Comparative Performance of Catalytic Fenton Oxidation with Zero-Valent Iron (Fe(0)) in Comparison with Ferrous Sulphate for the Removal of Micropollutants
Abstract
1. Introduction
- Set all factors that have a prominent contribution to SN ratios at the level to obtain maximum SN ratios.
- Adjust the level of one or more factors that substantially affect the mean value but not SN ratios to put the response on the target.
- Smaller is better;
- Nominal is better and;
- Larger is better.
- To compare the classical ferrous iron with Fe(0)-catalytic Fenton oxidation in removing and mineralising the selected MPs.
- To use the Taguchi method to design experiments and to select and obtain the optimal operating conditions.
- To estimate sludge production from the process and to assess the toxicity of the treated effluents.
2. Materials and Methods
2.1. Chemicals Used
2.2. Research Approach
2.3. Experimental Design—Taguchi Method and Taguchi Analysis
2.4. Experimental Setup
2.5. Analytical Methods
2.5.1. Estimation of Dissolved Organic Carbon (DOC) and Micro-Pollutants (MPs) Concentration
2.5.2. Toxicity
2.5.3. Sludge Production
3. Results and Discussion
3.1. Removal of Individual MPs and DOC by FeSO4- and Fe(0)- Cataslytic Fenton Oxidation Processes
3.2. Taguchi Analysis
3.2.1. Analysis of Variance (ANOVA) for SN Ratios
3.2.2. Taguchi Confirmatory Runs and Prediction Analysis
3.3. Toxicity Analysis
3.4. Sludge Volume Index (SVI)
3.5. Future Scope
4. Conclusions
- Fe(0) required less dosage of H2O2; the optimised molar ratio of H2O2:Fe(0) for zero valent iron was 0.7:1 whilst for H2O2:FeSO4 it was 2.7:1.
- Both treatments completely degraded the chosen MPs (gabapentin, sulfamethoxazole, diuron, terbutryn and terbuthylazine). However, Fe(0) could remove 70% DOC when FeSO4 removed only 45% for the given reaction conditions.
- The sample toxicity after the Fe(0)-catalytic Fenton treatment was completely removed, while the FeSO4 Fenton treatment showed a slight toxicity.
- The heavy sludge was produced in the effluent after the FeSO4 catalytic Fenton process, whereas, the Fe(0)-catalytic Fenton process produced much less sludge after the treatment.
- The Taguchi method/analysis could be used to select and obtain the optimal operating conditions for the Fenton reactions.
Supplementary Materials
Author Contributions
Acknowledgments
Conflicts of Interest
References
- Jiang, J.-Q.; Zhou, Z.; Sharma, V.K. Occurrence, transportation, monitoring and treatment of emerging micro-pollutants in waste water—A review from global views. Microchem. J. 2013, 110, 292–300. [Google Scholar] [CrossRef]
- Jiang, J.-Q. Advances in the development and application of ferrate(VI) for water and wastewater treatment. J. Chem. Technol. Biotechnol. 2014, 89, 165–177. [Google Scholar] [CrossRef]
- Mosteo, R.; Miguel, N.; Maria, P.O.; Ovelleiro, J.L. Effect of advanced oxidation processes on nonylphenol removal with respect to chlorination in drinking water treatment. Water Sci. Technol. Water Supply 2010, 10, 51–57. [Google Scholar] [CrossRef]
- Linden, K.G. Degradation of Endocrine disrupting chemicals bisphenol a, ethinyl estradiol, and estradiol during UV photolysis and advanced oxidation processes. Environ. Sci. Technol. 2004, 38, 5476–5483. [Google Scholar]
- Diya’uddeen, B.H.; Abdul, A.R.A.; Daud, W.M.A.W. On the limitation of Fenton oxidation operational parameters: A review. Int. J. Chem. React. Eng. 2012, 10, 1542–6580. [Google Scholar] [CrossRef]
