Next Article in Journal
Instance-Level Weighted Contrast Learning for Text Classification
Next Article in Special Issue
A Comparative Study on Two Innovative Solutions for Non-Invasive Phosphorus Removal from Aquatic Ecosystems
Previous Article in Journal
Fluidity in the Phased Framework of Technology Acceptance: A Case Study to Understand (Older Adult) Participant Journeys Through Acceptance Phases with Mobile Telepresence Robots
Previous Article in Special Issue
Environmental Life Cycle Assessment of Class A Biosolids Production Using Conventional and Low-Cost, Low-Tech Processes at Small Water Resource Recovery Facilities
 
 
Font Type:
Arial Georgia Verdana
Font Size:
Aa Aa Aa
Line Spacing:
Column Width:
Background:
Article

Urban Wastewater Phytoremediation by Autochthonous Microalgae in Winter Season: Indoor and Outdoor Trials

1
Department of Environmental and Prevention Sciences, University of Ferrara, C.so Ercole I d’Este 32, 44121 Ferrara, Italy
2
HERA SpA—Direzione Acqua, Via Gramicia, 95, 44123 Ferrara, Italy
3
Terra&Acqua Tech Laboratory, Technopole of Ferrara University, Via Saragat, 13, 44122 Ferrara, Italy
*
Author to whom correspondence should be addressed.
Appl. Sci. 2025, 15(8), 4235; https://doi.org/10.3390/app15084235
Submission received: 13 March 2025 / Revised: 3 April 2025 / Accepted: 9 April 2025 / Published: 11 April 2025
(This article belongs to the Special Issue New Approaches to Water Treatment: Challenges and Trends)

Abstract

Microalgae are gaining increasing attention for wastewater (WW) depuration thanks to their ability to remove pollutants from WW. As environmental conditions change widely geographically and throughout the year, also reaching growth-limiting temperatures during the cold season, sites and seasons specific tests are needed to assess the actual implementation of microalgae phytoremediation. In this paper, two site-specific prototype-scale experiments were performed to test the ability of an autochthonous microalga to depurate urban WW efficiently during winter. Two setups were tested: one indoor and one outdoor. We evaluated dry biomass production, photosynthetic stress, and nitrogen (N) and phosphorus (P) removals from WW. In addition, Escherichia coli concentration was monitored on the effluent. Despite the limited growth in both conditions, N was largely removed from the medium, with the highest result recorded outdoors (almost 70%). No P removal was recorded, although P content in biomass increased both indoors and outdoors, meaning that multiple processes could occur at the same time. Moreover, a huge decrease in E. coli content was recorded in both conditions, suggesting potential for effluent disinfection.

1. Introduction

Water scarcity and water pollution are two of the major problems that humanity is going to face shortly [1]. Water is consumed mostly by agriculture, industry, and housing, which in turn release wastewater (WW) into the environment [2,3]. These effluents are generally rich in organic matter, nitrogen (N), and phosphorus (P), and their release into the environment can bring to loss in river quality, sediment contamination, and even eutrophication. Even if depuration is performed, WW treatment plants (WWTPs) are still considered a point source of pollution [4,5,6,7]. The most commonly used depuration process is called the activated sludge process (ASP), in which microorganisms degrade organic matter in an aerated bioreactor. In ASP, N is usually removed from WWs thanks to biological activities and alternating aerobic and anaerobic conditions. During the aerobic phase, ammonia is converted into nitrite and nitrate, which are then converted into molecular N2 during the anaerobic phase. Molecular N2 then leaves the medium, resulting in net nitrogen removal. Considering how important bioreactor aeration is for ASP, we should not be surprised that it can account for up to 70% of the total energy costs of the WWTP, also representing a major source of greenhouse gases [8]. As an alternative to the ASP, the anaerobic ammonium oxidation (Anammox) has been proposed [9]. In this process, ammonia and nitrite are converted into molecular nitrogen and nitrate simultaneously with denitrification under anaerobic conditions, thus reducing aeration costs. However, its applicability in full-scale WWTP is difficult because Anammox bacteria are easily susceptible to environmental conditions, such as low temperatures [9]. Moreover, sludge produced by both ASP and Anammox has a high water content (up to 98%), so other processes, e.g., thickening and de-watering, are needed [10,11]. P biological removal is also possible, but far more complex, and chemical methods are usually preferred [12]. Chemical methods usually require the addition of magnesium salts that react under an alkaline environment, which can lead to cost increases, higher maintenance, and difficulty in recovery [13]. On the other hand, P biological removal is only possible using specific polyphosphate accumulating organisms (PAOs) that accumulate P in aerobic conditions and release P in anaerobic conditions. By alternating these two phases, it should be possible to have a net P removal from the WW [14]. These processes usually produce nutrient-rich effluents that must be depurated [10,11,15,16]. Since some models suggest that municipal WW production will increase due to climate change, further research and improvement are needed [17].
As a green alternative or implementation to ASP, microalgae-based processes are gaining increasing attention for the N and P removal from WW [18] since microalgae can remove nutrients from the medium while producing nutrient-rich biomass [19,20,21]. Moreover, microalgae are photosynthesizing organisms that subtract CO2 from the environment to perform photosynthesis, releasing O2 that can be used by nitrifying bacteria to oxidize ammonia and organic matter [22]. Therefore, microalgae implementation in the ASP can both increment nutrient depletion and reduce CO2 emission while reducing aeration costs [23,24,25,26,27]. Moreover, microalgae can accumulate P, producing biomass with a high content of this nutrient that can be used, for example, as an agricultural fertilizer [28,29]. Moreover, the algal biomass resulting from WW depuration can also be used for biofuel production [30,31,32]. Considering that P removal from the effluent happens without the addition of other chemicals and that the algal biomass can be reused for other biotechnological applications, microalgae implementation in the WWTPs may help reduce maintenance costs [12,33,34]. It has also been shown that microalgae can remove pathogenic microorganisms, such as Escherichia coli, from WW contributing to effluent disinfection [35,36].
Different microalgal strains can have different responses to the environmental and culturing conditions, so it is crucial to choose the correct microalga or microalgal consortium, with some studies reporting better and more promising results using native strains from the WW [37,38,39,40]. Moreover, to properly implement microalgae inside ASP in a cost-effective way, the cultivation system and procedures must be chosen carefully to balance phytoremediation efficiency and energy consumption [18,30,41,42,43]. Open-pond systems, for example, have the advantage of low maintenance costs but they can occupy more land surface compared to other systems [18,30,44]. The same reactor can also be run in batch or continuous mode, increasing the possible combinations [42,45,46]. Lastly, to achieve better phytoremediation using microalgae, abiotic factors, e.g., light and temperature, should be monitored [37,47,48,49]. These factors can affect both microalgae growth and nutrient depletion and synergistic effects have been recorded, meaning that fine-tuning of environmental parameters is needed [50,51,52,53]. Unfortunately, these parameters are difficult to control when performing outdoor tests, meaning that seasonal variations in photoperiod and light quality, along with daily and seasonal temperature changes, are major challenges for large-scale applications. During winter, low temperatures can slow down microalgae metabolism, reducing biomass production and nutrient recovery [37,49,54,55]. For example, Larsdotter and colleagues, who monitored a greenhouse phytoremediation plant for a whole year, reported a net P increase in the effluent during winter and linked it to decaying biomass and low algal production [56]. Unfortunately, limited literature has been produced regarding prototype or large-scale applications of microalgae in ASP during the winter season, and environmental conditions drastically change due to geography, so site-specific tests should be performed [57,58,59]. Table 1 offers examples reported in the literature of different phytoremediation trials conducted in the winter season, highlighting the differences in microalgae species, cultivation systems and procedures, and geographical positions.
In this paper, we performed two prototype-scale phytoremediation tests, one outdoor and one indoor, as a follow-up study of that in [67]. Both tests were performed in open pond-like systems operated in batches during the winter season using the effluent of the sludge thickening process to navigate the possibility of the integration of a microalgae-based process in an ASP-based WWTP even during adverse environmental conditions.

2. Materials and Methods

2.1. Microalgae Cultivation

The microalgal strain employed in this study was isolated from secondarily treated municipal WW and described as Chlorella-like as reported in Baldisserotto et al. [67]. The microalgae were provided by Alga&Zyme Factory s.r.l. (Ferrara, Italy) and were maintained in bag cylindrical photobioreactors (22 °C, 90 μmolphotons m−2 s−1 PAR, 16–8-h light–dark photoperiod) in BG11 medium with N and P content modified to match the ammonium and the total P concentrations of the WW from which the algae were isolated: 380 mg/L for NH4+-N and 110 mg/L for PO43−-P. The final recipe was NH4Cl 1.45 g/L, K2HPO4 0.62 g/L, MgSO4 × 7H2O 0.075 g/L, CaCl2 × 2H2O 0.036 g/L, Na2CO3 0.02 g/L, EDTA-Na2 0.001 g/L, citric acid 0.006 g/L, ammonium ferric citrate 0.006 g/L, and BG-11 Trace Metals Solution (H3BO3 2.86 g/L, MnCl2 × 4H2O 1.81 g/L, ZnSO4 × 7H2O 0.222 g/L, NaMoO4 × 2H2O 0.39 g/L, CuSO4 × 5H2O 0.079 g/L, Co(NO3)2 × 6H2O 0.0494 g/L) 1 mL/L. The algae used for the inoculation were at a stationary growth phase with an OD750 = 1.604. Absorbance at 750 nm was measured with a Pharmacia Ultrospec 2000 UV-Vis spectrophotometer (1-nm bandwidth; Amersham Biosciences, Piscataway, NJ, USA).
The effluent of the thickening step of sludge treatment was collected in November 2021 from Hera SpA (Holding Energia Risorse Ambiente) WWTP located in Ferrara, Italy (44°51′49″ N, 11°37′47″ E). The fresh WW was composed of a solid residue precipitating to the bottom of the tank and an opaque supernatant (OD750 = 0.14). The WW was not mixed; only the supernatant was used as a culture medium for this study. The composition of the WW supernatant, determined using standard certified methods for water quality analyses, is shown in Table 2.
To test the ability of this microalga to remove nutrients and grow during winter, two different setups were designed (see below). Both experiments took place in December 2021 and lasted 20 days. Samples were collected on days 0, 1, 2, 3, 6, 7, 10, 14, 17, and 20 of both experiments.

2.2. Indoor Setup

A glass tank (55 × 55 × 10 cm) placed underneath a south-facing window was used for the indoor experiment. The tank received only natural light during the day, as no other illumination was used (sunrise at 7:30 UTC + 1, sunset at 16:30 UTC + 1, average PAR during daytime: 20 μmolphotons m−2 s−1). The average temperature in the room was 19 ± 2 °C. A 4 L amount of Chlorella-like culture, cultivated as above, and 16 L of WW were mixed to obtain a final volume of 20 L and a target OD750 of 0.3. In the following days, the culture was mixed manually before collecting the samples.

2.3. Outdoor Setup

A stainless-steel tank located at the Hera WWTP (Ferrara, Italy) was used for the outdoor experiment. The tank was positioned 1 m above ground level and was equipped with an adjustable cover to prevent contamination from the environment. Natural light was supplemented with white LED lamps (final mean PAR during daytime: 30 μmolphotons m−2 s−1, 16:8 h L:D). Data concerning average hourly air temperature 2 m above ground (°C), along with average, minimum and maximum daily temperature 2 m above ground (°C) for the control unit located in Malborghetto (Ferrara, Italy, 44°85′89.2″ N 11°65′62.5″ E) were downloaded from “dext3r”, a web app for the extraction of weather data from ARPAE-Emilia Romagna database (Agenzia Regionale per la Prevenzione, l’Ambiente e l’Energia of Emilia Romagna region, Italy). The control unit was chosen considering both geographical proximity to the WWTP and the completeness of the data recorded (https://simc.arpae.it/dext3r/, accessed on 5 June 2023) [80]. Trends during the 20-day experiment of the average, maximum, minimum, and midday daily temperature are depicted in Figure 1. An 85 L amount of Chlorella-like algae suspension, cultured as above, and 450 L of WW were mixed to obtain a final volume of 535 L and an OD750 of 0.3. In the following days, the culture was mixed manually before collecting the samples.

2.4. Growth Evaluations

Dry biomass was measured at each experimental time by filtering known aliquots of samples through pre-dried and pre-weighted glass fiber filters (Whatman GF/C; 1.2 μm pore size). Filters were then rinsed with 20 mL of distilled water, dried for 72 h at 60 °C, and weighed to evaluate the biomass yield of the cultures [32].

2.5. PSII Maximum Quantum Yield and Photosynthetic Pigments Analysis

The maximum PSII quantum yield was calculated as FV/FM ratio using a pulse amplitude-modulated fluorometer (Junior PAM, company, Heinz Waltz GmbH, Effeltrich, Germany). Samples were prepared following [81]. After 15 min of dark incubation, the basal fluorescence (F0) was determined; a saturating light impulse (0.5 s) was used to measure the maximum fluorescence (FM). Variable fluorescence (FV) was calculated as FV = FM − F0 [82].
For the extraction of photosynthetic pigments, cell samples were harvested by centrifugation (18,000× g, 10 min) and absolute methanol was used according to Baldisserotto et al. 2016 [81]. To avoid photo-degradation, extracts were manipulated under dim light. Absorbances were read at 666 nm, 653 nm, 470 nm, and 750 nm with the spectrophotometer described above, and chlorophyll a (Chl a), chlorophyll b (Chl b), and carotenoid (Car) concentrations were quantified as reported by Wellburn [83].

