Sensitivity Analysis of Numerical Coherency Model for Rock Sites
Abstract
1. Introduction
2. Numerical Coherency Evaluation Methodology
2.1. Selection of Input Motions
2.2. Random Field Generation
2.3. Numerical Model
2.4. Estimation of Plane-Wave Coherency
3. Sensitivity Study
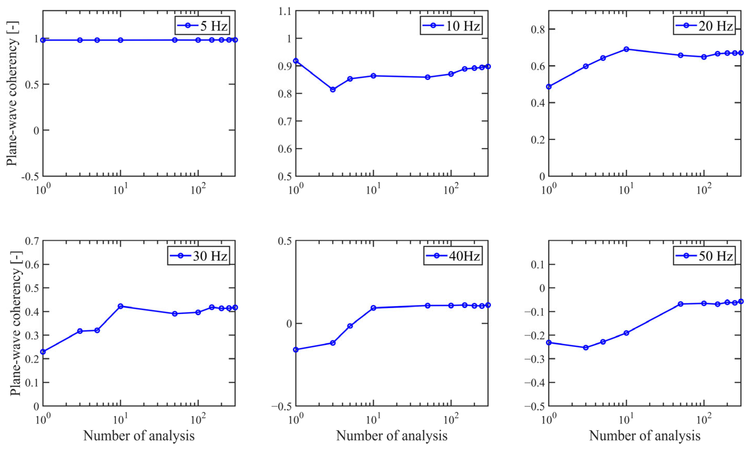
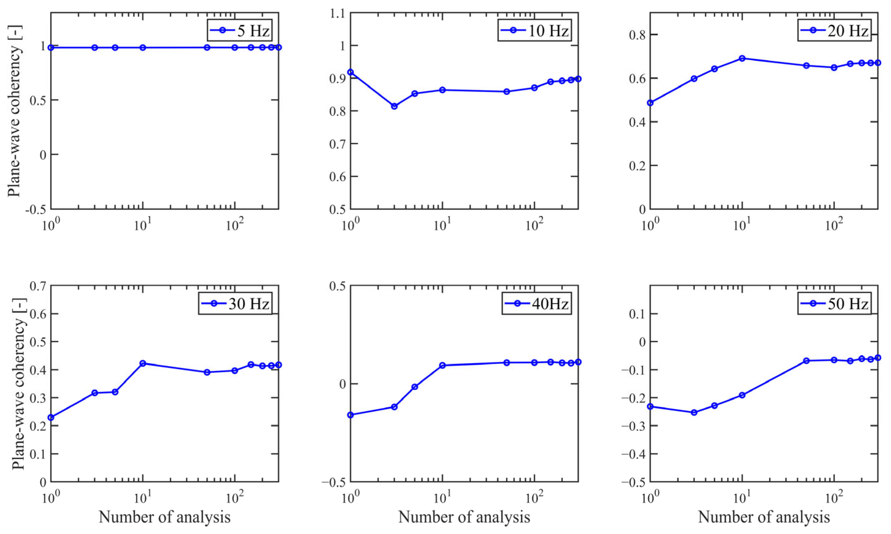
3.1. Numerical of Simulations
3.2. Spatial Variability Parameters
3.3. Depth of Numerical Model
4. Comparison with Empirical Function
5. Conclusions
Author Contributions
Funding
Institutional Review Board Statement
Informed Consent Statement
Data Availability Statement
Conflicts of Interest
References
- Abrahamson, N.A. Hard-Rock Coherency Functions Based on the Pinyon Flat Array Data; Electric Power Research Institute: Palo Alto, CA, USA, 2007. [Google Scholar]
- Kassawara, R. Validation of CLASSI and SASSI to Treat Seismic Wave Incoherence in SSI Analysis of Nuclear Power Plant Structures; Electric Power Research Institute: Palo Alto, CA, USA, 2007. [Google Scholar]
- Abrahamson, N. Program on Technology Innovation: Effects of Spatial Incoherence on Seismic Ground Motions; Electric Power Research Institute: Palo Alto, CA, USA, 2007; p. 1015110. [Google Scholar]
- Interim Staff Guidance on Seismic Issues Associated with High Frequency Ground Motion in Design Certification and Combined License Applications. 2008. Available online: https://www.nrc.gov/docs/ML0814/ML081400293.pdf (accessed on 19 May 2008).
