Abstract
The hot-wall heat exchanger (HWHE) has been widely used in thermal engineering fields such as ceiling radiant heating/cooling, refrigerator condenser, solar heat collection, and high-temperature heat recovery. However, the numerical simulation normally used for heat transfer prediction in HWHE is usually not as convenient as the analytic solutions in engineering applications. In this paper, a new heat transfer mathematical model of HWHE-based on analytic solutions was developed, which could be much faster to obtain the heat transfer properties of HWHE. The proposed model was validated under four conditions with literature values, which showed that the deviations of heat flux are 2.53%, 0.99%, 2.12%, and 1.96%, indicating its accuracy is satisfied. The model was then used to analyze the thermal property of HWHE. The results show the thermal resistance caused by panel with heat convection and conduction accounts for 96.54% of HWHE thermal resistance, and the thermal resistance caused by heat convection on the surface of panel is 74.43%. The analyzation results also show that adding aluminum foil around pipes could decrease HWHE thermal resistance by 5.11%. Besides, the influence of pipe diameters, pipe distance, pipe heat conductivity, side wall heat conductivity, and convective heat transfer coefficient on the heat transfer performance of HWHE was analyzed. The research in this paper can be used for fast prediction and optimization of heat transfer in HWHE.
1. Introduction
The hot-wall heat exchanger (HWHE) has been widely used in thermal engineering fields such as ceiling radiant heating/cooling, refrigerator condenser, solar heat collection, and high-temperature heat recovery. HWHE-based ceiling radiant heating/cooling has attracted much attention in the air conditioning field due to its energy saving and improved thermal comfort. The schematic diagram of a typical radiant heating/cooling HWHE is shown in Figure 1. Another important application of HWHE is in solar heat collectors, which consist of a plate absorber and the pipe (may be another type of channel) directly exposed to air; energy can thus be obtained by the fluid in the pipe from both the air and solar radiation. Besides, HWHE is also widely used in household refrigerator condensers as shown in Figure 2.
Figure 1.
Hot-wall heat exchanger (HWHE)-based ceiling radiant heating/cooling for a building.
Figure 2.
HWHE for a household refrigerator condenser.
Due to the wide applications of HWHE in the field of building energy conservation and sustainable energy application, several studies have been conducted in thermal property predication and optimization of HWHE. A typical HWHE consists of steel tubing (coated with copper) installed by direct contact with the inner surface of the iron plate of the side walls to realize heat transfer with the external environment. The contact of the tube and plate in HWHE could be regarded as a line in theory, and it may even be a dotted line if the perpendicularity of the tube or the flatness of the plate cannot be guaranteed. In order to ensure close contact and increased heat transfer area between the tube and the plate, several methods including flat tubes, fixing the pipes to the plate using aluminum foil, and increasing the contact angle between the pipe and the plate [1] are normally used, as shown in Figure 1.
Theoretical models of HWHE have been developed for radiant heating/cooling applications in literature studies. Zhu et al. [2] developed an analytical model for the heat transfer of radiation from ceiling cooling and the main factors affecting heat transfer were pointed out according to the theoretical and experimental results. Conroy and Mumma [3] derived an analytical model for a top insulated metal ceiling radiant cooling panel (CRCP) with parallel tubes, and the analytical model was modified in the studies of Jeong and Mumma [4,5]. Yu et al. [6] presented and validated a simplified model for top insulated metal CRCP with serpentine tube arrangement and the influence of pipe spacing, pipe diameter, plate thickness, and plate materials on cooling performance were studied with the model.
HWHE is usually used as the condenser in refrigeration applications. The calculation method in the design condition and the key factors influencing heat transfer performance of HWHE as condenser have been given and discussed in several studies. Wang et al. [7] developed a simulation model to calculate heat transfer on the air side of tube plate condenser and the calculation method of heat convection coefficient for the outer nonisothermal plate was determined. Bansal and Chin [8] studied the heat transfer of wall plate heat exchanger with thermal resistance method. The heat transfer through the foam insulation into the cooling zone of the refrigerator and the heat transfer enhanced by aluminum foil used to fix the pipes were neglected as well in their study [8]. Gupta and Gopal [9] presented a mathematical model of hot-wall condensers in which the condenser tube was divided into elemental units, with each element consisting of adhesive aluminum tape, a refrigerant tube, and outer metal sheet. Their study showed that the aluminum tape used to stick the condensing tube to the outer sheet played a significant role in heat transfer from condenser to environment [9]. Rebora and Tagliafico [10] analyzed the heat transfer of hot-wall heat exchangers using the finite element method, neglecting the influence of aluminum foil. Using the numerical method assisted by software ANSYS, Jiang et al. [1,11] studied the influence of pipe material, aluminum foil, and insulation foam on the heat transfer performance of HWHE. Raiyani et al. [12] studied the effect of geometrical parameters on the condenser’s heat transfer performance by changing the point contact between the tube and plate to line contact by wrapping the plate on the tube; the temperature distribution analysis was conducted in ANSYS 14 with experiment validations. To improve the household refrigerator’s performance, a novel shape-stabilized phase change material (PCM) base hot-wall condenser for household refrigerator was presented in several studies [13,14,15,16], and theoretical and experimental research was carried out which showed that the novel refrigerator could increase the energy efficiency by ~12% with only little increase in cost.
From the literature researches, the existing analytic solutions of HWHE’s heat transfer model usually treated the plate as a fin, and the outer surface of the pipe was regarded as an isothermal surface which underestimated the thermal resistance caused by pipes. In addition, the mathematical analytic solution on the heat transfer of HWHE normally ignored the influence of the aluminum foil which led to inaccuracy. Otherwise, the numerical computation model used for analyzing the performance of HWHE led to great inconvenience in practical engineering applications.
The study proposed in this paper developed a mathematical model based on analytic solutions aimed at improving the simulation accuracy and facilitating the thermal prediction of HWHE heat transfer performance. The proposed model was validated with literature results. Further on, the key factors influencing the heat exchanger’s thermal property were studied with the proposed model.
2. Mathematical Model of HWHE
2.1. Typical Structure of HWHE
The HWHE normally consists of steel tubing (coated with copper), an iron plate, and foam insulation. The steel tubes are installed by contacting on the inner surface of the iron plate, and a contact angle was kept to increase the heat transfer area between the tube and the plate. The foam was fixed in the opposite direction of iron plate as shown in Figure 3. The foam acts as a shield to prevent heat transfer to the opposite zone. The fluid in the tubes is normally water or refrigerant. Through the steel tubes and the iron plate, heat transfer between the fluid and external environment can be realized. In practice, in order to tightly attach the tube to the metal plate, aluminum foils are usually used to fix the tube on the inner surface as shown in Figure 4. The aluminum foils could also reduce the contact thermal resistance between the pipe and the plate.