2.6. Morphological Aspects: Light and Electron Microscopy

The microalgae were observed with an Axiophot (Zeiss, Oberkochen, Germany) photo-microscope under conventional and UV light. For fluorescence examination, an HBO 100 W pressure mercury vapor lamp (filter set, BP 436/10 FT 460, LP470) was used. Alcian Blue staining was used to highlight the presence of acidic mucopolysaccharides, following [84] with some modification. A 20 μL amount of Alcian Blue (1% in 3% acetic acid) was added to an algal pellet obtained after the centrifugation of 0.5 mL of culture. The sample preparation continued with a 30 min incubation at room temperature, followed by two rinses with distilled water. Nile Red staining (NR; 9-diethylamina-5Hbenzo[α]phenoxazine-5-one, 0.5 mg dissolved in 100 mL acetone) (Sigma-Aldrich, Gallarate, Milan, Italy) was used to highlight the presence of intracellular lipid droplet, following [85].
On the last day of both experiments, cells were harvested through centrifugation, fixated with glutaraldehyde (3% v/v in phosphate buffer 0.1 M, pH 7.2; 3 h, 4 °C), and post-fixated with OsO4 (2% v/v in the same buffer; 1 h, RT) [67]. For TEM observations, cells were then dehydrated in acetone series and embedded in Durcupan ACM (Fluka, Sigma-Aldrich). Ultrathin sections were stained with lead citrate and uranyl acetate. Cells were then observed with a Zeiss EM910 (Electron Microscopy Center, University of Ferrara, Ferrara, Italy). For SEM observations, cells were dehydrated in graded alcohol series and dried through evaporation. A Q150RS (Quorum, Lewes, UK) sputter was used to coat the samples with gold. Cells were then observed with a Zeiss Evo 40 (Electron Microscopy Center, University of Ferrara, Ferrara, Italy) in high vacuum conditions.

2.7. Phytoremediation Analysis

Three aliquots of culture medium were collected from both cultures through centrifugation (4500× g, 10 min) for the quantification of nitrate (N-NO3), ammonium (N-NH4+), and phosphate (P-PO43−) using a flow-injection autoanalyzer (Flowsys, Systea SpA, Company, Roma, Italy). The detection limit for the nitrate and phosphate analyses was 0.02 mg L−1, while for the ammonium was 0.1 mg L−1. The same method was used to evaluate the percentage of N and P in the microalgal biomass. For this purpose, an appropriate amount of biomass was collected on days 0, 6, 14, and 20 of both experiments through centrifugation (4500× g, 10 min) and dried through evaporation. Then, at least 20 mg of dried biomass was extracted from each sample in 3 mL of selenous H2SO4 at 420 °C and analyzed as previously described. Given the large volumes required, only one replica was performed for each test.
The removal efficiency in percentage (RE, %) was calculated according to the following equation:
RE (%) = [(C0 − C1)/C0] × 100
where C0 and C1 are the nutrient concentrations after the algal inoculum (0) and one day after the inoculum, respectively [67].
To estimate the quantity of nitrogen that was removed from the medium and accumulated inside the microalgae biomass, firstly, the nitrogen content in biomass per liter of culture (NB, gN L−1) was calculated as follows:
NB = %N × DW
where %N is the percentage of N inside the biomass (gN in 100 gDW); DW is the dry weight (gDW L−1). Then, total N concentration in the medium at the beginning of the experiments (NT0) and the percentage of N removed from the medium and accumulated inside the biomass (NA) were calculated as follows:
NT = N-NH4+ + N-NO3
NA (%) = [(NB20 − NB0)/(NT0)] × 100
where NB20 and NB0 represent the nitrogen content in biomass at the end of the experiment and on the day of inoculum, respectively.
Finally, the nitrogen that was removed from the medium and was not accumulated inside the biomass, called volatilized nitrogen (NV), was calculated as follows:
NV (%) = [(NT0 − NT20)/(NT0)] × 100 − NA
where NT20 and NT0 are the sums of N-NH4+ and N-NO3 concentrations at end and at the beginning of the experiments, respectively.
For pH measurement, a Jenway mod. 3510 (Staorshire, Stone, UK) bench pH meter was employed.
After the inoculation, on the third and last days of the outdoor experiment and the last day of the indoor experiment, the culture media were analyzed to investigate the concentrations of E. coli, BOD5, COD, and TSS. The high volumes required for these analyses allowed them to be carried out for indoor cultivation only at the end of the experiment. Since the algal cells naturally deposited, as described in Section 3.1, leaving a clear supernatant, culture medium was collected before manual resuspension. Samples for the outdoor culture were collected after the inoculation of algae, on the third day and at the end of cultivation. For analyses of the samples gathered after the inoculation and on the third day, culture media were collected through centrifugation (2500× g, 10 min) to separate algal biomass from the medium. On the last day of the experiment, as algal biomass naturally deposited leaving a clear supernatant as described in Section 3.2, samples of culture media were collected before manual resuspension. Analyses were conducted as reported previously.

2.8. Statistical Analyses

Data were processed with Origin 9.9 software (OriginLab, Northampton, MA, USA). A parametric one-way analysis of variance (ANOVA) was used to verify the presence of significant changes (p ≤ 0.05) over time and compared to the initial values, followed by a Tukey test to find where the difference occurred. Data are expressed as means ± standard deviations.

3. Results

3.1. Indoor Setup

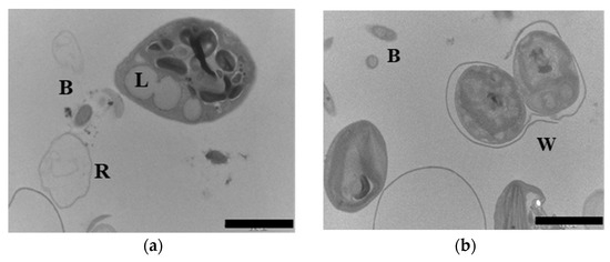
After the inoculation, the microalgae were suspended in the culture medium (Figure 2a). However, by day 14 the microalgae tended to form large aggregates (Figure 2b) that settle to the bottom of the pond, leading to the formation of a clear supernatant (OD750 = 0.03) within few minutes after manual mixing. High production of acidic mucopolysaccharides was recorded in the aggregates, as shown in Figure 2c. As shown by TEM and SEM images, other microorganisms were also included in the aggregates (Figure 3 and Figure 4).
Biomass concentration at the end of cultivation (0.129 gDW L−1) was significantly higher than the initial value (0.108 gDW L−1; Figure 5). Another significant variation registered over time was the decrease between days 10 and 14, with the dry biomass concentration recorded on day 14 being not significantly different from the initial one. Experimental error due to the elevated aggregation of the biomass recorded on day 14 can be taken into account for the low value recorded on that day. For a report of the ANOVA analysis see Table S1 in the Supplementary Materials.
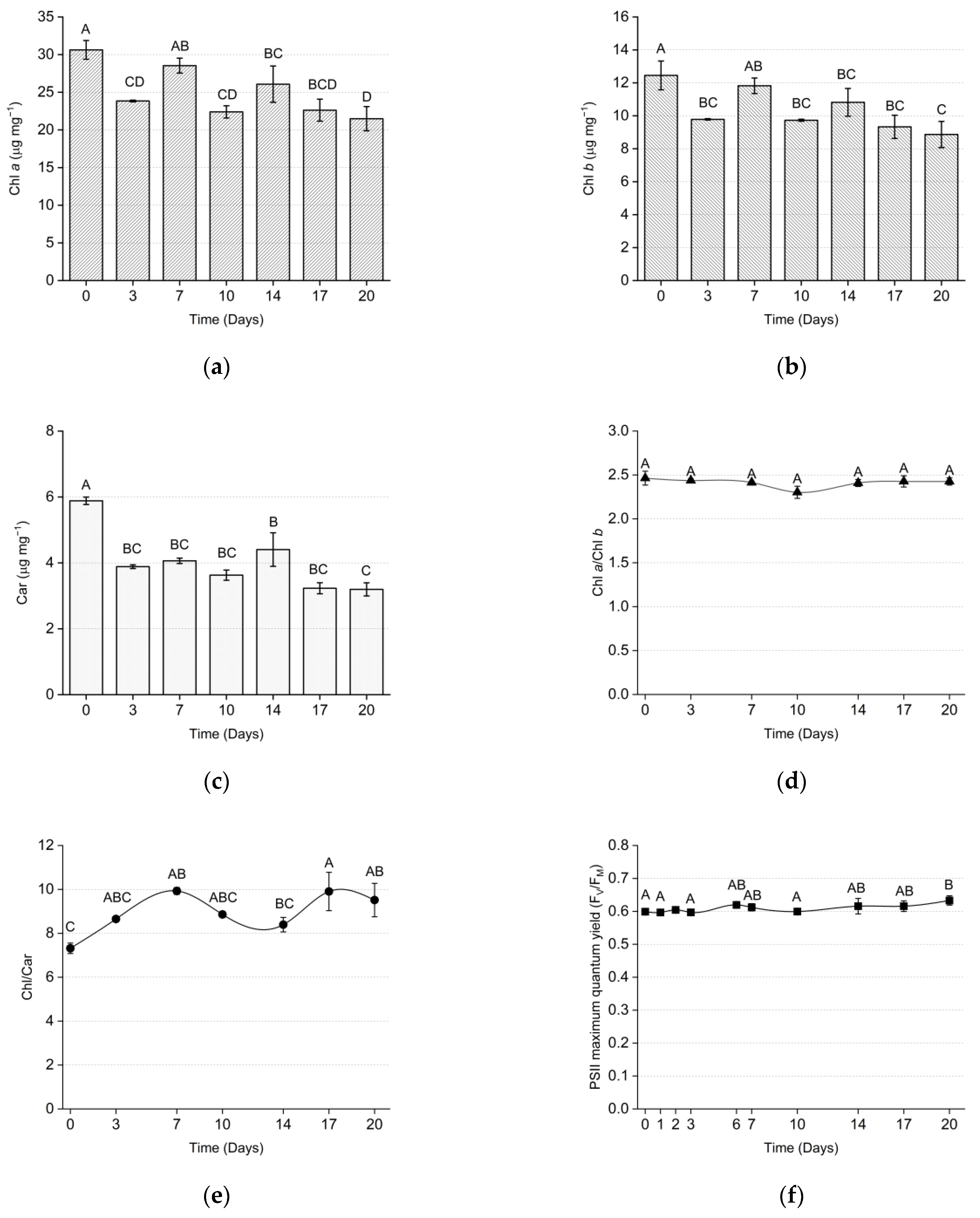
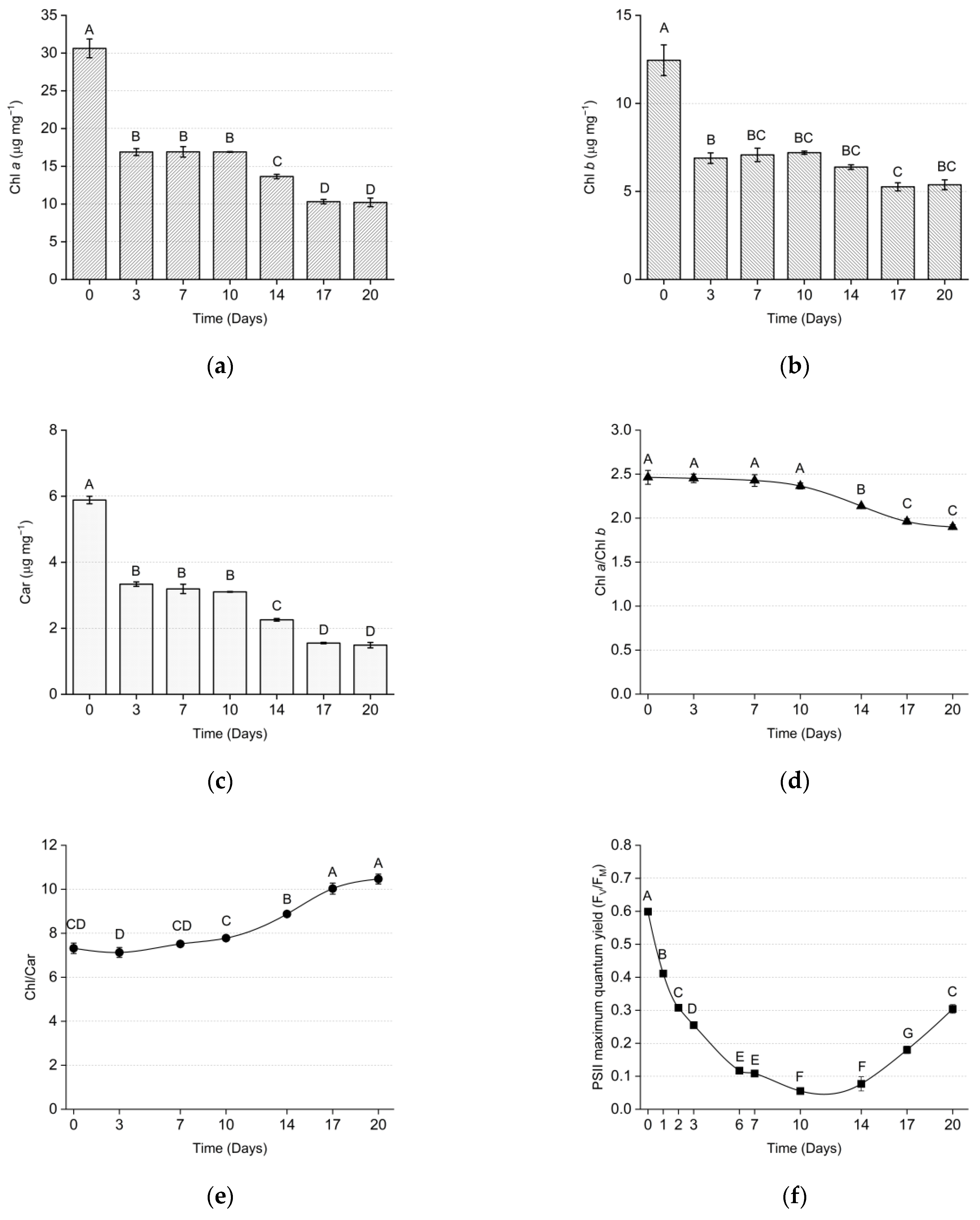
The concentration of all photosynthetic pigments decreased since the third day of the experiment, with no other significant variations over time, except for the increase recorded on day 7 for both Chl a and Chl b, with the concentration of both pigments not significantly different from that recorded at the beginning of the experiment (Figure 6a–c). The Chl/Car ratio fluctuated over time with values significantly higher than the initial one on days 7, 17, and 20. No significant changes were recorded in the Chl a/Chl b ratio (Figure 6d,e). Overall, the FV/FM ratio remained stable for the whole duration of the experiment, with a significant increase on the last day (Figure 6f). For a report of the ANOVA analyses, see Table S1 in the Supplementary Materials.
Regarding the concentrations of N and P in the medium, different trends were recorded: nitrate concentration significantly decreased since day 3, while ammonium concentration significantly decreased only after day 14 (Figure 7a,b). In contrast, phosphate concentration fluctuated. In fact, a significant decrease was recorded only on day 3. Then, the P concentration increased, reaching significant peaks on days 10 and 14. The concentration recorded at the end of the experiment was higher than the initial one (Figure 7c). For a report of the ANOVA analyses, see Table S1 in the Supplementary Materials. P concentration in biomass also changed over time, reaching a value of around 2% on day 10 and decreasing after that day. The percentage of N in biomass also fluctuated around values of 7% (Figure 7d). Considering the differences between the initial and the final values of nitrogen in the medium and taking into account the amount absorbed by the algae (about 1.3% of the N initial content), approximately 50% of the nitrogen was removed from the medium by day 20 (Figure 7e). During the 20 days of experiments, the pH of the medium decreased gradually, as shown in Figure 7f.
As reported in Table 3, along with a reduction in COD, BOD5, and total suspended solids, almost no residual E. coli was found at the end of the experiment.

