Temperature-Dependent Raman Scattering of Large Size Hexagonal Bi2Se3 Single-Crystal Nanoplates
Abstract
1. Introduction
2. Experimental Sections
2.1. Preparation of BiSe Nanoplates
2.2. Sample Characterization
3. Results and Discussion
3.1. Structure and Morphology of BiSe Nanoplates
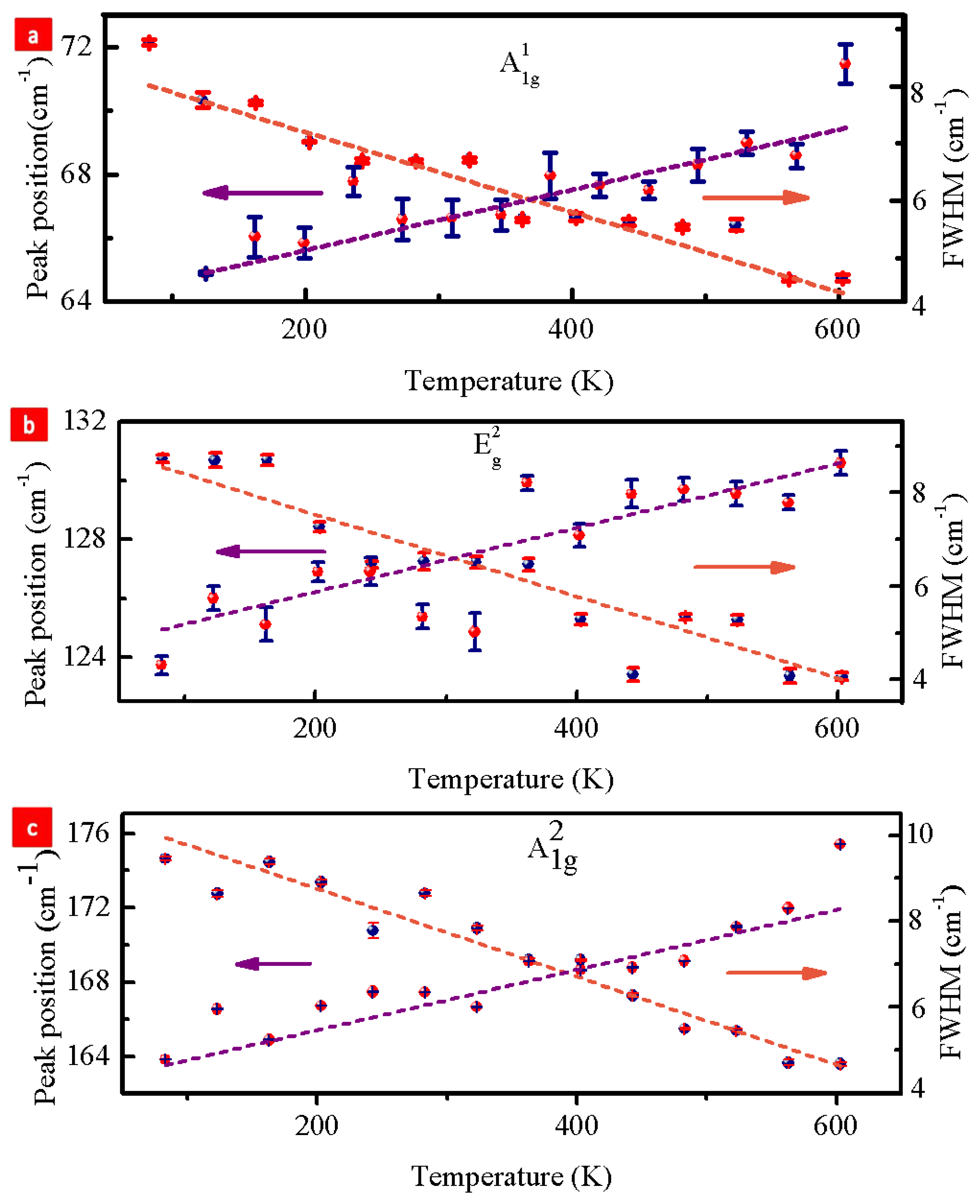
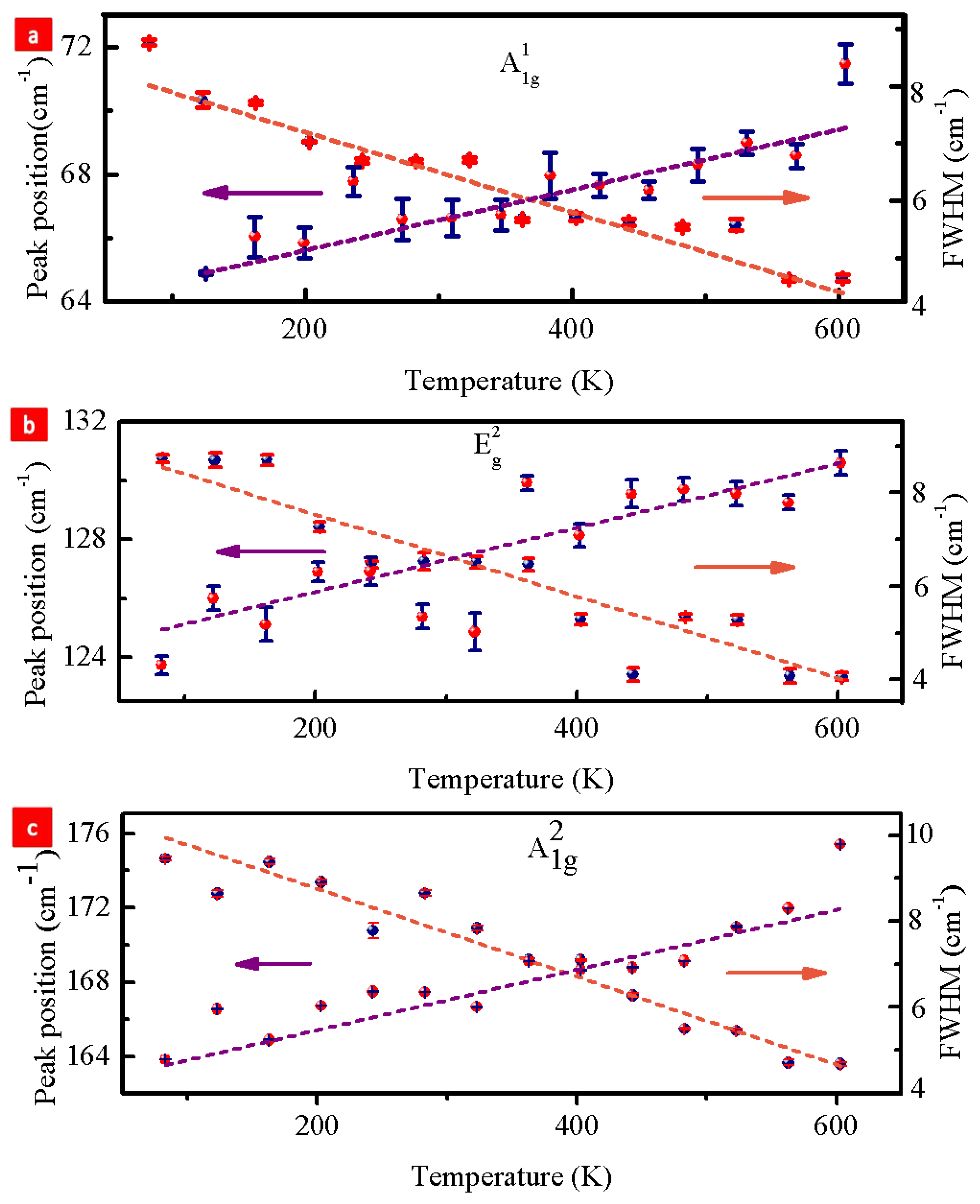
3.2. Temperature-Dependent Raman Spectroscopy
4. Conclusions
Author Contributions
Funding
Acknowledgments
Conflicts of Interest
References
- Pan, Y.; Wang, Q.Z.; Yeats, A.L.; Pillsbury, T.; Flanagan, T.C.; Richardella, A.; Zhang, H.; Awschalom, D.D.; Liu, C.X.; Samarth, N. Helicity dependent photocurrent in electrically gated (Bi1−xSbx)2Te3 thin films. Nat. Commun. 2017, 8, 1037. [Google Scholar] [CrossRef] [PubMed]
- Hasan, M.Z.; Kane, C.L. Colloquium: Topological insulators. Rev. Mod. Phys. 2010, 282, 3045–3068. [Google Scholar] [CrossRef]
- Zhang, H.J.; Liu, C.X.; Qi, X.L.; Dai, X.; Fang, Z.; Zhang, S.C. Topological insulators in Bi2Se3, Bi2Te3 and Sb2Te3 with a single Dirac cone on the surface. Nat. Phys. 2009, 5, 438–442. [Google Scholar] [CrossRef]
- Osterhage, H.; Gooth, J.; Hamdou, B.; Gwozdz, P.; Zierold, R.; Nielsch, K. Thermoelectric properties of topological insulator Bi2Te3, Sb2Te3, and Bi2Se3 thin film quantum wells. Appl. Phys. Lett. 2014, 105, 123117. [Google Scholar] [CrossRef]
- Guo, M.H.; Wang, Z.Y.; Xu, Y.; Huang, H.; Zang, Y.; Liu, C.; Duan, W.; Gan, Z.; Zhang, S.C.; He, K. Tuning thermoelectricity in a Bi2Se3 topological insulator via varied film thickness. New J. Phys. 2016, 18, 015008. [Google Scholar] [CrossRef]
- Kadel, K.; Kumari, L.; Wang, X.; Li, W.; Huang, J.Y.; Provencio, P.P. Synthesis and structure of undoped and indium-doped thermoelectric lead telluride nanoparticles. Nanoscale Res. Lett. 2014, 9, 227. [Google Scholar] [CrossRef] [PubMed]
- Xu, N.; Xu, Y.; Zhu, J. Topological insulators for thermoelectrics. NPJ Quantum Mater. 2017, 2, 51. [Google Scholar] [CrossRef]
- Gooth, J.; Schierning, G.; Felser, C.; Nielsch, K. Quantum materials for thermoelectricity. MRS Bull. 2018, 43, 187–192. [Google Scholar] [CrossRef]
- Tan, G.J.; Zhao, L.D.; Shi, F.Y.; Doak, J.W.; Lo, S.H.; Sun, H.; Wolverton, C.; Dravid, V.P.; Uher, C.; Kanatzidis, M.G. High thermoelectric performance of p-type SnTe via a synergistic band engineering and nanostructuring approach. J. Am. Chem. Soc. 2014, 136, 7006–7017. [Google Scholar] [CrossRef] [PubMed]