Figure 3.
Structure of HWHE without aluminum foil.
Figure 4.
Structure of HWHE with aluminum foil.
The heat transfer process in a refrigerator condenser which is a typical HWHE is shown in Figure 5. Firstly, the heat is transferred from the hot fluid to the tube wall, and then is conducted through the aluminum foil to the plate. Ultimately, the heat is transferred to the surrounding environment through the outer plate by means of convection and radiation.
Figure 5.
Heat transfer process of HWHE with aluminum foil.
2.2. Model Assumptions of HWHE
To develop the heat transfer model of HWHE, some assumptions were set in the proposed model:
- (1)
- The tube and contact resistances were negligible as they contribute to less than 1% of the total resistance [8].
- (2)
- The thickness of the plate was very thin (usually less than 1 mm), and thus the temperature variation in the normal direction of iron plate was ignored.
- (3)
- The plate surface’s comprehensive convective heat transfer coefficient caused by radiation and convection was given in the study of Wang et al. [7], and heat radiation between the outer side of the iron plate and the environment was not considered separately.
- (4)
- The heating medium temperature in adjacent tubes was assumed to be same.
- (5)
- The opposite side of the plate was insulated well, and heat transfer through the foam layer to the inner environment is not considered.
Due to the small tube thickness, half of the pipe circle could be spread and be seen as a fin. One side of the fin is washed by the fluid and the other side is insulated by the foam, the boundary condition of foam insulation could be regarded as adiabatic, and the third boundary condition was used on the iron plate side. Thus, the heat transfer process of the device could be simplified: the heat is transferred to the surroundings through a semicircular copper (aluminum) fin, aluminum foil, if used, and iron plate.
Based on the assumptions above, the region between the midline of two tubes was taken as the research unit. In order to study the influence on heat transfer from aluminum foil, two mathematical models were developed for the cases of HWHE with aluminum foil and with a contact angle to enhance heat transfer. During the theoretical modeling, a refrigerator condenser was used as a research object representing HWHE.
2.3. Equations of HWHE
When the contact angle (named method A) is used to enhance heat transfer in HWHE, the semicircular pipe can be seen as two parts. One part directly contacts the plate and the length H1 is the arc length decided by the contact angle and the copper tube diameter , which equals 0.5. The other is the remaining part of the semicircle, because the pipe wall is thin, the remaining part of the semicircle could be spread and be seen as a fin as well. The simplified physical model of heat transfer in HWHE with contact angle (method A) is shown in Figure 6.
Figure 6.
Simplified model of heat transfer for HWHE in Method A.
When aluminum foil is used to enhance heat transfer between the pipes and the plate wall (named Method B), the heat will be transferred from the hot fluid to surrounding environment through the pipes, aluminum foil, and the plate. The pipe and aluminum foil can be regarded as a fin. In this case, the fin base is no longer located at the intersection of the copper tube and the wall plate. The intersection of the aluminum foil and the wall plate is shown in Figure 7. In this condition, the length of the fin is equal to the perimeter of the semicircle of the tube and the length H1 is the distance from the intersection to the bottom of the plate and equals 0.5d.
Figure 7.
Simplified model of heat transfer for HWHE in Method B.
2.3.1. Mathematical Model of Heat Transfer from the Plate to the Air
Heat Transfer Process in the Plate
The section of plate with length H2 is a fin with one side contacted with air. The heat conduction differential equation can be expressed as Equation (1).
where, is the plate wall thermal conductivity, W/(m °C) ; is the plate temperature, °C; is the air temperature, °C; is the comprehensive convective heat transfer coefficient of the plate surface, W/(m2 °C); and is the wall thickness, m.
The boundary condition can be expressed as the following Equations (2)–(5).
For the base of the fin, when x = H1,
For the top of the fin, when x = H,
where, is the temperature of plate wall fin base, °C. is the distance between the midline of two tubes.
With the Equations (1)–(3), the temperature on the wall could be expressed as Equation (4).
For the method A, could be expressed as Equation (5).
And for the method B, could be expressed as Equation (6).
where, is the thermal conductivity of plate combing with the foil, W/(m °C) and is the density of steel plate, kg/m3. is the thermal conductivity of aluminum foil, W/(m °C). is thickness of aluminum foil, m and is the aluminum foil’s density, kg/m3.
Heat Transfer from the Plate to the Air
The heat transferred from the plate to the air was composed of two parts, and can then be expressed as Equation (8). The heat transferred from the plate to the air by H1 can be expressed as Equation (9).
where, is the heat transferred from the whole plate wall to the air, W/m; is the heat transferred to the air from the plate attached with the tube, W/m; is the heat transferred to the air from the plate not attached with the tube, W/m; and is the average temperature of the plate with length of , °C.
For Method A, because the length is very small, it could be assumed that the plate wall’s temperature in this part is the same as the fin base, and can be seen to equal .
For Method B, since H1 is smaller than H and the actual copper tube thickness is very small, it could be assumed that the temperature of the actual contact point between the copper tube and the wall plate (when x = 0) is the average temperature of the fin base and the fluid . Further, the temperature of the part with length of H1, can be seen as the average temperature of and . Thus, the temperature of the part with length of H1 can be expressed as Equation (10).
The heat transferred from the plate to the air by H2 can be expressed as Equation (11).
Combining Equations (9) and (11), the heat transfer by plate wall to the air can be expressed as Equation (12).
where, is the plate wall fin efficiency and H2 is the length of the contact section of the plate and the tube fin in method B, m.
Where can be expressed as Equation (13).
2.3.2. Mathematical Model of Heat Transfer from the Fluid to the Pipe Wall
Heat Transfer Process in the Pipe Wall
For Method A, one part of heat is transferred from the fluid to the fin with a length of L which equals , and the other part is transferred from the fluid to tube wall with a length of H1, which is decided by the radian of the contact angle . For Method B, heat is transferred from the fluid to the fin with a length of L which equals .
To spread the tube wall with length of L as expressed before, it could also be regarded as a fin with one side contacted with fluid, and there exists similarity in the form of the heat conduction differential equation and the boundary condition for the plate and the pipe wall. So, the heat conduction differential equation and the boundary condition for the pipe wall are no longer given repeatedly.
The temperature on the wall can be expressed as Equation (14).
where, t is the temperature of the tube wall, °C and is the fluid temperature in the pipe, °C.