3.2. Outdoor Setup

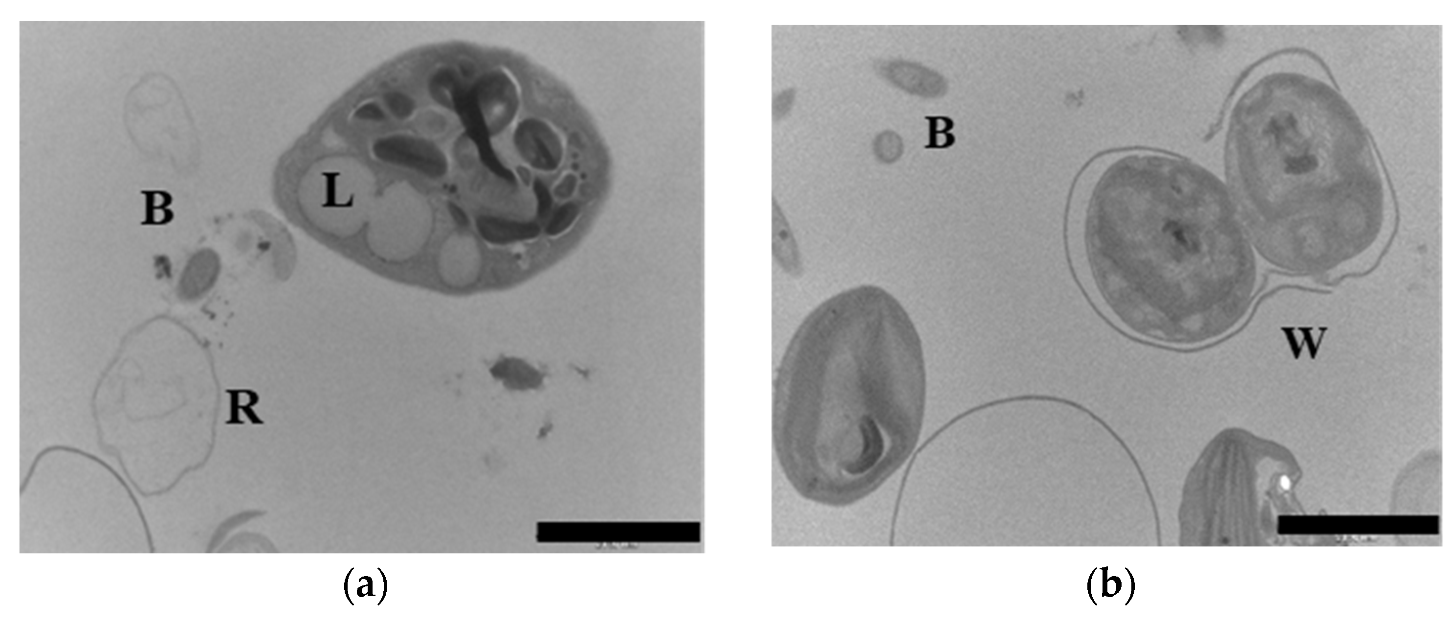
The microalgae in the outdoor setup did aggregate and settle like the indoor setup, but the culture stayed homogeneous for a few hours after manual mixing, with only a few larger aggregates that settled rapidly. Before manual resuspension, the supernatant appeared clear (OD750 = 0.03), while the culture remained opaque for a few hours after mixing (OD750 ≈ 0.30 every experimental day). As shown in Figure 8, chlorophyll autofluorescence changed, resulting in dimmer cells. Alcian Blue staining showed the presence of acidic mucopolysaccharide in the aggregates (Figure 8f). TEM observation showed the presence of bacteria and cell wall remnants in the culture medium. Both TEM observation (Figure 9b) and NR staining (Figure 8e) showed the presence of lipid droplets in some cells.
The concentration of dry biomass at the end of the experiment (0.099 gDW L−1) was not significantly different from the initial one (0.090 gDW L−1), but some fluctuations were recorded. In particular, the concentrations recorded on day 3 (0.100 gDW L−1) and day 17 (0.102 gDW L−1) were significantly higher than the initial value (Figure 10). For a report of the ANOVA analysis, see Table S2 in the Supplementary Materials.
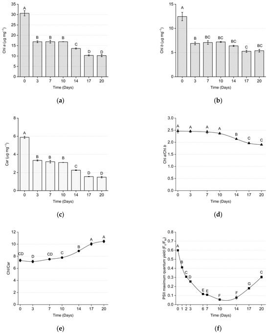
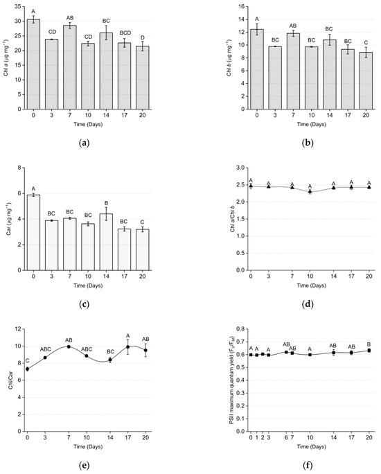
The concentration of photosynthetic pigments dropped since day 3. Two other significant decreases were recorded in Chl a and Car concentrations on days 14 and 17 compared with the concentrations recorded on the previous days (Figure 11a,c). The variations in pigment concentrations affected both the Chl a/Chl b and Chl/Car ratio, with a significant increase in the Chl a/Chl b ratio since day 14 and a significant drop in the Chl/Car ratio since day 17 (Figure 11d,e). The PSII maximum quantum yield decreased since the first day, reaching its lowest value on days 10–14. Interestingly, after these days the FV/FM value increased with significant changes every day (Figure 11f). For a report of the ANOVA analyses, see Table S2 in the Supplementary Materials.
The pH of the medium fluctuated over the 20 days, first with a decrease on the day after inoculation, a rapid increase on day 3, a second decrease between days 7 and 10, and a slight increase on the last days (Figure 12f). Ammonium concentration decreased significantly from day 1 and remained stable until the end of the experiment, apart from an increase registered on day 6, which was not significant compared to any other day (Figure 12b). Nitrate concentration decreased significantly since day 2, apart from a nonsignificant increase on day 3, and underwent three more significant drops on days 6, 10, and 14 (Figure 12a). For a report of the ANOVA analyses see Table S2 in the Supplementary Materials. P concentration in the medium fluctuated with the only significant difference recorded compared to the initial value being the increase registered on day 7 (Figure 12c). The percentage of P in the microalgal biomass increased over time, reaching the highest value (1.6%) at the end of the experiment. On the other hand, the concentration of N in the biomass dropped in the first days and then increased, reaching a value similar to the initial one at the end of the experiment (Figure 12d). Considering the differences between the initial and the final values of nitrogen in the medium and taking into account the amount absorbed by the algae (about 1.7% of the N initial content), approximately 68% of the nitrogen was removed from the medium by day 20 (Figure 12e).
With respect to the E. coli load in the medium, 3 days after the inoculum it dropped under the law’s recommended limit of 5000 CFU/100 mL, with an even lower concentration recorded the last day (72 CFU/100 mL) (Table 4). COD values remained stable for the duration of the experiment, while BOD5 values became lower than the detection limit by day 3 (Table 4). The total suspended solids value decreased after 3 days of cultivation and remained stable for the rest of the experiment (Table 4).

4. Discussion

4.1. Effects of the Environmental Parameters on Microalgae Growth and Metabolism

Winter conditions can be a challenge for WW phytoremediation. Several studies report that both exposure to simulated winter conditions [37] and outdoor cultivation during the cold season [56,86,87] result in lower growth rates and limited nutrient removal in microalgae [50,51]. Interestingly, in the outdoor setup, no significant biomass production was recorded at the end of the experiments, while in the indoor setup, the concentration of dry biomass at the end of cultivation was slightly but significantly higher than the initial value. These results suggest that other factors, but not temperature, influence microalgae growth. Indeed, in addition to the difference in average temperature in indoor and outdoor conditions, the indoor temperature remains stable over time while it is externally variable in outdoor conditions. Probably the reduced photoperiod (and low light availability in general) could be the main cause of the negative effect on microalgal biomass production in both experimentations [40,55,88,89,90]. Similar results have been reported by other researchers, highlighting that photoperiod is a crucial parameter to consider for microalgae cultivation during cold seasons [37,40]. However, it cannot be excluded that some differences in the experimental responses are due to the different types of the two photobioreactors (e.g., the cultivation volumes) [46].
Cold stress can reduce photosynthetic activity either by reducing the irradiance threshold for photoinhibition or by slowing down the repair of the photosynthetic apparatus [52,55,91]. In the outdoor experiment, severe photoinhibition occurred, as indicated by the decrease in PSII maximum quantum yield [92]. Interestingly, after 14 days the FV/FM value increased, although it remained below the optimal value of 0.6 [84], suggesting acclimation to the new growth conditions. Adaptation to a low-light environment is also suggested by the decrease in the Chl a/b ratio and the increase in the Chl/Car ratio at the end of the outdoor experiment [93,94]. It is also important to note that in the indoor experiment, the FV/FM remained stable for the entire experiment, probably due to the absence of such a severe temperature as in outdoor cultivation [52,55,95]. Adaptation to the new light environment may also be suggested in the indoor experiment, considering the variations in the Chl/Car ratio [93,94,96]. Considering the trends of pigment concentrations in both cultures, it is possible to assume that the initial decrease was due to adaptation to new culture conditions and reduced shading effect, while the concentrations at the end of the experiments were affected considerably by the photoperiod [97]. Different algal species accumulate more pigments with different combinations of irradiance and photoperiod, with some preferring high irradiance and reduced hours of light, while others prefer a lower irradiance and more hours of light [97,98,99]. However, it is also important to consider the negative effect that cold stress may have had on the pigment concentration of the microalgae cultivated outdoors [90]. Moreover, cold stress is also related to lipid accumulation in microalgae [100] and may explain the presence of lipid droplets in some cells cultivated outdoors, as shown by both NR staining and TEM images. Notably, a lipid-rich biomass can be used for other biotechnological applications, such as biofuel production [31,81,101].
It is important to note that the outdoor experiment was performed in a tank situated 1 m above ground level, whilst usually the ASP tanks are built into the ground. This construction difference can lead to significant temperature variations since soil temperature can be up to 10 °C away from air temperature [102]. For a real implementation in a WWTP, a ground-level tank can be constructed to reduce the impact of air temperature fluctuations [103,104].

