Sign in to use this feature.

Years

Between: -

Subjects

remove_circle_outline
remove_circle_outline
remove_circle_outline
remove_circle_outline
remove_circle_outline

Journals

remove_circle_outline

Article Types

Countries / Regions

Search Results (1)

Search Parameters:
Keywords = large size Bi2Se3 nanoplates

Order results
Result details
Results per page
Select all
Export citation of selected articles as:
10 pages, 2224 KB  
Article
Temperature-Dependent Raman Scattering of Large Size Hexagonal Bi2Se3 Single-Crystal Nanoplates
by Fang Zhou, Yujing Zhao, Weichang Zhou and Dongsheng Tang
Appl. Sci. 2018, 8(10), 1794; https://doi.org/10.3390/app8101794 - 1 Oct 2018
Cited by 24 | Viewed by 5636
Abstract
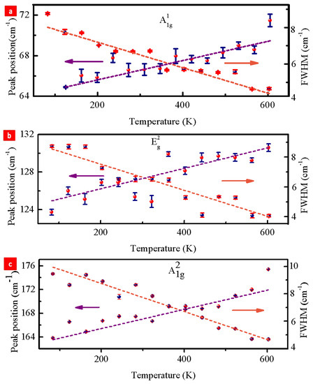
Bi 2 Se 3 has extensive application as thermoelectric materials. Here, large-scale Bi 2 Se 3 single-crystal hexagonal nanoplates with size 7.50–10.0 μ m were synthesized successfully by hydrothermal method. X-ray diffraction (XRD), scanning electron microscope (SEM), and transmission electron microscope (TEM) were [...] Read more.
Bi 2 Se 3 has extensive application as thermoelectric materials. Here, large-scale Bi 2 Se 3 single-crystal hexagonal nanoplates with size 7.50–10.0 μ m were synthesized successfully by hydrothermal method. X-ray diffraction (XRD), scanning electron microscope (SEM), and transmission electron microscope (TEM) were used to characterize the Bi 2 Se 3 nanoplates, which confirm the single-crystal quality and smooth surface morphology with large size. Micro-Raman spectra over a temperature range of 83–603 K were furthermore used to investigate the lattice dynamics of Bi 2 Se 3 nanoplates. Both 2A g 1 and 1E g 2 modes shift evidently with reduced temperature. The line shape demonstrates a significant broadening of full width at half maximum (FWHM) and red-shift of frequency with increased temperature. The temperature coefficient of A 1 g 1 , E g 2 , A 1 g 2 modes were determined to be −1.258 × 10 2 cm 1 /K, −1.385 × 10 2 cm 1 /K, −2.363 × 10 2 cm 1 /K, respectively. Such low temperature coefficient may favor the obtaining of a high figure of merit (ZT) and indicate that Bi 2 Se 3 nanoplates were used as excellent candidates of thermoelectric materials. Full article
(This article belongs to the Section Nanotechnology and Applied Nanosciences)
Show Figures

Figure 1

Back to TopTop