- Biswas, K.; He, J.Q.; Zhang, Q.C.; Wang, G.Y.; Uher, C.; Dravid, V.P.; Kanatzidis, M.G. Strained endotaxial nanostructures with high thermoelectric figure of merit. Nat. Chem. 2011, 3, 160–166. [Google Scholar] [CrossRef] [PubMed]
- Tan, G.J.; Zheng, Y.; Tang, X.F. High thermoelectric performance of nonequilibrium synthesized CeFe4Sb12 composite with multi-scaled nanostructures. Appl. Phys. Lett. 2013, 103, 183904. [Google Scholar] [CrossRef]
- Zhao, L.D.; Wu, H.J.; Hao, S.Q.; Wu, C.I.; Zhou, X.Y.; Biswas, K.; He, J.Q.; Hogan, T.P.; Uher, C.; Wolverton, C.; et al. All-scale hierarchical thermoelectrics: MgTe in PbTe facilitates valence band convergence and suppresses bipolar thermal transport for high performance. Energy Environ. Sci. 2013, 6, 3346–3355. [Google Scholar] [CrossRef]
- Zhang, X.; Qiao, X.F.; Shi, W.; Wu, J.B.; Jiang, D.S.; Tan, P.H. Phonon and Raman scattering of two-dimensional transition metal dichalcogenides from monolayer, multilayer to bulk material. Chem. Soc. Rev. 2015, 44, 2757–2785. [Google Scholar] [CrossRef] [PubMed]
- Song, Q.J.; Tan, Q.H.; Zhang, X.; Wu, J.B.; Sheng, B.W.; Wan, Y.; Wang, X.Q.; Dai, L.; Tan, P.H. Physical origin of Davydov splitting and resonant Raman spectroscopy of Davydov components in multilayer MoTe2. Phys. Rev. B 2016, 93, 115409. [Google Scholar] [CrossRef]
- Chen, S.Y.; Goldstein, T.; Venkataraman, D.; Ramasubramaniam, A.; Yan, J. Activation of new Raman modes by inversion symmetry breaking in type II Weyl semimetal candidate T’-MoTe2. Nano Lett. 2016, 16, 5852–5860. [Google Scholar] [CrossRef] [PubMed]
- Wan, C.L.; Gu, X.K.; Dang, F.; Itoh, T.; Wang, Y.; Sasaki, H.; Kondo, M.; Koga, K.; Yabuki, K.; Snyder, G.J.; et al. Flexible n-type thermoelectric materials by organic intercalation of layered transition metal dichalcogenide TiS2. Nat. Mater. 2015, 14, 622–627. [Google Scholar] [CrossRef] [PubMed]
- Serrano, J.; Manjón, F.J.; Romero, A.H.; Widulle, F.; Lauck, R.; Cardona, M. Dispersive phonon linewidths: The E2 phonons of ZnO. Phys. Rev. Lett. 2003, 90, 055510. [Google Scholar] [CrossRef] [PubMed]
- Shi, L.C.; Wang, C.R.; Wang, J.L.; Fang, Z.; Xing, H. Temperature-dependent Raman scattering of ZnSe nanowires. Adv. Mater. Phys. Chem. 2016, 6, 305–317. [Google Scholar] [CrossRef]
