Influence of Induced Magnetic Field on Free Convection of Nanofluid Considering Koo-Kleinstreuer-Li (KKL) Correlation
Abstract
:1. Introduction
2. Problem Statement
3. Runge-Kutta Method
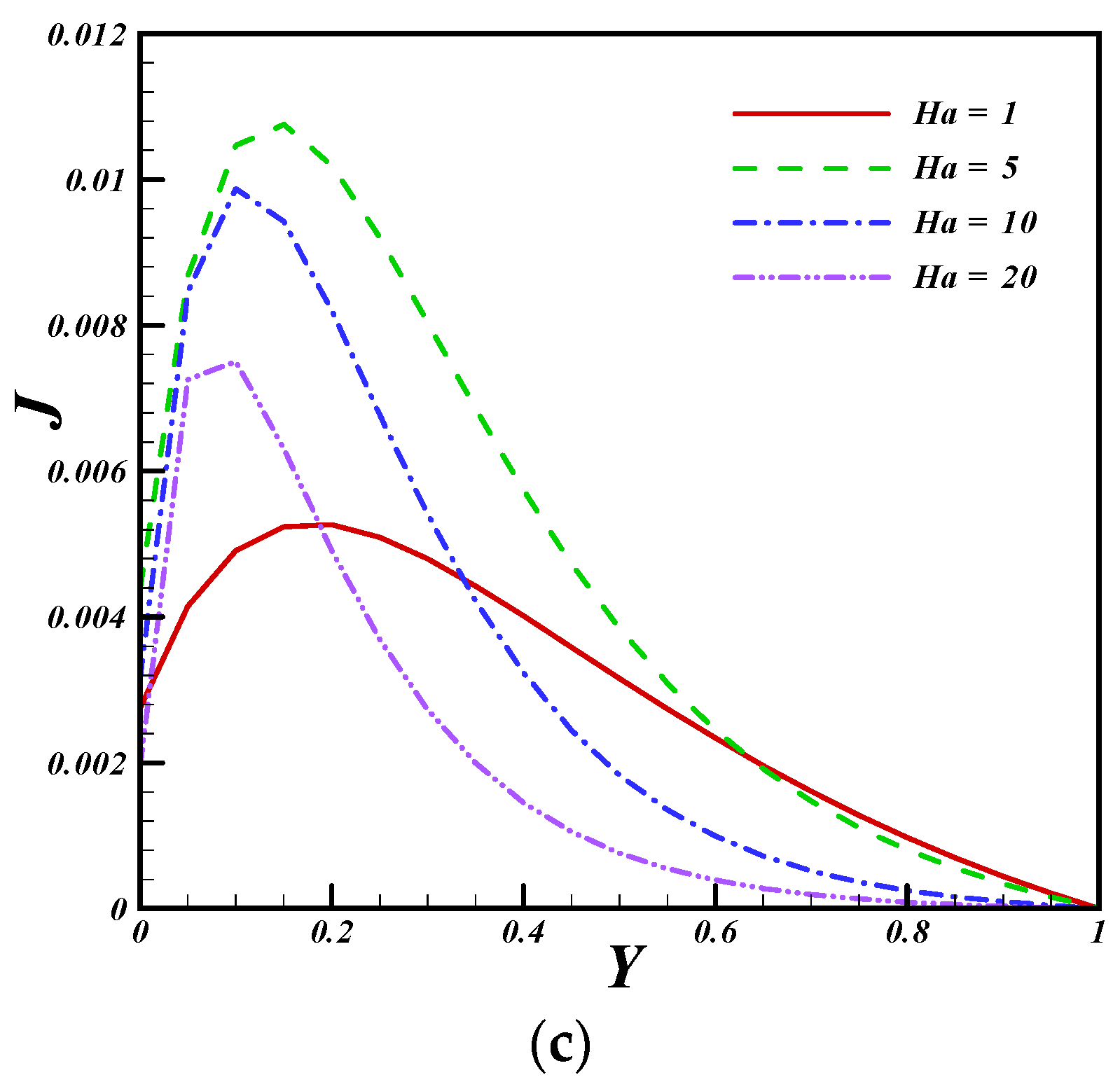
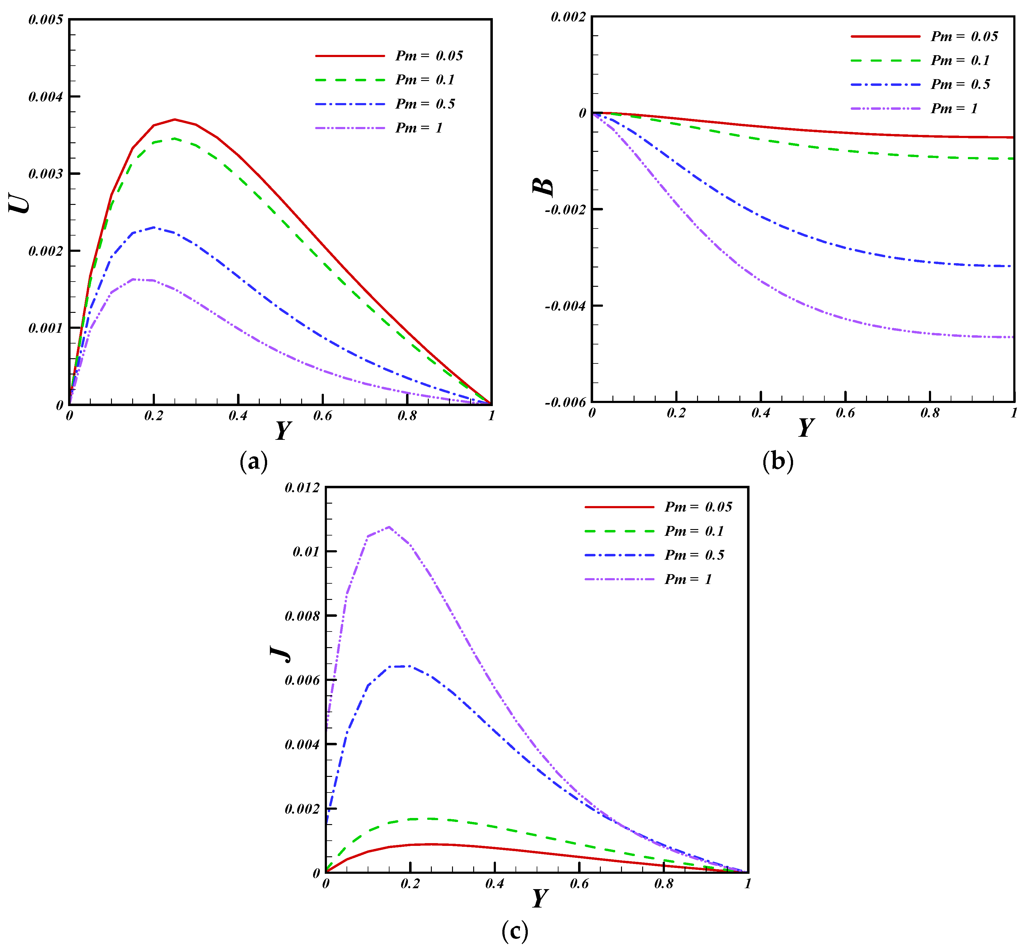
4. Results and Discussion
5. Conclusions
Acknowledgments
Author Contributions
Conflicts of Interest
Nomenclature
| Dimensionless induced horizontal magnetic field | |
| Velocity vector | |
| Vector of magnetic field | |
| Thermal conductivity | |
| Specific heat | |
| Induced current density | |
| Temperature | |
| Hartmann number | |
| Prandtl number | |
| Suction parameter | |
| Magnetic Prandtl number | |
| Dimensionless horizontal velocity |
Greek Symbols
| Dimensionless distance | |
| Coefficient of thermal expansion | |
| Electrical conductivity | |
| Dynamic viscosity of nanofluid | |
| Dimensionless temperature | |
| Nanofluid volume fraction | |
| Density |
Subscripts
| Solid | |
| Base fluid |
References
- Sheremet, M.A.; Oztop, H.F.; Pop, I. MHD natural convection in an inclined wavy cavity with corner heater filled with a nanofluid. J. Magn. Magn. Mater. 2016, 416, 37–47. [Google Scholar] [CrossRef]
- Sheikholeslami, M.; Ellahi, R. Three dimensional mesoscopic simulation of magnetic field effect on natural convection of nanofluid. Int. J. Heat Mass Transf. 2015, 89, 799–808. [Google Scholar] [CrossRef]
- Ismael, M.A.; Mansour, M.A.; Chamkha, A.J.; Rashad, A.M. Mixed convection in a nanofluid filled-cavity with partial slip subjected to constant heat flux and inclined magnetic field. J. Magn. Magn. Mater. 2016, 416, 25–36. [Google Scholar] [CrossRef]
- Sheikholeslami, M.; Ellahi, R. Simulation of ferrofluid flow for magnetic drug targeting using Lattice Boltzmann method. J. Z. Naturforschung A 2015, 70, 115–124. [Google Scholar]
- Kandelousi, M.S. Effect of spatially variable magnetic field on ferrofluid flow and heat transfer considering constant heat flux boundary condition. Eur. Phys. J. Plus 2014, 129, 248. [Google Scholar] [CrossRef]
- Tripathi, D.; Beg, O.A. A study on peristaltic flow of nanofluids: Application in drug delivery systems. Int. J. Heat Mass Transf. 2014, 70, 61–70. [Google Scholar] [CrossRef]
