Single Trace Analysis on Constant Time CDT Sampler and Its Countermeasure
Abstract
:1. Introduction
- We performed the first single trace analysis (STA) on a constant-time CDT sampler. We theoretically and experimentally analyzed that existing a constant-time CDT algorithm is vulnerable to STA. Our attack is simple as it does not have any restriction on the attack environment. We exploit the gap of Hamming weight between the positive and negative value to recover the sampled value through a single power consumption trace. When the errors are known, the attacker can reveal the secret key by solving . Therefore, every lattice-based cryptosystem including key exchange is vulnerable to STA. Details of our attack are presented in Section 3.
- We proposed an efficient countermeasure based on look-up table schemes. Especially for the Gaussian sampling algorithm used in lattice-based cryptography, the countermeasures must be as efficient as possible since every entry of an error matrix used in the cryptosystem requires executions of the sampler individually. In this regard, at least 2000 samplings are required for single executions of an algorithm proposed nowadays. Our countermeasure is efficient since it is faster than the constant-time CDT sampler, with the use of ROM. However, the additional memory usage is minimal—only about 256 to 2048 bytes, depending on the choice of parameter. To validate the efficiency of our countermeasure, we implemented it in FrodoKEM and Lizard and compared its speed.
- We present an implementation result to validate the efficiency of our proposed countermeasure. We implemented our countermeasure in Lizard, one of the submitted candidates in NIST standardization projects [15]. From our result, we demonstrated that our countermeasure does not degrade the performance of the constant-time CDT sampler. The result of our implementation is given in Section 4.
2. Preliminaries
2.1. Lattice-Based Cryptography
- Key Generation: Sample and , chosen uniformly at random. Sample from Gaussian distribution. Compute . The public-key is and the secret key is .
- Encryption: For given message M, let . Compute and . The ciphertexts are .
- Decryption: Compute . If the result is close to 0, output 0, else output 1.
2.2. Discrete Gaussian Sampling
- The standard deviation: The standard deviation determines the shape of the Gaussian distribution. The larger the standard deviation, the more difficult the implementation. That is, the required bits and table sizes increase when the standard deviation is large.
- The precision parameter: The precision parameter determines how close the Gaussian sampler is to the ideal Gaussian distribution.
- The tailcut parameter: Given a target security of bits, the target distance from the ideal Gaussian distribution should not be no less than . Hence, there is no need to sample from . Instead, x is selected from for some tailcut parameter , depending on .
Cumulative Distribution Table Sampling
2.3. Timing Attacks on CDT Sampler
| Algorithm 1 CDT sampling |
| Require: CDT table Ψ, σ, τ Ensure: Sampled value S
|
| Algorithm 2 Constant-time CDT sampling |
| Require: CDF table Ψ of length ℓ σ, τ Ensure: Sampled value S
|
3. Single Trace Analysis on a CDT Sampler
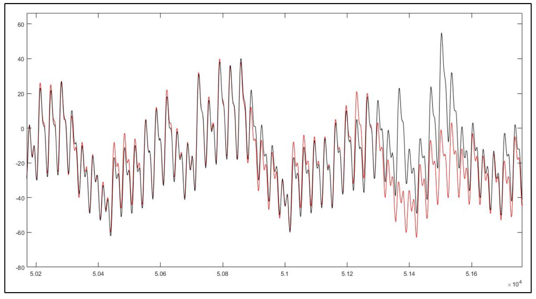
3.1. Examining Raw Traces
3.2. Attack on the CDT Sampler
3.3. Remarks on the Proposed Attack
4. Proposed Countermeasure
4.1. Table-Based CDT Sampler
| Algorithm 3 STA-resistant CDT sampling |
| Require: CDF look-up table Φ, σ, τ Ensure: Sampled value S
|
4.2. Implementation
5. Conclusions
Author Contributions
Funding
Conflicts of Interest
References
- Shor, P.W. Polynomial-time algorithms for prime factorization and discrete logarithms on a quantum computer. SIAM Rev. 1999, 41, 303–332. [Google Scholar] [CrossRef]
- Ajtai, M.; Dwork, C. A public-key cryptosystem with worst-case/average-case equivalence. In Proceedings of the Twenty-Ninth Annual ACM Symposium on Theory of Computing, El Paso, TX, USA, 4–6 May 1997; pp. 284–293. [Google Scholar]
- Regev, O. On lattices, learning with errors, random linear codes, and cryptography. J. ACM 2009, 56, 34. [Google Scholar] [CrossRef]
