Abstract
A new class of alkyl- and perfluoroalkyl-containing urea and amide derivatives was synthesized from amino acid derivatives. Most of these compounds showed excellent gelation behavior in organic solvents at low concentrations. A few organogelators selected from the initial screening were used for surface modification of fibrous substrates to create hydrophobic and oleophobic composites. The hydrophobic and oleophobic behaviors of these composites were ascribed to a combination of increased surface roughness and the alkyl/fluorinated functionalities present in the gelator backbone.
Keywords:
organogelator; gelation; perfluoroalkyl; urea; amide; amino acid; xerogel; nonwoven; hydrophobic; oleophobic; contact angle; surface modification 1. Introduction
Low molecular weight organogelators (LMWOGs) are gaining increased attention due to their potential applications in a variety of industrial sectors related to materials, cosmetics, health care, food and oil technology [1,2,3,4,5,6,7,8,9]. The design and elucidation of structure-property relationships of gelators is also a valuable area of research, in particular, establishing the relationship between the chemical structure of a gelator and its gelation properties in a given solvent [10,11,12,13,14,15,16,17,18]. Thermally reversible physical gels are generally formed by self-assembly of the gelator molecules in solvent, leading to the formation of a fibrous supramolecular network with the encapsulation of solvent. This complex process of self-assembly into supramolecular structures varies based on the functionalities present in the organogelator and external factors, including solvent, temperature, and pH. Various non-covalent interactions, such as hydrogen bonding, π-π stacking, hydrophobic interactions, and metal coordination, influence the formation and stabilization of the organogelator self-assemblies [1,2,10,11,12,13,14,19,20,21,14,19]. However, the non-covalent forces influencing gelation are relatively weak compared to covalent bonds, and a combination of many of these interactions is required to form a strong intermolecular network. Each molecule of an organogelator can establish several types of physical interactions with a neighboring molecule. For example, intermolecular hydrogen bonding usually facilitates the growth of linear, elongated aggregates with solvent entrapment. Evaporation of solvent from a gel results in the formation of a dried gel (xerogel) with a fibrous or web-like morphology [21]. It is possible to alter the surface morphology of the substrate, and thus surface properties, if the gelation and subsequent evaporation of solvent are performed on a substrate. Hence, gel impregnation methodology could provide the low surface energies desired for fabricating superhydrophobic surfaces [19,21,22,23,24]. Surfaces on which the contact angle of water exceeds 150°, and shows low contact angle hysteresis, are described as superhydrophobic or ultrahydrophobic [25,26,27]. These surfaces repel water like a lotus leaf and are also considered ‘self-cleaning’, since any surface contamination is removed by water as the droplets roll across the surface [28,29,30]. The self-cleaning ability of these surfaces is largely due to the increased surface area created by a two-tier micro and nano roughness morphology. It is possible to incorporate nano- or microscale morphologies on any substrate via organogelator impregnation, which could be further controlled by suitable gelling solvents, as well as concentration and temperature effects. In addition, incorporation of low surface energy functionalities like fluorinated groups in the gelator framework could further lower the surface energy and provide oleophobic properties to the modified surface [31].
Urea and amide derivatives are exceptionally well-suited candidates for the design of low molecular weight gelators owing to their rigidity, strength and ability to form highly directional hydrogen bonds [32]. We recently demonstrated this concept by fabricating low surface energy surfaces via the surface modification of nonwoven substrates using partially fluorinated urea-amide gelators [33]. The general structure and examples of these urea-amide gelators reported in that study are shown Figure 1.
Figure 1.
General structure and examples of partially fluorinated urea-amide gelators described in [31].
Figure 1.
General structure and examples of partially fluorinated urea-amide gelators described in [31].

The compounds depicted in Figure 1 were prepared via amidation of the N-Boc protected amino acid with fluorinated amines, followed by deprotection and reaction with an alkyl isocynate. They showed excellent gelation behavior in organic solvents. Gelation in the presence of a nonwoven substrate led to a gel-impregnated surface, which upon drying produced a composite with porous microstructure morphology. The resulting composite also showed high water and hexadecane contact angles, indicative of excellent hydrophobic and oleophobic properties. Herein, we discuss the design and synthesis of two novel classes of partially fluorinated amide and urea-amide derivatives, where the positions of the hydrocarbon and fluorocarbon tail are reversed in the molecular structure in comparison to the gelator described in Figure 1. General structures of these partially fluorinated amide and urea-amide derivatives are shown in Figure 2. This report also describes the gelation behavior as a function of structural/functional variations of these derivatives and surface modification of nonwoven substrates using them.
Figure 2.
General structure of partially fluorinated amide and urea-amide derivatives described in this study.
Figure 2.
General structure of partially fluorinated amide and urea-amide derivatives described in this study.

2. Experimental Section
2.1. General
All solvents and reagents, unless otherwise indicated, were purchased from commercial sources and used directly as supplied. Tyvek® polyethylene nonwoven fabric was obtained from E. I. du Pont de Nemours and Company, Wilmington, DE, and Kolon® gsm70 spun-bonded polyester fabric was obtained from Korea Vilene, Inc. 1H and 19F NMR spectra were recorded on a Bruker DRX 400 or 500 spectrometer. Chemical shifts are reported in ppm relative to an internal reference (CDCl3, CFCl3 or TMS). All melting points reported are uncorrected. Contact angle (CA) measurements for both water and hexadecane on a surface were performed according to procedures in the manufacturer’s manual using a Ramé-Hart Standard Automated Goniometer Model 200 employing DROP image standard software and equipped with an automated dispensing system with a 250 µL syringe and an illuminated specimen stage assembly. 2H,2H,3H,3H-perfluorononoyl chloride, 2H,2H,3H,3H-perfluoroheptanoyl chloride, 1H,1H,2H,2H-perfluorooctyl isocyanateand 1H,1H,2H,2H-perfluorohexyl isocyanate were synthesized from the corresponding perfluoroalkylethyl iodides [34].
2.2. Synthesis of 2H,2H,3H,3H-Perfluorononoyl Chloride and 1H,1H,2H,2H-Perfluorooctyl Isocyanate
A four-neck reactor fitted with a stirrer, thermocouple, nitrogen purge, addition funnel and jacketed condenser was purged with nitrogen and charged with magnesium turnings (4.86 g, 202.5 mmol) and anhydrous ether (300 mL). To this suspension was slowly added a solution of 1H,1H,2H,2H-perfluorooctyl iodide (94.8 g, 200 mmol) in ether (100 mL) over a 2 h period. After the addition of about 10 mL of iodide, the mixture was heated to 35 °C, and when the reaction was initiated the rest of the iodide was added, keeping the temperature below 35 °C. The mixture was stirred for 2 h at room temperature (RT) and cooled to 5–10 °C. Excess dry ice (~15 g) was added in small portions with constant stirring. After 15 min, the mixture was quenched with H2SO4 (25%) and the ether phase was separated. The aqueous phase was extracted with ether (2 × 100 mL). Combined ether phases were washed with NaOH solution (25%, 3 × 75 mL). The combined alkaline phases were heated at 100 °C for 10 min and neutralized using H2SO4 (50%) after cooling to ice temperature. The precipitate formed was filtered and washed with water to obtain 2H,2H,3H,3H-perfluorononoic acid as a white crystalline solid (56.5 g, 14.1 mmol, 72%). mp. 61–63 °C.
