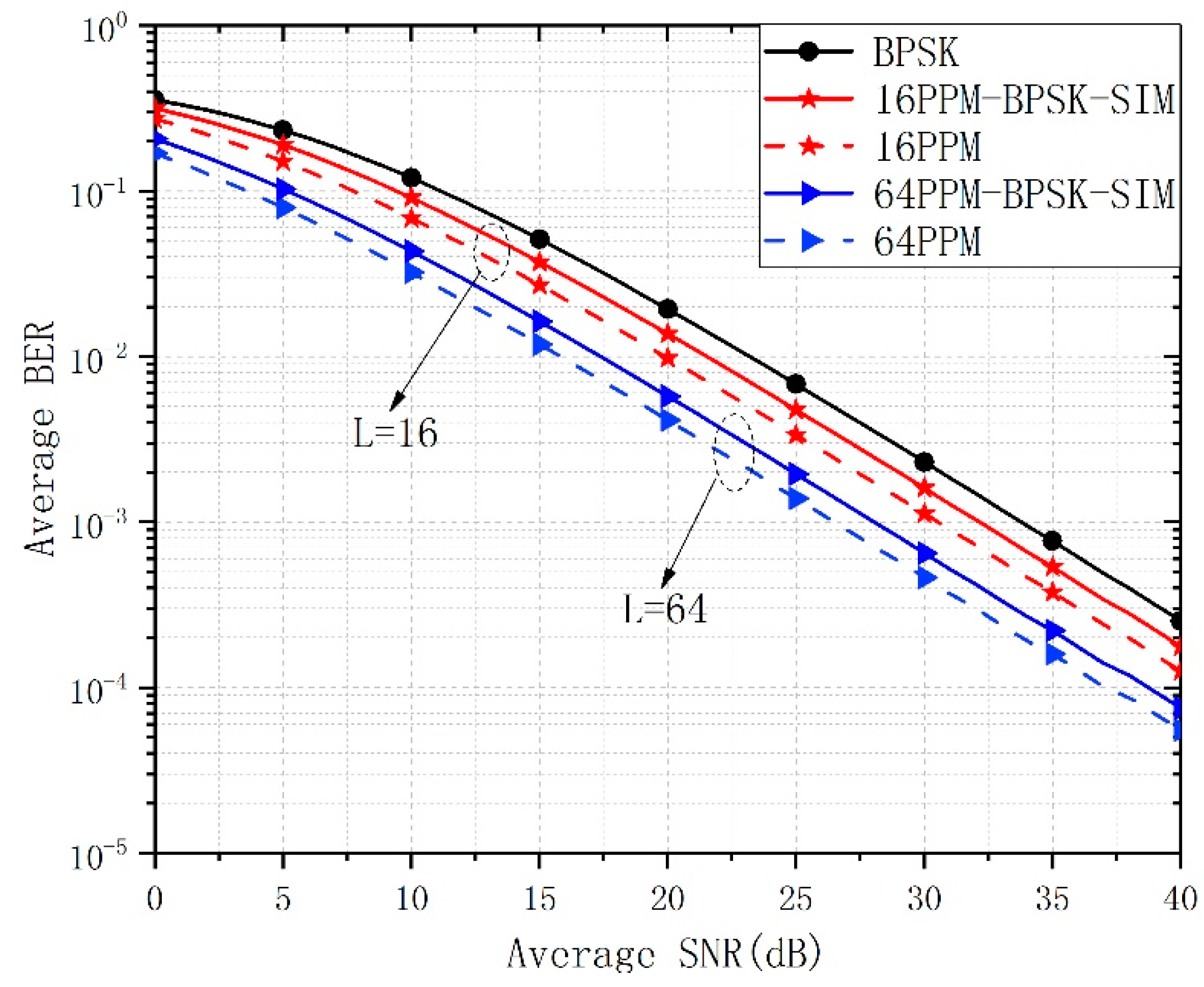
4. Results and Discussion
5. Conclusions
Author Contributions
Funding
Conflicts of Interest
References
- Lorences-Riesgo, A.; Guiomar, F.P.; Sousa, A.N.; Teixeira, A.L.; Muga, N.J.; Monteiro, P.P. 200 Gbit/s Free-Space Optics Transmission Using a Kramers-Kronig Receiver. In Proceedings of the Optical Fiber Communication Conference (OFC) 2019, San Diego, CA, USA, 3 March 2019. [Google Scholar]
- Song, H.; Song, H.; Zhang, R.; Manukyan, K.; Li, L.; Zhao, Z.; Pang, K.; Liu, C.; Almaiman, A.; Bock, R.; et al. Experimental Mitigation of Atmospheric Turbulence Effect using Pre-Channel Combining Phase Patterns for Uni- and Bidirectional Free-Space Optical Links with Two 100-Gbit/s OAM-Multiplexed Channels. In Proceedings of the Optical Fiber Communication Conference Postdeadline Papers 2019, San Diego, CA, USA, 3 March 2019. [Google Scholar]
- Gupta, J.; Dwivedi, V.K.; Karwal, V. On the Performance of RF-FSO System Over Rayleigh and Kappa-Mu/Inverse Gaussian Fading Environment. IEEE Access 2018, 6, 4186–4198. [Google Scholar] [CrossRef]
- Anees, S.; Bhatnagar, M.R. Performance of an amplify-and-forward dual-hop asymmetric RF–FSO communication system. J. Opt. Commun. Netw. 2015, 7, 124–135. [Google Scholar] [CrossRef]
- Samimi, H.; Uysal, M. End-to-end performance of mixed RF/FSO transmission systems. IEEE/OSA J. Opt. Commun. Netw. 2013, 5, 1139–1144. [Google Scholar] [CrossRef]
- Zhang, J.; Dai, L.; Zhang, Y.; Wang, Z. Unified performance analysis of mixed radio frequency/free-space optical dual-hop transmission systems. J. Lightwave Technol. 2015, 33, 2286–2293. [Google Scholar] [CrossRef]
- Zhang, Y.; Wang, X.; Zhao, S.-H.; Zhao, J.; Deng, B.-Y. On the performance of 2 × 2 DF relay mixed RF/FSO airborne system over Exponentiated Weibull fading channel. Opt. Commun. 2018, 425, 190–195. [Google Scholar] [CrossRef]
- Petkovic, M.I.; Ansari, I.S.; Djordjevic, G.T.; Qaraqe, K.A. Error rate and ergodic capacity of RF-FSO system with partial relay selection in the presence of pointing errors. Opt. Commun. 2019, 438, 118–125. [Google Scholar] [CrossRef]
- Zhao, J.; Zhao, S.-H.; Zhao, W.-H.; Liu, Y.; Li, X. Performance of mixed RF/FSO systems in exponentiated Weibull distributed channels. Opt. Commun. 2017, 405, 244–252. [Google Scholar] [CrossRef]
- Torabi, M.; Effatpanahi, R. Performance analysis of hybrid RF-FSO systems with amplify-and-forward selection relaying. Opt. Commun. 2019, 434, 80–90. [Google Scholar] [CrossRef]