- Svay, A.; Perron, V.; Imtiaz, A.; Zentner, I.; Cottereau, R.; Clouteau1, D.; Bard, P.Y.; Hollender, F.; Lopez-Caballero, F. Spatial coherency analysis of seismic ground motions from a rock site dense array implemented during the Kefalonia 2014 aftershock sequence. Earthq. Eng. Struct. Dyn. 2017, 46, 1895–1917. [Google Scholar] [CrossRef]
- Zerva, A. Spatial Variation of Seismic Ground Motions: Modeling and Engineering Applications; CRC Press: Boca Raton, FL, USA, 2016. [Google Scholar]
- Zerva, A.; Harada, T. Effect of surface layer stochasticity on seismic ground motion coherence and strain estimates. Soil Dyn. Earthq. Eng. 1997, 16, 445–457. [Google Scholar] [CrossRef]
- Zerva, A.; Zervas, V. Spatial variation of seismic ground motions: An overview. Appl. Mech. Rev. 2002, 55, 271–297. [Google Scholar] [CrossRef]
- Lee, Y.; Lee, D.; Kim, H.-S.; Park, J.-S.; Jung, D.-Y.; Kim, J.; Kim, D.Y.; Lee, Y.; Park, D. Spatial coherency analysis of seismic motions from a hard rock site dense array in Busan, Korea. Bull. Earthq. Eng. 2024, 22, 7235–7259. [Google Scholar] [CrossRef]
- Shi, J.; Li, J.; Li, Y.; Usmani, A.S.; Zhang, L. Numerical investigation of hydrogen vapor cloud explosion from a conceptual offshore hydrogen production platform. J. Saf. Sustain. 2024, 1, 189–201. [Google Scholar] [CrossRef]
- Yan, F.; Xu, K.; Li, D.; Cui, Z. A novel hazard assessment method for biomass gasification stations based on extended set pair analysis. PLoS ONE 2017, 12, e0185006. [Google Scholar] [CrossRef] [PubMed]
- Huerta-Lopez, C.I.; Shin, Y.; Powers, E.J.; Roesset, J.M. Time-frequency analysis of earthquake records. In Proceedings of the 12th World Conference on Earthquake Engineering, Auckland, New Zealand, 30 January–4 February 2000. [Google Scholar]
- Ancheta, T.D.; Darragh, R.B.; Stewart, J.P.; Seyhan, E.; Silva, W.J.; Chiou, B.S.-J.; Wooddell, K.E.; Graves, R.W.; Kottke, A.R.; Boore, D.M. NGA-West2 database. Earthq. Spectra 2014, 30, 989–1005. [Google Scholar] [CrossRef]
- Choi, I.; Ahn, J.-K.; Kwak, D. A fundamental study on the database of response history for historical earthquake records on the Korean Peninsula. KSCE J. Civ. Environ. Eng. Res. 2019, 39, 821–831. [Google Scholar]
- Schilling, R.J.; Harris, S.L. Fundamentals of Digital Signal Processing Using MATLAB: An Instructor’s Solutions Manual to Accompany; Cengage Learning: Boston, MA, USA, 2011. [Google Scholar]
- Vanmarcke, E. Random Fields: Analysis and Synthesis; MIT Press: Cambridge, MA, USA, 1983. [Google Scholar]
- Mazzoni, S.; McKenna, F.; Scott, M.H.; Fenves, G.L. OpenSees command language manual. Pac. Earthq. Eng. Res. Cent. 2006, 264, 137–158. [Google Scholar]
- de la Torre, C.; Bradley, B.; McGann, C. Assessment of Boundary Conditions for 2D Geotechnical Site-Response Analysis with Soil Heterogeneity; University of Canterbury: Christchurch, New Zealand, 2021. [Google Scholar]
- Pekcan, G.; Mander, J.B.; Chen, S.S. Fundamental considerations for the design of non-linear viscous dampers. Earthq. Eng. Struct. Dyn. 1999, 28, 1405–1425. [Google Scholar] [CrossRef]
- Cook, R.D. Concepts and Applications of Finite Element Analysis; John Wiley & Sons: Hoboken, NJ, USA, 2007. [Google Scholar]