- Zhou, S.; Tao, X.; Gu, Y. Thickness-dependent thermal conductivity of suspended two-dimensional single-crystal In2Se3 layers grown by chemical vapor deposition. J. Phys. Chem. C 2016, 120, 4753–4758. [Google Scholar] [CrossRef]
- Kadel, K.; Kumari, L.; Li, W.Z.; Huang, J.Y.; Provencio, P.P. Synthesis and thermoelectric properties of Bi2Se3 nanostructures. Nanoscale Res. Lett. 2011, 6, 57. [Google Scholar] [CrossRef] [PubMed]
- Yuan, J.; Zhao, M.; Yu, W.; Lu, Y.; Chen, C.; Xu, M.; Li, S.; Loh, K.P.; Qiaoliang, B. Raman spectroscopy of two-dimensional Bi2TexSe3−x platelets produced by solvothermal method. Materials 2015, 8, 5007–5017. [Google Scholar] [CrossRef] [PubMed]
- Song, C.; Wu, R.; Li, J.; Sun, Y.; Jian, J. Solvothermal synthesis of single-crystal bismuth selenide nanoplates. Integr. Ferroelectr. 2013, 145, 140–145. [Google Scholar] [CrossRef]
- Xu, H.; Chen, G.; Jin, R.; Chen, D.; Wang, Y.; Pei, J. Green synthesis of Bi2Se3 hierarchical nanostructure and its electrochemical properties. RSC Adv. 2014, 4, 8922–8929. [Google Scholar] [CrossRef]
- Sun, Z.; Man, B.; Yang, C.; Liu, M.; Jiang, S.; Zhang, C.; Zhang, J.; Liu, F.; Xu, Y. Selenium-assisted controlled growth of graphene—Bi2Se3 nanoplates hybrid Dirac materials by chemical vapor deposition. Appl. Surf. Sci. 2016, 365, 357–363. [Google Scholar] [CrossRef]
- Kang, S.M.; Ha, S.S.; Jung, W.G.; Park, M.; Song, H.S.; Kim, B.J.; Hong, J.I. Two-dimensional nanoplates of Bi2Te3 and Bi2Se3 with reduced thermal stability. AIP Adv. 2016, 6, 025110. [Google Scholar] [CrossRef]
- Fu, W.; Chen, Y.; Lin, J.; Wang, X.; Zeng, Q.; Zhou, J.; Zheng, L.; Wang, H.; He, Y.; He, H.; Fu, Q.; Suenaga, K.; Yu, T.; Liu, Z. Controlled Synthesis of Atomically Thin 1T - TaS2 for Tunable Charge Density Wave Phase Transitions. Chem. Mater. 2016, 28, 7613–7618. [Google Scholar] [CrossRef]
- Pawbake, A.S.; Island, J.O.; Flores, E.; Ares, J.R.; Sanchez, C.; Ferre, I.J.; Sandesh, R.J.; Zant, H.S.J.V.D.; Castellanos-Gomez, A.; Late, D.J. Temperature-dependent Raman spectroscopy of titanium trisulfide (TiS3) nanoribbons and nanosheets. ACS Appl. Mater. Inter. 2015, 7, 24185–24190. [Google Scholar] [CrossRef] [PubMed]
