Analysis of Optical Errors in Joint Fabry–Pérot Interferometer–Fourier-Transform Imaging Spectroscopy Interferometric Super-Resolution Systems
Abstract
1. Introduction
2. Principles
2.1. Principles of FPI
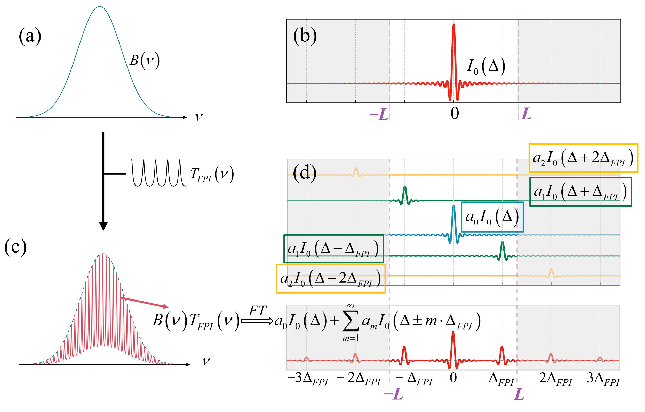
2.2. Principles of MJI-HI
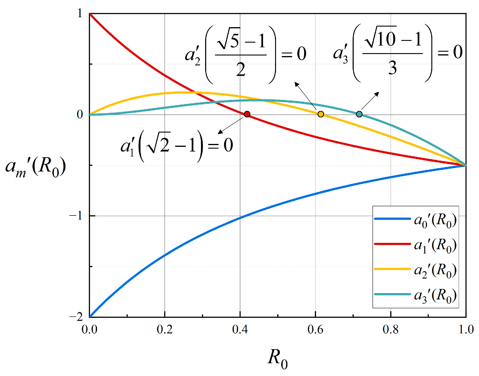
2.3. Inversion Algorithm
3. Optical Error Analysis
3.1. Optical Errors of FPI
3.1.1. Optical Path Difference Error
3.1.2. Non-Parallelism Error of FPI
3.1.3. Non-Flatness Error of FPI
3.1.4. Reflectivity Changes in FPI
3.2. Optical Errors of FTIS
3.2.1. Collimation Error
3.2.2. Beam Splitter Spectral Error
3.2.3. Mirror Tilt Error
3.2.4. The Combined Error of FPI Non-Parallelism and FTIS Mirror Tilt Error
4. Results and Discussion
4.1. Error Analysis Simulation Experiment Conditions
4.2. Simulation Experiment Results
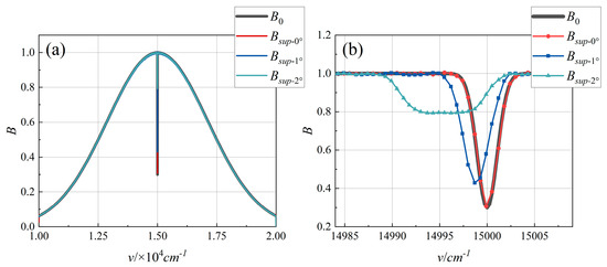
4.2.1. Broadening of the FPI Response
4.2.2. Mirror Tilt Error of FTIS
4.2.3. The Combined Error of FPI and FTIS
4.2.4. Collimation Error of FTIS
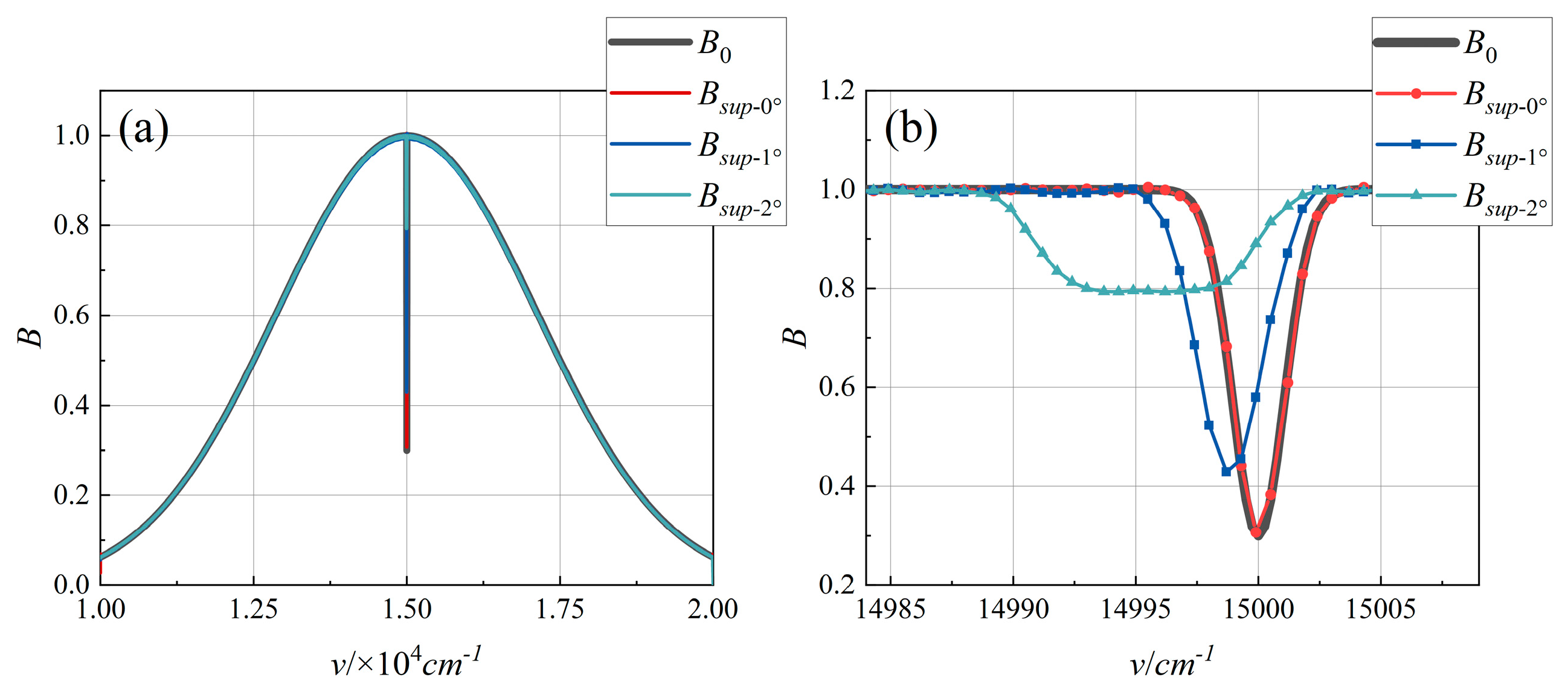
4.2.5. Reflectivity Variation Error of FPI
5. Conclusions
Author Contributions
Funding
Institutional Review Board Statement
Informed Consent Statement
Data Availability Statement
Conflicts of Interest
Abbreviations
| FPI | Fabry–Pérot interferometer |
| FTIS | Fourier-transform imaging spectroscopy |
| MJI-HI | Multi-component joint interferometric hyperspectral imaging |
| LD | Linear dichroism |
| TMFTIS | Temporally modulated FTIS |
| SMFTIS | Spatially modulated FTIS |
| TSMFTIS | Temporally and spatially modulated FTIS |
| OPD | Optical path difference |
| DC | Direct current |
References
- Zhang, W.; Wen, D.; Song, Z.; Wei, X.; Liu, G.; Li, Z. High Resolution and Fast Processing of Spectral Reconstruction in Fourier Transform Imaging Spectroscopy. Sensors 2018, 18, 4159. [Google Scholar] [CrossRef] [PubMed]
- Horrocks, T.; Wedge, D.; Hackman, N.; Green, T.; Holden, E.J. Automated Geological Logging from FTIR Reflectance Spectra Utilising Geochemical and Historical Logging Constraints. Ore Geol. Rev. 2024, 168, 106004. [Google Scholar] [CrossRef]
- Zhu, Q.; Wang, W.; Shan, C.; Xie, Y.; Zeng, X.; Wu, P.; Liang, B.; Liu, C. Effects of Biomass Burning on CO, HCN, C2H6, C2H2 and H2CO during Long-Term FTIR Measurements in Hefei, China. Opt. Express 2024, 32, 8343. [Google Scholar] [CrossRef]