- Lyubashevsky, V.; Peikert, C.; Regev, O. On ideal lattices and learning with errors over rings. In Proceedings of the Annual International Conference on the Theory and Applications of Cryptographic Techniques, French Riviera, France, 30 May–3 June 2010; Springer: Berlin/Heidelberg, Germany, 2010; pp. 1–23. [Google Scholar]
- Peikert, C. An efficient and parallel Gaussian sampler for lattices. In Proceedings of the Annual Cryptology Conference, Santa Barbara, CA, USA, 15–19 August 2010; Springer: Berlin/Heidelberg, Germany, 2010; pp. 80–97. [Google Scholar]
- Galbraith, S.D.; Dwarakanath, N.C. Efficient sampling from discrete Gaussians for lattice-based cryptography on a constrained device. Preprint 2012. [Google Scholar]
- Pöppelmann, T.; Güneysu, T. Towards practical lattice-based public-key encryption on reconfigurable hardware. In Proceedings of the International Conference on Selected Areas in Cryptography, Burnaby, BC, Canada, 14–16 August 2013; Springer: Berlin/Heidelberg, Germany, 2013; pp. 68–85. [Google Scholar]
- Bai, S.; Lepoint, T.; Roux-Langlois, A.; Sakzad, A.; Stehlé, D.; Steinfeld, R. Improved security proofs in lattice-based cryptography: Using the Rényi divergence rather than the statistical distance. J. Cryptol. 2018, 31, 610–640. [Google Scholar] [CrossRef]
- Kocher, P.; Jaffe, J.; Jun, B. Differential power analysis. In Proceedings of the Annual International Cryptology Conference, Santa Barbara, CA, USA, 15–19 August 1999; Springer: Berlin/Heidelberg, Germany, 1999; pp. 388–397. [Google Scholar]
- Bruinderink, L.G.; Hülsing, A.; Lange, T.; Yarom, Y. Flush, Gauss, and Reload—A cache attack on the BLISS lattice-based signature scheme. In Proceedings of the International Conference on Cryptographic Hardware and Embedded Systems, Santa Barbara, CA, USA, 17–19 August 2016; Springer: Berlin/Heidelberg, Germany, 2016; pp. 323–345. [Google Scholar]
- Espitau, T.; Fouque, P.A.; Gérard, B.; Tibouchi, M. Side-channel attacks on BLISS lattice-based signatures: Exploiting branch tracing against strongswan and electromagnetic emanations in microcontrollers. In Proceedings of the 2017 ACM SIGSAC Conference on Computer and Communications Security, Dallas, TX, USA, 30 October–3 November 2017; pp. 1857–1874. [Google Scholar]
- Karmakar, A.; Roy, S.S.; Reparaz, O.; Vercauteren, F.; Verbauwhede, I. Constant-time Discrete Gaussian Sampling. IEEE Trans. Comput. 2018. [Google Scholar] [CrossRef]
- Micciancio, D.; Walter, M. Gaussian sampling over the integers: Efficient, generic, constant-time. In Proceedings of the Annual International Cryptology Conference, Santa Barbara, CA, USA, 20–24 August 2017; Springer: Cham, Switzerland, 2017; pp. 455–485. [Google Scholar]
- Roy, S.S.; Reparaz, O.; Vercauteren, F.; Verbauwhede, I. Compact and Side Channel Secure Discrete Gaussian Sampling. IACR Cryptol. ePrint Arch. 2014, 2014, 591. [Google Scholar]
- Cheon, J.H.; Kim, D.; Lee, J.; Song, Y. Lizard: Cut Off the Tail! A Practical Post-quantum Public-Key Encryption from LWE and LWR. In Proceedings of the International Conference on Security and Cryptography for Networks, Amalfi, Italy, 5–7 September 2018; Springer: Cham, Switzerland, 2018; pp. 160–177. [Google Scholar]
- Hoffstein, J.; Pipher, J.; Silverman, J.H. NTRU: A ring-based public key cryptosystem. In Proceedings of the International Algorithmic Number Theory Symposium, Portland, OR, USA, 21–25 June 1998; Springer: Berlin/Heidelberg, Germany, 1998; pp. 267–288. [Google Scholar]
- Peikert, C. A decade of lattice cryptography. Found. Trends® Theor. Comput. Sci. 2016, 10, 283–424. [Google Scholar] [CrossRef]
- Bos, J.; Costello, C.; Ducas, L.; Mironov, I.; Naehrig, M.; Nikolaenko, V.; Raghunathan, A.; Stebila, D. Frodo: Take off the ring! practical, quantum-secure key exchange from LWE. In Proceedings of the 2016 ACM SIGSAC Conference on Computer and Communications Security, Vienna, Austria, 24–28 October 2016; pp. 1006–1018. [Google Scholar]
- Du, C.; Bai, G. Towards efficient discrete Gaussian sampling for lattice-based cryptography. In Proceedings of the 2015 25th International Conference on Field Programmable Logic and Applications (FPL), London, UK, 2–4 September 2015; pp. 1–6. [Google Scholar]