- Huber, M.M.; Canonica, S.; Park, G.Y.; Von Gunten, U. Oxidation of pharmaceuticals during ozonation and advanced oxidation processes oxidation of pharmaceuticals during ozonation and advanced oxidation processes. Environ. Sci. Technol. 2003, 37, 1016–1024. [Google Scholar] [CrossRef]
- Liu, P.; Li, C.; Zhao, Z.; Lu, G.; Cui, H.; Zhang, W. Induced effects of advanced oxidation processes. Sci. Rep. 2014, 4, 4018. [Google Scholar] [CrossRef]
- Seitz, W.; Jiang, J.-Q.; Schulz, W.; Weber, W.H.; Maier, D.; Maier, M. Formation of oxidation by-products of the iodinated X-ray contrast medium iomeprol during ozonation. Chemosphere 2008, 70, 1238–1246. [Google Scholar] [CrossRef] [PubMed]
- Martín, J.; Camacho-Muñoz, D.; Santos, J.L.; Aparicio, I.; Alonso, E. Occurrence of pharmaceutical compounds in wastewater and sludge from wastewater treatment plants: Removal and ecotoxicological impact of wastewater discharges and sludge disposal. J. Hazard. Mater. 2012, 239–240, 40–47. [Google Scholar] [CrossRef]
- Bautista, P.; Mohedano, A.F.; Casas, J.A.; Zazo, J.A.; Rodriguez, J.J. An overview of the application of Fenton oxidation to industrial wastewaters treatment. J. Chem. Technol. Biotechnol. 2008, 83, 1323–1338. [Google Scholar] [CrossRef]
- Ricq, N.; Ambrosio, M.; Provence, D.; Cedex, M. Intermediates in wet oxidation of cellulose: identification of hydroxyl radical and characterization of hydrogen peroxide. Water Res. 2002, 36, 4821–4829. [Google Scholar]
- Wang, N.; Zheng, T.; Zhang, G.; Wang, P. A review on Fenton-like processes for organic wastewater treatment. J. Environ. Chem. Eng. 2016, 4, 762–787. [Google Scholar] [CrossRef]
- Neyens, E.; Baeyens, J. A review of classic Fenton’s peroxidation as an advanced oxidation technique. J. Hazard. Mater. 2003, 98, 33–50. [Google Scholar] [CrossRef]
- Dehghani, S.; Jafari, A.J.; Farzadkia, M.; Gholami, M. Sulfonamide antibiotic reduction in aquatic environment by application of fenton oxidation process. Iran. J. Environ. Health Sci. Eng. 2013, 10, 29. [Google Scholar] [CrossRef] [PubMed]
- Rezaei, F.; Vione, D. Effect of pH on zero valent iron performance in heterogeneous fenton and fenton-like processes: A review. Molecules 2018, 23, 3127. [Google Scholar] [CrossRef] [PubMed]
- Guedes, A.M.F.M.; Madeira, L.M.P.; Boaventura, R.A.R.; Costa, C.A.V. Fenton oxidation of cork cooking wastewater—Overall kinetic analysis. Water Res. 2003, 37, 3061–3069. [Google Scholar] [CrossRef]
- Cheves, W. Fenton’s reagent revisited. Acc. Chem. Res. 1975, 8, 125–131. [Google Scholar]
- Zoh, K.D.; Stenstrom, M.K. Fenton oxidation of hexahydro-1,3,5-trinitro-1,3,5-triazine (RDX) and octahydro-1,3,5,7-tetranitro-1,3,5,7-tetrazocine (HMX). Waster Res. 2002, 36, 1331–1341. [Google Scholar] [CrossRef]
- Mijangos, V.N.F.; Varona, F. Changes in solution color during phenol oxidation by Fenton reagent. Environ. Sci. Technol. 2006, 40, 5538–5543. [Google Scholar] [CrossRef]
- Munoz, M.; Garcia-Muñoz, P.; Pliego, G.; Pedro, Z.M.; Zazo, J.A.; Casas, J.A.; Rodriguez, J.J. Application of intensified Fenton oxidation to the treatment of hospital wastewater: Kinetics, ecotoxicity and disinfection. J. Environ. Chem. Eng. 2016, 4, 4107–4112. [Google Scholar] [CrossRef]
- Benatti, C.T.; Tavares, C.R.G. Fenton´s process for the treatment of mixed waste chemicals. In Organic Pollutants Ten Years After the Stockholm Convention—Environmental and Analytical Update; Puzyn, T., Ed.; EDP Science: London, UK, 2012; Available online: http://cdn.intechopen.com/pdfs/29376/InTech-Fenton_s_process_for_the_treatment_of_mixed_waste_chemicals.pdf (accessed on 21 June 2017).