For Equation (14), and , which are used to calculate for Method B, share a similar equation form with Equations (5)–(7). In the process of calculating for Methods A and B, all the parameters in Equations (5)–(7) such as , , , , and should be replaced with , , , , and , respectively.
Where, is the thermal conductivity of the tube combining with the foil, W/(m °C) and is the density of the tube, kg/m3. is fluid convection heat transfer coefficient inside the pipe, W/(m2 °C); is the thermal conductivity of the pipe, W/(m °C); and is the thickness of the pipe, m.
Heat Transfer for the Fluid to the Pipe Wall
For Method A, as mentioned above, the heat transferred from the fluid to the pipe is composed of two parts: the heat transferred by the length H1 and by length L, respectively; the heat can be expressed as Equation (15).
For Method B, the heat transferred from the fluid to the tube could be expressed as Equation (16).
where, is the heat transferred from the fluid to the whole tube wall, W/m and is the copper pipe fin efficiency which can be expressed as Equation (17).
2.3.3. Temperature of the Fin Base
For Method A, with Equations (11) and (15), the fin base temperature can be obtained by Equation (18).
where,
For Method B, with Equations (11) and (16), fin base temperature can be obtained as shown by Equation (21).
where,
Based on the equations and assumptions above, the mathematical model of HWHE with aluminum foil or with a contact angle can be established. A program was then developed in MATLAB with the equations above to express and compute the heat transfer process in HWHE.
3. Validation of the Model
This paper chose the results of two past literatures [1,11] to validate the proposed model. In the cases of the literatures, the indoor air temperature and the heating fluid temperature are 25 °C and 43 °C, respectively. The comprehensive convection heat transfer coefficient is different in the two literatures, one is 8.3 W/(m2 °C) and the other is 9.5 W/(m2 °C), which were defined as case-1 and case-2, respectively. The physical parameters of the HWHE used for model validation are shown in Table 1.
Table 1.
Structural parameters of the HWHE.

Figure 8.
Surface temperature distribution of HWHE in case-1. (a) Without aluminum foil and (b) with aluminum foil.
Figure 9.
Surface temperature distribution of HWHE in cases-2. (a) Without aluminum foil and (b) with aluminum foil.
From the validation, it can be found that the simulation results are in good agreement with the literature results. For case-1, the average surface temperature of the plate in HWHE without aluminum foil is 0.33 °C higher than that of the literature value, and the average surface temperature is 0.14 °C higher than that of the literature value with the aluminum foil. For case-2, the average surface temperature is 0.27 °C lower than the literature value in the absence of aluminum foil, and the average surface temperature is 0.31 °C lower than the literature value in the case of the aluminum foil. The heat transfer difference caused by the temperature difference between the literature and simulation results were 2.53%, 0.99%, 2.12%, 1.96%, respectively. The results show that the mathematical model proposed in this paper could be valid due to high accuracy compared with literature results, and that the mathematical model is acceptable.
4. Key Factors Affecting the Thermal Property of HWHE
In order to optimize the structure of HWHE, the factors that affect the heat transfer performance of HWHE, such as the pipe’s material, diameter, distance between pipes, material of the plate, and the convective coefficient of the air, were analyzed.
4.1. Heat Transfer and Thermal Resistance
Using Equations (12) and (15), the heat transfer through HWHE and thermal resistance in condition A can be obtained as Equations (25) and (26).
Heat transfer through per unit length of the HWHE tube in condition A can be calculated with Equation (25).
HWHE thermal resistance in condition A can be calculated with Equation (26).
Using Equations (12) and (16), the heat transfer through HWHE and thermal resistance in condition B can be obtained as Equations (27) and (28).
Heat transfer through per unit length of the HWHE tube in condition B can be calculated with Equation (27).
HWHE thermal resistance in condition B can be calculated with Equation (28).
where, is the HWHE thermal resistance per unit length of the tube, m°C/W.
Using Equations (26) and (28), it can be determined that the thermal resistance of the wall plate heat exchanger mainly consists of two parts, of which H/A1 reflects the thermal resistance of the copper tube side and H/B1 reflects the thermal resistance of the steel plate and the air convection. Taking case-1 as an example, when the convective coefficient is 9.50 W/(m2 °C), the total thermal resistance is 1.416 (m°C/W), and the thermal resistances caused by the convective resistance and copper pipe are 1.053 (m°C/W) and 0.0491 (m°C/W), respectively. It can thus be concluded that the percentage of thermal resistance caused by the copper pipe, the plate, and the air convective are 3.46%, 22.14%, and 74.43%, respectively. If aluminum foil was used for the heat exchanger, the total thermal resistance is ~1.344 (m°C/W), which is ~5.11% lower than without aluminum foil. This thermal resistance is 8% lower than the data presented by the literature [10] which neglected of the heat transfer resistance caused by air.
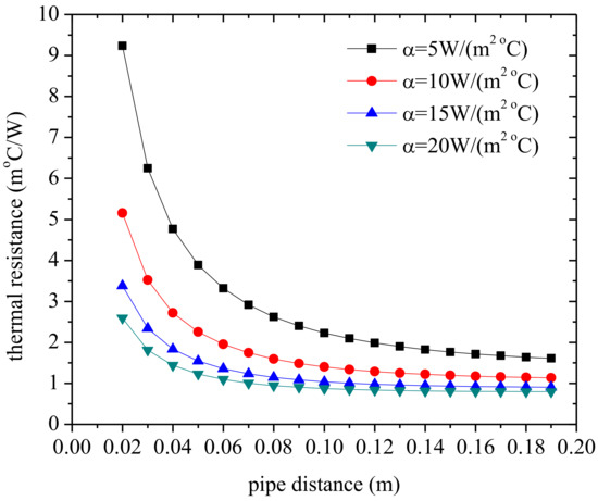
4.2. Influence of Air Convective Coefficient on the Thermal Property
Figure 10 and Figure 11 show the influence of air convective coefficient on heat flux and thermal resistance of HWHE with different pipe distance. It can be seen that air convective coefficient influences the heat exchanger’s thermal property obviously, especially when the pipe distance is short. For example, when the pipe distance is 0.02 m and the convective coefficient is 5 W/(m2°C), the heat flux is 90 W/m2 and the thermal resistance is 9.23 (m°C)/W. When the comprehensive convective coefficient increased to 15 W/(m2°C), the heat flux increased to 270 W/m2 and the thermal resistance decreased to 2.59 (m°C)/W. When the pipe distance increased to 0.19 m and the comprehensive convective coefficient is 5 W/m2, the heat flux on the surface is 60 W/m2 which is much less than 140 W/m2 when the comprehensive convective coefficient is 15 W/m2. It could be concluded that the air comprehensive convective is very important for the heat exchanger’s thermal property, and increasing the coefficient of convection heat transfer is a useful way to improve the performance of heat exchanger.