- Lopez-Sanchez, O.; Lembke, D.; Kayci, M.; Radenovic, A.; Kis, A. Ultrasensitive photodetectors based on monolayer MoS2. Nat. Nanotechnol. 2013, 8, 497–501. [Google Scholar] [CrossRef] [PubMed]
- Liao, Y.Y.; Li, Y.W.; Hu, Z.G.; Chu, J.H. Temperature dependent phonon Raman scattering of highly a-axis oriented CoFe2O4 inverse spinel ferromagnetic films grown by pulsed laser deposition. Appl. Phys. Lett. 2012, 100, 071905. [Google Scholar] [CrossRef]
- Han, M.J.; Jiang, K.; Zhang, J.Z.; Li, Y.W.; Hu, Z.G.; Chu, J.H. Temperature dependent phonon evolutions and optical properties of highly c-axis oriented CuGaO2 semiconductor films grown by the sol-gel method. Appl. Phys. Lett. 2011, 99, 131104. [Google Scholar] [CrossRef]
- Zhang, J.Z.; Han, M.J.; Li, Y.W.; Hu, Z.G.; Chu, J.H. Enhanced Raman scattering and photoluminescence of Bi3.25La0.75Ti3O12 nanotube arrays for optical and ferroelectric multifunctional applications. Appl. Phys. Lett. 2012, 101, 081903. [Google Scholar] [CrossRef]
- Kumazaki, K. Photoluminescence and Raman Scattering of ZnSe-ZnTe Stained Layer Superlattices. II–VI Semicond. Compd. 1993, 279–300. [Google Scholar] [CrossRef]
- Sahoo, S.; Sharma, G.L.; Katiyar, R. Raman spectroscopy to probe residual stress in ZnO nanowire. J. Raman Spectrosc. 2012, 43, 72–75. [Google Scholar] [CrossRef]
- Zhang, J.; Peng, Z.; Soni, A.; Zhao, Y.; Xiong, Y.; Peng, B.; Wang, J.; Dresselhaus, M.S.; Xiong, Q. Raman spectroscopy of few-quintuple layer topological insulator Bi2Se3 nanoplatelets. Nano Lett. 2011, 11, 2407–2414. [Google Scholar] [CrossRef] [PubMed]
- Kim, Y.; Chen, X.; Wang, Z.; Shi, J.; Miotkowski, I.; Chen, Y.P.; Sharma, P.A.; Sharma, A.L.L.; Hekmaty, M.A.; Jiang, Z.; Smirnov, D. Temperature dependence of Raman-active optical phonons in Bi2Se3 and Sb2Te3. Appl. Phys. Lett. 2012, 100, 071907. [Google Scholar] [CrossRef]
- Irfan, B.; Sahoo, S.; Gaur, A.P.S.; Ahmadi, M.; Guinel, M.J.F.; Katiyar, R.S.; Chatterjee, R. Temperature dependent Raman scattering studies of three dimensional topological insulators Bi2Se3. J. Appl. Phys. 2014, 115, 173506. [Google Scholar] [CrossRef]
- Deshpande, M.P.; Bhatt, S.V.; Sathe, V.; Rao, R.; Chaki, S.H. Pressure and temperature dependence of Raman spectra and their anharmonic effects in Bi2Se3 single crystal. Phys. B Condens. Matter 2014, 433, 72–78. [Google Scholar] [CrossRef]
