Photoinduced Dynamics of Commensurate Charge Density Wave in 1T-TaS2 Based on Three-Orbital Hubbard Model
Abstract
1. Introduction
2. Model and Band Structures
2.1. Three-Orbital Tight-Binding Model: Previous Studies
2.2. Electron–Electron Interactions
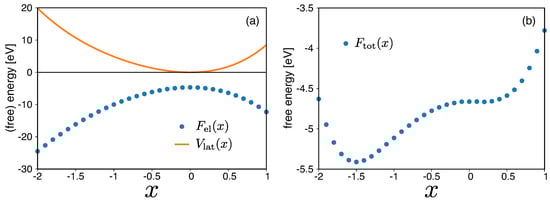
3. Lattice Degree of Freedom
4. Photoinduced Dynamics
4.1. Equations of Motion
4.2. Cooperative Dynamics of Charge and Lattice
4.3. Melting of Hexagrams
5. Summary and Discussion
6. Materials and Methods
6.1. Spin–Orbit Interaction
Author Contributions
Funding
Acknowledgments
Conflicts of Interest
Abbreviations
| PLD | Periodic Lattice Distortion |
| CDW | Charge Density Wave |
| CCDW | Commensurate Charge Density Wave |
References
- Wilson, J.A.; Di Salvo, F J.; Mahajan, S. Charge-density waves and superlattices in the metallic layered transition metal dichalcogenides. Adv. Phys. 1975, 24, 117–201. [Google Scholar] [CrossRef]
- Rossnagel, K. On the origin of charge-density waves in select layered transition-metal dichalcogenides. J. Phys. Condens. Matter 2011, 23, 213001. [Google Scholar] [CrossRef] [PubMed]
- Chhowalla, M.; Shin, H.S.; Eda, G.; Li, J.-L.; Loh, K.P.; Zhang, H. The chemistry of two-dimensional layered transition metal dichalcogenide nanosheets. Nat. Chem. 2013, 5, 263–275. [Google Scholar] [CrossRef] [PubMed]
- Wilson, J.A.; Di Salvo, F.J.; Mahajan, S. Charge-Density Waves in Metallic, Layered, Transition-Metal Dichalcogenides. Phys. Rev. Lett. 1974, 32, 882–885. [Google Scholar] [CrossRef]
- Scruby, C.B.; Williams, P.M.; Parry, G.S. The role of charge density waves in structural transformations of 1T-TaS2. Philos. Mag. 1975, 31, 255–274. [Google Scholar] [CrossRef]
- Fung, K.K.; Steeds, J.W.; Eades, J.A. Application of convergent beam electron diffraction to study the stacking of layers in transition-metal dichalcogenides. Physica B 1980, 99, 47–50. [Google Scholar] [CrossRef]
- Tanda, S.; Sambongi, T.; Tani, T.; Tanaka, S. X-ray Study of Charge Density Wave Structure in 1T-TaS2. J. Phys. Soc. Jpn. 1984, 53, 476–479. [Google Scholar] [CrossRef]
- Sakabe, D.; Liu, Z.; Suenaga, K.; Nakatsugawa, K.; Tanda, S. Direct observation of mono-layer, bi-layer, and tri-layer charge density waves in 1T-TaS2 by transmission electron microscopy without a substrate. npj Quantum Mat. 2017, 2, 22. [Google Scholar] [CrossRef]
- Ang, R.; Tanaka, Y.; Ieki, E.; Nakayama, K.; Sato, T.; Li, L.J.; Lu, W.J.; Sun, Y.P.; Takahashi, T. Real-Space Coexistence of the Melted Mott State and Superconductivity in Fe-Substituted 1T-TaS2. Phys. Rev. Lett. 2012, 109, 176403. [Google Scholar] [CrossRef]
- Fazekas, P.; Tosatti, E. Electrical, structural and magnetic properties of pure and doped 1T-TaS2. Philos. Mag. B 1979, 39, 229–244. [Google Scholar] [CrossRef]
- Perfetti, L.; Gloor, T.A.; Mila, F.; Berger, H.; Grioni, M. Unexpected periodicity in the quasi-two-dimensional Mott insulator 1T-TaS2 revealed by angle-resolved photoemission. Phys. Rev. B 2005, 71, 153101. [Google Scholar] [CrossRef]