- Kouloulias, K.; Sergis, A.; Hardalupas, Y. Sedimentation in nanofluids during a natural convection experiment. Int. J. Heat Mass Transf. 2016, 101, 1193–1203. [Google Scholar] [CrossRef]
- Sheikholeslami, M.; Ganji, D.D.; Younus Javed, M.; Ellahi, R. Effect of thermal radiation on magnetohydrodynamics nanofluid flow and heat transfer by means of two phase model. J. Magn. Magn. Mater. 2015, 374, 36–43. [Google Scholar] [CrossRef]
- Cadena-de la Peña, N.L.; Rivera-Solorio, C.I.; Payán-Rodríguez, L.A.; García-Cuéllar, A.J.; López-Salinas, J.L. Experimental analysis of natural convection in vertical annuli filled with AlN and TiO2/mineral oil-based nanofluids. Int. J. Therm. Sci. 2017, 111, 138–145. [Google Scholar] [CrossRef]
- Sheikholeslami, M.; Chamkha, A.J. Flow and convective heat transfer of a ferro-nanofluid in a double-sided lid-driven cavity with a wavy wall in the presence of a variable magnetic field. Numer. Heat Transf. Part A 2016, 69, 1186–1200. [Google Scholar] [CrossRef]
- Sheikholeslami, M.; Vajravelu, K.; Rashidi, M.M. Forced convection heat transfer in a semi annulus under the influence of a variable magnetic field. Int. J. Heat Mass Transf. 2016, 92, 339–348. [Google Scholar] [CrossRef]
- Akbar, N.S.; Khan, Z.H. Influence of magnetic field for metachoronical beating of cilia for nanofluid with Newtonian heating. J. Magn. Magn. Mater. 2015, 381, 235–242. [Google Scholar] [CrossRef]
- Hakeem, A.K.A.; Ganesh, N.V.; Ganga, B. Magnetic field effect on second order slip flow of nanofluid over a stretching/shrinking sheet with thermal radiation effect. J. Magn. Magn. Mater. 2015, 381, 243–257. [Google Scholar] [CrossRef]
- Sheikholeslami, M.; Ellahi, R.; Hassan, M.; Soleimani, S. A study of natural convection heat transfer in a nanofluid filled enclosure with elliptic inner cylinder. Int. J. Numer. Methods Heat Fluid Flow 2014, 24, 1906–1927. [Google Scholar] [CrossRef]
- Sheikholeslami, M.; Ellahi, R. Electrohydrodynamic nanofluid hydrothermal treatment in an enclosure with sinusoidal upper wall. Appl. Sci. 2015, 5, 294–306. [Google Scholar] [CrossRef]