Figure 10.
Heat exchanger’s heat flux vs. air comprehensive convective coefficient and pipe distance.
Figure 11.
Heat exchanger’s thermal resistance vs. air comprehensive convective coefficient and pipe distance.
4.3. Influence of the Plate’s Parameters on the Thermal Property
The influence of plate parameters such as conductivity and thickness on the heat transfer performance of HWHE were analyzed with the proposed model.
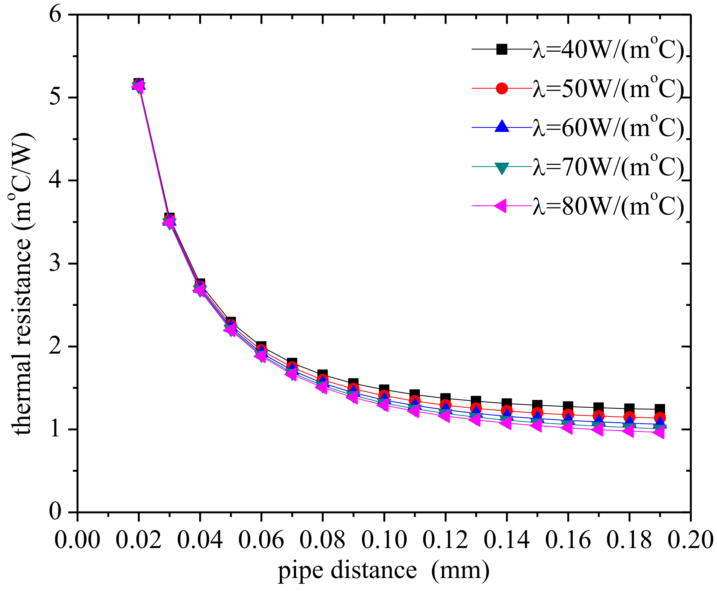
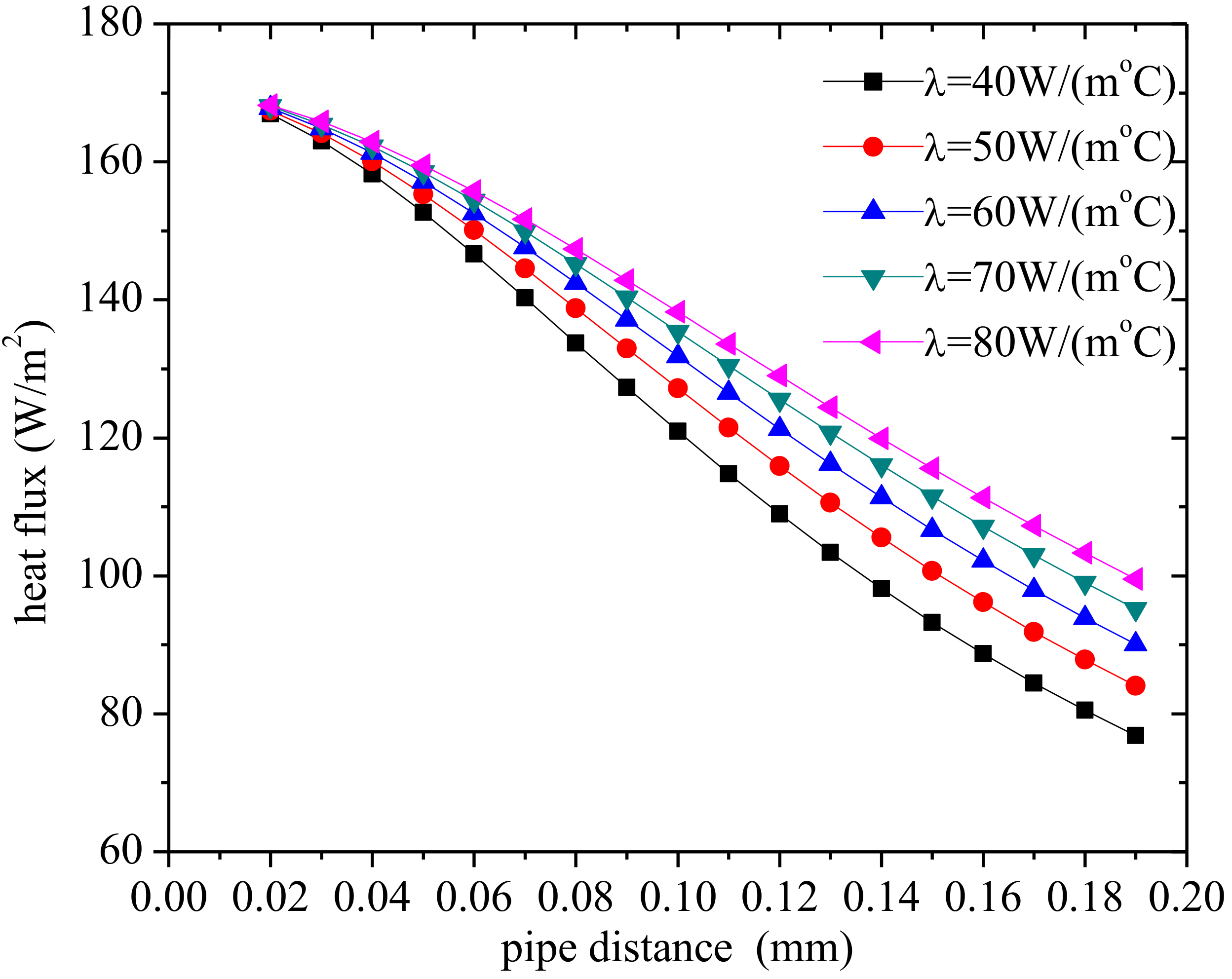
4.3.1. Influence of Plate’s Conductivity on Heat Exchanger’s Thermal Property
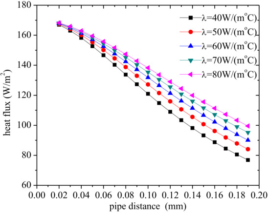
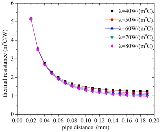
From Figure 12 and Figure 13, it can be seen that the plate’s conductivity influences the heat exchanger’s thermal property obviously, especially when the pipe distance is larger. When the pipe distance increases, the heat flux reduces quickly and the heat flux difference between different pipe diameters becomes larger. For example, when the pipe distance is 0.19 m and the conductivity is 40 W/(m°C), the surface heat flux is ~76.8 W/m2, however, when the conductivity increased to 60 W/(m°C) the heat flux on the surface increased to 90 W/m2.