4.2. Aggregate Production and Effluent Disinfection

The formation of large aggregates through the production of extracellular polymeric substances (EPS) may be another response to reduced photoperiod and low light [37,105,106]. Considering that unsterilized WW was used as a culture medium for both experiments, the role of bacteria in flocculation can be taken into account [107]. Vu and colleagues [108] demonstrated the formation of more compact aggregates when the self-flocculating microalga Ettlia sp. was grown in co-culture with bacteria thanks to the production of bacterial filamentous EPS. An even greater difference in flocculating activity has been reported by Lee and colleagues [109] when a strain of Chlorella vulgaris was grown in axenic rather than xenic culture, with a flocculation activity of 94% and 2%, respectively. The high flocculating activity and high sedimentation recorded in our experiment are worth noticing since they make it possible to separate and recover both algal biomass and treated wastewater easily and cost-effectively [110]. In large-scale applications, though, culture mixing cannot be performed manually so automated systems, e.g., aeration or paddle wheel, should be considered for culture mixing when biomass separation from the medium is not needed, increasing maintenance costs [45,46,111].
It is also been reported that pathogenic bacteria like E. coli can be trapped in the EPS matrix and thus removed from the treated WW, contributing to effluent disinfection [36]. This could explain the decrease in E. coli concentration reported in both indoor and outdoor setups, but other interactions, e.g., competition and metabolite production, cannot be excluded [36,112]. Moreover, cold stress can also affect bacteria growth and both EPS production and composition, explaining the smaller aggregates in the outdoor culture, compared to the indoor one [113,114]. The decrease in the E. coli concentration, along with the entrapment of other organisms in EPS, as evidenced by SEM images, are promising results that pave the way for the study of the disinfecting capabilities of this microalga.

4.3. Nutrient Removal

P concentrations in dry biomass suggest that this nutrient was retained or only partially accumulated by the microalgae in both experiments, but it does not explain the increase in P concentration in the medium recorded, in particular in the indoor trial, where the highest concentration on P in the biomass was registered the day with one of the highest P concentrations in the medium. Since P adsorption in the biomass is necessary for the removal of this nutrient, biomass production and P accumulation are needed, with studies highlighting the importance of irradiance and photoperiod in the P uptake [29,115,116,117]. An increase in the P concentration of the medium during phytoremediation tests in winter time has already been reported by other studies such as [56]. In their experiments, those authors reported that, in the winter season, an increase in P concentration in deeper and unlit tanks resulted and that this trend was linked to low biomass production and net phosphorous release from decaying biomass. However, no significant decrease in biomass concentration was recorded, suggesting that multiple phenomena, e.g., P release by bacteria [14], could be happening at the same time. In fact, under anaerobic conditions, PAOs break down polyphosphate and release orthophosphate, increasing its concentration in the medium [14]. During microalgae cultivation, low dissolved oxygen conditions could happen, and this could help explain the increase in P concentration in the medium even if no net release from the microalgae was recorded, so the contribution of the native bacteria cannot be excluded [49,118].
In both experiments, N was largely removed from the medium, with better results achieved in the outdoor setup compared to the indoor setup, approximately 70% and 50%, respectively. This could be explained by the higher amount of light hours in the outdoor experiments (16 h) compared to the indoor experiment (9 h) [50,88]. As demonstrated by Ferro and colleagues [37], different microalgae strains are affected differently by temperature and photoperiod. In their study, the authors reported that the growth of the employed strain of Scenedesmus obliquus was more affected by the temperature than the photoperiod but still achieved 29% N removal even though no growth was recorded. On the contrary, the growth of the strain of Chlorella vulgaris was more affected by reduced photoperiod, resulting in the absence of biomass production and limited N removal when cultured at 25 °C and 3:21 h L:D photoperiod [37]. As a result of microalgae and bacteria metabolism, nitrate concentration may rise, as previously reported in a study that used the same microalgae [67] or by other researchers [49]. Since both ammonia and nitrate are subject to limits imposed by Italian law [119], it is quite noticeable that, in the conditions proposed in this research, nitrate was largely depleted.
Since the N percentage in biomass did not change in both indoor and outdoor experiments and limited growth was recorded only in the indoor experiment, only a fraction of N was assimilated by the microalgae, suggesting that most were removed from the medium through different mechanisms. Ammonia stripping is one of the phenomena usually implied in N reduction in phytoremediation. Some researchers report up to 80% of total N-NH4+ removal thanks to this phenomenon [47]. Unfortunately, the environmental conditions required for ammonia stripping, e.g., pH values higher than 10 and high temperature, have never been met in either outdoor or indoor setups [120,121,122]. Considering that unsterilized WW was employed, the effect of microorganisms naturally present in the medium can be considered. Indeed, microbial activities such as nitrification and denitrification could also be responsible for N depletion [12]. Oxygen produced through photosynthesis can be used by nitrifying bacteria to oxidize ammonia and produce nitrite and nitrate, and it has been reported that under low O2 conditions, e.g., during the dark phase, denitrifying bacteria are not inhibited and can convert nitrate into molecular nitrogen [123]. Low dissolved oxygen is needed for denitrification to happen, but it has been reported that it could still occur at reduced rates even at medium dissolved oxygen concentrations [124]. As reported by Xu and colleagues [49], the oxygen produced by microalgae in an unaerated photobioreactor could be just enough to fulfill microalgal respiration and microbial nitrification, leading to an overall low dissolved oxygen concentration. Considering this, in these experiments, an alternative Anammox process, called algal anaerobic ammonium oxidation (Algammox), could be proposed. In this process, microalgae provide the oxygen for ammonia oxidation to nitrate, thus reducing aeration costs, and denitrification still happens [125]. At the end of both Anammox and Algammox reactions, N leaves the medium in molecular form [9]. Similar reactions could have taken place in both indoor and outdoor setups, explaining the overall reduction in N concentration in the absence of the conditions usually required for ammonia stripping [120,121,122,125].

5. Conclusions

The results obtained in this preliminary research, in particular N removal (about 50% in the indoor setup and about 70% in the outdoor setup) and the decrease in E. coli content in the medium (>99% in both setups), suggest that this alga can efficiently depurate and disinfect WWs in the winter season when suboptimal environmental conditions happen. Even if the results regarding P removal were unsatisfying, it is important to note that the increase in P concentration in the medium of both experiments was not directly ascribable to microalgae metabolism. Therefore, more research is needed to understand the interactions between the microalgae and the native microbial consortium. Moreover, fine-tuning of environmental parameters is needed, with particular regard to photoperiod, which proved to be crucial for biomass production. Nonetheless, even if no biomass production was recorded in the outdoor setup, the presence of lipids inside the cells paves the way for biomass reuse after effluent depuration, such as biofuel production.
Considering the results obtained, in particular, in the outdoor culture, semi-continuous cultivation may be considered for future tests, with the discharge of effluent after proper depuration has happened and the addition of fresh WW. Furthermore, more tests are needed to evaluate the potential use of this microalga for WW remediation and disinfection throughout the year and for a further scale-up of the system.

Supplementary Materials

The following supporting information can be downloaded at: https://www.mdpi.com/article/10.3390/app15084235/s1, Table S1: Results of the parametric one-way analyses of variance (ANOVA) analyses for the indoor experiments.; Table S2: Results of the parametric one-way analyses of variance (ANOVA) analyses for the outdoor experiments.

Author Contributions

Conceptualization, S.P., C.B., P.G. and G.Z.; methodology, P.G., S.D., E.B., L.F., S.P. and C.B.; validation, S.P., C.B. and S.D.; formal analysis, P.G., E.B. and L.F.; investigation, P.G., E.B., S.D. and G.Z.; writing—original draft preparation, P.G.; writing—review and editing, S.P., C.B. and P.G.; visualization, P.G.; supervision, S.P. and C.B.; project administration, S.P.; funding acquisition, S.P. All authors have read and agreed to the published version of the manuscript.

Funding

This research was funded by PR-FESR EMILIA ROMAGNA 2021-2027 Priorità 1 Obiettivo specifico 1.1 Azione 1.1.2 CUP F37G22000200003 ID 37894 PG/2023/310511.

Institutional Review Board Statement

Not applicable.

Informed Consent Statement

Not applicable.

Data Availability Statement

The datasets generated during and/or analyzed during the current study are available from the corresponding author upon reasonable request.

Acknowledgments

The authors thank the National Recovery and Resilience Plan (NRRP), Mission 04 Component 2 Investment 1.5—NextGenerationEU, Call for tender n. 3277 dated 30 December 2021 Award Number: 0001052 dated 23 June 2022.

Conflicts of Interest

Author Giulia Zanotti was employed by the company Hera S.p.A. The remaining authors declare that the research was conducted in the absence of any commercial or financial relationships that could be construed as a potential conflict of interest.

Abbreviations

The following abbreviations are used in this manuscript:
WWWastewater
NNitrogen
PPhosphate
WWTPWastewater treatment plants
ASPActive sludge process
PAOsPolyphosphate accumulating organisms