- Mamourian, M.; Shirvan, K.M.; Ellahi, R.; Rahimi, A.B. Optimization of mixed convection heat transfer with entropy generation in a wavy surface square lid-driven cavity by means of Taguchi approach. Int. J. Heat Mass Transf. 2016, 102, 544–554. [Google Scholar] [CrossRef]
- Ellahi, R.; Bhatti, M.M.; Riaz, A.; Sheikholeslami, M. Effects of magnetohydrodynamics on peristaltic flow of jeffrey fluid in a rectangular duct through a porous medium. J. Porous Media 2014, 17, 143–157. [Google Scholar] [CrossRef]
- Ellahi, R.; Hassan, M.; Zeeshan, A. Aggregation effects on water base Al2O3 nanofluid over permeable wedge in mixed convection. Asia-Pac. J. Chem. Eng. 2016, 11, 179–186. [Google Scholar] [CrossRef]
- Akbar, N.S. Ferromagnetic CNT suspended H2O+Cu nanofluid analysis through composite stenosed arteries with permeable wall. Phys. E: Low-Dimens. Syst. Nanostruct. 2015, 72, 70–76. [Google Scholar] [CrossRef]
- Afsar Khan, A.; Ellahi, R.; Mudassar Gulzar, M.; Sheikholeslami, M. Effects of heat transfer on peristaltic motion of Oldroyd fluid in the presence of inclined magnetic field. J. Magn. Magn. Mater. 2014, 372, 97–106. [Google Scholar] [CrossRef]
- Mahian, O.; Kianifar, A.; Kalogirou, S.A.; Pop, I.; Wongwises, S. A review of the applications of nanofluids in solar energy. Int. J. Heat Mass Transf. 2013, 57, 582–594. [Google Scholar] [CrossRef]
- Ahmad, S.; Rohni, A.M.; Pop, I. Blasius and sakiadis problems in nanofluids. Acta Mech. 2011, 218, 195–204. [Google Scholar] [CrossRef]
- Ghosh, S.K.; Beg, O.A.; Zueco, J. Hydromagnetic free convection flow with induced magnetic field effects. Meccanica 2010, 14, 175–185. [Google Scholar] [CrossRef]
- Anand Kumar, V. Numerical study of effect of induced magnetic field on transient natural convection over a vertical cone. Alex. Eng. J. 2016, 55, 1211–1223. [Google Scholar]
- Beg, O.A.; Bekier, A.Y.; Prasad, V.R.; Zueco, J.; Ghosh, S.K. Non-similar, laminar, steady, electrically-conducting forced convection liquid metal boundary layer flow with induced magnetic field effects. Int. J. Therm. Sci. 2009, 48, 1596–1606. [Google Scholar] [CrossRef]
- Nadeem, S.; Ijaz, S. Impulsion of nanoparticles as a drug carrier for the theoretical investigation of stenosed arteries with induced magnetic effects. J. Magn. Magn. Mater. 2016, 410, 230–241. [Google Scholar] [CrossRef]