- Ritschel, T.; Trinckauf, J.; Koepernik, K.; Büchner, B.; Zimmermann, M.V.; Berger, H.; Joe, Y.I.; Abbamonte, P.; Geck, J. Orbital textures and charge density waves in transition metal dichalcogenides. Nat. Phys. 2015, 11, 328–331. [Google Scholar] [CrossRef]
- Law, K.T.; Lee, P.A. 1T-TaS2 as a quantum spin liquid. Proc. Natl. Acad. Sci. USA 2017, 114, 6996–7000. [Google Scholar] [CrossRef] [PubMed]
- Klanjšek, M.; Zorko, A.; Zitko, R.; Mravlje, J.; Jaglicic, Z.; Biswas, P.K.; Prelovsek, P.; Mihailovic, D.; Arcon, D. A high-temperature quantum spin liquid with polaron spins. Nat. Phys. 2017, 13, 1130–1134. [Google Scholar] [CrossRef]
- Perfetti, L.; Loukakos, P.A.; Lisowski, M.; Bovensiepen, U.; Wolf, M.; Berger, H.; Biermann, S. Femtosecond dynamics of electronic states in the Mott insulator 1T-TaS2 by time resolved photoelectron spectroscopy. New J. Phys. 2008, 10, 053019. [Google Scholar] [CrossRef]
- Eichberger, M.; Schäfer, H.; Krumova, M.; Beyer, M.; Demsar, J.; Berger, H.; Moriena, G.; Sciaini, G.; Miller, R.J.D. Snapshots of cooperative atomic motions in the optical suppression of charge density waves. Nature 2010, 468, 799–802. [Google Scholar] [CrossRef]
- Ishizaka, K.; Kiss, T.; Yamamoto, T.; Ishida, Y.; Saitoh, T.; Matsunami, M.; Eguchi, R.; Ohtsuki, T.; Kosuge, A.; Kanai, T.; et al. Femtosecond core-level photoemision spectroscopy on 1T-TaS2 using a 60-eV laser source. Phys. Rev. B 2011, 83, 081104. [Google Scholar] [CrossRef]
- Hellmann, S.; Rohwer, T.; Kalläne, M.; Hanff, K.; Sohrt, C.; Stange, A.; Carr, A.; Murnane, M.M.; Kapteyn, H.C.; Kipp, L.; et al. Time-domain classification of charge-density-wave insulators. Nat. Commun. 2012, 3, 1069. [Google Scholar] [CrossRef]
- Haupt, K.; Eichberger, M.; Erasmus, N.; Rohwer, A.; Demsar, J.; Rossnagel, K.; Schwoerer, H. Ultrafast Metamorphosis of a Complex Charge-Density Wave. Phys. Rev. Lett. 2016, 116, 016402. [Google Scholar] [CrossRef]
- Stojchevska, L.; Vaskivskyi, I.; Mertelj, T.; Kusar, P.; Svetin, D.; Brazovskii, S.; Mihailovic, D. Ultrafast Switching to a Stable Hidden Quantum State in an Electronic Crystal. Science 2014, 344, 177–180. [Google Scholar] [CrossRef]
- Gerasimenko, Y.A.; Vaskivskyi, I.; Mihailovic, D. Dual vortex charge order in a metastable state created by an ultrafast topological transition in 1T-TaS2. arXiv, 2017; arXiv:1704.08149. [Google Scholar]
- Ravnik, J.; Vaskivskyi, I.; Mertelj, T.; Mihailovic, D. Real-time observation of the coherent transition to a metastable emergent state in 1T-TaS2. Phys. Rev. B 2018, 97, 075304. [Google Scholar] [CrossRef]
- Sun, K.; Sun, S.; Zhu, C.; Tian, H.; Yang, H.; Li, J. Hidden CDW states and insulator-to-metal transition after a pulsed femtosecond laser excitation in layered chalcogenide 1T-TaS2−xSex. Sci. Adv. 2018, 4, eaas9660. [Google Scholar] [CrossRef] [PubMed]
- Stojchevska, L.; Šutar, P.; Goreshnik, E.; Mihailovic, D.; Mertelj, T. Optical creation and temperature stability of the hidden charge density wave state in 1T-TaS2−xSex. arXiv, 2018; arXiv:1806.03094. [Google Scholar]