- Faridzadeh, M.; Gholami, A.; Ghassemlooy, Z.; Rajbhandari, S. Hybrid PPM-BPSK subcarrier intensity modulation for free space optical communications. In Proceedings of the 2011 16th European Conference on Networks and Optical Communications (NOC), Newcastle, UK, 20–22 July 2011; pp. 36–39. [Google Scholar]
- Giri, R.K.; Patnaik, B. BER analysis and capacity evaluation of FSO system using hybrid subcarrier intensity modulation with receiver spatial diversity over log-normal and gamma–gamma channel model. Opt. Quantum Electron. 2018, 50, 231. [Google Scholar] [CrossRef]
- Ansari, I.S.; Yilmaz, F.; Alouini, M.-S. Impact of pointing errors on the performance of mixed RF/FSO dual-hop transmission systems. IEEE Wirel. Commun. Lett. 2013, 2, 351–354. [Google Scholar] [CrossRef]
- Zedini, E.; Ansari, I.S.; Alouini, M.-S. Performance analysis of mixed Nakagami-m and Gamma–Gamma dual-hop FSO transmission systems. IEEE Photonics J. 2014, 7, 1–20. [Google Scholar] [CrossRef]
- Prabu, K.; Kumar, D.S.; Srinivas, T. Performance analysis of FSO links under strong atmospheric turbulence conditions using various modulation schemes. Opt. Int. J. Light Electron Opt. 2014, 125, 5573–5581. [Google Scholar] [CrossRef]
- Xu, F.; Lau, F.C.; Yue, D.-W. Diversity order for amplify-and-forward dual-hop systems with fixed-gain relay under Nakagami fading channels. IEEE Trans. Wirel. Commun. 2010, 9, 92–98. [Google Scholar] [CrossRef]
- Aggarwal, M.; Garg, P.; Puri, P. Dual-hop optical wireless relaying over turbulence channels with pointing error impairments. J. Lightwave Technol. 2014, 32, 1821–1828. [Google Scholar] [CrossRef]
- Ansari, I.S.; Yilmaz, F.; Alouini, M.-S. Performance analysis of FSO links over unified Gamma-Gamma turbulence channels. In Proceedings of the 2015 IEEE 81st Vehicular Technology Conference (VTC Spring), Glasgow, Scotland, 11–14 May 2015; pp. 1–5. [Google Scholar]
- Bhatnagar, M.R.; Ghassemlooy, Z. Performance evaluation of FSO MIMO links in Gamma-Gamma fading with pointing errors. In Proceedings of the 2015 IEEE International Conference on Communications (ICC), London, UK, 8–12 June 2015; pp. 5084–5090. [Google Scholar]
- Liu, C.; Yao, Y.; Sun, Y.; Zhao, X. Analysis of average capacity for free-space optical links with pointing errors over gamma-gamma turbulence channels. Chin. Opt. Lett. 2010, 8, 537–540. [Google Scholar]
- Trung, H.D.; Pham, A.T. Pointing error effects on performance of free-space optical communication systems using SC-QAM signals over atmospheric turbulence channels. AEU-Int. J. Electron. Commun. 2014, 68, 869–876. [Google Scholar] [CrossRef]