- Kandelousi, M.S. KKL correlation for simulation of nanofluid flow and heat transfer in a permeable channel. Phys. Lett. A 2014, 378, 3331–3339. [Google Scholar] [CrossRef]
- Sarveshanand; Singh, A.K. Magnetohydrodynamic free convection between vertical parallel porous plates in the presence of induced magnetic field. Springer Plus 2015, 4, 333. [Google Scholar]










| Coefficient Values | Al2O3 − Water |
|---|---|
| 52.813 | |
| 6.115 | |
| 0.695 | |
| 4.1 × 10−2 | |
| 0.176 | |
| −298.198 | |
| −34.532 | |
| −3.922 | |
| −0.235 | |
| −0.999 |
| Material | (kg/m3) | Cp (j/kg⋅k) | k (W/m⋅k) | × 105 (K−1) | dp (nm) | (Ω⋅m)−1 |
|---|---|---|---|---|---|---|
| Pure water | 997.1 | 4179 | 0.613 | 21 | - | 0.05 |
| Al2O3 | 3970 | 765 | 25 | 0.85 | 47 | 1 × 10−10 |
| V0 | Pr | Prm | Ha | Sarveshanand and Singh [21] | Present Work |
|---|---|---|---|---|---|
| 0.5 | 0.7 | 0.5 | 5 | 0.016 | 0.015 |
| 0.75 | 0.7 | 0.5 | 5 | 0.011 | 0.011 |
| 1 | 0.7 | 1 | 5 | 0.018 | 0.018 |
| 1 | 0.015 | 0.5 | 0.5 | 2.695 | 2.700 |
© 2016 by the authors; licensee MDPI, Basel, Switzerland. This article is an open access article distributed under the terms and conditions of the Creative Commons Attribution (CC-BY) license (http://creativecommons.org/licenses/by/4.0/).
Share and Cite
Sheikholeslami, M.; Zia, Q.M.Z.; Ellahi, R. Influence of Induced Magnetic Field on Free Convection of Nanofluid Considering Koo-Kleinstreuer-Li (KKL) Correlation. Appl. Sci. 2016, 6, 324. https://doi.org/10.3390/app6110324
Sheikholeslami M, Zia QMZ, Ellahi R. Influence of Induced Magnetic Field on Free Convection of Nanofluid Considering Koo-Kleinstreuer-Li (KKL) Correlation. Applied Sciences. 2016; 6(11):324. https://doi.org/10.3390/app6110324
Chicago/Turabian StyleSheikholeslami, M., Q. M. Zaigham Zia, and R. Ellahi. 2016. "Influence of Induced Magnetic Field on Free Convection of Nanofluid Considering Koo-Kleinstreuer-Li (KKL) Correlation" Applied Sciences 6, no. 11: 324. https://doi.org/10.3390/app6110324
APA StyleSheikholeslami, M., Zia, Q. M. Z., & Ellahi, R. (2016). Influence of Induced Magnetic Field on Free Convection of Nanofluid Considering Koo-Kleinstreuer-Li (KKL) Correlation. Applied Sciences, 6(11), 324. https://doi.org/10.3390/app6110324