The 2H,2H,3H,3H-perfluorononoic acid (44.4 g, 113.2 mmol) was heated with PCl5 (35.4 g, 169.8 mmol) at 110 °C for 3 h and the resulting mixture fractionally distilled to obtain 2H,2H,3H,3H-perfluorononoyl chloride as a colorless liquid (44.5 g, 107.5 mmol, 95%). bp. 129 °C @ 85 mm Hg.
A 3-necked flask fitted with a stirrer, an addition funnel and a condenser with N2 purge was charged with freshly distilled 2H,2H,3H,3H-perfluorononoyl chloride (16.26 g, 39.6 mmol). Trimethylsilyl azide (TMSN3, 4.57 g, 39.61 g) was added dropwise via the addition funnel, keeping the temperature about 5–10 °C. The mixture was then stirred at 10 °C for 30 min and heated at 75 °C for 1.5 h. After the reaction was complete (GC analysis), trimethylsilyl chloride was distilled off at atmospheric pressure and then the product was fractionally distilled under vacuum to produce 1H,1H,2H,2H-perfluorooctyl isocyanate as a colorless liquid (11.9 g, 30.6 mmol, 77%) bp.100–103 °C @ 30 mm Hg.
2.3. Synthesis of 2H,2H,3H,3H-Perfluoroheptanoyl Chloride and 1H,1H,2H,2H-Perfluorohexyl Isocyanate
Using a similar procedure as described above, reaction of 1H,1H,2H,2H-perfluorohexyl iodide (74.8 g, 200 mmol) with Mg (4.86 g, 202.5 mmol) and dry-ice (~15 g) produced 2H,2H,3H,3H-perfluoroheptanoic acid as a white crystalline solid (43 g, 145.7 mmol). Reaction of 2H,2H,3H,3H-perfluoroheptanoic acid (30.0 g, 102.7 mmol, mp. 44 °C) with PCl5, followed by distillation, produced 2H,2H,3H,3H-perfluoroheptanoyl chloride as a colorless liquid (18.0 g, 61.8 mmol, 60%, bp. 27 °C @ 3 mm Hg. The 2H,2H,3H,3H-perfluoroheptanoyl chloride (4.30 g, 10.5 mmol) upon reaction with TMSN3 (1.45 g, 12.6 mmol), followed by fractional distillation, produced 1H,1H,2H,2H-perfluorohexyl isocyanate as a colorless liquid (2.5 g, 6.42 mmol, 61%). bp.101–103 °C @ 50 mm Hg.
2.4. Synthesis of 1
A mixture of dichloromethane (350 mL), N-Boc-β-alanine (8.50 g, 45.0 mmol), 1-[3-(dimethylamino)propyl]-3-ethylcarbodiimide hydrochloride (EDCl) (8.6 g, 45.0 mmol) and 4-(dimethylamino)pyridine (5.49 g, 45.0 mmol) were stirred for 10 min at RT, followed by addition of octylamine (5.71 g, 45.0 mmol). The mixture was stirred for 12 h at RT. The mixture was washed with 5% HCl (2 × 100 mL), saturated NaHCO3 solution (1 × 100 mL) and brine (1 × 50 mL). The resulting organic layer was dried (MgSO4) and concentrated to provide N-Boc-β-ala-octylamide (1) as a white crystalline solid (11.6 g, 38.6 mmol, 86%): mp. 67.5–68.4 °C; 1H NMR (methanol-d4): δ 3.18 (t, J = 7.0 Hz, 2H), 2.90 (t, J = 6.5 Hz, 2H), 2.35 (t, J = 6.5 Hz, 2H), 1.51 (quintet, J = 7.0 Hz, 2H), 1.34 (m, 10H), 0.93 (t, distorted, J = 6.5 Hz, 3H):
2.5. Synthesis of 2
A suspension of 1 (10.5 g, 35.0 mmol) in dichloromethane (40 mL) was stirred with trifluoroacetic acid (TFA) (31.9 g, 280.0 mmol) at RT for 3 h. Chloroform (100 mL) was added and the bulk of the solvents and TFA evaporated under vacuum. The resulting trifluoroacetate salt was suspended in dichloromethane (50 mL) and stirred with dropwise addition of saturated NaHCO3 solution (200 mL) and the solid formed was filtered. The residue was washed several times with cold water and dried under vacuum to provide compound 2 as a white solid (6.5 g, 32.5 mmol, 93%): mp. 142–143.5 °C. 1H NMR (methanol-d4): δ 3.46 (t, J = 7.2 Hz, 2H), 3.17 (t, J = 7.0 Hz, 2H), 2.58 (m, 2H), 2.40 (t, J = 6.5 Hz, 4H), 1.50 (quintet, J = 7.0 Hz, 2H), 1.34 (m, 10H), 0.93 (t, distorted, 3H): 19F NMR (methanol d4): δ −82.8 (m, 3F), −115.9 (m, 2F), −123.3 (s, 2F), −124.3 (s, 2F), −125.0 (m, 2F), −127.7 (m, 2F).
2.6. Synthesis of 3
Using a similar procedure as described for the synthesis of compound 1, reaction of N-Boc-L-aspartic acid (10.0 g, 43.1 mmol) with n-octylamine (11.1 g, 86.2 mmol) 1-[3-(dimethylamino)propyl]-3-ethylcarbodiimide hydrochloride (EDCl) (16.5 g, 86.2 mmol) and 4-(dimethylamino)pyridine (5.25 g, 43.1 mmol) in dichloromethane (300 mL) provided N-Boc-L-Asp-dioctylamide 3 (18.8 g, 41.3 mmol, 92%). mp. 112–113 °C.
2.7. Synthesis of 4
Using a similar procedure as described for the synthesis of compound 2, reaction of 3 (18.6 g, 41.0 mmol) with trifluoroacetic acid (46.7 g, 410 mmol) in dichloromethane (50.0 mL) provided compound 4 (13.4 g, 96%) as a white solid. mp. 120.5–122 °C. 1H NMR (acetone-d6) δ 7.14 (bs, 2H), 4.35 (dd, J = 8.8, 4.6 Hz, 1H), 3.18 (m, 4H), 2.66 (dd, J = 14.0, 4.0 Hz, 1H), 2.35 (dd, J = 14.0, 8.0 Hz, 1H), 1.90 (bm, 2H), 1.50 (m, 4H), 1.31 (m, 10H), 0.90 (t, J = 6.8 Hz, 3H).
2.8. Synthesis of 5a
To a mixture of 2 (1.0 g, 5.0 mmol), dichloromethane (20 mL) and triethylamine (0.526 g, 0.52 mmol) under a N2 purge was added 2H,2H,3H,3H-perfluorononoyl chloride (2.13 g, 5.2 mmol) and the mixture stirred for 5 h at RT. The bulk of the dichloromethane was evaporated and the solid obtained was taken in ethyl acetate (60 mL) and then washed with 2% HCl (2 × 30 mL), water (1 × 30 mL) and brine (1 × 30 mL). The resulting organic layer was dried (MgSO4) and concentrated to provide 5a as a white solid (2.46 g, 4.29 mmol, 86%): 1H NMR (methanol-d4): δ 3.46 (t, J = 7.2 Hz, 2H), 3.17 (t, J = 7.0 Hz, 2H), 2.58 (m, 2H), 2.40 (t, J = 6.5 Hz, 4H), 1.50 (quintet, J = 7.0 Hz, 2H), 1.34 (m, 10H), 0.93 (t, distorted, 3H): 19F NMR (methanol-d4): δ −82.8 (m, 3F), −115.9 (m, 2F), −123.3 (s, 2F), −124.3 (s, 2F), −125.0 (m, 2F), −127.7 (m, 2F).