- Liu, X.; Fang, Z.; Zhang, Q.; Huang, R.; Lin, L.; Ye, C.; Ma, C.; Zeng, J. Ethylenediaminetetraacetic acid-assisted synthesis of Bi2Se3 nanostructures with unique edge sites. Nano Res. 2016, 9, 2707–2714. [Google Scholar] [CrossRef]
- Zhao, B.; Chen, T.; Pan, H.; Fei, F.; Han, Y. Electronic interference transport and its electron—phonon interaction in the Sb-doped Bi2Se3 nanoplates synthesized by a solvothermal method. J. Phys. Condens. Matter 2015, 27, 465302. [Google Scholar] [CrossRef] [PubMed]
- Zhuang, A.; Zhao, Y.; Liu, X.; Xu, M.; Wang, Y.; Jeong, U.; Wang, X.; Zeng, J. Controlling the lateral and vertical dimensions of Bi2Se3 nanoplates via seeded growth. Nano Res. 2015, 8, 246–256. [Google Scholar] [CrossRef]
- Zhuang, A.; Li, J.J.; Wang, Y.C.; Wen, X.; Lin, Y.; Xiang, B.; Wang, X.; Zeng, J. Screw-dislocation-driven bidirectional spiral growth of Bi2Se3 nanoplates. Angew. Chem. Int. Ed. 2014, 53, 6425–6429. [Google Scholar] [CrossRef] [PubMed]
- Köhler, H.; Becker, C.R. Optically active lattice vibrations in Bi2Se3. Phys. Stat. Sol. B 1974, 61, 533–537. [Google Scholar] [CrossRef]
- Tan, P.H.; Han, W.P.; Zhao, W.J.; Wu, Z.H.; Chang, K.; Wang, H.; Wang, Y.F.; Bonini, N.; Pugno, N.; Savini, G.; Lombardo, A.; Ferrari, A.C. The shear mode of multilayer graphene. Nat. Mater. 2012, 11, 294–300. [Google Scholar] [CrossRef] [PubMed]
- Zeng, H.; Zhu, B.; Liu, K.; Fan, J.; Cui, X.; Zhang, Q.M. Low-frequency Raman modes and electronic excitations in atomically thin MoS2 films. Phys. Rev. B 2012, 86, 241301. [Google Scholar] [CrossRef]
- Richter, W.; Becker, C.R. A Raman and far-infrared investigation of phonons in the rhombohedral V2–VI3 compounds Bi2Te3, Bi2Se3, Sb2Te3 and Bi2 (Te1−xSex)3(0 < x < 1),(Bi1-ySby)2Te3 (0 < y < 1). Phys. Stat. Sol. B 1977, 84, 619–628. [Google Scholar] [CrossRef]
- Xia, J.; Li, X.Z.; Huang, X.; Mao, N.; Zhu, D.D.; Wang, L.; Xu, H.; Meng, X.M. Physical vapor deposition synthesis of two-dimensional orthorhombic SnS flakes with strong angle/temperature-dependent Raman responses. Nanoscale 2016, 8, 2063–2070. [Google Scholar] [CrossRef] [PubMed]
- Taube, A.; apińska, A.; Judek, J.; Zdrojek, M. Temperature dependence of Raman shifts in layered ReSe2 and SnSe2 semiconductor nanosheets. Appl. Phys. Lett. 2015, 107, 013105. [Google Scholar] [CrossRef]