- Yang, L.; Gao, X.; Alouini, M.-S. Performance analysis of relay-assisted all-optical FSO networks over strong atmospheric turbulence channels with pointing errors. J. Lightwave Technol. 2014, 32, 4613–4620. [Google Scholar] [CrossRef]
- Gradshteyn, I.S.; Ryzhik, I.M. Table of Integrals, Series, and Products; Academic Press: Cambridge, MA, USA, 2014. [Google Scholar]
- Al-Eryani, Y.F.; Salhab, A.M.; Zummo, S.A.; Alouini, M.-S. Two-way multiuser mixed RF/FSO relaying: Performance analysis and power allocation. IEEE/OSA J. Opt. Commun. Netw. 2018, 10, 396–408. [Google Scholar] [CrossRef]
- Adamchik, V.; Marichev, O. The algorithm for calculating integrals of hypergeometric type functions and its realization in REDUCE system. In Proceedings of the International Symposium on Symbolic and Algebraic Computation, Tokyo, Japan, 20–24 August 1990; pp. 212–224. [Google Scholar]
- Hasna, M.O.; Alouini, M.-S. A performance study of dual-hop transmissions with fixed gain relays. IEEE Trans. Wirel. Commun. 2004, 3, 1963–1968. [Google Scholar] [CrossRef]
- Faridzadeh, M.; Gholami, A.; Ghassemlooy, Z.; Rajbhandari, S. Hybrid pulse position modulation and binary phase shift keying subcarrier intensity modulation for free space optics in a weak and saturated turbulence channel. JOSA A 2012, 29, 1680–1685. [Google Scholar] [CrossRef]
- Elganimi, T.Y. Performance comparison between OOK, PPM and pam modulation schemes for free space optical (FSO) communication systems: Analytical study. Int. J. Comput. Appl. 2013, 79. [Google Scholar] [CrossRef]
- Faridzadeh, M.; Gholami, A.; Ghassemlooy, Z.; Rajbhandari, S. Hybrid 2-PPM-BPSK-SIM with the spatial diversity for free space optical communications. In Proceedings of the 2012 8th International Symposium on Communication Systems, Networks & Digital Signal Processing (CSNDSP), Poznan, Poland, 18–20 July 2012; pp. 1–5. [Google Scholar]
- Trisno, S. Design and Analysis of Advanced Free Space Optical Communication Systems. Ph.D. Thesis, University of Maryland, College Park, MD, USA, 2006. [Google Scholar]
- Yi, X.; Liu, Z.; Yue, P.; Shang, T. BER performance analysis for M-ary PPM over gamma-gamma atmospheric turbulence channels. In Proceedings of the 2010 6th International Conference on Wireless Communications Networking and Mobile Computing (WiCOM), Chengdu, China, 23–25 September 2010; pp. 1–4. [Google Scholar]
- Si, C.; Zhang, Y.; Wang, Y.; Wang, J.; Jia, J. Average capacity for non-Kolmogorov turbulent slant optical links with beam wander corrected and pointing errors. Opt. Int. J. Light Electron Opt. 2012, 123, 1–5. [Google Scholar] [CrossRef]
