High-Performance Asymmetric Supercapacitors Based on the Surfactant/Ionic Liquid Complex Intercalated Reduced Graphene Oxide Composites
Abstract
1. Introduction
2. Materials and Methods
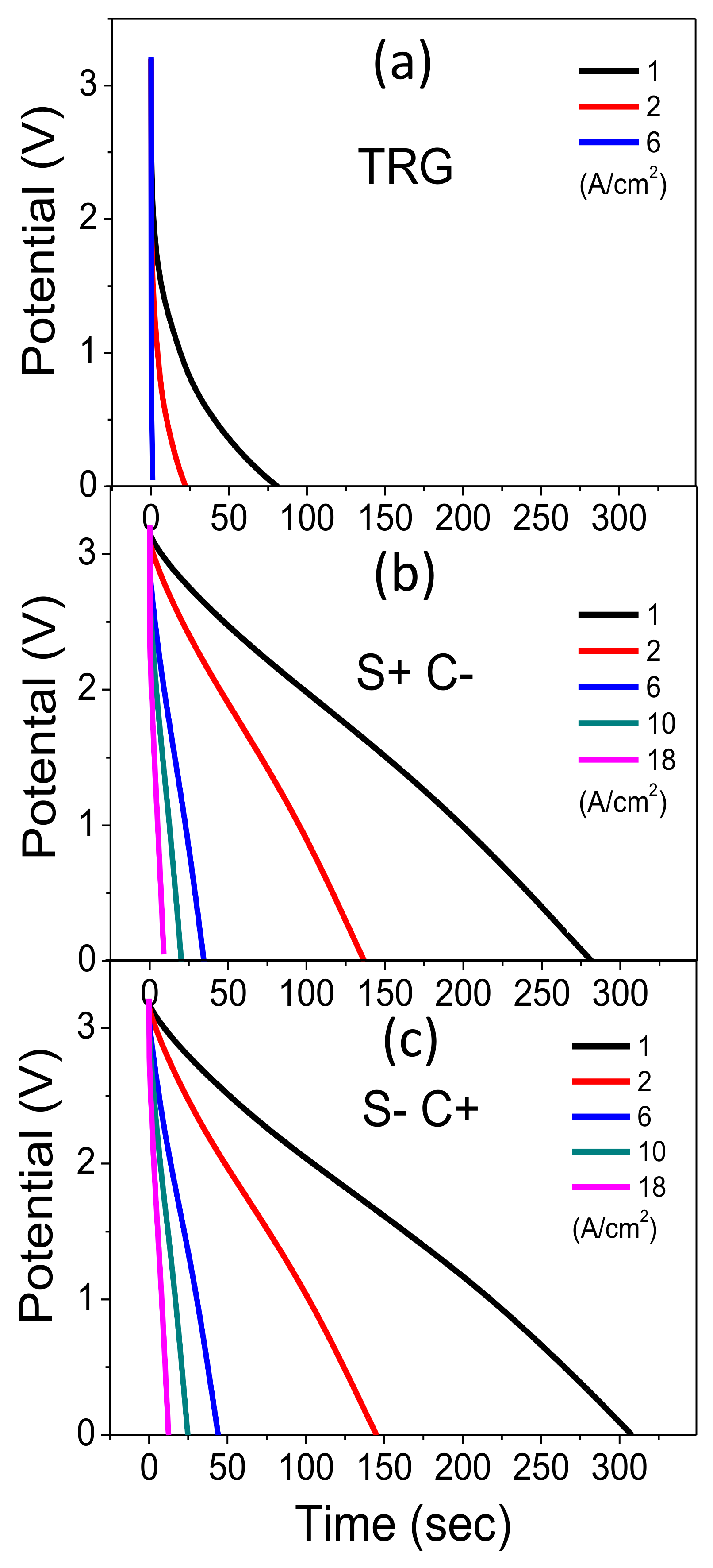
3. Results
4. Conclusions
Acknowledgments
Author Contributions
Conflicts of Interest
References
- Minakshi, M.; Mitchell, D.; Jones, R.; Alenazey, F.; Watcharatharapong, T.; Chakraborty, S.; Ahuja, R. Synthesis, structural and electrochemical properties of sodium nickel phosphate for energy storage devices. Nanoscale 2016, 8, 11291–11305. [Google Scholar] [CrossRef] [PubMed]
- Ramkumar, R.; Minakshi, M. Fabrication of ultrathin CoMoO4 nanosheets modified with chitosan and their improved performance in energy storage device. Dalton Trans. 2015, 44, 6158–6168. [Google Scholar] [CrossRef] [PubMed]
- Lin, J.H.; Liu, Y.; Zhang, Q.M. Charge dynamics and bending actuation in Aquivion membrane swelled with ionic liquids. Polymer 2011, 52, 540–546. [Google Scholar] [CrossRef] [PubMed][Green Version]
- Liu, Y.; Zhao, R.; Ghaffari, M.; Lin, J.H.; Liu, S.; Cebeci, H.; de Villoria, G.R.; Montazami, R.; Wang, D.; Wardle, B.L.; et al. Equivalent circuit modeling of ionomer and ionic polymer conductive network composite actuators containing ionic liquids. Sens. Actuators A Phys. 2012, 181, 70–76. [Google Scholar] [CrossRef]
- Liu, Y.; Lu, C.Y.; Twigg, S.; Ghaffari, M.; Lin, J.H.; Winograd, N.; Zhang, Q.M. Direct Observation of Ion Distributions near Electrodes in Ionic Polymer Actuators Containing Ionic Liquids. Sci. Rep. 2013, 3, 973. [Google Scholar] [CrossRef] [PubMed]
- Liu, Y.; Liu, S.; Lin, J.H.; Wang, D.; Jain, V.; Montazami, R.; Heflin, J.R.; Li, J.; Madsen, L.; Zhang, Q.M. Ion transport and storage of ionic liquids in ionic polymer conductor network composites. Appl. Phys. Lett. 2010, 96. [Google Scholar] [CrossRef]
- Galinski, M.; Lewandowski, A.; Stepniak, I. Ionic liquids as electrolytes. Electrochim. Acta 2006, 51, 5567–5580. [Google Scholar] [CrossRef]
- Zhang, Y.; Feng, H.; Wu, X.B.; Wang, L.Z.; Zhang, A.Q.; Xia, T.C.; Dong, H.C.; Li, X.F.; Zhang, L.S. Progress of electrochemical capacitor electrode materials: A review. Int. J. Hydrogen Energy 2009, 34, 4889–4899. [Google Scholar] [CrossRef]
- Stankovich, S.; Dikin, D.A.; Piner, R.D.; Kohlhaas, K.A.; Kleinhammes, A.; Jia, Y.; Wu, Y.; Nguyen, S.T.; Ruoff, R.S. Synthesis of graphene-based nanosheets via chemical reduction of exfoliated graphite oxide. Carbon 2007, 45, 1558–1565. [Google Scholar] [CrossRef]