2.9. Synthesis of 5b
Using a similar procedure as described for the synthesis of compound 5a, reaction of 2 (1.37 g, 6.85 mmol) with 2H,2H,3H,3H-perfluoroheptanoyl chloride (2.13 g, 6.85 mmol) and triethylamine (0.69 g, 6.85 mmol) provided 5b as a white solid (2.8 g, 5.90 mmol, 86%): mp. 99–102 °C; 1H NMR (CDCl3): δ 6.78 (bs, 1H), 5.81 (bs, 1H), 3.56 (q, J = 6.4 Hz, 2H), 3.25 (q, J = 7.2 Hz, 2H), 2.47 (m, 2H), 2.43 (t, J = 5.6 Hz, 4H), 1.51 (quintet, J = 7.0 Hz, 2H), 1.30 (m, 10H), 0.901 (t, J = 7.5 Hz, 3H); 19F NMR (CDCl3): δ −81.6 (m, 3F), −115.3 (m, 2F), −125.0 (m, 2F), −126.6 (m, 2F).
2.10. Synthesis of 5c
Using a similar procedure as described for the synthesis of compound 5a, reaction of 2 (1.37 g, 6.85 mmol) with pentafluorobenzoyl chloride (1.57 g, 6.85 mmol) and triethylamine (0.69 g, 6.85 mmol) provided 5c as a white solid (2.2 g, 5.58 mmol, 82%): mp. 154–155 °C; 1H NMR (methanol-d4): δ 3.65 (t, J = 6.8 Hz, 2H), 3.19 (t, J = 7.2 Hz, 2H), 2.53 (t, J = 5.6 Hz, 2H), 1.52 (quintet, J = 7.0 Hz, 2H), 1.34 (m, 10H), 0.92 (t, distorted, 3H); 19F NMR (methanol-d4): δ −144.3 (m, 2F), −155.8 (m, 1F), −164.3 (m, 2F).
2.11. Synthesis of 6a
Using a similar procedure as described for the synthesis of compound 5a, reaction of 4 (1.775 g, 5.0 mmol) with 2H,2H,3H,3H-perfluorononoyl chloride (0.438 g, 2.7 mmol) provided 6a as a white solid (2.8 g, 77%): mp. 178–180 °C; 1H NMR (acetone-d6) δ 7.52 (bs, 1H), 7.17 (bs, 1H), 7.06 (bs, 1H), 4.55 (m, 1H), 3.02 (bs, 4H), 2.55-2.40 (m, 6H), 1.27 (m, 4H), 1.16 (bs, 20 H), 0.75 (bs, 6H); 19F NMR (acetone-d6): δ −82.1 (s, 3F), −115.2 (s, 2F), −122.8 (s, 2F), −123.8 (s, 2F), −124.4 (s, 2F), −127.1 (s, 2F).
2.12. Synthesis of 6b
Using a similar procedure as described for the synthesis of compound 5a, reaction of 4 (1.77 g, 5.0 mmol) with 2H,2H,3H,3H-perfluoroheptanoyl chloride (1.55 g, 5.0 mmol) provided 6b as a white solid (1.92 g, 61%): mp. 163.5–165.5 °C; 1H NMR (DMF-d7): δ 8.80 (bs, 1H), 8.0 (bs, 1H), 7.96 (bs, 1H), 4.91 (q, J = 6.0 Hz, 1H), 3.32 (m, 4H), 2.87–2.70 (m, 4H), 1.63 (m, 4H), 1.45 (bs, 20 H), 0.75 (t, distorted, 6H); 19F NMR (DMF-d7): δ −81.8 (m, 3F), −114.9 (m, 2F), −125.9 (m, 2F), −126.6 (m, 2F).
2.13. Synthesis of 6c
Using a similar procedure as described for the synthesis of compound 5a, reaction of 4 (1.77 g, 5.0 mmol) with pentafluorobenzoyl chloride (1.15 g, 5.0 mmol) provided 6c as a white solid (1.8 g, 66%): mp. 172–183.5 °C; 1H NMR (DMF-d7): δ 9.11 (d, J = 8.0 Hz, 1H), 7.88 (m 2H), 4.96 (q, J = 6.8 Hz, 1H), 3.19 (m, 4H), 2.78–2.70 (m, 2H). 1.48 (m, 4H), 1.29 (bs, 20 H), 0.89 (t, distorted, 6H); 19F NMR (DMF-d7): δ −143.0 (m, 2F), −155.5 (t, J = 21.6 Hz, 1F), −163.9 (m, 2F).
2.14. Synthesis of 7a
To a mixture of 2 (0.822 g, 4.11 mmol), dichloromethane (20 mL) and triethylamine (0.02 g, 0.2 mmol) under a N2 purge was added 1H,1H,2H,2H-perfluorooctyl ioscyanate (1.75 g, 4.52 mmol), and the mixture stirred for 5 h at RT. The solid product was filtered and washed with cold hexanes (2 × 5 mL) to provide 7a as a white solid (1.8 g, 3.05 mmol, 74%): mp. 132–136 °C; 1H NMR (methanol-d4): δ 3.46 (t, J = 7.2 Hz, 2H), 3.39 (t, J = 6.4 Hz, 2H), 2.94 (m, 2H), 2.60 (t, J = 6.0 Hz, 2H), 2.39 (m, 2H), 1.53 (m, 2H), 1.34 (bs, 10H), 0.92 (t, distorted, 3H); 19F NMR (methanol-d4): δ −82.8 (m, 3F), −115.6 (m, 2F), −123.2 (s, 2F), −124.2 (s, 2F), −125.0 (m, 2F), −127.7 (m, 2F).
2.15. Synthesis of 7b
Using a similar procedure as described for the synthesis of compound 7a, reaction of 2 (0.629 g, 3.14 mmol) with 1H,1H,2H,2H-perfluorohexyl isocyanate (1.2 g, 4.15 mmol) provided 7b (1.08 g, 67%): 1H NMR (methanol-d4): δ 3.46 (t, J = 7.2 Hz, 2H), 3.39 (t, J = 6.4 Hz, 2H), 3.19 (m, 2H), 2.61 (t, J = 6.0 Hz, 2H), 2.39 (m, 2H), 1.53 (m, 2H), 1.34 (bs, 10H), 0.92 (t, distorted, 3H); 19F NMR (methanol-d4): δ −83.0 (m, 3F), −115.8 (m, 2F), −126.1 (m, 2F), −127.6 (m, 2F).
2.16. Synthesis of 7c
Using a similar procedure as described for the synthesis of compound 7a, reaction of 2 (1.0 g, 5.0 mmol) with pentafluorophenyl isocyanate (1.04 g, 5.0 mmol) provided 7c as a white solid (1.72 g, 84%): mp. 175–176 °C; 1H NMR (methanol-d4): δ 3.48 (t, J = 6.8 Hz, 2H), 3.20 (t, J = 7.2 Hz, 2H), 2.45 (t, J = 5.6 Hz, 2H), 1.52 (quintet, J = 7.0 Hz, 2H), 1.33 (m, 10H), 0.91 (t, J = 7.5 Hz, 3H); 19F NMR (methanol-d4): δ −149.4 (m, 2F), −162.8 (t, J = 20.6 Hz, 1F), −167.3 (m, 2F).