- Yoshida, M.; Zhang, Y.; Ye, J.; Suzuki, R.; Imai, Y.; Kimura, S.; Fujiwara, A.; Iwasa, Y. Controlling charge-density-wave states in nano-thick crystals of 1T-TaS2. Sci. Rep. 2014, 4, 7302. [Google Scholar] [CrossRef] [PubMed]
- Yoshida, M.; Suzuki, R.; Zhang, Y.; Nakano, M.; Iwasa, Y. Memristive phase switching in two-dimensional 1T-TaS2 crystals. Sci. Adv. 2015, 1, e1500606. [Google Scholar] [CrossRef] [PubMed]
- Yoshida, M.; Gokuden, T.; Suzuki, R.; Nakano, M.; Iwasa, Y. Current switching of electronic structures in two-dimensional 1T-TaS2 crystals. Phys. Rev. B 2017, 95, 121405(R). [Google Scholar] [CrossRef]
- Vaskivskyi, I.; Mihailovic, I.A.; Brazovskii, S.; Gospodaric, J.; Mertelj, T.; Svetin, D.; Sutar, P.; Mihailovic, D. Fast electronic resistance switching involving hidden charge density wave states. Nat. Commun. 2016, 7, 11442. [Google Scholar] [CrossRef]
- Ichikawa, H.; Nozawa, S.; Sato, T.; Tomita, A.; Ichiyanagi, K.; Chollet, M.; Guerin, L.; Dean, N.; Cavalleri, A.; Adachi, S.; et al. Transient photoinduced ‘hidden’ phase in a manganite. Nat. Mater. 2011, 10, 101–105. [Google Scholar] [CrossRef]
- Beaud, P.; Caviezel, A.; Mariager, S.O.; Rettig, L.; Ingold, G.; Dornes, C.; Huang, S.-W.; Johnson, J.A.; Radovic, M.; Huber, T.; et al. A time-dependent order parameter for ultrafast photoinduced phase transitions. Nat. Mater. 2014, 13, 923–927. [Google Scholar] [CrossRef]
- Li, J.; Strand, H.U.R.; Werner, P.; Eckstein, M. Theory of photoinduced ultrafast switching to a spin–orbital ordered hidden phase. Nat. Commun. 2018, 9, 4581. [Google Scholar] [CrossRef]
- Wu, D.; Ma, Y.; Niu, Y.; Liu, Q.; Dong, T.; Zhang, S.; Niu, J.; Zhou, H.; Wei, J.; Wang, Y.; Zhao, Z.; Wang, N. Ultrabroadband photosensitivity from visible to terahertz at room temperature. Sci. Adv. 2018, 4, eaao3057. [Google Scholar] [CrossRef] [PubMed]
- McMillan, W.L. Theory of discommensurations and the commensurate-incommensurate charge-density-wave phase transition. Phys. Rev. B 1976, 14, 1496–1502. [Google Scholar] [CrossRef]
- Moncton, D.E.; Axe, J.D.; DiSalvo, F.J. Neutron scattering study of the charge-density wave transitions in 2H-TaSe2 and 2H-NbSe2. Phys. Rev. B 1977, 16, 801–819. [Google Scholar] [CrossRef]
- Nakanishi, K.; Shiba, H. Domain-like Incommensurate Charge-Density-Wave States and the First-Order Incommensurate-Commensurate Transitions in Layered Tantalum Dichalcogenides. I. 1T-Polytype. J. Phys. Soc. Jpn. 1977, 43, 1839–1847. [Google Scholar] [CrossRef]
- Mattheiss, L.F. Band Structures of Transition-Metal-Dichalcogenide Layer Compounds. Phys. Rev. B 1973, 8, 3719–3740. [Google Scholar] [CrossRef]
- Smith, N.V.; Kevan, S.D.; DiSalvo, F.J. Band structures of the layer compounds 1T-TaS2, and 2H-TaSe2 in the presence of commensurate charge-density waves. J. Phys. C Solid State Phys. 1985, 18, 3175–3189. [Google Scholar] [CrossRef]
- Rossnagel, K.; Smith, N.V. Spin-orbit coupling in the band structure of reconstructed 1T-TaS2. Phys. Rev. B 2006, 73, 073106. [Google Scholar] [CrossRef]