- Tan, C.L.; Cao, X.H.; Wu, X.J.; He, Q.Y.; Yang, J.; Zhang, X.; Chen, J.; Zhao, W.; Han, S.; Nam, G.-H.; et al. Recent Advances in Ultrathin Two-Dimensional Nanomaterials. Chem. Rev. 2017, 117, 6225–6331. [Google Scholar] [CrossRef] [PubMed]
- Zhu, Y.W.; Murali, S.; Cai, W.W.; Li, X.S.; Suk, J.W.; Potts, J.R.; Ruoff, R.S. Graphene and Graphene Oxide: Synthesis, Properties, and Applications. Adv. Mater. 2010, 22, 3906–3924. [Google Scholar] [CrossRef] [PubMed]
- Fouda, A.N.; Abu Assy, M.K.; El Enany, G.; Yousf, N. Enhanced Capacitance of Thermally Reduced Hexagonal Graphene Oxide for High Performance Supercapacitor. Fuller. Nanotub. Carbon Nanostruct. 2015, 23, 618–622. [Google Scholar] [CrossRef]
- Kim, B.C.; Cho, W.J.; Lee, W.G.; Kim, S.J.; Jalili, R.; Park, S.Y.; Wallace, G.G.; Yu, K.H.; Chang, S.-J. Capacitive behaviour of thermally reduced graphene oxide in a novel ionic liquid containing di-cationic charge. Synth. Metals 2014, 193, 110–116. [Google Scholar] [CrossRef]
- Mao, L.; Zhang, K.; Chan, H.S.O.; Wu, J.S. Surfactant-stabilized graphene/polyaniline nanofiber composites for high performance supercapacitor electrode. J. Mater. Chem. 2012, 22, 80–85. [Google Scholar] [CrossRef]
- Zhang, K.; Mao, L.; Zhang, L.L.; Chan, H.S.O.; Zhao, X.S.; Wu, J.S. Surfactant-intercalated, chemically reduced graphene oxide for high performance supercapacitor electrodes. J. Mater. Chem. 2011, 21, 7302–7307. [Google Scholar] [CrossRef]
- Sundaram, M.M.; Mitchell, D.R.G. Dispersion of Ni2+ ions via acetate precursor in the preparation of NaNiPO4 nanoparticles: Effect of acetate vs. nitrate on the capacitive energy storage properties. Dalton Trans. 2017, 46, 13704–13713. [Google Scholar] [CrossRef] [PubMed]
- Largeot, C.; Portet, C.; Chmiola, J.; Taberna, P.L.; Gogotsi, Y.; Simon, P. Relation between the ion size and pore size for an electric double-layer capacitor. J. Am. Chem. Soc. 2008, 130, 2730–2731. [Google Scholar] [CrossRef] [PubMed]
- Marcano, D.C.; Kosynkin, D.V.; Berlin, J.M.; Sinitskii, A.; Sun, Z.Z.; Slesarev, A.; Alemany, L.B.; Lu, W.; Tour, J.M. Improved Synthesis of Graphene Oxide. ACS Nano 2010, 4, 4806–4814. [Google Scholar] [CrossRef] [PubMed]
- Ramimoghadam, D.; Hussein, M.Z.B.; Taufiq-Yap, Y.H. The Effect of Sodium Dodecyl Sulfate (SDS) and Cetyltrimethylammonium Bromide (CTAB) on the Properties of ZnO Synthesized by Hydrothermal Method. Int. J. Mol. Sci. 2012, 13, 13275–13293. [Google Scholar] [CrossRef] [PubMed]