2.17. Synthesis of 8a
Using a similar procedure as described for the synthesis of compound 7a, reaction of 4 (0.912 g, 2.57 mmol) with 1H,1H,2H,2H-perfluorooctyl isocyanate (1.16 g, 3.0 mmol) provided 8a as a white solid (1.1 g, 1.47 mmol, 58%): 1H NMR (methanol-d4): δ 4.54 (t, J = 6.8 Hz, 1H), 3.46 (t, J = 6.8 Hz, 2H), 3.21 (m, 4H), 2.60 (m, 2H), 2.40 (m, 2H), 1.53 (m, 4H), 1.33 (bs, 20H), 0.922 (t, distorted, 6H); 19F NMR (methanol-d4): δ −82.8 (m, 3F), −115.6 (s, 2F), −123.2 (s, 2F), −124.2 (s, 2F), −125.0 (s, 2F), −127.6 (m, 2F).
2.18. Synthesis of 8b
Using a similar procedure as described for the synthesis of compound 7a, reaction of 4 (0.79 g, 2.24 mmol) with 1H,1H,2H,2H-perfluorohexyl isocyanate (1.0 g, 3.26 mmol) provided 8b as a white solid (1.51 g, 71%) 1H NMR (methanol-d4): δ 4.54 (t, J = 6.8 Hz, 1H), 3.46 (t, J = 6.8 Hz, 2H), 3.22 (m, 4H), 2.61 (m, 2H), 2.41 (m, 2H), 1.51 (m, 4H), 1.33 (bs, 20H), 0.922 (t, distorted, 6H); 19F NMR (methanol-d4): δ −83.0 (m, 3F), −115.8 (m, 2F), −126.0 (m, 2F), −127.6 (m, 2F).
2.19. Synthesis of 8c
Using a similar procedure as described for the synthesis of compound 7a, reaction of 4 (1.77 g, 5.0 mmol) with pentafluorophenyl isocyanate (1.04 g, 5.0 mmol) provided 8c as a white solid (2.0 g, 3.45 mmol, 71%): 1H NMR (DMF-d7, 100 °C): δ 8.74 (m, 1H), 7.57 (bs, 2H), 7.17 (bs, 1H), 4.74 (q, J = 6.8 Hz, 1H), 3.35 (m, 4H), 2.86 (dd, J = 15.2, 6.0 Hz, 1H), 2.78 (dd, J = 15.2, 6.0 Hz, 1H), 1.65 (m, 4H), 1.47 (bs, 20 H), 1.03 (t, distorted, 6H); 19F NMR (DMF-d7): δ −147.8 (m, 2F), −163.2 (t, J = 22.0 Hz, 1F), −168.3 (m, 2F).
2.20. Synthesis of 9
Using a similar procedure as described for the synthesis of 1, reaction of N-Boc-β-alanine (8.5 g, 45.0 mmol) with n-octanol (5.85 g, 45.0 mmol), 1-[3-(dimethylamino)propyl]-3-ethylcarbodiimide hydrochloride (8.62 g, 45.0 mmol) and 4-(dimethylamino)pyridine (5.49 g, 45.0 mmol) in dichloromethane (350 mL) provided n-octyl-N-Boc-β-alanine (12.75 g, 42.3 mmol, 94%). Using a similar procedure as described for the synthesis of 2, n-octyl-N-Boc-β-alanine (12.0 g, 39.87 mmol) was deprotected with trifluoroacetic acid to obtain n-octyl-β-alanine (6.8 g, 33.8 mmol, 85%). Reaction of n-octyl-β-alanine (0.573 g, 2.85 mmol) with 1H,1H,2H,2H-perfluorooctyl isocyanate (1.1 g, 2.85 mmol) provided 9 as a pale yellow oil (1.95 g, 62%): 1H NMR (CDCl3): δ 4.06 (t, J = 7.2 Hz, 2H), 3.53 (t, J = 6.4 Hz, 2H), 3.26 (m, 2H), 2.30 (m, 2H), 1.55 (m, 2H), 1.20 (bs, 10H), 0.81 (t, distorted, 3H); 19F NMR (CDCl3): δ −81.2 (m, 3F), −114.4 (m, 2F), −122.2 (s, 2F), −123.2 (m, 2F), −124.0 (m, 2F), −126.5 (m, 2F).
2.21. Synthesis of 10
Using a similar procedure as described for the synthesis of 1, reaction of N-Boc-L-aspartic acid (10.0 g, 43.1 mmol) with n-octanol (11.2 g, 86.2 mmol) provided N-Boc-dioctylaspartate as an oil (19.0 g, 41.5 mmol, 96%): 1H NMR (CDCl3): δ 5.49 (d, J = 8 Hz, 1H), 4. 53 (m, 1H), 4.14 (m, 2H), 4.06 (t, J = 7.2 Hz, 2H), 2.95 (dd, J = 17.2, 4.4 Hz, 1H), 2.78 (dd, J = 17.8, 5.2 Hz, 1H), 1.60 (quintet, J = 7.2 Hz, 4 H), 1.29 (bm, 10H), 1.44 (s, 9H) 0.87 t, J = 7.8 Hz, 6H).
Using a similar procedure as described for the synthesis of 2, N-Boc-dioctylaspartate (19.0 g, 41.5 mmol) was deprotected using trifluoroacetic acid to obtain dioctylaspartate as a viscous oil which solidified in the freezer (12.1 g, 34.0 mmol, 82%).1H NMR (CDCl3): δ 4.16 (m, 4H), 3.82 (dd, J = 7.2, 5.3 Hz, 1H), 2.95 (dd, J = 17.6, 4.6 Hz, 1H), 2.71 (dd, J = 17.6, 4.5 Hz, 1H), 1.80 (bs, 2H), 1.62 (m, 4H), 1.31 (m, 10 H), 0.90 (t, J = 6.8 Hz, 6H). Using a similar procedure as described for the synthesis of 7a, reaction of octyldiaspartate (0.629 g, 3.14 mmol) with 1H,1H,2H,2H-perfluorohexyl isocyanate (1.21 g, 4.21 mmol) provided 10 as an oil (1.12 g, 67%): 1H NMR (CDCl3): δ. 5.70 (bs, 1H), 5.39 (bs, 1H), 4.75 (m, 1H), 4.15-3.4.0 (m, 4H), 3.55 (t, J = 6.4 Hz, 2H), 2.97 (dd, J = 16.8, 4.8 Hz, 1H), 2.78 (dd, J = 16.8, 4.8 Hz, 1H), 2.34 (m, 2H), 1.60 (m, 4H), 1.26 (m, 16H), 0.93 (t, J = 6.8 Hz, 6H); 19F NMR (CDCl3): δ. −81.5 (m, 3F), −114.5 (m, 2F), −122.4 (s, 2F), −123.5 (s, 2F), −124.4 (s, 2F), −126.7 (m, 2F).
2.22. Gelation Experiments in Organic Solvents
Typically, 1–4 mg/mL of a gelator in an organic solvent in a closed vial was heated in a reactor block equipped to heat multiple vials. The vials were heated to 5–10 °C below the boiling point of the solvent until a clear solution was obtained, and then were allowed to cool to RT either by switching off the heat or by transferring the vials to a constant temperature water bath kept at 25 °C. The state of the solution was evaluated after 2–12 h. Stability of the gel was tested by inverting the vial, and gel samples for which the whole mass remains a single phase (no phase separation between solid and liquid phase) are considered stable.