References

  1. He, C.; Liu, Z.; Wu, J.; Pan, X.; Fang, Z.; Li, J.; Bryan, B.A. Future Global Urban Water Scarcity and Potential Solutions. Nat. Commun. 2021, 12, 4667. [Google Scholar] [CrossRef] [PubMed]
  2. Awere, E.; Pennellini, S.; Bonoli, A. State of the Art on Water Consumption and Wastewater Reuse in Developing Countries. In Water-Energy-Nexus in the Ecological Transition: Natural-Based Solutions, Advanced Technologies and Best Practices for Environmental Sustainability; Naddeo, V., Choo, K.-H., Ksibi, M., Eds.; Advances in Science, Technology & Innovation; Springer International Publishing: Cham, Switzerland, 2022; pp. 303–306. ISBN 978-3-031-00808-5. [Google Scholar]
  3. Madias, K.; Szymkowiak, A. Residential Sustainable Water Usage and Water Management: Systematic Review and Future Research. Water 2022, 14, 1027. [Google Scholar] [CrossRef]
  4. Mascolo, G.; Murgolo, S.; Stefani, F.; Viganò, L. Target and Suspect Contaminants of Emerging Concern in the Po River Delta Lagoons. Estuar. Coast. Shelf Sci. 2019, 230, 106424. [Google Scholar] [CrossRef]
  5. Soana, E.; Gervasio, M.P.; Granata, T.; Colombo, D.; Castaldelli, G. Climate Change Impacts on Eutrophication in the Po River (Italy): Temperature-Mediated Reduction in Nitrogen Export but No Effect on Phosphorus. J. Environ. Sci. 2023, 143, 148–163. [Google Scholar] [CrossRef] [PubMed]
  6. Tong, Y.; Wang, X.; Elser, J.J. Unintended Nutrient Imbalance Induced by Wastewater Effluent Inputs to Receiving Water and Its Ecological Consequences. Front. Environ. Sci. Eng. 2022, 16, 149. [Google Scholar] [CrossRef]
  7. Viganò, L.; Guzzella, L.; Marziali, L.; Mascolo, G.; Bagnuolo, G.; Ciannarella, R.; Roscioli, C. The Last 50 Years of Organic Contamination of a Highly Anthropized Tributary of the Po River (Italy). J. Environ. Manag. 2023, 326, 116665. [Google Scholar] [CrossRef]
  8. Daverey, A.; Pandey, D.; Verma, P.; Verma, S.; Shah, V.; Dutta, K.; Arunachalam, K. Recent Advances in Energy Efficient Biological Treatment of Municipal Wastewater. Bioresour. Technol. Rep. 2019, 7, 100252. [Google Scholar] [CrossRef]
  9. Wu, P.; Chen, J.; Garlapati, V.K.; Zhang, X.; Wani Victor Jenario, F.; Li, X.; Liu, W.; Chen, C.; Aminabhavi, T.M.; Zhang, X. Novel Insights into Anammox-Based Processes: A Critical Review. Chem. Eng. J. 2022, 444, 136534. [Google Scholar] [CrossRef]
  10. Roychoudhury, A.; Das, N. Sewage Sludge Treatment and Involvement of Microbes. In Sustainable Management and Utilization of Sewage Sludge; Rajput, V.D., Yadav, A.N., Jatav, H.S., Singh, S.K., Minkina, T., Eds.; Springer International Publishing: Cham, Switzerland, 2022; pp. 165–181. ISBN 978-3-030-85226-9. [Google Scholar]
  11. Radetic, B. Sludge Treatment Technologies and Systems, an Introduction. In Handbook of Water and Used Water Purification; Lahnsteiner, J., Ed.; Springer International Publishing: Cham, Switzerland, 2024; pp. 689–713. ISBN 978-3-319-78000-9. [Google Scholar]
  12. Di Capua, F.; Iannacone, F.; Sabba, F.; Esposito, G. Simultaneous Nitrification–Denitrification in Biofilm Systems for Wastewater Treatment: Key Factors, Potential Routes, and Engineered Applications. Bioresour. Technol. 2022, 361, 127702. [Google Scholar] [CrossRef]
  13. Lin, H.; Wang, Y.; Dong, Y. A Review of Methods, Influencing Factors and Mechanisms for Phosphorus Recovery from Sewage and Sludge from Municipal Wastewater Treatment Plants. J. Environ. Chem. Eng. 2024, 12, 111657. [Google Scholar] [CrossRef]
  14. Wang, J.; Lei, Z.; Tian, C.; Liu, S.; Wang, Q.; Shimizu, K.; Zhang, Z.; Adachi, Y.; Lee, D.-J. Ionic Response of Algal-Bacterial Granular Sludge System during Biological Phosphorus Removal from Wastewater. Chemosphere 2021, 264, 128534. [Google Scholar] [CrossRef] [PubMed]
  15. Romero-Güiza, M.S.; Flotats, X.; Asiain-Mira, R.; Palatsi, J. Enhancement of Sewage Sludge Thickening and Energy Self-Sufficiency with Advanced Process Control Tools in a Full-Scale Wastewater Treatment Plant. Water Res. 2022, 222, 118924. [Google Scholar] [CrossRef] [PubMed]
  16. Senfter, T.; Fritsch, L.; Berger, M.; Kofler, T.; Mayerl, C.; Pillei, M.; Kraxner, M. Sludge Thickening in a Wastewater Treatment Plant Using a Modified Hydrocyclone. Carbon Resour. Convers. 2021, 4, 132–141. [Google Scholar] [CrossRef]
  17. Shakeri, H.; Motiee, H.; McBean, E. Forecasting Impacts of Climate Change on Changes of Municipal Wastewater Production in Wastewater Reuse Projects. J. Clean. Prod. 2021, 329, 129790. [Google Scholar] [CrossRef]
  18. Geremia, E.; Ripa, M.; Catone, C.M.; Ulgiati, S. A Review about Microalgae Wastewater Treatment for Bioremediation and Biomass Production—A New Challenge for Europe. Environments 2021, 8, 136. [Google Scholar] [CrossRef]
  19. de Jesus Raposo, M.F.; de Morais, R.M.S.C.; de Morais, A.M.M.B. Health Applications of Bioactive Compounds from Marine Microalgae. Life Sci. 2013, 93, 479–486. [Google Scholar] [CrossRef]
  20. Vázquez-Romero, B.; Perales, J.A.; Pereira, H.; Barbosa, M.; Ruiz, J. Techno-Economic Assessment of Microalgae Production, Harvesting and Drying for Food, Feed, Cosmetics, and Agriculture. Sci. Total Environ. 2022, 837, 155742. [Google Scholar] [CrossRef] [PubMed]
  21. Zhou, W.; Li, Y.; Gao, Y.; Zhao, H. Nutrients Removal and Recovery from Saline Wastewater by Spirulina Platensis. Bioresour. Technol. 2017, 245, 10–17. [Google Scholar] [CrossRef]
  22. Morillas-España, A.; Lafarga, T.; Sánchez-Zurano, A.; Acién-Fernández, F.G.; González-López, C. Microalgae Based Wastewater Treatment Coupled to the Production of High Value Agricultural Products: Current Needs and Challenges. Chemosphere 2022, 291, 132968. [Google Scholar] [CrossRef]
  23. Kumar, A.; Bera, S. Revisiting Nitrogen Utilization in Algae: A Review on the Process of Regulation and Assimilation. Bioresour. Technol. Rep. 2020, 12, 100584. [Google Scholar] [CrossRef]
  24. Qiao, S.; Hou, C.; Wang, X.; Zhou, J. Minimizing Greenhouse Gas Emission from Wastewater Treatment Process by Integrating Activated Sludge and Microalgae Processes. Sci. Total Environ. 2020, 732, 139032. [Google Scholar] [CrossRef] [PubMed]
  25. Shahid, A.; Malik, S.; Zhu, H.; Xu, J.; Nawaz, M.Z.; Nawaz, S.; Alam, M.A.; Mehmood, M.A. Cultivating Microalgae in Wastewater for Biomass Production, Pollutant Removal, and Atmospheric Carbon Mitigation; a Review. Sci. Total Environ. 2020, 704, 135303. [Google Scholar] [CrossRef]
  26. Lee, Y.-J.; Lei, Z. Wastewater Treatment Using Microalgal-Bacterial Aggregate Process at Zero-Aeration Scenario: Most Recent Research Focuses and Perspectives. Bioresour. Technol. Rep. 2022, 17, 100943. [Google Scholar] [CrossRef]
  27. Razzak, S.A. Recent Advances in Sustainable Biological Nutrient Removal from Municipal Wastewater. Clean. Water 2024, 2, 100047. [Google Scholar] [CrossRef]
  28. Alvarez, A.L.; Weyers, S.L.; Goemann, H.M.; Peyton, B.M.; Gardner, R.D. Microalgae, Soil and Plants: A Critical Review of Microalgae as Renewable Resources for Agriculture. Algal Res. 2021, 54, 102200. [Google Scholar] [CrossRef]
  29. Solovchenko, A.E.; Ismagulova, T.T.; Lukyanov, A.A.; Vasilieva, S.G.; Konyukhov, I.V.; Pogosyan, S.I.; Lobakova, E.S.; Gorelova, O.A. Luxury Phosphorus Uptake in Microalgae. J. Appl. Phycol. 2019, 31, 2755–2770. [Google Scholar] [CrossRef]
  30. Mehariya, S.; Goswami, R.K.; Verma, P.; Lavecchia, R.; Zuorro, A. Integrated Approach for Wastewater Treatment and Biofuel Production in Microalgae Biorefineries. Energies 2021, 14, 2282. [Google Scholar] [CrossRef]
  31. Alishah Aratboni, H.; Rafiei, N.; Garcia-Granados, R.; Alemzadeh, A.; Morones-Ramírez, J.R. Biomass and Lipid Induction Strategies in Microalgae for Biofuel Production and Other Applications. Microb. Cell Factories 2019, 18, 178. [Google Scholar] [CrossRef]
  32. Popovich, C.A.; Damiani, C.; Constenla, D.; Martínez, A.M.; Freije, H.; Giovanardi, M.; Pancaldi, S.; Leonardi, P.I. Neochloris oleoabundans Grown in Enriched Natural Seawater for Biodiesel Feedstock: Evaluation of Its Growth and Biochemical Composition. Bioresour. Technol. 2012, 114, 287–293. [Google Scholar] [CrossRef]
  33. Kaloudas, D.; Pavlova, N.; Penchovsky, R. Phycoremediation of Wastewater by Microalgae: A Review. Environ. Chem. Lett. 2021, 19, 2905–2920. [Google Scholar] [CrossRef]
  34. Ethiraj, S.; Samuel, M.S. A Comprehensive Review of the Challenges and Opportunities in Microalgae-Based Wastewater Treatment for Eliminating Organic, Inorganic, and Emerging Pollutants. Biocatal. Agric. Biotechnol. 2024, 60, 103316. [Google Scholar] [CrossRef]
  35. Amaro, H.M.; Salgado, E.M.; Nunes, O.C.; Pires, J.C.M.; Esteves, A.F. Microalgae Systems—Environmental Agents for Wastewater Treatment and Further Potential Biomass Valorisation. J. Environ. Manag. 2023, 337, 117678. [Google Scholar] [CrossRef]
  36. Bhatt, A.; Arora, P.; Prajapati, S.K. Chlorella Pyrenoidosa-Mediated Removal of Pathogenic Bacteria from Municipal Wastewater—Multivariate Process Optimization and Application in the Real Sewage. J. Environ. Chem. Eng. 2023, 11, 109494. [Google Scholar] [CrossRef]
  37. Ferro, L.; Gorzsás, A.; Gentili, F.G.; Funk, C. Subarctic Microalgal Strains Treat Wastewater and Produce Biomass at Low Temperature and Short Photoperiod. Algal Res. 2018, 35, 160–167. [Google Scholar] [CrossRef]
  38. Lee, J.-C.; Joo, J.-H.; Chun, B.H.; Moon, K.; Song, S.H.; Kim, Y.J.; Lee, S.M.; Lee, A.H. Isolation and Screening of Indigenous Microalgae Species for Domestic and Livestock Wastewater Treatment, Biodiesel Production, and Carbon Sequestration. J. Environ. Manag. 2022, 318, 115648. [Google Scholar] [CrossRef]
  39. Aketo, T.; Hoshikawa, Y.; Nojima, D.; Yabu, Y.; Maeda, Y.; Yoshino, T.; Takano, H.; Tanaka, T. Selection and Characterization of Microalgae with Potential for Nutrient Removal from Municipal Wastewater and Simultaneous Lipid Production. J. Biosci. Bioeng. 2020, 129, 565–572. [Google Scholar] [CrossRef] [PubMed]
  40. Afonso, V.; Borges, R.; Rodrigues, B.; Barros, R.; João Bebianno, M.; Raposo, S. Are Native Microalgae Consortia Able to Remove Microplastics from Wastewater Effluents? Environ. Pollut. 2024, 349, 123931. [Google Scholar] [CrossRef]
  41. Nishshanka, G.K.S.H.; Thevarajah, B.; Nimarshana, P.H.V.; Prajapati, S.K.; Ariyadasa, T.U. Real-Time Integration of Microalgae-Based Bioremediation in Conventional Wastewater Treatment Plants: Current Status and Prospects. J. Water Process Eng. 2023, 56, 104248. [Google Scholar] [CrossRef]
  42. Pacheco, M.M.; Hoeltz, M.; Moraes, M.S.; Schneider, R.C. Microalgae: Cultivation Techniques and Wastewater Phycoremediation. J. Environ. Sci. Health Part A 2015, 50, 585–601. [Google Scholar]
  43. Bohutskyi, P.; Liu, K.; Nasr, L.K.; Byers, N.; Rosenberg, J.N.; Oyler, G.A.; Betenbaugh, M.J.; Bouwer, E.J. Bioprospecting of Microalgae for Integrated Biomass Production and Phytoremediation of Unsterilized Wastewater and Anaerobic Digestion Centrate. Appl. Microbiol. Biotechnol. 2015, 99, 6139–6154. [Google Scholar] [CrossRef]
  44. Costa, J.A.V.; Freitas, B.C.B.; Santos, T.D.; Mitchell, B.G.; Morais, M.G. Chapter 9—Open Pond Systems for Microalgal Culture. In Biofuels from Algae, 2nd ed.; Pandey, A., Chang, J.-S., Soccol, C.R., Lee, D.-J., Chisti, Y., Eds.; Biomass, Biofuels, Biochemicals; Elsevier: Amsterdam, The Netherlands, 2019; pp. 199–223. ISBN 978-0-444-64192-2. [Google Scholar]
  45. Zhuang, L.-L.; Yang, P.; Liang, S.; Yu, T.; Liu, C.; Zhao, T.; Tan, G.; Niu, Y.; Zhang, J. Comparison of Microalgae Cultivation Modes for Advanced Wastewater Purification and Pollutant-Resource Conversion: A Pilot Study. J. Water Process Eng. 2023, 56, 104374. [Google Scholar] [CrossRef]
  46. Novoveská, L.; Nielsen, S.L.; Eroldoğan, O.T.; Haznedaroglu, B.Z.; Rinkevich, B.; Fazi, S.; Robbens, J.; Vasquez, M.; Einarsson, H. Overview and Challenges of Large-Scale Cultivation of Photosynthetic Microalgae and Cyanobacteria. Mar. Drugs 2023, 21, 445. [Google Scholar] [CrossRef]
  47. Iasimone, F.; Panico, A.; De Felice, V.; Fantasma, F.; Iorizzi, M.; Pirozzi, F. Effect of Light Intensity and Nutrients Supply on Microalgae Cultivated in Urban Wastewater: Biomass Production, Lipids Accumulation and Settleability Characteristics. J. Environ. Manag. 2018, 223, 1078–1085. [Google Scholar] [CrossRef] [PubMed]
  48. Lee, K.; Lee, C.-G. Effect of Light/Dark Cycles on Wastewater Treatments by Microalgae. Biotechnol. Bioprocess Eng. 2001, 6, 194–199. [Google Scholar] [CrossRef]
  49. Xu, K.; Zou, X.; Xue, Y.; Qu, Y.; Li, Y. The Impact of Seasonal Variations about Temperature and Photoperiod on the Treatment of Municipal Wastewater by Algae-Bacteria System in Lab-Scale. Algal Res. 2021, 54, 102175. [Google Scholar] [CrossRef]
  50. Delgadillo-Mirquez, L.; Lopes, F.; Taidi, B.; Pareau, D. Nitrogen and Phosphate Removal from Wastewater with a Mixed Microalgae and Bacteria Culture. Biotechnol. Rep. 2016, 11, 18–26. [Google Scholar] [CrossRef]
  51. Lee, C.S.; Lee, S.-A.; Ko, S.-R.; Oh, H.-M.; Ahn, C.-Y. Effects of Photoperiod on Nutrient Removal, Biomass Production, and Algal-Bacterial Population Dynamics in Lab-Scale Photobioreactors Treating Municipal Wastewater. Water Res. 2015, 68, 680–691. [Google Scholar] [CrossRef]
  52. Murata, N.; Takahashi, S.; Nishiyama, Y.; Allakhverdiev, S.I. Photoinhibition of Photosystem II under Environmental Stress. Biochim. Biophys. Acta BBA Bioenerg. 2007, 1767, 414–421. [Google Scholar] [CrossRef]
  53. Plöhn, M.; Spain, O.; Sirin, S.; Silva, M.; Escudero-Oñate, C.; Ferrando-Climent, L.; Allahverdiyeva, Y.; Funk, C. Wastewater Treatment by Microalgae. Physiol. Plant. 2021, 173, 568–578. [Google Scholar] [CrossRef]
  54. Ferro, L.; Hu, Y.O.O.; Gentili, F.G.; Andersson, A.F.; Funk, C. DNA Metabarcoding Reveals Microbial Community Dynamics in a Microalgae-Based Municipal Wastewater Treatment Open Photobioreactor. Algal Res. 2020, 51, 102043. [Google Scholar] [CrossRef]
  55. Valledor, L.; Furuhashi, T.; Hanak, A.-M.; Weckwerth, W. Systemic Cold Stress Adaptation of Chlamydomonas reinhardtii. Mol. Cell. Proteom. 2013, 12, 2032–2047. [Google Scholar] [CrossRef]
  56. Larsdotter, K.; la Cour Jansen, J.; Dalhammar, G. Phosphorus Removal from Wastewater by Microalgae in Sweden—A Year-round Perspective. Environ. Technol. 2010, 31, 117–123. [Google Scholar] [CrossRef] [PubMed]
  57. AlMomani, F.; Örmeci, B. Assessment of Algae-Based Wastewater Treatment in Hot Climate Region: Treatment Performance and Kinetics. Process Saf. Environ. Prot. 2020, 141, 140–149. [Google Scholar] [CrossRef]