- Slater, J.C.; Koster, G.F. Simplified LCAO Method for the Periodic Potential Problem. Phys. Rev. 1954, 94, 1498–1524. [Google Scholar] [CrossRef]
- Miasek, M. Tight-Binding Method for Hexagonal Close-Packed Structure. Phys. Rev. 1957, 107, 92–95. [Google Scholar] [CrossRef]
- Kanamori, J. Electron Correlation and Ferromagnetism of Transition Metals. Prog. Theory Phys. 1963, 30, 275–289. [Google Scholar] [CrossRef]
- Yi, S.; Zhang, Z.; Cho, J.-H. Coupling of charge, lattice, orbital, and spin degrees of freedom in charge density waves in 1T-TaS2. Phys. Rev. B 2018, 97, 041413. [Google Scholar] [CrossRef]
- Iwai, S.; Yamamoto, K.; Kashiwazaki, A.; Hiramatsu, F.; Nakaya, H.; Kawakami, Y.; Yakushi, K.; Okamoto, H.; Mori, H.; Nishio, Y. Photoinduced Melting of a Stripe-Type Charge-Order and Metallic Domain Formation in a Layered BEDT-TTF-Based Organic Salt. Phys. Rev. Lett. 2007, 98, 097402. [Google Scholar] [CrossRef] [PubMed]
- Tanaka, Y.; Yonemitsu, K. Growth Dynamics of Photoinduced Domains in Two-Dimensional Charge-Ordered Conductors Depending on Stabilization Mechanisms. J. Phys. Soc. Jpn. 2010, 79, 024712. [Google Scholar] [CrossRef]
- Miyashita, S.; Tanaka, Y.; Iwai, S.; Yonemitsu, K. Charge, Lattice, and Spin Dynamics in Photoinduced Phase Transitions from Charge-Ordered Insulator to Metal in Quasi-Two-Dimensional Organic Conductors. J. Phys. Soc. Jpn. 2010, 79, 034708. [Google Scholar] [CrossRef]
- Yonemitsu, K.; Maeshima, N. Photoinduced melting of charge order in a quarter-filled electron system coupled with different types of phonons. Phys. Rev. B 2010, 76, 075105. [Google Scholar] [CrossRef]
- Sakurai, J.J. Modern Quantum Mechanics; Revised ed.; Addison Wesley: Boston, MA, USA, 1993; ISBN 978-0201539295. [Google Scholar]







| Crystal Field | Slater–Koster Parameters |
|---|---|
| dd | |
| dd | |
| dd |
© 2018 by the authors. Licensee MDPI, Basel, Switzerland. This article is an open access article distributed under the terms and conditions of the Creative Commons Attribution (CC BY) license (http://creativecommons.org/licenses/by/4.0/).
Share and Cite
Ikeda, T.N.; Tsunetsugu, H.; Yonemitsu, K. Photoinduced Dynamics of Commensurate Charge Density Wave in 1T-TaS2 Based on Three-Orbital Hubbard Model. Appl. Sci. 2019, 9, 70. https://doi.org/10.3390/app9010070
Ikeda TN, Tsunetsugu H, Yonemitsu K. Photoinduced Dynamics of Commensurate Charge Density Wave in 1T-TaS2 Based on Three-Orbital Hubbard Model. Applied Sciences. 2019; 9(1):70. https://doi.org/10.3390/app9010070
Chicago/Turabian StyleIkeda, Tatsuhiko N., Hirokazu Tsunetsugu, and Kenji Yonemitsu. 2019. "Photoinduced Dynamics of Commensurate Charge Density Wave in 1T-TaS2 Based on Three-Orbital Hubbard Model" Applied Sciences 9, no. 1: 70. https://doi.org/10.3390/app9010070
APA StyleIkeda, T. N., Tsunetsugu, H., & Yonemitsu, K. (2019). Photoinduced Dynamics of Commensurate Charge Density Wave in 1T-TaS2 Based on Three-Orbital Hubbard Model. Applied Sciences, 9(1), 70. https://doi.org/10.3390/app9010070