- Wiercik, P.; Kuśnierz, M.; Kabsch-Korbutowicz, M.; Plucińska, A.; Chrobot, P. Evaluation of Changes in Activated Sludge and Sewage Sludge Quality by FTIR Analysis and Laser Diffraction. Desalin. Water Treat. 2022, 273, 114–125. [Google Scholar] [CrossRef]
- Cubas Pereira, D.; Pupin, B.; De Simone Borma, L. Influence of Sample Preparation Methods on FTIR Spectra for Taxonomic Identification of Tropical Trees in the Atlantic Forest. Heliyon 2024, 10, e27232. [Google Scholar] [CrossRef]
- Barragán, R.C.; Castrellon-Uribe, J.; Garcia-Torales, G.; Rodríguez-Rivas, A. IR Characterization of Plant Leaves, Endemic to Semi-Tropical Regions, in Two Senescent States. Appl. Opt. 2020, 59, E126–E133. [Google Scholar] [CrossRef] [PubMed]
- Suto, H.; Kataoka, F.; Kikuchi, N.; Knuteson, R.O.; Butz, A.; Haun, M.; Buijs, H.; Shiomi, K.; Imai, H.; Kuze, A. Thermal and Near-Infrared Sensor for Carbon Observation Fourier Transform Spectrometer-2 (TANSO-FTS-2) on the Greenhouse Gases Observing SATellite-2 (GOSAT-2) during Its First Year in Orbit. Atmos. Meas. Tech. 2021, 14, 2013–2039. [Google Scholar] [CrossRef]
- Wei, R.; Zhang, X.; Zhou, J.; Zhou, S. Designs of Multipass Optical Configurations Based on the Use of a Cube Corner Retroreflector in the Interferometer. Appl. Opt. 2011, 50, 1673. [Google Scholar] [CrossRef]
- Carli, B.; Carlotti, M.; Mencaraglia, F.; Rossi, E. Far-Infrared High-Resolution Fourier Transform Spectrometer. Appl. Opt. 1987, 26, 3818. [Google Scholar] [CrossRef]
- Ahn, J.; Kim, J.-A.; Kang, C.-S.; Kim, J.-W.; Kim, S. High Resolution Interferometer with Multiple-Pass Optical Configuration. Opt. Express 2009, 17, 21042. [Google Scholar] [CrossRef]
- Wei, R.Y.; Di, L.M.; Qiao, N.Z.; Chen, S.S. W-shaped common-path interferometer. Appl. Opt. 2020, 59, 10973–10979. [Google Scholar] [CrossRef] [PubMed]
- Svensson, T.; Bergström, D.; Axelsson, L.; Fridlund, M.; Hallberg, T. Design, calibration and characterization of a low-cost spatial Fourier transform LWIR hyperspectral camera with spatial and temporal scanning modes. In Algorithms and Technologies for Multispectral, Hyperspectral, and Ultraspectral Imagery XXIV; SPIE: Orlando, FL, USA, 2018; pp. 261–275. [Google Scholar]