- Kuhlemeyer, R.L.; Lysmer, J. Finite element method accuracy for wave propagation problems. J. Soil Mech. Found. Div. 1973, 99, 421–427. [Google Scholar] [CrossRef]
- Abbas, H.; Tezcan, J. Analysis and modeling of ground motion coherency at uniform site conditions. Soil Dyn. Earthq. Eng. 2020, 133, 106124. [Google Scholar] [CrossRef]
- Chang, Y.H.; Tsai, C.C.; Ge, L.; Park, D. Influence of horizontally variable soil properties on nonlinear seismic site response and ground motion coherency. Earthq. Eng. Struct. Dyn. 2022, 51, 704–722. [Google Scholar] [CrossRef]
- El Haber, E.; Cornou, C.; Jongmans, D.; Abdelmassih, D.Y.; Lopez-Caballero, F.; Al-Bittar, T. Influence of 2D heterogeneous elastic soil properties on surface ground motion spatial variability. Soil Dyn. Earthq. Eng. 2019, 123, 75–90. [Google Scholar] [CrossRef]
- Nguyen, T.S.; Tanapalungkorn, W.; Likitlersuang, S. Probabilistic analysis of dual circular tunnels in rock masses considering rotated anisotropic random fields. Comput. Geotech. 2024, 170, 106319. [Google Scholar] [CrossRef]
- Jiang, S.; Li, D.; Zhou, C.; Phoon, K. Slope reliability analysis considering effect of autocorrelation functions. Chin. J. Geotech. Eng. 2014, 36, 508–518. [Google Scholar]
- Zhang, Q.; Wang, L.; Zhang, H. Rainfall infiltration process of a rock slope with considering the heterogeneity of saturated hydraulic conductivity. Front. Earth Sci. 2022, 9, 804005. [Google Scholar] [CrossRef]









| Case Number | CV (%) | CLh (m) | Analysis Depth (m) |
|---|---|---|---|
| Case 1: CV | 15, 20, 25, 30 | 20 | 150 |
| Case 2: CLh | 20 | 20, 25, 30, 40 | 150 |
| Case 3: Depth | 20 | 20 | 50, 100, 150, 200 |
| 25 m | 50 m | 100 m | 150 m | |
|---|---|---|---|---|
| R2 value [-] | 0.993 | 0.985 | 0.986 | 0.992 |
Disclaimer/Publisher’s Note: The statements, opinions and data contained in all publications are solely those of the individual author(s) and contributor(s) and not of MDPI and/or the editor(s). MDPI and/or the editor(s) disclaim responsibility for any injury to people or property resulting from any ideas, methods, instructions or products referred to in the content. |
© 2025 by the authors. Licensee MDPI, Basel, Switzerland. This article is an open access article distributed under the terms and conditions of the Creative Commons Attribution (CC BY) license (https://creativecommons.org/licenses/by/4.0/).
Share and Cite
Lee, D.; Lee, Y.; Kim, H.-S.; Park, J.-S.; Park, D. Sensitivity Analysis of Numerical Coherency Model for Rock Sites. Appl. Sci. 2025, 15, 2925. https://doi.org/10.3390/app15062925
Lee D, Lee Y, Kim H-S, Park J-S, Park D. Sensitivity Analysis of Numerical Coherency Model for Rock Sites. Applied Sciences. 2025; 15(6):2925. https://doi.org/10.3390/app15062925
Chicago/Turabian StyleLee, Dongyeon, Yonghee Lee, Hak-Sung Kim, Jeong-Seon Park, and Duhee Park. 2025. "Sensitivity Analysis of Numerical Coherency Model for Rock Sites" Applied Sciences 15, no. 6: 2925. https://doi.org/10.3390/app15062925
APA StyleLee, D., Lee, Y., Kim, H.-S., Park, J.-S., & Park, D. (2025). Sensitivity Analysis of Numerical Coherency Model for Rock Sites. Applied Sciences, 15(6), 2925. https://doi.org/10.3390/app15062925