- Huston, P.; Pignatello, J.J.; Liu, D. Evidence for an additional oxidant in the photoassisted fenton reaction. Environ. Sci. Technol. 1999, 33, 1832–1839. [Google Scholar]
- Tang, S.T.W.Z. Oxidation kinetics and mechanisms of trihalomethanes by Fenton’s reagent. Water Res. 1997, 31, 1117–1125. [Google Scholar] [CrossRef]
- Cheves, K.S.W. Oxidation of alcohols by Fenton’s reagent. Effect of copper ion. J. Am. Chem. Soc. 1971, 93, 4275–4281. [Google Scholar]
- Li, X.Q.; Elliott, D.W.; Zhang, W.X. Zero-Valent iron nanoparticles for abatement of environmental pollutants: Materials and engineering aspects. Crit. Rev. Solid State Mater. Sci. 2006, 31, 111–112. [Google Scholar] [CrossRef]
- Bergendahl, J.A.; Thies, T.P. Fenton’s oxidation of MTBE with zero-valent iron. Water Res. 2004, 38, 327–334. [Google Scholar] [CrossRef] [PubMed]
- Khorramshahgol, R.; Djavanshir, G.R. The application of analytic hierarchy process to determine proportionality constant of the Taguchi quality loss function. IEEE Trans. Eng. Manag. 2008, 55, 340–348. [Google Scholar] [CrossRef]
- Phadke, M.S. Quality Engineering Using Design of Experiment, Quality Control, Robust Design and Taguchi Method; Wadsworth & Books: Belmont, CA, USA, 1998. [Google Scholar]
- Weishaar, J.L.; Aiken, G.R.; Bergamaschi, B.A.; Fram, M.S.; Fujii, R.; Mopper, K. Evaluation of specific ultraviolet absorbance as an indicator of the chemical composition and reactivity of dissolved organic carbon. Environ. Sci. Technol. 2003, 37, 4702–4708. [Google Scholar] [CrossRef] [PubMed]
- Patibandla, S.; Jiang, J.-Q.; Shu, X. Toxicity assessment of four pharmaceuticals in aquatic environment before and after ferrate(VI) treatment. J. Environ. Chem. Eng. 2018, 6, 3787–3797. [Google Scholar] [CrossRef]
- Jiang, J.-Q.; Durai, H.B.P.; Petri, M.; Grummt, T.; Winzenbacher, R. Drinking water treatment by ferrate(VI) and toxicity assessment of the treated water. Desalinat. Water Treat. 2016, 57, 26369–26375. [Google Scholar] [CrossRef]
- Pogorzelec, M.; Piekarska, K. Toxicity assessment of water at different stages of treatment using Microtox assay. In E3S Web of Conferences; EDP Sciences: London, UK, 2017; p. 00076. [Google Scholar]
- IIT. Module 5. In Module 05: Design for Reliability and Quality; Indian Institute of Technology: Bombay, India; Available online: https://nptel.ac.in/courses/112101005/downloads/Module_5_Lecture_3_final.pdf (accessed on 25 December 2018).
- Analyze Taguchi Design: Copyright © 2017 Minitab Inc. All rights Reserved. Available online: https://support.minitab.com/en-us/minitab/18/help-and-how-to/modeling-statistics/doe/how-to/taguchi/analyze-taguchi-design/before-you-start/example-of-analyzing-a-static-design/ (accessed on 4 April 2019).