- Cai, Q.; Xiangli, B.; Fu, Q.; Qian, L.; Li, Y.; Tan, Z. Conceptual Design of a Rotating Parallel-Mirror-Pair Interferometer. In Selected Papers from Conferences of the Photoelectronic Technology Committee of the Chinese Society of Astronautics: Optical Imaging, Remote Sensing, and Laser-Matter Interaction 2013, Suzhou, China, 20–29 October 2013; Ojeda-Castaneda, J., Han, S., Jia, P., Fang, J., Fan, D., Qian, L., Gu, Y., Yan, X., Eds.; SPIE Digital Library: Bellingham, WA, USA, 2014; p. 91420I. [Google Scholar]
- Jackson, R.S. Continuous Scanning Interferometers for Mid-Infrared Spectrometry. In Handbook of Vibrational Spectroscopy; Chalmers, J.M., Griffiths, P.R., Eds.; Wiley: Hoboken, NJ, USA, 2001; ISBN 978-0-471-98847-2. [Google Scholar]
- Châteauneuf, F.; Soucy, M.-A.; Perron, G.; Lévesque, L.; Tanii, J. Reliability Enhancement Activities for the TANSO Interferometer; Strojnik, M., Ed.; SPIE Digital Library: San Diego, CA, USA, 2006; p. 62970M. [Google Scholar]
- Yu, L.; Li, H.; Li, J.; Li, W. Lossless Compression of Large Aperture Static Imaging Spectrometer Data. Appl. Sci. 2023, 13, 5632. [Google Scholar] [CrossRef]
- Lucey, P.G.; Akagi, J.; Bingham, A.L.; Hinrichs, J.L.; Knobbe, E.T. A Compact Fourier Transform Imaging Spectrometer Employing a Variable Gap Fabry-Perot Interferometer; Druy, M.A., Crocombe, R.A., Eds.; SPIE Digital Library: Baltimore, MA, USA, 2014; p. 910110. [Google Scholar]
- Zucco, M.; Pisani, M.; Caricato, V.; Egidi, A. A Hyperspectral Imager Based on a Fabry-Perot Interferometer with Dielectric Mirrors. Opt. Express 2014, 22, 1824. [Google Scholar] [CrossRef] [PubMed]
- Pisani, M.; Zucco, M.E. Compact Imaging Spectrometer Combining Fourier Transform Spectroscopy with a Fabry-Perot Interferometer. Opt. Express 2009, 17, 8319. [Google Scholar] [CrossRef]
- Al-Saeed, T.A.; Khalil, D.A. Fourier Transform Spectrometer Based on Fabry–Perot Interferometer. Appl. Opt. 2016, 55, 5322. [Google Scholar] [CrossRef]
- Swinyard, B.; Ferlet, M. Cascaded Interferometric Imaging Spectrometer. Appl. Opt. 2007, 46, 6381. [Google Scholar] [CrossRef] [PubMed]
- Yang, Q. Compact Ultrahigh Resolution Interferometric Spectrometer. Opt. Express 2019, 27, 30606. [Google Scholar] [CrossRef]
- Iwata, T.; Koshoubu, J. Proposal for High-Resolution, Wide-Bandwidth, High-Optical-Throughput Spectroscopic System Using a Fabry-Perot Interferometer. Appl. Spectrosc. 1998, 52, 1008–1013. [Google Scholar] [CrossRef]