- Sau, T.K.; Murphy, C.J. Self-assembly patterns formed upon solvent evaporation of aqueous cetyltrimethylammonium bromide-coated gold nanoparticles of various shapes. Langmuir 2005, 21, 2923–2929. [Google Scholar] [CrossRef] [PubMed]
- Suteewong, T.; Sai, H.; Lee, J.; Bradbury, M.; Hyeon, T.; Gruner, S.M.; Wiesner, U. Ordered mesoporous silica nanoparticles with and without embedded iron oxide nanoparticles: Structure evolution during synthesis. J. Mater. Chem. 2010, 20, 7807–7814. [Google Scholar] [CrossRef]
- Taberna, P.L.; Simon, P.; Fauvarque, J.F. Electrochemical characteristics and impedance spectroscopy studies of carbon-carbon supercapacitors. J. Electrochem. Soc. 2003, 150, A292–A300. [Google Scholar] [CrossRef]
- Lewandowski, A.; Olejniczak, A.; Galinski, M.; Stepniak, I. Performance of carbon-carbon supercapacitors based on organic, aqueous and ionic liquid electrolytes. J. Power Sources 2010, 195, 5814–5819. [Google Scholar] [CrossRef]
- Kotz, R.; Carlen, M. Principles and applications of electrochemical capacitors. Electrochim. Acta 2000, 45, 2483–2498. [Google Scholar] [CrossRef]
- Pandey, G.P.; Rastogi, A.C. Solid-State Supercapacitors Based on Pulse Polymerized Poly(3,4-ethylenedioxythiophene) Electrodes and Ionic Liquid Gel Polymer Electrolyte. J. Electrochem. Soc. 2012, 159, A1664–A1671. [Google Scholar] [CrossRef]
- Liu, R.; Cho, S.I.; Lee, S.B. Poly(3,4-ethylenedioxythiophene) nanotubes as electrode materials for a high-powered supercapacitor. Nanotechnology 2008, 19. [Google Scholar] [CrossRef] [PubMed]
- Samal, R.; Dash, B.; Sarangi, C.K.; Sanjay, K.; Subbaiah, T.; Senanayake, G.; Minakshi, M. Influence of Synthesis Temperature on the Growth and Surface Morphology of Co3O4 Nanocubes for Supercapacitor Applications. Nanomaterials 2017, 7, 356. [Google Scholar] [CrossRef] [PubMed]
- Yoon, S.; Lee, J.W.; Hyeon, T.; Oh, S.M. Electric double-layer capacitor performance of a new mesoporous carbon. J. Electrochem. Soc. 2000, 147, 2507–2512. [Google Scholar] [CrossRef]
- Mo, Y.F.; Wan, Y.F.; Chau, A.; Huang, F.C. Graphene/Ionic Liquid Composite Films and Ion Exchange. Sci. Rep. 2014, 4, 5466. [Google Scholar] [CrossRef] [PubMed]
- Du, M.; Yang, T.; Ma, S.Y.; Zhao, C.Z.; Jiao, K. Ionic liquid-functionalized graphene as modifier for electrochemical and electrocatalytic improvement: Comparison of different carbon electrodes. Anal. Chim. Acta 2011, 690, 169–174. [Google Scholar] [CrossRef] [PubMed]