  58. Cheregi, O.; Ekendahl, S.; Engelbrektsson, J.; Strömberg, N.; Godhe, A.; Spetea, C. Microalgae Biotechnology in Nordic Countries—The Potential of Local Strains. Physiol. Plant. 2019, 166, 438–450. [Google Scholar] [CrossRef] [PubMed]
  59. Wan Mahari, W.A.; Wan Razali, W.A.; Manan, H.; Hersi, M.A.; Ishak, S.D.; Cheah, W.; Chan, D.J.C.; Sonne, C.; Show, P.L.; Lam, S.S. Recent Advances on Microalgae Cultivation for Simultaneous Biomass Production and Removal of Wastewater Pollutants to Achieve Circular Economy. Bioresour. Technol. 2022, 364, 128085. [Google Scholar] [CrossRef]
  60. Arbib, Z.; Ruiz, J.; Álvarez-Díaz, P.; Garrido-Pérez, C.; Barragan, J.; Perales, J.A. Long Term Outdoor Operation of a Tubular Airlift Pilot Photobioreactor and a High Rate Algal Pond as Tertiary Treatment of Urban Wastewater. Ecol. Eng. 2013, 52, 143–153. [Google Scholar] [CrossRef]
  61. Ayre, J.M.; Moheimani, N.R.; Borowitzka, M.A. Growth of Microalgae on Undiluted Anaerobic Digestate of Piggery Effluent with High Ammonium Concentrations. Algal Res. 2017, 24, 218–226. [Google Scholar] [CrossRef]
  62. Díez-Montero, R.; Belohlav, V.; Ortiz, A.; Uggetti, E.; García-Galán, M.J.; García, J. Evaluation of Daily and Seasonal Variations in a Semi-Closed Photobioreactor for Microalgae-Based Bioremediation of Agricultural Runoff at Full-Scale. Algal Res. 2020, 47, 101859. [Google Scholar] [CrossRef]
  63. Shayesteh, H.; Vadiveloo, A.; Bahri, P.A.; Moheimani, N.R. Long Term Outdoor Microalgal Phycoremediation of Anaerobically Digested Abattoir Effluent. J. Environ. Manag. 2022, 323, 116322. [Google Scholar] [CrossRef]
  64. Posadas, E.; del Mar Morales, M.; Gomez, C.; Acién, F.G.; Muñoz, R. Influence of pH and CO2 Source on the Performance of Microalgae-Based Secondary Domestic Wastewater Treatment in Outdoors Pilot Raceways. Chem. Eng. J. 2015, 265, 239–248. [Google Scholar] [CrossRef]
  65. Tan, X.-B.; Yang, L.-B.; Zhang, Y.-L.; Zhao, F.-C.; Chu, H.-Q.; Guo, J. Chlorella pyrenoidosa Cultivation in Outdoors Using the Diluted Anaerobically Digested Activated Sludge. Bioresour. Technol. 2015, 198, 340–350. [Google Scholar] [CrossRef] [PubMed]
  66. Das, P.; Quadir, M.A.; Thaher, M.I.; Alghasal, G.S.H.S.; Aljabri, H.M.S.J. Microalgal Nutrients Recycling from the Primary Effluent of Municipal Wastewater and Use of the Produced Biomass as Bio-Fertilizer. Int. J. Environ. Sci. Technol. 2019, 16, 3355–3364. [Google Scholar] [CrossRef]
  67. Baldisserotto, C.; Demaria, S.; Accoto, O.; Marchesini, R.; Zanella, M.; Benetti, L.; Avolio, F.; Maglie, M.; Ferroni, L.; Pancaldi, S. Removal of Nitrogen and Phosphorus from Thickening Effluent of an Urban Wastewater Treatment Plant by an Isolated Green Microalga. Plants 2020, 9, 1802. [Google Scholar] [CrossRef]
  68. UNI EN 12260:2004; Water Quality—Determination of Nitrogen—Determination of Bound Nitrogen (TNb) After Oxidation to Nitrogen Oxides. European Standard: Rome, Italy, 2004.
  69. APAT CNR IRSA 4030; Determination of Ammonium—Indophenol Method. APAT-IRSA/CNR: Rome, Italy, 2003.
  70. APAT CNR IRSA 4020; Determination of Inorganic Anions by Ionic Chromatography. APAT-IRSA/CNR: Rome, Italy, 2003.
  71. APAT CNR IRSA 4050; Nitrite. APAT-IRSA/CNR: Rome, Italy, 2003.
  72. UNI EN 17294-2:2016; Water Quality—Application of Inductively Coupled Plasma Mass Spectrometry (ICP-MS). European Standard: Rome, Italy, 2016.
  73. ISO 15587-2:2002; Water Quality—Digestion for the Determination of Selected Elements in Water. ISO: Geneva, Switzerland, 2002.
  74. COD: ISO 15705:2002; Water Quality—Determination of the Chemical Oxygen Demand Index (ST-COD)—Small-Scale Sealed-Tube Method. European Standard: Rome, Italy, 2016.
  75. BOD: 5210; Biochemical Oxygen Demand (BOD); BOD 5-Day Test. Standard Methods for the Examination of Water and Wastewater. Standard Methods Committee (SMC): Wichita Falls, TX, USA, 2017.
  76. APAT CNR IRSA 2090 B; Total Suspended Solids. APAT-IRSA/CNR: Rome, Italy, 2003.
  77. APAT CNR IRSA 3150 C; Spectrophotometric Detection Using Diphenylcarbazide. APAT-IRSA/CNR: Rome, Italy, 2003.
  78. ISO 1187-2:2002; Plastics—Compression Moulding of Test Specimens of Thermoplastic Materials. ISO: Geneva, Switzerland, 2002.
  79. UNI EN ISO 9308-1:2017; Water Quality—Enumeration of Escherichia coli and Coliform bacteria—Part 1: Membrane Filtration Method for Waters with Low Bacterial Background Flora. European Standard: Rome, Italy, 2017.
  80. Arpae Emilia-Romagna Dext3r. Available online: https://simc.arpae.it/dext3r/ (accessed on 5 June 2023).
  81. Baldisserotto, C.; Popovich, C.; Giovanardi, M.; Sabia, A.; Ferroni, L.; Constenla, D.; Leonardi, P.; Pancaldi, S. Photosynthetic Aspects and Lipid Profiles in the Mixotrophic Alga Neochloris oleoabundans as Useful Parameters for Biodiesel Production. Algal Res. 2016, 16, 255–265. [Google Scholar] [CrossRef]
  82. Kalaji, H.M.; Schansker, G.; Ladle, R.J.; Goltsev, V.; Bosa, K.; Allakhverdiev, S.I.; Brestic, M.; Bussotti, F.; Calatayud, A.; Dąbrowski, P.; et al. Frequently Asked Questions about in Vivo Chlorophyll Fluorescence: Practical Issues. Photosynth. Res. 2014, 122, 121–158. [Google Scholar] [CrossRef] [PubMed]
  83. Wellburn, A.R. The Spectral Determination of Chlorophylls a and b, as Well as Total Carotenoids, Using Various Solvents with Spectrophotometers of Different Resolution. J. Plant Physiol. 1994, 144, 307–313. [Google Scholar] [CrossRef]
  84. Maglie, M.; Baldisserotto, C.; Guerrini, A.; Sabia, A.; Ferroni, L.; Pancaldi, S. A Co-Cultivation Process of Nannochloropsis Oculata and Tisochrysis Lutea Induces Morpho-Physiological and Biochemical Variations Potentially Useful for Biotechnological Purposes. J. Appl. Phycol. 2021, 33, 2817–2832. [Google Scholar] [CrossRef]
  85. Giovanardi, M.; Ferroni, L.; Baldisserotto, C.; Tedeschi, P.; Maietti, A.; Pantaleoni, L.; Pancaldi, S. Morphophysiological Analyses of Neochloris oleoabundans (Chlorophyta) Grown Mixotrophically in a Carbon-Rich Waste Product. Protoplasma 2013, 250, 161–174. [Google Scholar] [CrossRef]
  86. Rossi, S.; Mantovani, M.; Marazzi, F.; Bellucci, M.; Casagli, F.; Mezzanotte, V.; Ficara, E. Microalgal Cultivation on Digestate: Process Efficiency and Economics. Chem. Eng. J. 2023, 460, 141753. [Google Scholar] [CrossRef]
  87. Sutherland, D.L.; Heubeck, S.; Park, J.; Turnbull, M.H.; Craggs, R.J. Seasonal Performance of a Full-Scale Wastewater Treatment Enhanced Pond System. Water Res. 2018, 136, 150–159. [Google Scholar] [CrossRef]
  88. Binnal, P.; Babu, P.N. Optimization of Environmental Factors Affecting Tertiary Treatment of Municipal Wastewater by Chlorella Protothecoides in a Lab Scale Photobioreactor. J. Water Process Eng. 2017, 17, 290–298. [Google Scholar] [CrossRef]
  89. Manjre, S.; Paul, K.; Patil, S.; Pai, P.; Banerjee, A.; Sarkar, P.; Teredesai, A.; Shukla, M.R.; Dasgupta, S. Evaluating the Effect of Seasonal Conditions on Metabolism and Photosynthetic Performance of Picochlorum sp. and Its Influence on Biomass Productivity. Bioresour. Technol. Rep. 2022, 18, 101029. [Google Scholar] [CrossRef]
  90. Potijun, S.; Yaisamlee, C.; Sirikhachornkit, A. Pigment Production under Cold Stress in the Green Microalga Chlamydomonas Reinhardtii. Agriculture 2021, 11, 564. [Google Scholar] [CrossRef]
  91. Melis, A. Photosystem-II Damage and Repair Cycle in Chloroplasts: What Modulates the Rate of Photodamage in Vivo? Trends Plant Sci. 1999, 4, 130–135. [Google Scholar] [CrossRef]
  92. Guidi, L.; Lo Piccolo, E.; Landi, M. Chlorophyll Fluorescence, Photoinhibition and Abiotic Stress: Does It Make Any Difference the Fact to Be a C3 or C4 Species? Front. Plant Sci. 2019, 10, 174. [Google Scholar] [CrossRef] [PubMed]
  93. Li, X.; Yang, R.; Li, L.; Liu, K.; Harrison, M.T.; Fahad, S.; Wei, M.; Yin, L.; Zhou, M.; Wang, X. Physiological and Molecular Responses of Wheat to Low Light Intensity. Agronomy 2023, 13, 272. [Google Scholar] [CrossRef]
  94. Torres, R.; Romero, J.M.; Lagorio, M.G. Effects of Sub-Optimal Illumination in Plants. Comprehensive Chlorophyll Fluorescence Analysis. J. Photochem. Photobiol. B 2021, 218, 112182. [Google Scholar] [CrossRef]
  95. Kong, F.; Ran, Z.; Zhang, J.; Zhang, M.; Wu, K.; Zhang, R.; Liao, K.; Cao, J.; Zhang, L.; Xu, J.; et al. Synergistic Effects of Temperature and Light Intensity on Growth and Physiological Performance in Chaetoceros calcitrans. Aquac. Rep. 2021, 21, 100805. [Google Scholar] [CrossRef]
  96. Gong, M.; Bassi, A. Carotenoids from Microalgae: A Review of Recent Developments. Biotechnol. Adv. 2016, 34, 1396–1412. [Google Scholar] [CrossRef]
  97. Aizpuru, A.; González-Sánchez, A. Traditional and New Trend Strategies to Enhance Pigment Contents in Microalgae. World J. Microbiol. Biotechnol. 2024, 40, 272. [Google Scholar] [CrossRef]
  98. Minhas, A.K.; Gaur, S.; Adholeya, A. Influence of Light Intensity and Photoperiod on the Pigment and, Lipid Production of Dunaliella tertiolecta and Nannochloropsis oculata under Three Different Culture Medium. Heliyon 2023, 9, e12801. [Google Scholar] [CrossRef]
  99. Li, S.; Xing, D.; Sun, C.; Jin, C.; Zhao, Y.; Gao, M.; Guo, L. Effect of Light Intensity and Photoperiod on High-Value Production and Nutrient Removal Performance with Bacterial-Algal Coupling System. J. Environ. Manag. 2024, 356, 120595. [Google Scholar] [CrossRef]
  100. Wang, Y.; He, B.; Sun, Z.; Chen, Y.-F. Chemically Enhanced Lipid Production from Microalgae under Low Sub-Optimal Temperature. Algal Res. 2016, 16, 20–27. [Google Scholar] [CrossRef]
  101. Sánchez-Saavedra, M.P.; Castro-Ochoa, F.Y. Bioprospecting for Lipid Production of Eleven Microalgae Strains for Sustainable Biofuel Production. BioEnergy Res. 2024, 17, 1118–1132. [Google Scholar] [CrossRef]
  102. Molnar, P. Differences between Soil and Air Temperatures: Implications for Geological Reconstructions of Past Climate. Geosphere 2022, 18, 800–824. [Google Scholar] [CrossRef]
  103. Lai, Y.; Dzombak, D.A. Assessing the Effect of Changing Ambient Air Temperature on Water Temperature and Quality in Drinking Water Distribution Systems. Water 2021, 13, 1916. [Google Scholar] [CrossRef]
  104. Graf, R. A Multifaceted Analysis of the Relationship between Daily Temperature of River Water and Air. Acta Geophys. 2019, 67, 905–920. [Google Scholar] [CrossRef]
  105. Arcila, J.S.; Buitrón, G. Influence of Solar Irradiance Levels on the Formation of Microalgae-Bacteria Aggregates for Municipal Wastewater Treatment. Algal Res. 2017, 27, 190–197. [Google Scholar] [CrossRef]
  106. Babiak, W.; Krzemińska, I. Extracellular Polymeric Substances (EPS) as Microalgal Bioproducts: A Review of Factors Affecting EPS Synthesis and Application in Flocculation Processes. Energies 2021, 14, 4007. [Google Scholar] [CrossRef]
  107. Fallahi, A.; Rezvani, F.; Asgharnejad, H.; Khorshidi Nazloo, E.; Hajinajaf, N.; Higgins, B. Interactions of Microalgae-Bacteria Consortia for Nutrient Removal from Wastewater: A Review. Chemosphere 2021, 272, 129878. [Google Scholar] [CrossRef]
  108. Vu, C.H.T.; Chun, S.-J.; Seo, S.-H.; Cui, Y.; Ahn, C.-Y.; Oh, H.-M. Bacterial Community Enhances Flocculation Efficiency of Ettlia sp. by Altering Extracellular Polymeric Substances Profile. Bioresour. Technol. 2019, 281, 56–65. [Google Scholar] [CrossRef]
  109. Lee, J.; Cho, D.-H.; Ramanan, R.; Kim, B.-H.; Oh, H.-M.; Kim, H.-S. Microalgae-Associated Bacteria Play a Key Role in the Flocculation of Chlorella Vulgaris. Bioresour. Technol. 2013, 131, 195–201. [Google Scholar] [CrossRef] [PubMed]
  110. Moreira, J.B.; Kuntzler, S.G.; Bezerra, P.Q.M.; Cassuriaga, A.P.A.; Zaparoli, M.; da Silva, J.L.V.; Costa, J.A.V.; de Morais, M.G. Recent Advances of Microalgae Exopolysaccharides for Application as Bioflocculants. Polysaccharides 2022, 3, 264–276. [Google Scholar] [CrossRef]
  111. Zhu, C.; Ji, Y.; Du, X.; Kong, F.; Chi, Z.; Zhao, Y. A Smart and Precise Mixing Strategy for Efficient and Cost-Effective Microalgae Production in Open Ponds. Sci. Total Environ. 2022, 852, 158515. [Google Scholar] [CrossRef] [PubMed]
  112. Ruas, G.; Serejo, M.L.; Farias, S.L.; Scarcelli, P.; Boncz, M.Á. Removal of Pathogens from Domestic Wastewater by Microalgal-Bacterial Systems under Different Cultivation Conditions. Int. J. Environ. Sci. Technol. 2022, 19, 10177–10188. [Google Scholar] [CrossRef]
  113. Xiong, R.; Yan, J.; Mei, J.; Ye, J.; Xie, J. The Enhanced Expression of Genes Encoding Diguanylate Cyclases under Cold Stress Contributes to the Adhesion and Biofilm Formation of Shewanella putrefsaciens WS13. Front. Nutr. 2022, 9, 1076932. [Google Scholar] [CrossRef]
  114. Guo, Y.; Wang, Y.; Zhang, Z.; Huang, F.; Chen, S. Physiological and Transcriptomic Insights into the Cold Adaptation Mechanism of a Novel Heterotrophic Nitrifying and Aerobic Denitrifying-like Bacterium Pseudomonas indoloxydans YY-1. Int. Biodeterior. Biodegrad. 2018, 134, 16–24. [Google Scholar] [CrossRef]
  115. Ahn, C.-Y.; Chung, A.-S.; Oh, H.-M. Diel Rhythm of Algal Phosphate Uptake Rates in P-Limited Cyclostats and Simulation of Its Effect on Growth and Competition1. J. Phycol. 2002, 38, 695–704. [Google Scholar] [CrossRef]
  116. Bossa, R.; Di Colandrea, M.; Salbitani, G.; Carfagna, S. Phosphorous Utilization in Microalgae: Physiological Aspects and Applied Implications. Plants 2024, 13, 2127. [Google Scholar] [CrossRef]
  117. Yaakob, M.A.; Mohamed, R.M.S.R.; Al-Gheethi, A.; Aswathnarayana Gokare, R.; Ambati, R.R. Influence of Nitrogen and Phosphorus on Microalgal Growth, Biomass, Lipid, and Fatty Acid Production: An Overview. Cells 2021, 10, 393. [Google Scholar] [CrossRef]
  118. Saia, S.M.; Carrick, H.J.; Buda, A.R.; Regan, J.M.; Walter, M.T. Critical Review of Polyphosphate and Polyphosphate Accumulating Organisms for Agricultural Water Quality Management. Environ. Sci. Technol. 2021, 55, 2722–2742. [Google Scholar] [CrossRef] [PubMed]
  119. Direttiva Concernente Indirizzi per l’applicazione Del DLgs 11 Maggio 1999 n 152, Come Modificato Dal DLgs 18 Sgosto 2000 n 258 in Materia Di Tutela Delle Acque Dall’inquinamento. (Pubblicazione—Bollettino Ufficiale Regione Emilia Romagna—Parte Seconda n. 88 Del 24 Giugno 2003). 2003. Available online: https://bur.regione.emilia-romagna.it/archivio/inserzione?anno=2003&num_boll=88&prog_documento=1 (accessed on 12 March 2025).
  120. Akizuki, S.; Cuevas-Rodríguez, G.; Toda, T. Microalgal-Nitrifying Bacterial Consortium for Energy-Saving Ammonia Removal from Anaerobic Digestate of Slaughterhouse Wastewater. J. Water Process Eng. 2019, 31, 100753. [Google Scholar] [CrossRef]
  121. Lorick, D.; Macura, B.; Ahlström, M.; Grimvall, A.; Harder, R. Effectiveness of Struvite Precipitation and Ammonia Stripping for Recovery of Phosphorus and Nitrogen from Anaerobic Digestate: A Systematic Review. Environ. Evid. 2020, 9, 27. [Google Scholar] [CrossRef]