- Yang, Q. Theoretical Analysis of Compact Ultrahigh-Spectral-Resolution Infrared Imaging Spectrometer. Opt. Express 2020, 28, 16616. [Google Scholar] [CrossRef]
- Zhang, Y.; Liu, Y.; Wang, J.; Tang, Y.; He, P.; Chen, X.; Lv, Q. Joint Interference Imaging Spectral Super-Resolution Technology Based on FPI Modulation. In Proceedings of the Sixth Conference on Frontiers in Optical Imaging and Technology: Novel Imaging Systems, Nanjing, China, 22–24 October 2023; SPIE: Bellingham, WA, USA, 2024; Volume 13155, pp. 350–363. [Google Scholar]
- Zhang, Y.; Lv, Q.; Tang, Y.; He, P.; Zhu, B.; Sui, X.; Yang, Y.; Bai, Y.; Liu, Y. Super-Resolution Multicomponent Joint-Interferometric Fabry–Perot-Based Technique. Appl. Sci. 2023, 13, 1012. [Google Scholar] [CrossRef]
- McGill, M.J.; Skinner, W.R.; Irgang, T.D. Analysis Techniques for the Recovery of Winds and Backscatter Coefficients from a Multiple-Channel Incoherent Doppler Lidar. Appl. Opt. 1997, 36, 1253. [Google Scholar] [CrossRef] [PubMed]
- Ghildiyal, S.; Balasubramaniam, R.; John, J. Effect of Flatness and Parallelism Errors on Fiber Optic Fabry Perot Interferometer of Low to Moderate Finesse and Its Experimental Validation. Opt. Fiber Technol. 2020, 60, 102372. [Google Scholar] [CrossRef]
- Sloggett, G.J. Fringe Broadening in Fabry-Perot Interferometers. Appl. Opt. 1984, 23, 2427. [Google Scholar] [CrossRef]
- Fahua, S.; Yiqi, X.; Aiai, Y.; Chenglin, L. Transmission spectral characteristics of F-P interferometer under multi-factors. Infrared Laser Eng. 2015, 44, 1800–1805. [Google Scholar]
- Hu, J.; Huang, M.; Gao, H. Error Analysis on Dihedral Angle of Corner-Cube Reflectors in Fourier Transform Spectrometer. J. Appl. Opt. 2022, 43, 959–966. [Google Scholar] [CrossRef]
- Bell, R. Introductory Fourier Transform Spectroscopy; Elsevier: Amsterdam, The Netherlands, 2012; ISBN 0-323-15210-4. [Google Scholar]
- Yang, Q.; Zhou, R.; Zhao, B. Principle of the Moving-Mirror-Pair Interferometer and the Tilt Tolerance of the Double Moving Mirror. Appl. Opt. 2008, 47, 2486. [Google Scholar] [CrossRef]
- Tang, Y.; Lv, Q.; Zhang, Y.; Zhu, B.; Chen, X.; Xiangli, B. Parallelism Error Analysis and Its Effect on Modulation Depth Based on a Rotating Parallel Mirror Fourier Spectrometer. Opt. Express 2023, 31, 5561. [Google Scholar] [CrossRef]