- Yang, W.H.; Tarng, Y.S. Design optimization of cutting parameters for turning operations based on the Taguchi method. J. Mater. Process. Technol. 1998, 84, 122–129. [Google Scholar] [CrossRef]
- Liu, J.; Vipulanandan, C.; Cooper, T.F.; Vipulanandan, G. Effects of Fe nanoparticles on bacterial growth and biosurfactant production. J. Nanoparticle Res. 2013, 15, 1405. [Google Scholar] [CrossRef]





| Design Summary | Chosen | Meaning |
|---|---|---|
| Taguchi array | L16 (4^4 2^1) | Four control factors were assigned, four levels and one control factor with two levels |
| Control factors | 5 | |
| Runs | 16 |
| Control Factors | Level 1 | Level 2 | Level 3 | Level 4 |
|---|---|---|---|---|
| Reaction time (min) | 15 | 30 | 45 | 60 |
| MPs mixture (initial solution (mg/L)) | 0.005 | 0.05 | 0.5 | 5 |
| H2O2 dose | 10fh | 30fh | 50fh | 100fh |
| H2O2:Fe(0) or H2O2:FeSO4 (as Fe(II)) | 2.7:1 | 1.1:1 | 0.7:1 | 0.5:1 |
| Initial pH | 3 | 7 | n/a | n/a |
| LC/MS Model | Thermo Scientific Q Exactive UHPLC Equipped with Electrospray Ionisation Interface (ESI) |
|---|---|
| Column and Polarity | Waters X select HSS column XP 2.5 µm. 2.1 mm × 150 mm; Positive |
| Eluent | A: 0.1% Formic Acid in Methanol; B: 0.1% Formic acid in water |
| Run time and Injection Volume | 0 min to 17 min; 10 µL |
| MPs Mixture (mg/L) | Humic Acid (mg/L) | Catalyst (g/L) | H2O2 (mL/L) | Initial pH | Final pH | |
|---|---|---|---|---|---|---|
| 0.5 | 0.5 | FeSO4 | ||||
| Average | 3.19 | 0.94 | 3.1 | 2.7 | ||
| St. Dev. | 0.02 | 0.00 | 0.02 | 0.03 | ||
| Fe(0) | ||||||
| Average | 1.53 | 0.56 | 3.1 | 3.3 | ||
| St. Dev. | 0.01 | 0.00 | 0.02 | 0.03 |
| Experiment Run | FeSO4 | Fe(0) | ||||||
|---|---|---|---|---|---|---|---|---|
| DOCf/i_1 | DOCf/i_2 | St. Dev | SN Ratios | DOCf/i_1 | DOCf/i_2 | St. Dev | SN Ratios | |
| 1 | 0.14 | 0.19 | 0.03 | 15.53 | 0.57 | 0.55 | 0.01 | 5.04 |
| 2 | 0.58 | 0.62 | 0.02 | 4.47 | 0.51 | 0.51 | 0.00 | 5.79 |
