Differential Privacy in Federated Learning: An Evolutionary Game Analysis
Abstract
1. Introduction
- Evolutionary game theory analysis: We employ evolutionary game theory to analyze the differential privacy protection problem in federated learning. Unlike traditional game theory, which focuses on individual strategy choices, our approach examines the dynamics of population shares, capturing how the collective behavior of participants evolves over time. This perspective provides a novel framework for understanding the interplay between privacy preferences and system performance.
- Impact of differential privacy mechanisms: We quantify the impact of differential privacy mechanisms on global model performance and reflect these impacts in the incentive pool. Additionally, we characterize privacy leakage to understand its effects on user utility, providing a comprehensive analysis of the trade-offs between privacy protection and model performance.
- Differential privacy federated learning model (DPFLM): We constructed DPFLM, a robust model that integrates differential privacy into federated learning. We also propose an algorithm to compute the utility of each strategy, enabling systematic analysis of the incentives associated with different privacy mechanisms.
- Existence and stability analysis: We conducted a thorough analysis of the existence of solutions in evolutionary game theory. For the two-strategy case, we derived closed-form results for the evolutionarily stable strategies (ESSs). For more general cases, we validate our theoretical findings through extensive simulations, demonstrating the practical applicability of our approach.
2. Related Work and Preliminaries
2.1. Gaussian Mechanism Differential Privacy in Federated Learning
2.2. Incentive Mechanisms in Federated Learning
3. System Model and Evolutionary Game Formulation
3.1. System Model
- Players: The players in this game are the clients, denoted by .
- Strategies: The nth strategy available to a player can be expressed as , where is the number of local iterations per round, and is the Gaussian noise power. We assume there are N strategies in total, denoted by . Here, ‘strategies’ represent the different combinations of local iterations and Gaussian noise power that a client can choose. These strategies are formulated based on the practical application of differential privacy in FL. Different noise powers represent varying levels of privacy protection, with higher noise offering stronger privacy but potentially impacting model accuracy and, thus, the incentive pool. The number of local iterations also influences both model contribution and potential privacy leakage. These strategies are relevant to clients because they directly control the trade-off between their privacy protection and their potential utility. Clients with different privacy preferences or data sensitivity levels might choose different strategies.