2.23. Gel-Impregnation of Nonwoven Supports in Organic Solvents
Nonwoven fabrics (Tyvek® polyethylene nonwoven fabric and Kolon® spun-bonded polyester fabric (about 3.0 cm × 3.0 cm) were immersed in a suspension of amide or urea-amide gelator (1–3 mg/mL) in organic solvent kept in closed reaction flask equipped with a stir bar and temperature controller. The mixtures were heated to 5 °C below the boiling point of the solvent for 1–2 h until clear solutions formed. The flasks were then either rapidly cooled to RT by removing the oil bath or slowly cooled to RT by switching off the heat. Gel formation was usually observed in about 0.5–6 h, and the gels were allowed to age for an additional 6 h. The gelator-impregnated samples were removed and dried in a vacuum oven at RT overnight. The dried samples were weighed and used for contact angle measurements.
3. Results and Discussion
3.1. Organogelators: Design and Synthesis
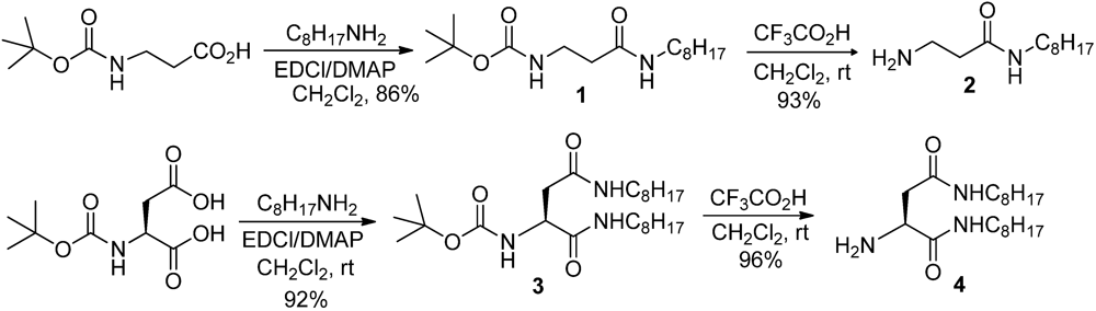
Several new partially fluorinated organogelators were designed via careful manipulation of hydrogen bonding functionalities (urea and amide) and hydrophobic functionalities (fluorocarbon and hydrocarbon) in the molecule to promote gelation. Boc-protected amino acids, N-Boc-β-alanine and N-Boc-L-aspartic acid were chosen as the building blocks. First N-Boc-β-alanine and N-Boc-L-aspartic acid were transformed to the corresponding N-Boc-octylamides (1 and 3) by reacting with octylamine (Scheme 1). The resulting amides were deprotected to obtain the corresponding free amide-amine derivatives (2 and 4), the primary building blocks for partially fluorinated amide or urea-amide derivatives.
Scheme 1.
Synthesis of 3-amino-N-octylpropanamide (2) L-asparticdioctylamide (4) building blocks from N-Boc-β-alanine and N-Boc-L-aspartic acid.
Scheme 1.
Synthesis of 3-amino-N-octylpropanamide (2) L-asparticdioctylamide (4) building blocks from N-Boc-β-alanine and N-Boc-L-aspartic acid.

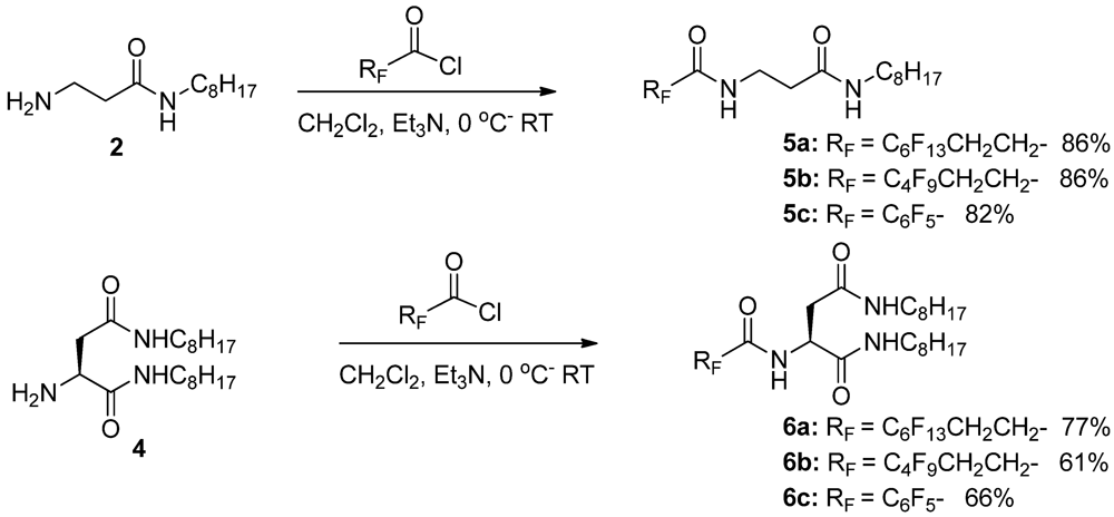
3.1.1. Partially Fluorinated-bis- and Tris-Amides
The amide-amine building blocks (2 and 4) were used for the preparation of partially fluorinated amide derivatives as shown in Scheme 2. Reaction of 2 with 2H,2H,3H,3H-perfluorononoyl chloride or 2H,2H,3H,3H-perfluoroheptanoylchloride provided the bis-amide derivatives 5a or 5b, respectively, in very good yield. Similar reaction of 2 with pentafluorobenzoyl chloride provided the bis-amide 5c. Similarly, the reaction of 4 with corresponding fluorinated acid chlorides provided the tris-amide derivatives 6a–c in good yield.
Scheme 2.
Synthesis of amide-amine building blocks from N-Boc-β-alanine and N-Boc-L-aspartic acid.
Scheme 2.
Synthesis of amide-amine building blocks from N-Boc-β-alanine and N-Boc-L-aspartic acid.

3.1.2. Partially Fluorinated Urea-Amides
The amide-amine building blocks (2 and 4) were also used for the preparation of partially fluorinated urea-amide derivatives, as described in Scheme 3. Compound 2, upon reacting with 1H,1H,2H,2H-perfluorooctyl isocyanate or 1H,1H,2H,2H-perfluorohexyl isocyanate, provided the urea-amide derivatives 7a or 7b, respectively, in good yield. Similar reaction of 2 with pentafluorophenyl isocynante provided the bis-amide 7c in very good yield. Similarly, the reaction of compound 4 with corresponding fluorinated isocyanates provided the urea-bis-amide derivatives 8a–c in very good yield.
Scheme 3.
Synthesis of amide-amine building blocks from N-Boc-β-alanine and N-Boc-L-aspartic acid.
Scheme 3.
Synthesis of amide-amine building blocks from N-Boc-β-alanine and N-Boc-L-aspartic acid.