- Kochanov, R.V.; Gordon, I.E.; Rothman, L.S.; Wcisło, P.; Hill, C.; Wilzewski, J.S. HITRAN Application Programming Interface (HAPI): A Comprehensive Approach to Working with Spectroscopic Data. J. Quant. Spectrosc. Radiat. Transf. 2016, 177, 15–30. [Google Scholar] [CrossRef]






















| Simulation Conditions | Parameters |
|---|---|
| Spectral range | 1 × 104~2 × 104 cm−1 |
| Maximum OPD of FTIS | L = 2 mm |
| Spectral resolution of FTIS | Δν = 1/(2L) = 2.5 cm−1 |
| FPI spacing distance | d = 0.995 mm |
| Reflectivity of FPI | R0 = 40% |
Disclaimer/Publisher’s Note: The statements, opinions and data contained in all publications are solely those of the individual author(s) and contributor(s) and not of MDPI and/or the editor(s). MDPI and/or the editor(s) disclaim responsibility for any injury to people or property resulting from any ideas, methods, instructions or products referred to in the content. |
© 2025 by the authors. Licensee MDPI, Basel, Switzerland. This article is an open access article distributed under the terms and conditions of the Creative Commons Attribution (CC BY) license (https://creativecommons.org/licenses/by/4.0/).
Share and Cite
Zhang, Y.; Lv, Q.; Wang, J.; Tang, Y.; Si, J.; Chen, X.; Liu, Y. Analysis of Optical Errors in Joint Fabry–Pérot Interferometer–Fourier-Transform Imaging Spectroscopy Interferometric Super-Resolution Systems. Appl. Sci. 2025, 15, 2938. https://doi.org/10.3390/app15062938
Zhang Y, Lv Q, Wang J, Tang Y, Si J, Chen X, Liu Y. Analysis of Optical Errors in Joint Fabry–Pérot Interferometer–Fourier-Transform Imaging Spectroscopy Interferometric Super-Resolution Systems. Applied Sciences. 2025; 15(6):2938. https://doi.org/10.3390/app15062938
Chicago/Turabian StyleZhang, Yu, Qunbo Lv, Jianwei Wang, Yinhui Tang, Jia Si, Xinwen Chen, and Yangyang Liu. 2025. "Analysis of Optical Errors in Joint Fabry–Pérot Interferometer–Fourier-Transform Imaging Spectroscopy Interferometric Super-Resolution Systems" Applied Sciences 15, no. 6: 2938. https://doi.org/10.3390/app15062938
APA StyleZhang, Y., Lv, Q., Wang, J., Tang, Y., Si, J., Chen, X., & Liu, Y. (2025). Analysis of Optical Errors in Joint Fabry–Pérot Interferometer–Fourier-Transform Imaging Spectroscopy Interferometric Super-Resolution Systems. Applied Sciences, 15(6), 2938. https://doi.org/10.3390/app15062938