  122. Kinidi, L.; Tan, I.A.W.; Abdul Wahab, N.B.; Tamrin, K.F.B.; Hipolito, C.N.; Salleh, S.F. Recent Development in Ammonia Stripping Process for Industrial Wastewater Treatment. Int. J. Chem. Eng. 2018, 2018, 3181087. [Google Scholar] [CrossRef]
  123. Oviedo, J.A.; Muñoz, R.; Donoso-Bravo, A.; Bernard, O.; Casagli, F.; Jeison, D. A Half-Century of Research on Microalgae-Bacteria for Wastewater Treatment. Algal Res. 2022, 67, 102828. [Google Scholar] [CrossRef]
  124. Oh, J.; Silverstein, J. Oxygen Inhibition of Activated Sludge Denitrification. Water Res. 1999, 33, 1925–1937. [Google Scholar] [CrossRef]
  125. Manser, N.D.; Wang, M.; Ergas, S.J.; Mihelcic, J.R.; Mulder, A.; van de Vossenberg, J.; van Lier, J.B.; van der Steen, P. Biological Nitrogen Removal in a Photosequencing Batch Reactor with an Algal-Nitrifying Bacterial Consortium and Anammox Granules. Environ. Sci. Technol. Lett. 2016, 3, 175–179. [Google Scholar] [CrossRef]
Figure 1. Maximum (Max T °C, squares), minimum (Min T °C, circles), midday (midday °C, triangles), and average (average T °C, inverted triangles) temperatures recorded in December 2021 by a control unit located in Malborghetto (Ferrara, Italy). Data were downloaded from ARPAE dext3r database.
Figure 1. Maximum (Max T °C, squares), minimum (Min T °C, circles), midday (midday °C, triangles), and average (average T °C, inverted triangles) temperatures recorded in December 2021 by a control unit located in Malborghetto (Ferrara, Italy). Data were downloaded from ARPAE dext3r database.
Applsci 15 04235 g001
Figure 2. Light microscopy view of microalgae grown in the indoor setup at 0 (a) and 14 days (b) of cultivation. In (c), the presence of acidic mucopolysaccharides on the 14th day is highlighted thanks to Alcian Blue staining. Bars, 5 μm.
Figure 2. Light microscopy view of microalgae grown in the indoor setup at 0 (a) and 14 days (b) of cultivation. In (c), the presence of acidic mucopolysaccharides on the 14th day is highlighted thanks to Alcian Blue staining. Bars, 5 μm.
Applsci 15 04235 g002
Figure 3. Transmission electron images of the microalgae grown indoor on the 20th day. Other organisms (arrows) are visible in the medium. In (a) two cells surrounded by multiple layers of an electron-dense outer wall (W). (b) Detail of the microalgae outer wall and one of the microorganisms present in the medium. C, chloroplast. Bars 1 μm.
Figure 3. Transmission electron images of the microalgae grown indoor on the 20th day. Other organisms (arrows) are visible in the medium. In (a) two cells surrounded by multiple layers of an electron-dense outer wall (W). (b) Detail of the microalgae outer wall and one of the microorganisms present in the medium. C, chloroplast. Bars 1 μm.
Applsci 15 04235 g003
Figure 4. SEM images of the microalgae grown indoors on the 20th day. In (a) a large microalgae aggregate (A) is visible, along with some filamentous-like organisms (O). In (b) other organisms (C) are visible near an aggregate (A).
Figure 4. SEM images of the microalgae grown indoors on the 20th day. In (a) a large microalgae aggregate (A) is visible, along with some filamentous-like organisms (O). In (b) other organisms (C) are visible near an aggregate (A).
Applsci 15 04235 g004
Figure 5. Biomass yield expressed as grams of algal dry weight per liter of the culture grown indoors. Data refer to means ± standard deviations (n = 3). Different letters highlight significant differences between groups (p ≤ 0.05) found using a one-way ANOVA.
Figure 5. Biomass yield expressed as grams of algal dry weight per liter of the culture grown indoors. Data refer to means ± standard deviations (n = 3). Different letters highlight significant differences between groups (p ≤ 0.05) found using a one-way ANOVA.
Applsci 15 04235 g005
Figure 6. Photosynthetic pigment content (μg pigment mg−1 dry biomass) and PSII maximum quantum yield (FV/FM ratio) of microalgae cultivated indoors for 20 days. (a) Chlorophyll a, (b) chlorophyll b, (c) carotenoids, (d) chlorophyll a on chlorophyll b ratio, (e) total chlorophyll on carotenoid ratio, (f) PSII maximum quantum yield. Data refer to means ± standard deviations (n = 3). Different letters highlight significant differences between groups (p ≤ 0.05) found using a one-way ANOVA.
Figure 6. Photosynthetic pigment content (μg pigment mg−1 dry biomass) and PSII maximum quantum yield (FV/FM ratio) of microalgae cultivated indoors for 20 days. (a) Chlorophyll a, (b) chlorophyll b, (c) carotenoids, (d) chlorophyll a on chlorophyll b ratio, (e) total chlorophyll on carotenoid ratio, (f) PSII maximum quantum yield. Data refer to means ± standard deviations (n = 3). Different letters highlight significant differences between groups (p ≤ 0.05) found using a one-way ANOVA.
Applsci 15 04235 g006
Figure 7. (ac) Nutrient concentrations (N-NO3, N-NH4+ and P-PO43−; mg L−1) evolution during the 20 days of the indoor experiment. Data refers to means ± standard deviations (n = 3) Different letters highlight significant differences between groups (p ≤ 0.05) found using a one-way ANOVA. (d) Trends in N and P concentrations in biomass (n = 1). (e) Estimate in N mass balance at 20 days of experiment. (f) pH trends in culture media (n = 1).
Figure 7. (ac) Nutrient concentrations (N-NO3, N-NH4+ and P-PO43−; mg L−1) evolution during the 20 days of the indoor experiment. Data refers to means ± standard deviations (n = 3) Different letters highlight significant differences between groups (p ≤ 0.05) found using a one-way ANOVA. (d) Trends in N and P concentrations in biomass (n = 1). (e) Estimate in N mass balance at 20 days of experiment. (f) pH trends in culture media (n = 1).
Applsci 15 04235 g007
Figure 8. Light and fluorescence microscopy view of microalgae grown in the outdoor setup at 0 (a,b) and 14 (c,d) days of cultivation. Autofluorescence after 14 days decreased, resulting in dimmer cells. In (e) the presence of lipid droplets (arrow) inside the cells is highlighted thanks to Nile Red staining. In (f), the presence of acidic mucopolysaccharides on the 14th day is highlighted thanks to Alcian Blue staining. Bars, 5 μm.
Figure 8. Light and fluorescence microscopy view of microalgae grown in the outdoor setup at 0 (a,b) and 14 (c,d) days of cultivation. Autofluorescence after 14 days decreased, resulting in dimmer cells. In (e) the presence of lipid droplets (arrow) inside the cells is highlighted thanks to Nile Red staining. In (f), the presence of acidic mucopolysaccharides on the 14th day is highlighted thanks to Alcian Blue staining. Bars, 5 μm.
Applsci 15 04235 g008
Figure 9. Transmission electron microscopy images of the microalgae grown outdoors on the 20th day. In (a) a cell with lipid droplets (L) and cell wall remnants (R) in the media are visible. In (b) two cells with a thick outer wall (W) are visible. In both images, other organisms (B) are visible in the medium. Bars, 2 μm.
Figure 9. Transmission electron microscopy images of the microalgae grown outdoors on the 20th day. In (a) a cell with lipid droplets (L) and cell wall remnants (R) in the media are visible. In (b) two cells with a thick outer wall (W) are visible. In both images, other organisms (B) are visible in the medium. Bars, 2 μm.
Applsci 15 04235 g009
Figure 10. Microalgal biomass yield expressed as grams of algal dry weight per liter of the culture grown outdoors. Data refers to means ± standard deviations (n = 3). Different letters highlight significant differences between groups (p ≤ 0.05) found using a one-way ANOVA.
Figure 10. Microalgal biomass yield expressed as grams of algal dry weight per liter of the culture grown outdoors. Data refers to means ± standard deviations (n = 3). Different letters highlight significant differences between groups (p ≤ 0.05) found using a one-way ANOVA.
Applsci 15 04235 g010
Figure 11. Photosynthetic pigment content (μg pigment mg−1 dry biomass) and PSII maximum quantum yield (FV/FM ratio) of microalgae cultivated outdoors for 20 days. (a) Chlorophyll a, (b) chlorophyll b, (c) carotenoids, (d) chlorophyll a on chlorophyll b ratio, (e) total chlorophyll on carotenoid ratio, (f) PSII maximum quantum yield. Data refers to means ± standard deviations (n = 3). Different letters highlight significant differences between groups (p ≤ 0.05). Found using a one-way ANOVA.
Figure 11. Photosynthetic pigment content (μg pigment mg−1 dry biomass) and PSII maximum quantum yield (FV/FM ratio) of microalgae cultivated outdoors for 20 days. (a) Chlorophyll a, (b) chlorophyll b, (c) carotenoids, (d) chlorophyll a on chlorophyll b ratio, (e) total chlorophyll on carotenoid ratio, (f) PSII maximum quantum yield. Data refers to means ± standard deviations (n = 3). Different letters highlight significant differences between groups (p ≤ 0.05). Found using a one-way ANOVA.
Applsci 15 04235 g011
Figure 12. Variations in the concentrations (mg L−1) of N-NO3 (a), N-NH4+ (b), and P-PO43− (c) during the 20 days of the outdoor experiment. Data refers to means ± standard deviations (n = 3). Different letters highlight significant differences between groups (p ≤ 0.05) found using a one-way ANOVA. (d) Trends in N and P concentrations in biomass (n = 1). (e) Estimate in N mass balance at 20 days of experiment. (f) pH trends in culture media (n = 1).
Figure 12. Variations in the concentrations (mg L−1) of N-NO3 (a), N-NH4+ (b), and P-PO43− (c) during the 20 days of the outdoor experiment. Data refers to means ± standard deviations (n = 3). Different letters highlight significant differences between groups (p ≤ 0.05) found using a one-way ANOVA. (d) Trends in N and P concentrations in biomass (n = 1). (e) Estimate in N mass balance at 20 days of experiment. (f) pH trends in culture media (n = 1).
Applsci 15 04235 g012
Table 1. Prototype or large-scale experiments regarding applications of microalgae in ASP during the winter season. Algal species, cultivation systems, and procedures, along with time period and location are listed.
Table 1. Prototype or large-scale experiments regarding applications of microalgae in ASP during the winter season. Algal species, cultivation systems, and procedures, along with time period and location are listed.
Algal SpeciesCultivation SystemTime Period and LocationRef.
Scenedesmus obliquusHigh-rate algal pond and an Airlift tubular
photobioreactor both operated in continuous.
From October 2011 to March 2012 in South Spain.[60]
Chlorella sp.,
Scenedesmus sp. and a pennate diatom
Open raceway pond operated in continuous.From June 2013 to September 2013 in Perth, Australia.[61]
Co-culture of Chlorella sp., Stigeoclonium sp., Nitzschia sp. and
Navicula sp.
Tubular horizontal semi-closed photobioreactor connected to two open tanks. Operated in
semi-continuous.
From May 2017 to May 2018 in Barcelona, Spain.[62]
Scenedesmus sp. and Chlorella sp.Raceway pond operated in semi-continuous
cultivation.
From December 2019 to December 2020 in East Australia.[63]
Scenedesmus sp.Raceway ponds operated in semi-continuous.Monitored for a whole year.
Almería, Spain.
[64]
Consortium dominated by Monoraphidium sp.Four tanks connected in parallel and operated in continuous.Monitored for a whole year. Greenhouse in Sweden.[56]
Chlorella pyrenoidosaRectangular photobioreactor operated in batch.Winter in Shandong Province, China.[65]
Chlorella sp. and Scenedesmus sp.Raceway pond operated in batch.Winter in Qatar.[66]
Table 2. Characterization of the WW and analytical methods employed for the analyses. * indicates values below detection limit.
Table 2. Characterization of the WW and analytical methods employed for the analyses. * indicates values below detection limit.
ParameterUnitMethodValue
Total nitrogenmg N L−1UNI EN 12260: 2004 [68]25.2
AmmoniumNH4+-N L−1APAT CNR IRSA 4030 A1 Man 29 2003 [69]24.4
NitrateNO3-N L−1APAT CNR IRSA 4020 Man 29 2003 [70]1.4
NitriteNO2-N L−1APAT CNR IRSA 4050 Man 29 2003 [71]0.16
Total phosphorusmg L−1 PUNI EN ISO 15587-2: 2002 ISO 17294-2: 2016 [72,73]22.1
CODO2 mg L−1ISO 15705 par 10.2: 2002 [74]80
BOD5O2 mg L−1APHA Standard Methods for the Examination of Water and Wastewater 23rd 2017 5210 [75]19
Total suspended solidsmg L−1APAT CNR IRSA 2090 B Man 29 2003 132 114 [76]48
Almg L−1ISO 15587-2: 2002 + UNI EN ISO 17294-2: 2016 [72,73]1.33
Crmg L−1ISO 15587-2: 2002 + UNI EN ISO 17294-2: 2016<0.02 *
Cr (VI)mg L−1APAT CNR IRSA 3150 C Man 29 2003 [77]<0.02 *
Cumg L−1ISO 1187-2_2002 + UNI EN ISO 17294-2: 2016 [73,78]0.021
Hgmg L−1ISO 1187-2_2002 + UNI EN ISO 17294-2: 2016<0.001 *
Pbmg L−1ISO 1187-2_2002 + UNI EN ISO 17294-2: 2016<0.005 *
Nimg L−1ISO 1187-2_2002 + UNI EN ISO 17294-2: 2016<0.01 *
Znmg L−1ISO 15587-2: 2002 + UNI EN ISO 17294-2: 20160.06
Escherichia coliCFU/100 mLUNI EN ISO 9308-1:2017 [79]61,100
Table 3. Estimated media composition after the inoculum in the indoor experiment, calculated considering dilution, and media composition at the end of the indoor experiment. At the end of cultivation, the media was collected before the manual resuspension, and it was not centrifuged.
Table 3. Estimated media composition after the inoculum in the indoor experiment, calculated considering dilution, and media composition at the end of the indoor experiment. At the end of cultivation, the media was collected before the manual resuspension, and it was not centrifuged.
ParameterUnitDay 0Day 20
CODO2 mg L−16438
BOD5O2 mg L−115<10
Total suspended solidsmg L−1388
Escherichia coliCFU/100 mL48,880<2
Table 4. Media composition at the end of the outdoor experiment. For analyses after the inoculum and on the 3rd day, the media was collected through centrifugation. On the last day, the media was collected before the manual resuspension, and it was not centrifuged.
Table 4. Media composition at the end of the outdoor experiment. For analyses after the inoculum and on the 3rd day, the media was collected through centrifugation. On the last day, the media was collected before the manual resuspension, and it was not centrifuged.
ParameterUnitDay 0Day 3Day 20
CODO2 mg L−1616259
BOD5O2 mg L−113<10<10
Total suspended solidsmg L−1322627
Escherichia coliCFU/100 mL36,000260072
Disclaimer/Publisher’s Note: The statements, opinions and data contained in all publications are solely those of the individual author(s) and contributor(s) and not of MDPI and/or the editor(s). MDPI and/or the editor(s) disclaim responsibility for any injury to people or property resulting from any ideas, methods, instructions or products referred to in the content.