| 3 | 1.05 | 1.01 | 0.03 | −0.25 | 1.04 | 0.59 | 0.32 | 1.44 |
| 4 | 1.22 | 1.02 | 0.14 | −1.01 | 1.18 | 1.28 | 0.07 | −1.79 |
| 5 | 0.62 | 0.62 | 0.00 | 4.13 | 1.34 | 1.33 | 0.00 | −2.51 |
| 6 | 0.89 | 0.83 | 0.04 | 1.30 | 1.30 | 1.20 | 0.07 | −1.96 |
| 7 | 0.64 | 0.60 | 0.03 | 4.12 | 0.52 | 0.56 | 0.03 | 5.31 |
| 8 | 0.78 | 0.73 | 0.03 | 2.44 | 0.33 | 0.50 | 0.12 | 7.47 |
| 9 | 0.60 | 0.58 | 0.01 | 4.57 | 0.45 | 0.43 | 0.01 | 7.18 |
| 10 | 0.62 | 0.65 | 0.02 | 3.95 | 0.40 | 0.51 | 0.08 | 6.81 |
| 11 | 1.10 | 0.99 | 0.08 | −0.40 | 1.11 | 1.09 | 0.01 | −0.81 |
| 12 | 0.53 | 0.58 | 0.04 | 5.11 | 1.00 | 1.01 | 0.01 | −0.05 |
| 13 | 0.55 | 0.50 | 0.03 | 5.61 | 1.12 | 1.18 | 0.04 | −1.20 |
| 14 | 0.58 | 0.50 | 0.05 | 5.32 | 0.84 | 1.01 | 0.12 | 0.67 |
| 15 | 0.58 | 0.53 | 0.03 | 5.11 | 0.34 | 0.36 | 0.01 | 9.13 |
| 16 | 0.45 | 0.54 | 0.06 | 6.03 | 0.35 | 0.37 | 0.02 | 8.95 |
| Tap water average DOC (mg/L) = 1.72 ± 0.33 | ||||||||
| FeSO4 | Fe(0) | |||||||
|---|---|---|---|---|---|---|---|---|
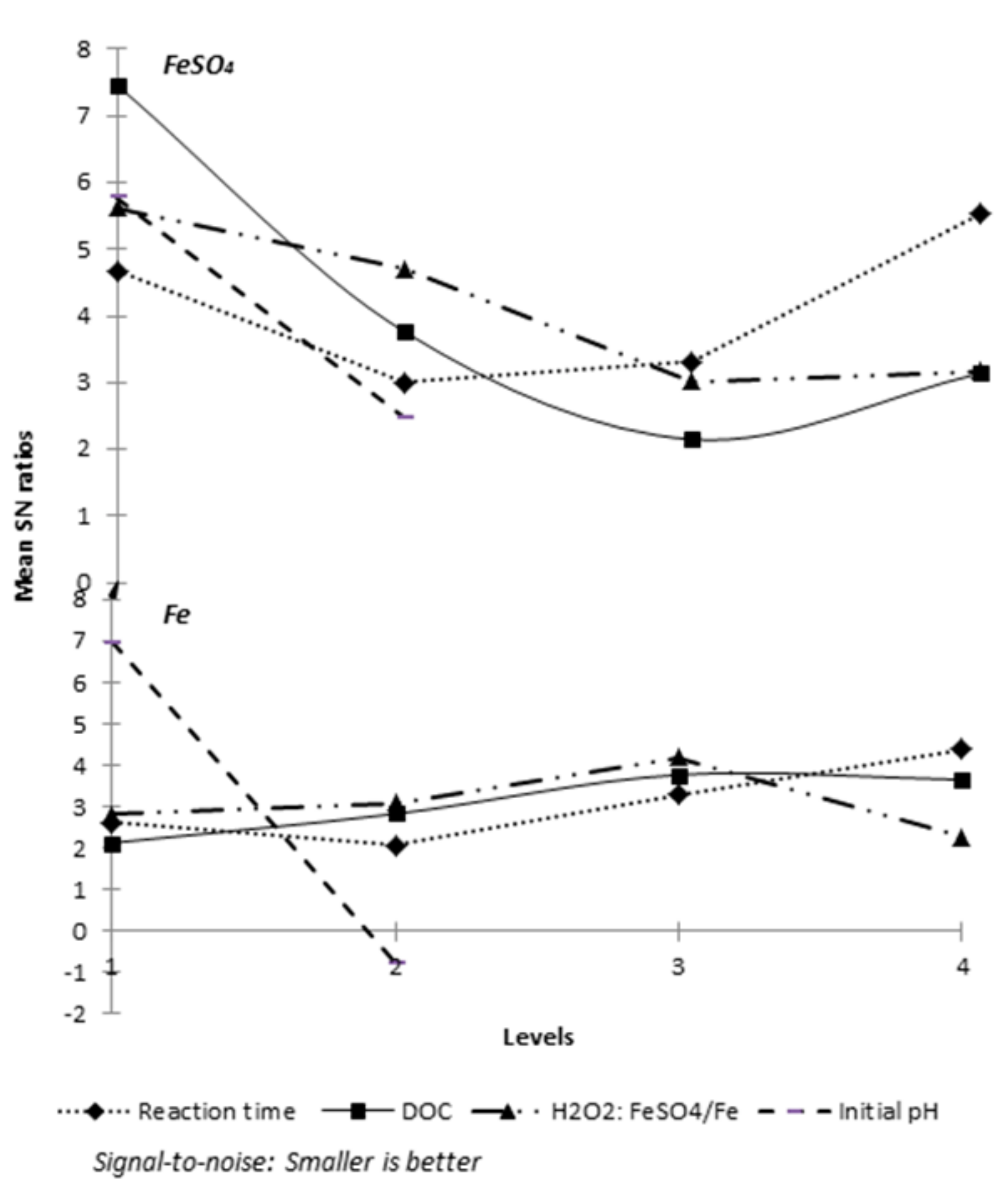
| Level | Reaction Time | MPs | H2O2:FeSO4 (Fe(II)) | Initial pH | Reaction Time | MPs | H2O2:Fe(0) | Initial pH |
| 1 | 4.68 | 7.46 | 5.62 | 5.78 | 2.62 | 2.13 | 2.81 | 6.96 |
| 2 | 3.00 | 3.76 | 4.70 | 2.48 | 2.08 | 2.83 | 3.09 | −0.77 |
| 3 | 3.31 | 2.15 | 3.02 | - | 3.28 | 3.77 | 4.19 | - |
| 4 | 5.52 | 3.14 | 3.17 | - | 4.39 | 3.65 | 2.28 | - |
| Delta | 2.52 | 5.31 | 2.59 | 3.30 | 2.31 | 1.64 | 1.91 | 7.73 |
| Rank | 4 | 1 | 3 | 2 | 2 | 4 | 3 | 1 |
| Model Summary | S | R2 |
|---|---|---|
| FeSO4 | 3.81 | 66.41% |
| Fe | 0.81 | 98.80% |
| DF | SSf | MS | % Contribution | F-Value | |
|---|---|---|---|---|---|
| FeSO4 | |||||
| Reaction time | 3 | 16.79 | 5.60 | 7.76 | 0.38 |
| DOC | 3 | 64.52 | 21.51 | 29.81 | 1.48 |
| H2O2:FeSO4 | 3 | 18.78 | 6.26 | 8.68 | 0.43 |
| Initial pH | 1 | 43.67 | 43.67 | 20.17 | 3.00 |
| Residual Error | 5 | 72.70 | 14.54 | ||
| SST | 15 | 216.47 | |||
| Fe(0) | |||||