- Luo, S.; Qi, X.; Yao, H.; Ren, X.; Chen, Q.; Zhong, J. Temperature-Dependent Raman Responses of the Vapor-Deposited Tin Selenide Ultrathin Flakes. J. Phys. Chem. C 2017, 121, 4674–4679. [Google Scholar] [CrossRef]
- Pawbake, A.S.; Pawar, M.S.; Jadkar, S.R.; Late, D.J. Large area chemical vapor deposition of monolayer transition metal dichalcogenides and their temperature dependent Raman spectroscopy studies. Nanoscale 2016, 8, 3008–3018. [Google Scholar] [CrossRef] [PubMed]
- Zhou, X.; Hu, X.; Zhou, S.; Zhang, Q.; Li, H.; Zhai, T. Ultrathin 2D GeSe2 Rhombic Flakes with High Anisotropy Realized by Van der Waals Epitaxy. Adv. Funct. Mater. 2017, 27, 1703858. [Google Scholar] [CrossRef]
- Menéndez, J.; Cardona, M. Temperature dependence of the first-order Raman scattering by phonons in Si, Ge, and α-Sn: Anharmonic effects. Phys. Rev. B 1984, 29, 2051–2059. [Google Scholar] [CrossRef]
- Sahoo, S.; Gaur, A.P.S.; Ahmadi, M.; Guinel, M.J.F.; Katiyar, R.S. Temperature-dependent Raman studies and thermal conductivity of few-layer MoS2. J. Phys. Chem. C 2013, 117, 9042–9047. [Google Scholar] [CrossRef]
- Zhang, L.; Lin, B.C.; Wu, Y.F.; Wu, H.C.; Huang, T.W.; Chang, C.R.; Ke, X.; Kurttepeli, M.; Tendeloo, G.V.; Xu, J.; et al. Electronic Coupling between Graphene and Topological Insulator Induced Anomalous Magnetotransport Properties. ACS Nano 2017, 11, 6277–6285. [Google Scholar] [CrossRef] [PubMed]
- Lanzillo, N.A.; Glen Birdwell, A.; Amani, M.; Crowne, F.J.; Shah, P.B.; Najmaei, S.; Liu, Z.; Ajayan, P.M.; Lou, J.; Dubey, M.; et al. Temperature-dependent phonon shifts in monolayer MoS2. Appl. Phys. Lett. 2013, 103, 093102. [Google Scholar] [CrossRef]
- Thripuranthaka, M.; Kashid, R.V.; Sekhar Rout, C.; Late, D.J. Temperature dependent Raman spectroscopy of chemically derived few layer MoS2 and WS2 nanosheets. Appl. Phys. Lett. 2014, 104, 081911. [Google Scholar] [CrossRef]
- Late, D.J. Temperature dependent phonon shifts in single-layer WS2. ACS Appl. Mater. Interfaces 2014, 6, 1158–1163. [Google Scholar] [CrossRef]
- Late, D.J.; Shirodkar, S.N.; Waghmare, U.V.; Dravid, V.P.; Rao, C.N.R. Thermal Expansion, Anharmonicity and Temperature-Dependent Raman Spectra of Single- and Few-Layer MoSe2 and WSe2. ChemPhysChem 2014, 15, 1592–1598. [Google Scholar] [CrossRef] [PubMed]