Share and Cite

MDPI and ACS Style

Giacò, P.; Baldisserotto, C.; Demaria, S.; Benà, E.; Ferroni, L.; Zanotti, G.; Pancaldi, S. Urban Wastewater Phytoremediation by Autochthonous Microalgae in Winter Season: Indoor and Outdoor Trials. Appl. Sci. 2025, 15, 4235. https://doi.org/10.3390/app15084235

AMA Style

Giacò P, Baldisserotto C, Demaria S, Benà E, Ferroni L, Zanotti G, Pancaldi S. Urban Wastewater Phytoremediation by Autochthonous Microalgae in Winter Season: Indoor and Outdoor Trials. Applied Sciences. 2025; 15(8):4235. https://doi.org/10.3390/app15084235

Chicago/Turabian Style

Giacò, Pierluigi, Costanza Baldisserotto, Sara Demaria, Elisa Benà, Lorenzo Ferroni, Giulia Zanotti, and Simonetta Pancaldi. 2025. "Urban Wastewater Phytoremediation by Autochthonous Microalgae in Winter Season: Indoor and Outdoor Trials" Applied Sciences 15, no. 8: 4235. https://doi.org/10.3390/app15084235

APA Style

Giacò, P., Baldisserotto, C., Demaria, S., Benà, E., Ferroni, L., Zanotti, G., & Pancaldi, S. (2025). Urban Wastewater Phytoremediation by Autochthonous Microalgae in Winter Season: Indoor and Outdoor Trials. Applied Sciences, 15(8), 4235. https://doi.org/10.3390/app15084235

Note that from the first issue of 2016, this journal uses article numbers instead of page numbers. See further details here.

Article Metrics

Back to TopTop