- Gentry, C.; Peikert, C.; Vaikuntanathan, V. Trapdoors for hard lattices and new cryptographic constructions. In Proceedings of the Fortieth Annual ACM Symposium on Theory of Computing, Victoria, BC, Canada, 17–20 May 2008; pp. 197–206. [Google Scholar]
- Knuth, D.; Yao, A. The complexity of nonuniform random number generation. In Algorithms and Complexity: New Directions and Recent Results; Academic Press: Cambridge, MA, USA, 1976. [Google Scholar]
- Kocher, P.C. Timing attacks on implementations of Diffie-Hellman, RSA, DSS, and other systems. In Proceedings of the Annual International Cryptology Conference, Santa Barbara, CA, USA, 18–22 August 1996; Springer: Berlin/Heidelberg, Germany, 1996; pp. 104–113. [Google Scholar]
- Amiel, F.; Feix, B.; Tunstall, M.; Whelan, C.; Marnane, W.P. Distinguishing multiplications from squaring operations. In Proceedings of the International Workshop on Selected Areas in Cryptography, Sackville, NB, Canada, 14–15 August 2008; Springer: Berlin/Heidelberg, Germany, 2008; pp. 346–360. [Google Scholar]
- Clavier, C.; Feix, B.; Gagnerot, G.; Roussellet, M.; Verneuil, V. Horizontal correlation analysis on exponentiation. In Proceedings of the International Conference on Information and Communications Security, Barcelona, Spain, 15–17 December 2010; Springer: Berlin/Heidelberg, Germany, 2010; pp. 46–61. [Google Scholar]
- Bauer, A.; Jaulmes, E.; Prouff, E.; Reinhard, J.R.; Wild, J. Horizontal collision correlation attack on elliptic curves. Cryptogr. Commun. 2015, 7, 91–119. [Google Scholar] [CrossRef]
- Clavier, C.; Feix, B.; Gagnerot, G.; Giraud, C.; Roussellet, M.; Verneuil, V. ROSETTA for single trace analysis. In Proceedings of the International Conference on Cryptology in India, Kolkata, India, 9–12 December 2012; Springer: Berlin/Heidelberg, Germany, 2012; pp. 140–155. [Google Scholar]
- Hanley, N.; Kim, H.; Tunstall, M. Exploiting collisions in addition chain-based exponentiation algorithms using a single trace. In Proceedings of the Cryptographers’ Track at the RSA Conference, San Francisco, CA, USA, 20–24 April 2015; Springer: Cham, Switzerland, 2015; pp. 431–448. [Google Scholar]
- Göttert, N.; Feller, T.; Schneider, M.; Buchmann, J.; Huss, S. On the design of hardware building blocks for modern lattice-based encryption schemes. In Proceedings of the International Workshop on Cryptographic Hardware and Embedded Systems, Leuven, Belgium, 9–12 September 2012; Springer: Berlin/Heidelberg, Germany, 2012; pp. 512–529. [Google Scholar]
- Le Trieu Phong, T.H.; Aono, Y.; Moriai, S. LOTUS: Algorithm Specifications and Supporting Documentation. Available online: https://csrc.nist.gov/Projects/Post-Quantum-Cryptography/Round-1-Submissions (accessed on 17 September 2018).






| x | 0 | 1 | … | 25 | 26 | … | 63 | 64 | … | 127 |
|---|---|---|---|---|---|---|---|---|---|---|
| Output | 0 | 0 | … | 0 | 1 | … | 1 | 2 | … | 4 |
| x | 0 | 1 | … | 25 | 26 | … | 127 | 128 | … | 154 | … | 255 |
|---|---|---|---|---|---|---|---|---|---|---|---|---|
| Output | 0 | 0 | … | 0 | 1 | … | 4 | 0 | … | −1 | … | −4 |
| Lizard | |||
|---|---|---|---|
| CCA_CATEGORY1_N536 | CCA_CATEGORY3_N816 | CCA_CATEGORY3_N952 | |
| Original | 213.687 | 335.144 | 361.328 |
| Countermeasure (Table 1) | 207.979 | 333.235 | 356.383 |
| Countermeasure (Table 2) | 206.739 | 330.509 | 353.166 |
© 2018 by the authors. Licensee MDPI, Basel, Switzerland. This article is an open access article distributed under the terms and conditions of the Creative Commons Attribution (CC BY) license (http://creativecommons.org/licenses/by/4.0/).
Share and Cite
Kim, S.; Hong, S. Single Trace Analysis on Constant Time CDT Sampler and Its Countermeasure. Appl. Sci. 2018, 8, 1809. https://doi.org/10.3390/app8101809
Kim S, Hong S. Single Trace Analysis on Constant Time CDT Sampler and Its Countermeasure. Applied Sciences. 2018; 8(10):1809. https://doi.org/10.3390/app8101809
Chicago/Turabian StyleKim, Suhri, and Seokhie Hong. 2018. "Single Trace Analysis on Constant Time CDT Sampler and Its Countermeasure" Applied Sciences 8, no. 10: 1809. https://doi.org/10.3390/app8101809
APA StyleKim, S., & Hong, S. (2018). Single Trace Analysis on Constant Time CDT Sampler and Its Countermeasure. Applied Sciences, 8(10), 1809. https://doi.org/10.3390/app8101809