- Late, D.J. Temperature dependent phonon shifts in few-layer black phosphorus. ACS Appl. Mater. Interfaces 2015, 7, 5857–5862. [Google Scholar] [CrossRef] [PubMed]




| Raman Mode | Peak Position (cm) | FWHM (cm) | (cm/K) |
|---|---|---|---|
| A | 72 | 4.83 | −1.258 × 10 |
| E | 130 | 7.06 | −1.385 × 10 |
| A | 174 | 7.30 | −2.363 × 10 |
| Material | Temperature Coefficient ( cm/K ) | Ref | |||
|---|---|---|---|---|---|
| TMDCs | E | A | 2LA(M) | A(M) + LA(M) | |
| MoS (single layer) | −0.013 | −0.016 | [54] | ||
| MoS (few-layer) | −0.016 | −0.011 | [55] | ||
| WS (single layer) | −0.006 | −0.006 | −0.008 | −0.001 | [56] |
| WS (few-layer) | −0.008 | −0.004 | [56] | ||
| A | A | ||||
| MoSe (single layer) | −0.0054 | −0.0086 | [57] | ||
| MoSe (few-layer) | −0.0045 | −0.0085 | [57] | ||
| E | A | A + LA | 2A (M) − LA | ||
| WSe (single layer) | −0.0048 | −0.0032 | −0.0067 | −0.0067 | [57] |
| black phosphorus | A | B | A | ||
| black phosphorus | −0.008 | −0.013 | −0.014 | [58] | |
| trichalcogenides | A | ||||
| TiS nanoribbons | −0.008 | −0.018 | −0.021 | −0.016 | [27] |
| TiS nanosheets | −0.022 | −0.02 | −0.024 | −0.017 | [27] |
| dichalcogenides | A | E | A | ||
| BiSe nanoplates | −0.013 | −0.014 | −0.024 | this work |
© 2018 by the authors. Licensee MDPI, Basel, Switzerland. This article is an open access article distributed under the terms and conditions of the Creative Commons Attribution (CC BY) license (http://creativecommons.org/licenses/by/4.0/).
Share and Cite
Zhou, F.; Zhao, Y.; Zhou, W.; Tang, D. Temperature-Dependent Raman Scattering of Large Size Hexagonal Bi2Se3 Single-Crystal Nanoplates. Appl. Sci. 2018, 8, 1794. https://doi.org/10.3390/app8101794
Zhou F, Zhao Y, Zhou W, Tang D. Temperature-Dependent Raman Scattering of Large Size Hexagonal Bi2Se3 Single-Crystal Nanoplates. Applied Sciences. 2018; 8(10):1794. https://doi.org/10.3390/app8101794
Chicago/Turabian StyleZhou, Fang, Yujing Zhao, Weichang Zhou, and Dongsheng Tang. 2018. "Temperature-Dependent Raman Scattering of Large Size Hexagonal Bi2Se3 Single-Crystal Nanoplates" Applied Sciences 8, no. 10: 1794. https://doi.org/10.3390/app8101794
APA StyleZhou, F., Zhao, Y., Zhou, W., & Tang, D. (2018). Temperature-Dependent Raman Scattering of Large Size Hexagonal Bi2Se3 Single-Crystal Nanoplates. Applied Sciences, 8(10), 1794. https://doi.org/10.3390/app8101794