Figure 12.
Heat exchanger’s heat flux vs. plate’s conductivity and pipe distance.
Figure 13.
Heat exchanger’s thermal resistance vs. plate’s conductivity and pipe distance.
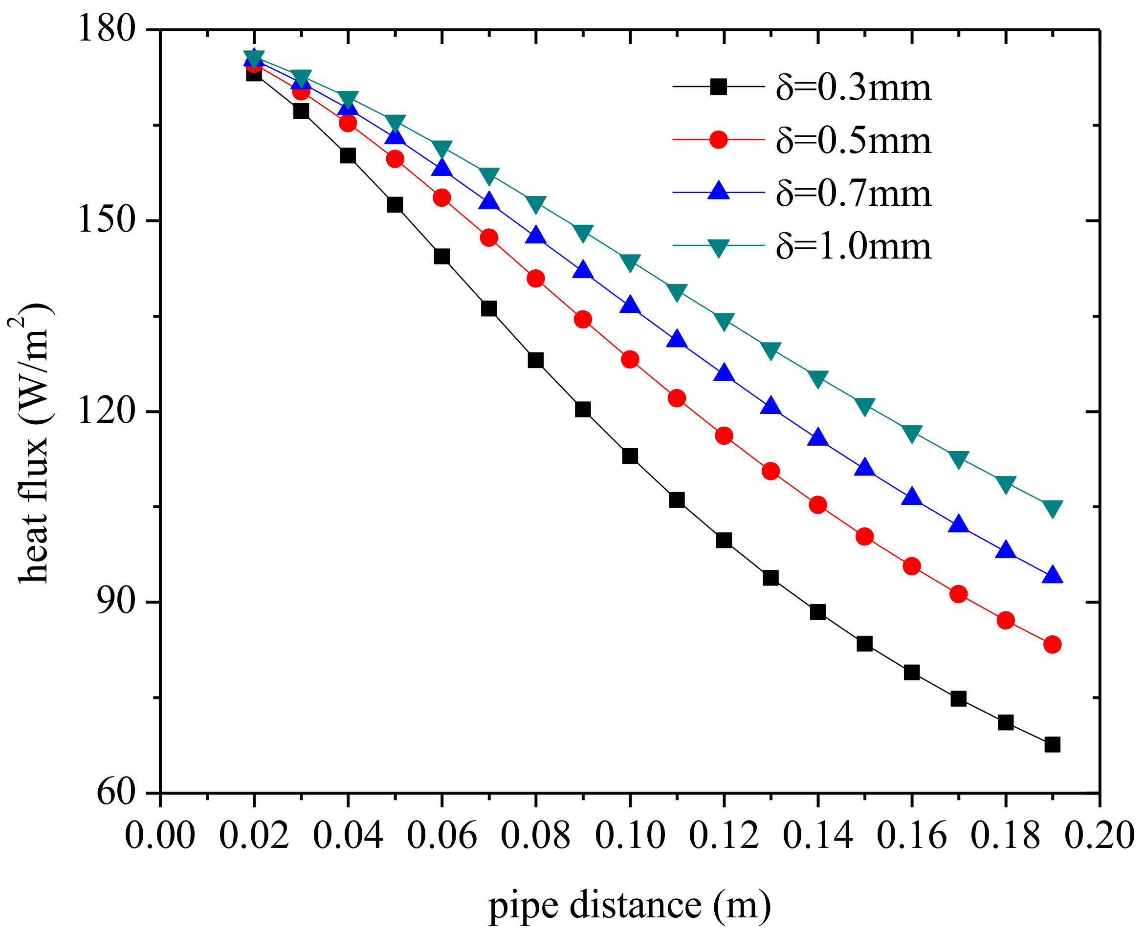
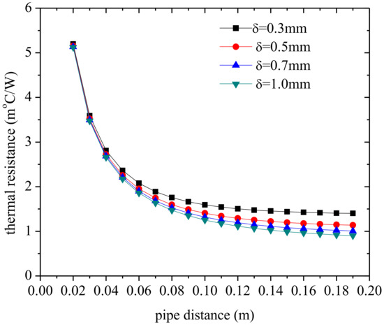
4.3.2. Influence of Plate’s Thickness on Heat Exchanger’s Thermal Property
The influence of plate thickness on the heat transfer of HWHE is shown in Figure 14 and Figure 15. It can be seen that when the pipe distance is short, there is little variation in the heat flux and thermal resistance which means that the plate’s thickness has little influence on the heat exchanger’s thermal property. While, with the increase of pipe distance, the difference in the heat flux and thermal resistance become obvious, meaning that the thickness of the plate becomes an important role in the heat exchanger’s thermal property. For example, when the pipe distance is 0.19 m, the conductivity is 50 W/(m°C), the thickness is 0.3 mm, and the surface heat flux is ~67.6 W/m2. While, when the thickness is increased to 0.7 mm, the heat flux on the surface increased to 94 W/m2, which is ~40% higher than the case with 0.3 mm thickness. The thickness of the plate should be considered as an important factor in strengthening heat exchanger’s heat transfer performance, especially when the pipe distance is large.
Figure 14.
Heat exchanger’s heat flux vs. plate’s thickness and pipe distance.
Figure 15.
Heat exchanger’s thermal resistance vs. plate’s thickness and pipe distance.