3.2. Gelation in Organic Solvents
The majority of these newly synthesized amide and urea-amide derivatives showed gelation properties in organic solvents during their work-up or isolation. A systematic study was then performed to examine the gelation behavior of these partially fluorinated amide or urea-amide derivatives in various organic solvents. A methodology was developed where gelation was attempted with varying amounts of organogelator with a matching a solvent system. A suitable solvent system selection is based on initial solubility experiments. In general, a gelator that is too soluble in an organic solvent will stay dissolved without forming a gel, even at high concentrations. If the gelator is not soluble in an organic solvent, and partially or fully dissolves at high temperature, it may precipitate again as the temperature is lowered. Ideally, the organogelators should dissolve in a solvent at a temperature close to its boiling point and assemble into a network upon cooling, leading to a single gel phase that does not move upon shaking or inverting the vial.
In a typical screening experiment, 0.5–4 mg/mL slurries of the organogelators in various organic solvents were prepared and heated with stirring at a temperature 5 °C below the boiling point of the solvent to induce full dissolution. Gelation occurred upon cooling, as was evident by significant increase in viscosity and/or the formation of a translucent-to-opaque appearance, without the formation of precipitate. The majority of the partially fluorinated amide and urea-amide derivatives showed gelation properties in a variety of organic solvents at remarkably low concentrations, ranging from 0.5 to 4 mg/mL. The partially fluorinated amide derivative 5a showed gelation properties in acetone (2–3 mg/mL) and n-butanol (3–4 mg/mL) leading to partial gels. The corresponding perfluorobutyl derivative (5b) showed gelation in acetone at 3–4 mg/mL and was a clear solution in n-butanol at various concentrations. Both 5a and 5b existed either as clear solutions or slurries in THF, dichloromethane, methanol and toluene at various concentrations (0.5–4 mg/mL), and did not show any signs of gelation. Compound 5c did not gel under any conditions tested, indicating that a long-chain perfluoroalkyl group is probably needed to induce gelation of these bis-amide systems. We then examined the tris-amide systems 6a–c for their gelation abilities at various concentrations in a variety of organic solvents. Compound 6a gelled in acetone (2 mg/mL) and in n-butanol (4 mg/mL) to form opaque gels which were stable for several weeks at room temperature. Similarly, compound 6b formed stable hazy gels in acetone at (3 mg/mL) and in dichloromethane (2 mg/mL). Compound 6c formed gels in acetone at (1–2 mg/mL) and in methanol (2 mg/mL), indicating gelation could be induced on this tris-amide system even though it comprises a pentafluorophenyl group.
Gelation of urea-amide derivatives (7a–c and 8a–c) was then attempted in a variety of organic solvents under varying concentrations. Compound 7a gelled in THF (2 mg/mL) and acetone (2 mg/mL) forming stable gels, and partially gelled in n-butanol (3 mg/mL). Compound 7b gelled in acetone and THF (3 mg/mL), leading to stable gels. The pentafluorophenyl urea-amide derivative 7c remained as slurry or solution in many organic solvents, although partial gel formation was observed in dichloromethane (2 mg/mL). The urea-bis-amide derivatives 8a–c showed excellent gelation properties in a variety of organic solvents. Compound 8a gelled in both acetone and dichloromethane at 2–3 mg/mL concentrations. Compound 8a also showed partial gelation in THF and n-butanol at 2–4 mg/mL concentrations. Compound 8b gelled in dichloromethane (2 mg/mL) and acetone (3 mg/mL), leading to stable gels. Compound 8c showed excellent gelation behavior with a variety of organic solvents (toluene, THF, acetone, dichloromethane, n-butanol and methanol) at concentrations ranging from 0.5–3 mg/mL, and formed stable gels in several instances. Table 1 summarizes some of the best conditions for gel formation, and the minimum concentration of gelator where stable gels were obtained.
Table 1.
Gelation properties of partially fluorinated amides (5a–c, 6a–c) and urea-amides (7a–c, 8a–c).
| Compound | Gelation Conditions | Appearance b | |
|---|---|---|---|
| Gelator Concentration mg/mL | Solvent | ||
| 5a | 2,3 | Acetone | Partial Gel |
| 3–4 | n -Butanol | Partial Gel | |
| 5b | 3 | Acetone | Partial Gel |
| 5c | 0.5–4 | Acetone, THF, CH2Cl2, | Clear Solution or |
| n -Butanol, hexane, methanol | Precipitate | ||
| 6a | 3 a | Acetone | Opaque Gel |
| 4 a | n -Butanol | Opaque Gel | |
| 6b | 2 a | CH2Cl2 | Hazy Gel |
| 3 a | Acetone | Hazy Gel | |
| 6c | 2 a | Acetone, methanol | Opaque Gel |
| 7a | 2 a | THF or acetone | Opaque Gel |
| 3 | n -Butanol | Partial Gel | |
| 7b | 3 a | Acetone or THF | Opaque Gel |
| 7c | 2 | CH2Cl2 | Partial Gel |
| 8a | 2 a | Acetone | Opaque Gel |
| 3 a | CH2Cl2 | Hazy Gel | |
| 2–4 | THF, n -butanol | Partial Gel | |
| 8b | 2 a | CH2Cl2 | Opaque Gel |
| 3 a | Acetone | Hazy Gel | |
| 8c | 0.5 a, 1, 2, 3 | Acetone | Hazy Gel |
| 0.5 a | CH2Cl2 | Transparent Gel | |
| 2 | THF | Opaque Gel | |
a Minimum gel concentration for stable gel formation; b Hazy = partially transparent, solid gel. Transparent = completely transparent, solid gel. Opaque = solid gel, not transparent. Partial gel = solid gel with some movement. Precipitate = phase- separated liquid, with solid particles.
In general, we conclude that the partially fluorinated urea-amide derivatives (7a–c and 8a–c) are better gelators than the corresponding amide systems (5a–c and 6a–c), possibly due to the ability of the urea moieties to form directional hydrogen bonds. In order to further understand the influence of amide groups in the gelation ability of these urea-amide systems, we synthesized the corresponding urea-ester derivatives, which in general did not show any gelation properties under the same gelation conditions as the urea-amide systems. For example, urea-ester derivatives 9 and 10 (comparable to urea-amides 7a and 8b) were synthesized via the esterification of N-Boc-β-alanine and N-Boc-L-aspartic acid with n-octanol, followed by deprotection and reaction of the amine with 1H,1H,2H,2H-perfluorooctyl isocyanate (Figure 3). Both 9 and 10 were oils and failed to gel in common organic solvents, indicating amide functionalities are desired in addition to the urea group in the backbone of these partially fluorinated compounds to obtain good gelation properties.
Figure 3.
Urea-ester derivatives from N-Boc-β-alanine and N-Boc-L-aspartic acid.
Figure 3.
Urea-ester derivatives from N-Boc-β-alanine and N-Boc-L-aspartic acid.

3.3. Surface Modification of Nonwoven Supports in Organic Solvents
The concept of fabricating low surface energy surfaces via surface modification of nonwoven substrates using self-assembly of partially fluorinated urea or amide gelators has been described in our earlier reports [29,31]. The gelators self-assemble into fiber-like morphologies in solution, which grow sufficiently long and become entangled with one another, forming a gel with their solvent medium. In the presence of a solid or fibrous substrate, the gelation occurs on the surface of the substrate, creating a composite with an altered surface topology. Removal of the solvent from the gel composite leaves behind a network of assembled gelator fibers on the substrate, thus producing a composite surface with high surface area and roughness, which are desirable for superior hydrophobic/oleophobic properties.