| Reaction time | 3 | 11.85 | 3.95 | 4.40 | 6.09 |
| DOC | 3 | 7.05 | 2.35 | 2.62 | 3.62 |
| H2O2:Fe(0) | 3 | 7.80 | 2.60 | 2.90 | 4.01 |
| Initial pH | 1 | 239.25 | 239.25 | 88.88 | 368.79 |
| Residual Error | 5 | 3.24 | 0.65 | ||
| SST | 15 | 269.19 |
| Total Compound Conc. (mg/L) | Initial DOC (mg/L) | DOCf/i | ||
|---|---|---|---|---|
| FeSO4 | Fe (0) | |||
| MPs mixture solution | 0.05 | 1.86 | 0.42 ± 0.01 | 0.30 ± 0.01 |
| 0.5 | 2.35 | 0.54 ± 0.05 | 0.28 ± 0.02 | |
| 5 | 6.37 | 0.68 ± 0.01 | 0.32 ± 0.03 | |
| MPs mixture with humic acid (w/w) | 0.5 + 0.5 = 1 | 2.70 | 0.46 ± 0.07 | 0.24 ± 0.07 |
| Tap water | n/a | 1.75 | ||
© 2019 by the authors. Licensee MDPI, Basel, Switzerland. This article is an open access article distributed under the terms and conditions of the Creative Commons Attribution (CC BY) license (http://creativecommons.org/licenses/by/4.0/).
Share and Cite
Goswami, A.; Jiang, J.-Q. Comparative Performance of Catalytic Fenton Oxidation with Zero-Valent Iron (Fe(0)) in Comparison with Ferrous Sulphate for the Removal of Micropollutants. Appl. Sci. 2019, 9, 2181. https://doi.org/10.3390/app9112181
Goswami A, Jiang J-Q. Comparative Performance of Catalytic Fenton Oxidation with Zero-Valent Iron (Fe(0)) in Comparison with Ferrous Sulphate for the Removal of Micropollutants. Applied Sciences. 2019; 9(11):2181. https://doi.org/10.3390/app9112181
Chicago/Turabian StyleGoswami, Anuradha, and Jia-Qian Jiang. 2019. "Comparative Performance of Catalytic Fenton Oxidation with Zero-Valent Iron (Fe(0)) in Comparison with Ferrous Sulphate for the Removal of Micropollutants" Applied Sciences 9, no. 11: 2181. https://doi.org/10.3390/app9112181
APA StyleGoswami, A., & Jiang, J.-Q. (2019). Comparative Performance of Catalytic Fenton Oxidation with Zero-Valent Iron (Fe(0)) in Comparison with Ferrous Sulphate for the Removal of Micropollutants. Applied Sciences, 9(11), 2181. https://doi.org/10.3390/app9112181