4.4. Influence of the Pipe’s Parameters on HWHE’s Thermal Property
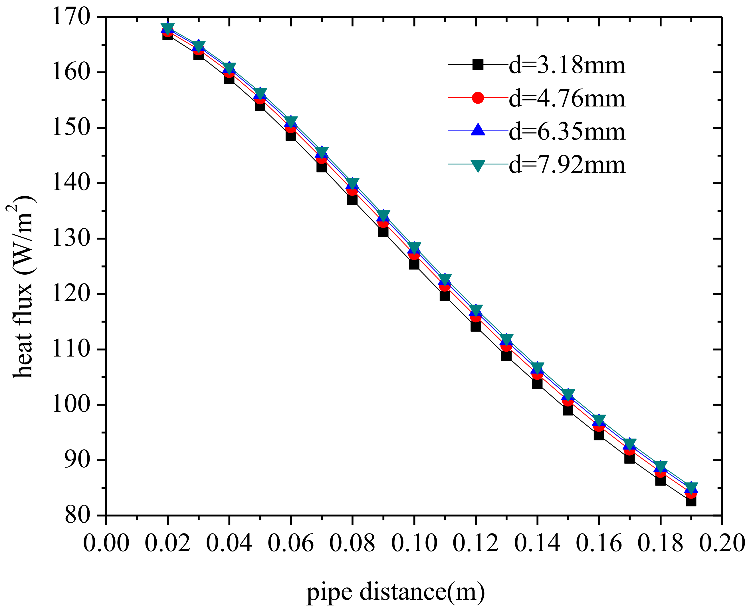
4.4.1. Influence of the Pipe Diameter and Pipe Distance on Heat Exchanger’s Thermal Property
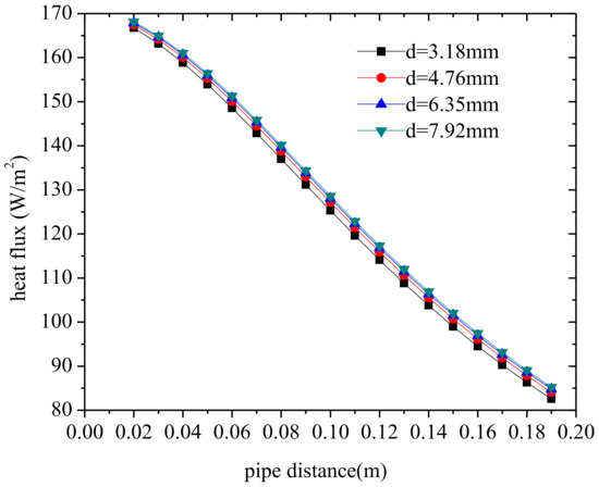
The influence of the pipe diameters and pipe distances on the heat transfer of HWHE were analyzed and shown in Figure 16 and Figure 17. Figure 16 shows that the heat exchanger’s heat flux reduces quickly with the increase of pipe distance. However, the diameter plays a small impact on the heat flux. For example, when the distance is about 0.02 m, the heat flux on the wall is ~170 W/m2. While, when the distance increase to 0.19 m, the heat flux reduces to 85 W/(m2), which is only half of that with pipe distance 0.02 m. Figure 17 shows that the heat exchanger’s thermal resistance reduces gradually with the increase of pipe diameter. In particular, it is necessary to point out that when the pipe’s diameter is smaller than 6.35 mm, the heat exchanger’s thermal resistance decreases faster with the increase of pipe diameter than the case where the pipe’s diameter is larger than 6.35 mm. Thus, for HWHE, the optimized diameter of the pipe is 4.76 mm to 6.35 mm. It can be concluded that compared with the pipe’s diameter, the pipe’s distance plays a more important role in strengthening the heat exchanger’s heat transfer performance. In practical applications, the distance of the pipes should be well planned according to the available area.
Figure 16.
Heat exchanger’s surface heat flux vs. pipe’s diameter and distance.
Figure 17.
The heat exchanger’s thermal resistance vs. pipe’s diameter.
4.4.2. Influence of the Pipe’s Conductivity on Heat Exchanger’s Thermal Property