A few of the partially fluorinated amide and urea-amide gelators that showed good gelation properties were gel-impregnated on nonwoven supports (Tyvek® polyethylene nonwoven fabric and Kolon® polyester fabric) in a suitable organic solvent. The nonwoven supports were then dried in a vacuum oven at room temperature to produce a composite of xerogel coated on the substrate. These surface-modified composites were then evaluated for hydrophobic and oleophobic properties. The tris-amide gelators (6a and 6b) were impregnated on the Tyvek® and Kolon® fabrics in acetone and dichloromethane, respectively, leading to the corresponding gel-impregnated composites. Similarly, the partially fluorinated urea-amide gelators (7a and 8c) that showed excellent gelation behavior were gel impregnated on both Tyvek® and Kolon® fabrics in acetone, leading to the corresponding surface-modified composites. Examination of these composites by SEM showed a nanofibrous network of gelators impregnated on the fabric surface, vastly different from the micro structured surfaces of Tyvek® and Kolon® fabrics [31]. Figure 4 shows SEMs at 2,000× and 10,000× magnification of the Kolon® fabric surface-treated with gelator 7a with an average fiber diameter of 142 nm.
Figure 4.
SEMs of composite prepared by impregnation of gelator 7a on Kolon® fabric at 2,000× (left) and 10,000× (right) magnifications.
Figure 4.
SEMs of composite prepared by impregnation of gelator 7a on Kolon® fabric at 2,000× (left) and 10,000× (right) magnifications.

The composites produced by gel-impregnation of fluorinated organogelators were evaluated for water/oil repellency via dynamic contact angle measurement for water and hexadecane. Table 2 summarizes the results of contact angle measurements for the composites and those for untreated controls (Tyvek® and Kolon® fabrics). The results indicate that the composite materials produced by the gel impregnation of fluorinated gelators 6a, 6b, 7a, 8a and 8c exhibit significantly higher water advancing contact angles than the untreated controls. The higher water contact angles observed for these surfaces suggest increased surface roughness in addition to the incorporation of hydrophobic alkyl or fluoroalkyl functionalities. The inset in Figure 4 shows a water droplet sitting on the Kolon® fabric surface treated with gelator 7a, with an advancing contact angle of 140°. The effect of surface structure created by gel-impregnation is particularly important as clear solutions (no gel with solvents chosen) of urea-amide gelators dip-coated on nonwoven substrates showed relatively inferior performance (water advancing contact angle <117°). The treated composites derived from gelators 6a, 6b and 7a (comprising perfluoroalkyl chains) also showed a high advancing contact angle for hexadecane, indicating excellent oil repellency. Surprisingly, the pentafluorophenyl-derived urea-amide derivative 8c, which showed excellent gelation characteristics, also showed excellent water advancing and receding contact angles (superhydrophobic), but extremely poor oil repellency, as hexadecane penetrated into the substrate within a few seconds. This observation is consistent with the need for long-chain perfluoroalkyl groups with terminal CF3 groups in the gelator molecule in order to provide oil repellency [35]. Surface structure created by the gelator and pentafluorophenyl groups or hydrocarbon alkyl groups in the gelator backbone are not sufficient for imparting oil repellency to the treated composites.
Table 2.
Water and hexadecane contact angles of treated nonwoven composites prepared via gelation in organic solvents
| Composite | Average Amount of Dry Gel Impregnated per Unit Area, g/cm2 | Contact angle † | |||
|---|---|---|---|---|---|
| Water | Hexadecane | ||||
| Adv CA | Rec CA | Adv CA | Rec CA | ||
| 6a on Tyvek® | 0.0014 | 141 ± 4 | 134 ± 1 | 89 ± 2 | 64 ± 1 |
| 6a on Kolon® | 0.0027 | 157 ± 6 | 144 ± 3 | 94 ± 5 | 61 ± 3 |
| 6b on Tyvek® | 0.0041 | 128 ± 4 | 112 ± 3 | 60 ± 2 | 30 ± 3 |
| 6b on Kolon® | 0.0012 | 134 ± 1 | 118 ± 2 | 59 ± 4 | 29 ± 5 |
| 7a on Tyvek® | 0.0015 | 140 ± 4 | 126 ± 1 | 84 ± 4 | 43± 1 |
| 7a on Kolon® | 0.0030 | 154 ± 3 | 138 ± 2 | 87± 4 | 42± 2 |
| 8c on Tyvek® | 0.0013 | 161 ± 1 | 148 ± 1 | Absorbed in 25 s | |
| 8c on Kolon® | 0.0037 | 158 ± 2 | 145 ± 1 | Absorbed in 30 s | |
| Untreated Tyvek® | --- | 108 ± 1 | 78 ± 1 | Absorbed on contact | |
| Untreated Kolon® | --- | 115 ± 4 | 85 ± 4 | Absorbed on contact | |
† Average of 3 runs at different positions on each sample.
4. Conclusions
A new class of partially fluorinated amides and urea-amides useful as organogelators was synthesized from amino acid building blocks. These derivatives showed good gelation properties in a variety of organic solvents, and in general the urea-amide derivatives were better gelators than the corresponding bis- or tris-amide derivatives. Analogous urea-ester derivatives failed to gel in any organic solvents, indicating a combination of urea and amide functionalities, or multiple amide groups, are desirable to induce gelation. Good organogelators derived from the initial screening were evaluated for surface modification of nonwoven substrates, and surface analysis indicated a gel-impregnated surface with porous microstructure morphology. Composites obtained via impregnation by gelators provided surfaces with excellent hydrophobic properties. The nonwoven surfaces impregnated with perfluoroalkyl-containing organogelators showed excellent oleophobic behavior. Superior hydrophobic and oleophobic behavior exhibited by these composites were attributed to a combination of micro-structured surface morphology created by the xerogel and the presence of fluorocarbon/hydrocarbon functionalities in the gelator backbone.
Acknowledgments
We gratefully acknowledge Stefan Reinartz of DuPont Performance Coatings (DPC) for helpful insight into this research and Liang Liang of DuPont Corporate Center for Analytical Sciences (CCAS) for microscopy.
References
- Terech, P.; Weiss, R.G. Low-molecular mass gelators of organic liquids and the properties of their gels. Chem. Rev. 1997, 97, 3133–3160. [Google Scholar]
- Molecular Gels: Materials with Self-Assembled Fibrillar Networks; Weiss, R.G.; Terech, P. (Eds.) Springer: Dordrecht, The Netherlands, 2006.