- Annamalai, A.; Palat, R.; Matyjas, J. Estimating ergodic capacity of cooperative analog relaying under different adaptive source transmission techniques. In Proceedings of the 2010 IEEE Sarnoff Symposium, Princeton, NJ, USA, 12–14 April 2010; pp. 1–5. [Google Scholar]
- Ansari, I.S.; Al-Ahmadi, S.; Yilmaz, F.; Alouini, M.-S.; Yanikomeroglu, H. A new formula for the BER of binary modulations with dual-branch selection over generalized-K composite fading channels. IEEE Trans. Commun. 2011, 59, 2654–2658. [Google Scholar] [CrossRef]
- Popoola, W.O.; Ghassemlooy, Z. BPSK subcarrier intensity modulated free-space optical communications in atmospheric turbulence. J. Lightwave Technol. 2009, 27, 967–973. [Google Scholar] [CrossRef]
- Ghassemlooy, Z.; Popoola, W.; Rajbhandari, S. Optical Wireless Communications: System and Channel Modelling with Matlab®; CRC Press: Boca Raton, FL, USA, 2019. [Google Scholar]
- Chatzidiamantis, N.D.; Karagiannidis, G.K.; Kriezis, E.E.; Matthaiou, M. Diversity combining in hybrid RF/FSO systems with PSK modulation. In Proceedings of the 2011 IEEE International Conference on Communications (ICC), Kyoto, Japan, 5–9 June 2011; pp. 1–6. [Google Scholar]









| Turbulence | α | β |
|---|---|---|
| Weak | 11.6 | 10.1 |
| Moderate | 4.0 | 1.9 |
| Strong | 4.2 | 1.4 |
© 2019 by the authors. Licensee MDPI, Basel, Switzerland. This article is an open access article distributed under the terms and conditions of the Creative Commons Attribution (CC BY) license (http://creativecommons.org/licenses/by/4.0/).
Share and Cite
Jiang, T.; Zhao, L.; Liu, H.; Deng, D.; Luo, A.; Wei, Z.; Yang, X. Performance Improvement for Mixed RF–FSO Communication System by Adopting Hybrid Subcarrier Intensity Modulation. Appl. Sci. 2019, 9, 3724. https://doi.org/10.3390/app9183724
Jiang T, Zhao L, Liu H, Deng D, Luo A, Wei Z, Yang X. Performance Improvement for Mixed RF–FSO Communication System by Adopting Hybrid Subcarrier Intensity Modulation. Applied Sciences. 2019; 9(18):3724. https://doi.org/10.3390/app9183724
Chicago/Turabian StyleJiang, Ting, Lin Zhao, Hongzhan Liu, Dongmei Deng, Aiping Luo, Zhongchao Wei, and Xiangbo Yang. 2019. "Performance Improvement for Mixed RF–FSO Communication System by Adopting Hybrid Subcarrier Intensity Modulation" Applied Sciences 9, no. 18: 3724. https://doi.org/10.3390/app9183724
APA StyleJiang, T., Zhao, L., Liu, H., Deng, D., Luo, A., Wei, Z., & Yang, X. (2019). Performance Improvement for Mixed RF–FSO Communication System by Adopting Hybrid Subcarrier Intensity Modulation. Applied Sciences, 9(18), 3724. https://doi.org/10.3390/app9183724