From Figure 18 it can be deduced that the pipe’s material almost has no influence on the heat exchanger’ thermal property. The thermal resistance of the heat exchanger consisting steel pipe is almost the same with that of copper pipe. When using a steel pipe with conductivity of 45 W/(m°C) with pipe distance of 0.1 m, the total resistance of the heat exchanger without aluminum foil is 1.445 (m°C)/W, which is only 2.04% lower than that with copper pipe. Thus, from the heat transfer point, it is feasible to replace the expensive copper pipe by cheap steel pipe.
Figure 18.
The heat exchanger’s thermal resistance vs. pipe material.
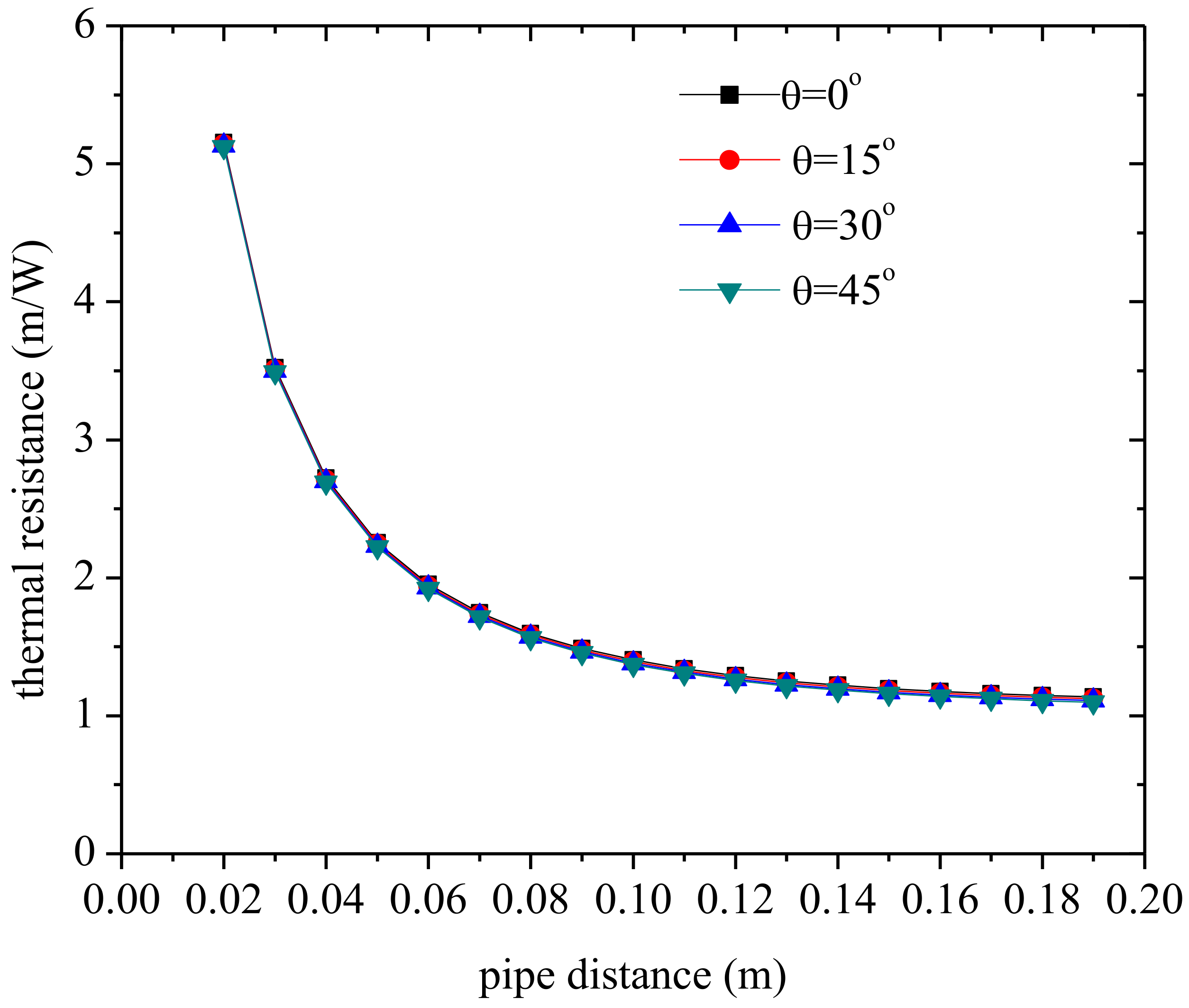
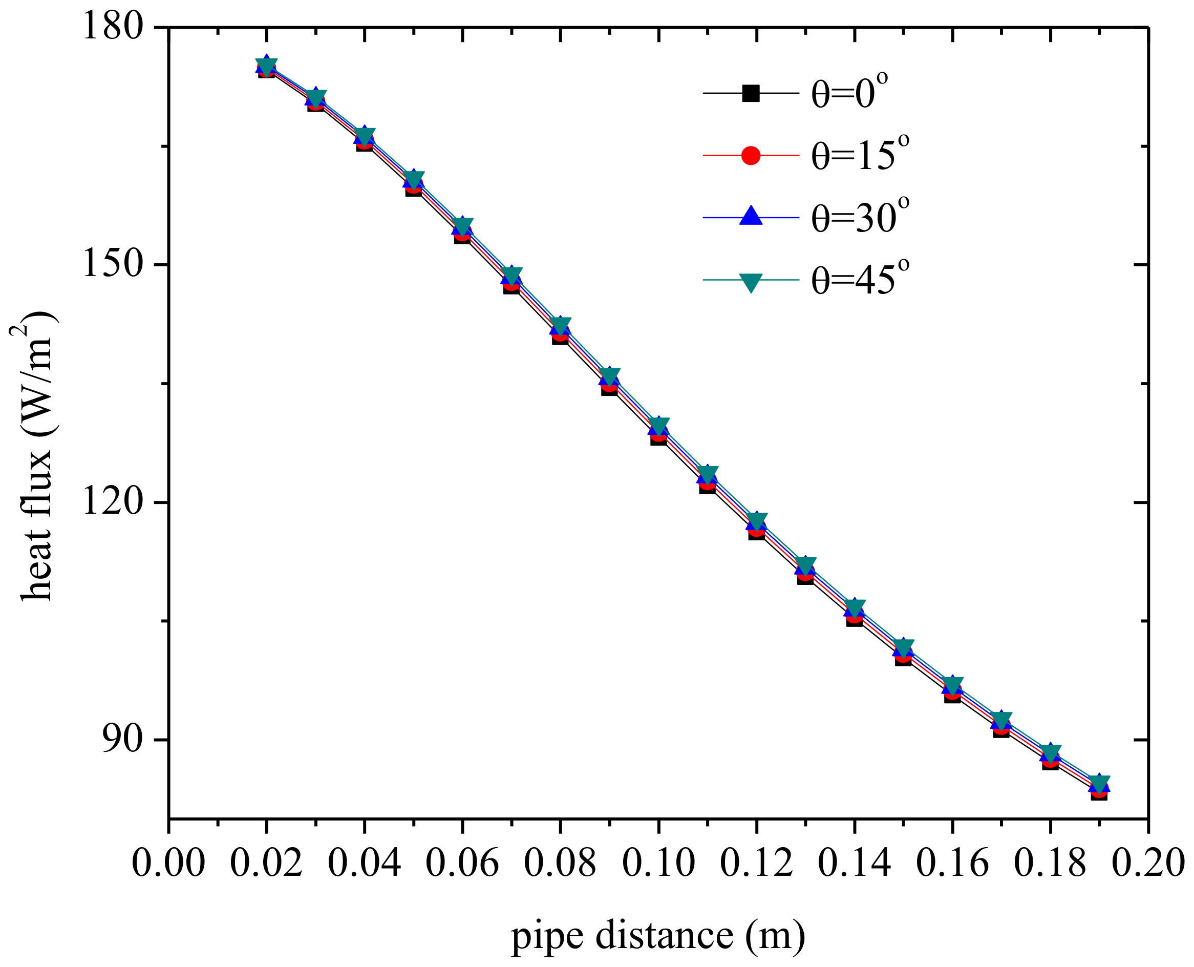
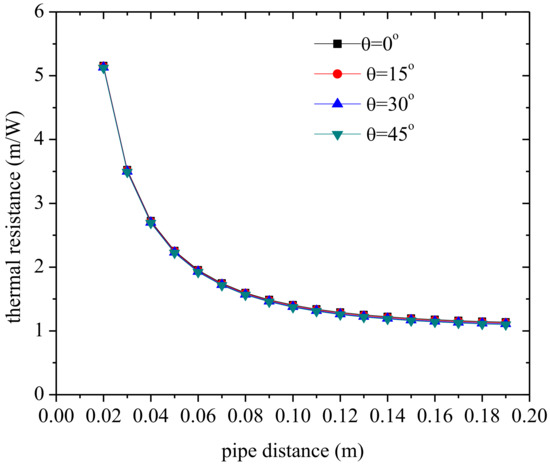
4.4.3. Influence of the Pipe’s Contact Angle
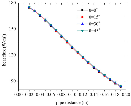
Figure 19 and Figure 20 show that although the heat exchanger’s heat flux reduces quickly with the increase of pipe distance, the pipe’s contact angle makes small difference to the heat exchanger’s heat transfer performance. When the contact angle increases from 0° to 45°, the heat exchanger has almost the same heat flux and thermal resistance. This phenomenon is analyzed to be caused by the little percentage of pipe thermal resistance to the whole thermal resistance. It can be concluded that it is almost noneffective to increase the heat exchanger’s heat transfer performance by increasing the contact area between the pipe and the wall plate.
Figure 19.
Heat exchanger’s surface heat flux vs. pipe contact angle and distance.
Figure 20.
The heat exchanger’s thermal resistance vs. pipe contact angle and distance.