- Population share: The population share represents the proportion of clients choosing a particular strategy within the strategy space. Let denote the proportion of the population that selects strategy , and it satisfies .
- Utility: The utility for each client is determined by their net income, which is the difference between the payoff obtained from the server and the training costs incurred. The utility for selecting strategy at time t is denoted by . For simplicity, this is subsequently abbreviated as .
3.2. Utility Function
3.2.1. Incentive Pool
3.2.2. Payoff, Cost, and Utility
| Algorithm 1 Utility Calculation Algorithm. |
|
3.3. Replicator Dynamics
4. Game Analysis
- When is an ESS, then the following inequalities must be satisfied:where .
- When is an ESS, then the following inequalities must be satisfied:
- When or , the condition that the Jacobian matrix of the ordinary differential equation is negative definite cannot be satisfied. Taking as an example, the following two conditions need to be satisfied:However, since and are both greater than 0, there is no solution that satisfies the conditions. Therefore, or are not stable points.
5. Numerical Results
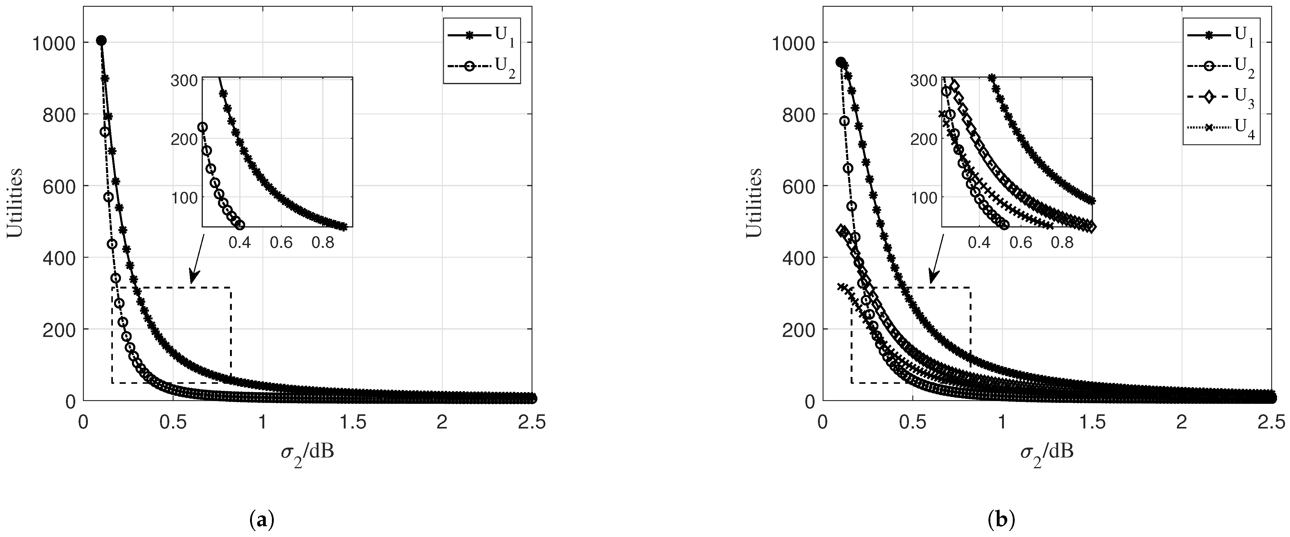
5.1. Utilities
5.1.1. Two-Strategy Scenario
5.1.2. Four-Strategy Scenario
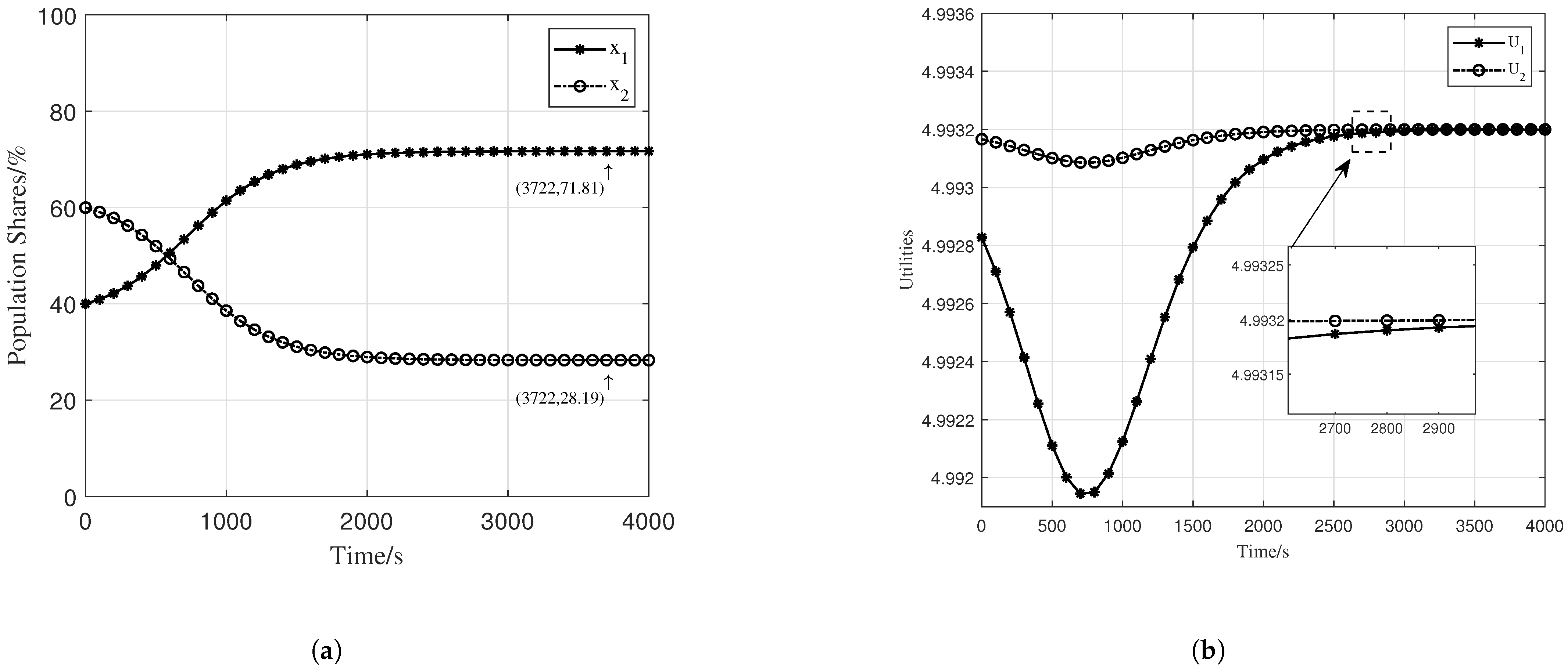
5.2. Stability Analysis
Two-Strategy Scenario
5.3. Beyond Two-Strategy Scenario
6. Conclusions
Author Contributions
Funding
Institutional Review Board Statement
Informed Consent Statement
Data Availability Statement
Conflicts of Interest
References
- Li, B.; Qi, P.; Liu, B.; Di, S.; Liu, J.; Pei, J.; Yi, J.; Zhou, B. Trustworthy AI: From principles to practices. ACM Comput. Surv. 2023, 55, 1–46. [Google Scholar] [CrossRef]
- Kaissis, G.A.; Makowski, M.R.; Rückert, D.; Braren, R.F. Secure, privacy-preserving and federated machine learning in medical imaging. Nat. Mach. Intell. 2020, 2, 305–311. [Google Scholar] [CrossRef]
- Liu, B.; Ding, M.; Shaham, S.; Rahayu, W.; Farokhi, F.; Lin, Z. When machine learning meets privacy: A survey and outlook. ACM Comput. Surv. (CSUR) 2021, 54, 1–36. [Google Scholar] [CrossRef]
- Wang, T.; Zhang, Y.; Qi, S.; Zhao, R.; Xia, Z.; Weng, J. Security and privacy on generative data in aigc: A survey. ACM Comput. Surv. 2024, 57, 1–34. [Google Scholar] [CrossRef]
- Shokri, R.; Stronati, M.; Song, C.; Shmatikov, V. Membership inference attacks against machine learning models. In Proceedings of the 2017 IEEE Symposium on Security and Privacy (SP), San Jose, CA, USA, 22–24 May 2017; IEEE: New York, NY, USA; pp. 3–18. [Google Scholar] [CrossRef]
- Li, T.; Sahu, A.K.; Talwalkar, A.; Smith, V. Federated learning: Challenges, methods, and future directions. IEEE Signal Process. Mag. 2020, 37, 50–60. [Google Scholar] [CrossRef]