- George, M.; Weiss, R.G. Molecular organogels. Soft matter comprised of low-molecular-mass organic gelators and organic liquids. Acc. Chem. Res. 2006, 39, 489–497. [Google Scholar] [CrossRef]
- van Esch, J.H.; Feringa, B.L. New functional materials based on self-assembling organogels: From serendipity towards design. Angew. Chem. Int. Ed. 2000, 39, 2263–2266. [Google Scholar]
- Srinivasan, S.; Babu, P.A.; Mahesh, S.; Ajayaghosh, A. Reversible self-assembly of entrapped fluorescent gelators in polymerized styrene gel matrix: Erasable thermal imaging via recreation of supramolecular architectures. J. Am. Chem. Soc. 2009, 131, 15122–15123. [Google Scholar]
- Sahoo, S.; Kumar, N.; Bhattacharya, C.; Sagiri, S.S.; Jain, K.; Pal, K.; Ray, S.S.; Nayak, B. Organogels: Properties and applications in drug delivery. Des. Monomers Polym. 2011, 14, 95–108. [Google Scholar]
- Debnath, S.; Shome, A.; Dutta, S.; Das, Prasanta, K. Dipeptide-based low-molecular-weight efficient organogelators and their application in water purification. Chem.-A Eur. J. 2008, 14, 6870–6881. [Google Scholar]
- Smith, D.K. Molecular gels: Nanostructured soft materials. In Organic Nanostructures; Atwood, J.L., Steed, J.W., Eds.; Wiley-VCH: Weinheim, Germany, 2008; pp. 111–154. [Google Scholar]
- Hughes, N.E.; Marangoni, A.G.; Wright, A.J.; Rogers, M.A.; Rush, J.W.E. Potential food applications of edible oil organogels. Trends Food Sci. Technol. 2009, 20, 470–480. [Google Scholar]
- Fages, F.; Voegtle, F.; Zinic, M. Systematic design of amide- and urea-type gelators with tailored properties. Top. Curr. Chem. 2005, 256, 77–131. [Google Scholar]
- Allix, F.; Curcio, P.; Pham, Q.; Pickaert, G.; Jamart-Grégoire, G. Evidence of intercolumnar π-π stacking interactions in amino-acid-based low-molecular-weight organogels. Langmuir 2010, 26, 16818–16827. [Google Scholar]
- Song, B.; Wei, H.; Wang, Z.; Zhang, X.; Smet, M.; Dehae, W. Supramolecular nanofibers by self-organization of bola-amphiphiles through a combination of hydrogen bonding and π–π stacking interactions. Adv. Mater. 2007, 19, 416–420. [Google Scholar]
- Suzuki, M.; Hanabusa, K. Polymer organogelators that make supramolecular organogels through physical cross-linking and self-assembly. Chem. Soc. Rev. 2010, 39, 455–463. [Google Scholar]
- de Loos, M.; Feringa, B.L.; van Esch, J.H. Design and application of self-assembled low molecular weight hydrogels. Eur. J. Org. Chem. 2005, 3615–3631. [Google Scholar]
- Hirst, A.R.; Coates, I.A.; Boucheteau, T.R.; Miravet, J.F.; Escuder, B.; Castelletto, V.; Hamley, I.W.; Smith, D.K. Low-molecular-weight gelators: Elucidating the principles of gelation based on gelator solubility and a cooperative self-assembly model. J. Am. Chem. Soc. 2008, 130, 9113–9121. [Google Scholar]
- Liu, J.; Ma, J.; Chen, C. Structure-property relationship of a class of efficient organogelators and their multistimuli responsiveness. Tetrahedron 2011, 67, 85–91. [Google Scholar]
- Mohmeyer, N.; Schmidt, H. Synthesis and structure-property relationships of amphiphilic organogelators. Chem. Eur. J. 2007, 13, 4499–4509. [Google Scholar]
- Raynal, M.; Laurent, B. Organogel formation rationalized by Hansen solubility parameters. Chem. Commun. 2011, 47, 8271–8273. [Google Scholar]
- Srinivasan, S.; Praveen, V.K.; Philip, R.; Ajayaghosh, A. Bioinspired superhydrophobic coatings of carbon nanotubes and linear π systems based on the “bottom-up” self-assembly approach. Angew. Chem. Int. Ed. 2008, 47, 5750–5754. [Google Scholar]
- Ren, C.L.; Xu, S.Y.; Xu, J.; Chen, H.Y.; Zeng, H.Q. Planar macrocyclic fluoropentamers as supramolecular organogelators. Org. Lett. 2011, 13, 3840–3843. [Google Scholar]
- Hanabusa, K. Development of organogelators based on supramolecular chemistry. In Macromolecular Nanostructured Materials; Ueyama, N., Harada, A., Eds.; Springer Series in Materials Science: Dordrecht, The Netherlands, 2004; Volume 78, pp. 118–137. [Google Scholar]
- Shi, C.; Huang, Z.; Kilic, S.; Xu, J.; Enick, R.M.; Beckman, E.J.; Carr, A.J.; Melendez, R.E.; Hamilton, A.D. The gelation of CO2: A sustainable route to the creation of microcellular materials. Science 1999, 286, 1540–1543. [Google Scholar]
- Zhou, Y.; Yi, T.; Li, T.; Zhou, Z.; Li, F.; Huang, W.; Huyang, C. Morphology and wettability tunable two-dimensional superstructure assembled by hydrogen bonds and hydrophobic interactions. Chem. Mater. 2006, 18, 2974. [Google Scholar]
- Yamanaka, M.; Sada, K.; Miyata, M.; Hanabusa, K.; Nakano, K. Construction of superhydrophobic surfaces by fibrous aggregation of perfluoroalkyl chain-containing organogelators. Chem. Commun. 2006, 21, 2248–2250. [Google Scholar]
- Nakajima, A.; Hashimoto, K.; Watanabe, T. Some Recent studies on super-hydrophobic films. Monateshefte Fur Chemie 2001, 132, 31–41. [Google Scholar]
- Feng, L.; Li, S.; Li, Y.; Li, H.; Zhang, L.; Zhai, J.; Yanlin, S.; Liu, B.; Jiang, L.; Zhu, D. Super-hydrophobic surfaces: from natural to artificial. Adv. Mater. 2002, 14, 1857–1864. [Google Scholar]
- Chen, W.; Fadeev, A.Y.; Che Hsieh, M.; Oner, D.; Youngblood, J.; McCarthy, T. Ultrahydrophobic and ultralyophobic surfaces: Some comments and examples. Langmuir 1999, 15, 3395–3399. [Google Scholar]
- Barthlott, W.; Neinhuis, C. Purity of the sacred lotus, or escape from contamination in biological surfaces. Planta 1997, 202, 1–8. [Google Scholar]
- Nun, E.; Oles, M.; Schleich, B. Lotus-effect-surfaces. Macromol. Symp. 2002, 187, 677–682. [Google Scholar]
- Gould, P. Smart clean surfaces. Mater. Today 2003, 6, 44–48. [Google Scholar]
- Raghavanpillai, A.; Reinartz, S.; Hutchenson, K.W. Hydrophobic and oleophobic surface modification using fluorinated bis-urea and bis-amide gelators. J. Fluor. Chem. 2009, 130, 410–417. [Google Scholar]
- Schoonbeek, F.S.; Van Esch, J.H.; Hulst, R.; Kellogg, R.M.; Feringa, B.L. Geminal Bis-ureas as gelators for organic solvents: Gelation properties and structural studies in solution and in the gel state. Chem. Eur. J. 2000, 6, 2633–2643. [Google Scholar]
- Raghavanpillai, A.; Franco, V.A.; Meredith, W.E. Hydrophobic and oleophobic surface modification using gelling agents derived from amino acids. J. Fluor. Chem. 2012, 135, 187–194. [Google Scholar]
- Jouani, A.M.; Szonyi, F.; Cambon, A. Synthesis of 2-F-alkylethyl isocyanates. J. Fluor. Chem. 1992, 56, 85–92. [Google Scholar]
- Honda, K.; Morita, M.; Otsuka, H.; Takahara, A. Molecular aggregation structure and surface properties of poly(fluoroalkyl acrylate) thin films. Macromolecules 2005, 38, 5699–5705. [Google Scholar]
© 2012 by the authors; licensee MDPI, Basel, Switzerland. This article is an open-access article distributed under the terms and conditions of the Creative Commons Attribution license (http://creativecommons.org/licenses/by/3.0/).