5. Conclusions
In this paper, a new heat transfer mathematical model—HWHE—was developed based on analytical solutions. Validation of the proposed model was conducted by comparing the calculated results with literature values under four conditions. It is found that the deviations of heat flux on the heat exchanger are 2.53%, 0.99%, 2.12%, and 1.96%, proving the accuracy of the proposed model. By the mathematical model, it is much faster and more convenient for engineering applications to predict the heat exchanger’s surface temperature distribution, thermal resistance, and heat flux compared to existing numerical models of HWHE.
Study on heat transfer performance of HWHE with the proposed model shows that, ratio of thermal resistance caused by the pipe is only 4.02% and the main thermal resistance of the heat exchanger exists on the plate which accounts for 95.98% of the whole thermal resistance. Our results also show that thermal resistance of the heat exchanger can be reduced 5–8% by adding aluminum foil around the pipes.
The influence of other factors such as pipe diameters, distance between pipes, pipe’s conductivity, plate’s thickness and conductivity, and convective heat transfer coefficient of the air on the heat transfer performance of HWHE were studied. The wall’s conductivity and air’s convective coefficient are two important factors influencing the heat exchanger’s thermal property and should be enhanced in practice. The thickness of the plate should be considered as an important factor in strengthening heat exchanger’s heat transfer performance, especially when the pipe distance is large. The pipe’s distance plays a more important role in strengthening heat exchanger’s heat transfer performance than the pipe’s diameter and contact angle. Due to the small proportion of pipe thermal resistance to the whole thermal resistance, the contact area, pipe diameter, and conductivity have little effect on the heat exchanger’s heat transfer performance. On the other hand, replacing copper pipe with pipe with a lower heat conductivity will not significantly weaken the heat transfer performance of HWHE.
Author Contributions
All authors contributed to the research in this paper. W.H. put forward the problem, deducted the equations of this paper which form the analytical solution and wrote the original version of the paper. P.J. was responsible for the MATLAB program development and validation of the model. J.N. analyzed key factors affecting the thermal property of HWHE and revised the paper. Y.G. and Q.Z. gave some critical suggestions on the influence factors affecting the thermal property of HWHE.
Funding
The research was funded by [The National Natural Science Foundation of China] grant number [51508016] and [The Key Project of National Natural Science Foundation of China] grant number [51338006] and [The Natural Science Foundation of Beijing Municipality] grant number [Grant No. 3152007].
Conflicts of Interest
The authors declare no conflict of interest.
References
- Jiang, S.; Cheng, W.; Zhao, R.; Chen, Z.S.; Jiang, M. Heat path analysis for hot-wall condensers of household refrigerators. Refrig. Air Cond. 2007, 7, 93–96. (In Chinese) [Google Scholar]
- Zhu, N.; Tian, Z.; Ma, J. The thermal performance analysis for chilling panel. J. Refrig. 2000, 21, 19–28. (In Chinese) [Google Scholar]
- Conroy, C.L.; Mumma, S.A. Ceiling radiant cooling panels as a viable distributed parallel sensible cooling technology integrated with dedicated outdoor air systems. ASHRAE Trans. 2001, 107, 578–585. [Google Scholar]
- Jeong, J.; Mumma, S.A. Simplified cooling capacity estimation model for top insulated metal ceiling radiant cooling panels. Appl. Ther. Eng. 2004, 24, 2055–2072. [Google Scholar] [CrossRef]
- Jeong, J.; Mumma, S.A. Practical cooling capacity estimation model for a suspended metal ceiling radiant cooling panel. Build. Environ. 2007, 42, 3176–3185. [Google Scholar] [CrossRef]
- Yu, G.; Xiong, L.; Du, C.; Chen, H. Simplified model and performance analysis for top insulated metal ceiling radiant cooling panels with serpentine tube arrangement. Case Stud. Ther. Eng. 2018, 11, 35–42. [Google Scholar] [CrossRef]
- Wang, S.; Chen, L.; Yi, J.; Wu, Z.; Tian, H. Heat transfer research on air side of tube-plate condenser of refrigerator. Refrig. Air-Cond. 2005, 5, 39–42. (In Chinese) [Google Scholar]
- Bansal, P.K.; Chin, T.C. Design and modeling of hot-wall condensers in domestic refrigerators. Appl. Ther. Eng. 2002, 22, 1601–1617. [Google Scholar] [CrossRef]
- Gupta, J.K.; Gopal, M.R. Modeling of hot-wall condensers for domestic refrigerators. Int. J. Refrig. 2008, 31, 979–988. [Google Scholar] [CrossRef]
- Rebora, A.; Tagliafico, L.A. Thermal performance analysis for hot-wall condenser and evaporator configurations in refrigeration appliances. Int. J. Refrig. 1997, 21, 490–502. [Google Scholar] [CrossRef]
- Jiang, S.; Cheng, W.; Zhao, R.; Chen, Z.S.; Jiang, M. Analysis of the use of vacuum insulation panel wall refrigerator. Refrig. J. 2007, 7, 54–58. (In Chinese) [Google Scholar]
- Raiyani, A.D.; Sheth, N.R.; Mehta, N.C. Thermal analysis of hot wall condenser for domestic refrigerator. Int. J. Sci. Res. 2014, 3, 622–625. [Google Scholar]
- Cheng, W.L.; Mei, B.J.; Liu, Y.N.; Huang, Y.H.; Yuan, X.D. A novel household refrigerator with shape-stabilized PCM (Phase Change Material) heat storage condensers: An experimental investigation. Energy 2011, 36, 5797–5804. [Google Scholar] [CrossRef]
- Cheng, W.L.; Yuan, X.D. Numerical analysis of a novel household refrigerator with shape-stabilized PCM (phase change material) heat storage condensers. Energy 2013, 59, 265–276. [Google Scholar] [CrossRef]
- Yuan, X.D.; Cheng, W.L. Multi-objective optimization of household refrigerator with novel heat-storage condensers by Genetic algorithm. Energy Convers. Manag. 2014, 84, 550–561. [Google Scholar] [CrossRef]
- Cheng, W.L.; Ding, M.; Yuan, X.D.; Han, B.C. Analysis of energy saving performance for household refrigerator with thermal storage of condenser and evaporator. Energy Convers. Manag. 2017, 132, 180–188. [Google Scholar] [CrossRef]
© 2018 by the authors. Licensee MDPI, Basel, Switzerland. This article is an open access article distributed under the terms and conditions of the Creative Commons Attribution (CC BY) license (http://creativecommons.org/licenses/by/4.0/).