- Zhu, Y.W.; Murali, S.; Stoller, M.D.; Ganesh, K.J.; Cai, W.W.; Ferreira, P.J.; Pirkle, A.; Wallace, R.M.; Cychosz, K.A.; Thommes, M.; et al. Carbon-Based Supercapacitors Produced by Activation of Graphene. Science 2011, 332, 1537–1541. [Google Scholar] [CrossRef] [PubMed]
- Tamilarasan, P.; Ramaprabhu, S. Graphene based all-solid-state supercapacitors with ionic liquid incorporated polyacrylonitrile electrolyte. Energy 2013, 51, 374–381. [Google Scholar] [CrossRef]
- Yang, H.; Kannappan, S.; Pandian, A.S.; Jang, J.H.; Lee, Y.S.; Lu, W. Graphene supercapacitor with both high power and energy density. Nanotechnology 2017, 28. [Google Scholar] [CrossRef] [PubMed]
- Iamprasertkun, P.; Krittayavathananon, A.; Seubsai, A.; Chanlek, N.; Kidkhunthod, P.; Sangthong, W.; Maensiri, S.; Yimnirun, R.; Nilmoung, S.; Pannopard, P.; et al. Charge storage mechanisms of manganese oxide nanosheets and N-doped reduced graphene oxide aerogel for high-performance asymmetric supercapacitors. Sci. Rep. 2016, 6, 12. [Google Scholar] [CrossRef] [PubMed]
- He, X.Y.; He, G.W.; Zhao, A.Q.; Wang, F.; Mao, X.L.; Yin, Y.H.; Cao, L.; Zhang, B.; Wu, H.; Jiang, Z. Facilitating Proton Transport in Nafion-Based Membranes at Low Humidity by Incorporating Multifunctional Graphene Oxide Nanosheets. ACS Appl. Mater. Interfaces 2017, 9, 27676–27687. [Google Scholar] [CrossRef] [PubMed]











© 2018 by the authors. Licensee MDPI, Basel, Switzerland. This article is an open access article distributed under the terms and conditions of the Creative Commons Attribution (CC BY) license (http://creativecommons.org/licenses/by/4.0/).
Share and Cite
Lin, J.-H.; Shi, B.-W.; Chen, Z.-C. High-Performance Asymmetric Supercapacitors Based on the Surfactant/Ionic Liquid Complex Intercalated Reduced Graphene Oxide Composites. Appl. Sci. 2018, 8, 484. https://doi.org/10.3390/app8040484
Lin J-H, Shi B-W, Chen Z-C. High-Performance Asymmetric Supercapacitors Based on the Surfactant/Ionic Liquid Complex Intercalated Reduced Graphene Oxide Composites. Applied Sciences. 2018; 8(4):484. https://doi.org/10.3390/app8040484
Chicago/Turabian StyleLin, Jun-Hong, Bo-Wen Shi, and Zhao-Cheng Chen. 2018. "High-Performance Asymmetric Supercapacitors Based on the Surfactant/Ionic Liquid Complex Intercalated Reduced Graphene Oxide Composites" Applied Sciences 8, no. 4: 484. https://doi.org/10.3390/app8040484
APA StyleLin, J.-H., Shi, B.-W., & Chen, Z.-C. (2018). High-Performance Asymmetric Supercapacitors Based on the Surfactant/Ionic Liquid Complex Intercalated Reduced Graphene Oxide Composites. Applied Sciences, 8(4), 484. https://doi.org/10.3390/app8040484