- Wei, K.; Li, J.; Ding, M.; Ma, C.; Yang, H.H.; Farokhi, F.; Jin, S.; Quek, T.Q.; Poor, H.V. Federated learning with differential privacy: Algorithms and performance analysis. IEEE Trans. Inf. Forensics Secur. 2020, 15, 3454–3469. [Google Scholar] [CrossRef]
- Hu, R.; Guo, Y.; Li, H.; Pei, Q.; Gong, Y. Personalized federated learning with differential privacy. IEEE Internet Things J. 2020, 7, 9530–9539. [Google Scholar] [CrossRef]
- Geyer, R.C.; Klein, T.; Nabi, M. Differentially private federated learning: A client level perspective. arXiv 2017, arXiv:1712.07557. [Google Scholar] [CrossRef]
- Owen, G. Game Theory; Emerald Group Publishing: New Delhi, India, 2013. [Google Scholar]
- Hofbauer, J.; Sigmund, K. Evolutionary game dynamics. Bull. Am. Math. Soc. 2003, 40, 479–519. [Google Scholar] [CrossRef]
- Sandholm, W.H. Evolutionary game theory. In Complex Social and Behavioral Systems: Game Theory and Agent-Based Models; Springer: Berlin/Heidelberg, Germany, 2020; pp. 573–608. [Google Scholar] [CrossRef]
- Szabó, G.; Fath, G. Evolutionary games on graphs. Phys. Rep. 2007, 446, 97–216. [Google Scholar] [CrossRef]
- Zheng, C.; Wang, L.; Xu, Z.; Li, H. Optimizing Privacy in Federated Learning with MPC and Differential Privacy. In Proceedings of the 2024 3rd Asia Conference on Algorithms, Computing and Machine Learning, Shanghai, China, 22–24 March 2024; pp. 165–169. [Google Scholar] [CrossRef]
- Khan, A.; Thij, M.t.; Thuijsman, F.; Wilbik, A. Incentive Allocation in Vertical Federated Learning Based on Bankruptcy Problem. arXiv 2023, arXiv:2307.03515. [Google Scholar] [CrossRef]
- Talajić, M.; Vrankić, I.; Pejić Bach, M. Strategic Management of Workforce Diversity: An Evolutionary Game Theory Approach as a Foundation for AI-Driven Systems. Information 2024, 15, 366. [Google Scholar] [CrossRef]
- He, Y.; Wu, H.; Wu, A.Y.; Li, P.; Ding, M. Optimized shared energy storage in a peer-to-peer energy trading market: Two-stage strategic model regards bargaining and evolutionary game theory. Renew. Energy 2024, 224, 120190. [Google Scholar] [CrossRef]
- Wang, Y.; Zhou, Y.; Huang, P.Q. A novel incentive mechanism for federated learning over wireless communications. IEEE Trans. Artif. Intell. 2024, 5, 5561–5574. [Google Scholar] [CrossRef]
- Lim, W.Y.B.; Ng, J.S.; Nie, J.; Hu, Q.; Xiong, Z.; Niyato, D.; Miao, C. Evolutionary Model Owner Selection for Federated Learning with Heterogeneous Privacy Budgets. In Proceedings of the ICC 2022-IEEE International Conference on Communications, Seoul, Republic of Korea, 16–20 May 2022; IEEE: New York, NY, USA; pp. 980–985. [Google Scholar] [CrossRef]
- Du, J.; Jiang, C.; Chen, K.C.; Ren, Y.; Poor, H.V. Community-structured evolutionary game for privacy protection in social networks. IEEE Trans. Inf. Forensics Secur. 2017, 13, 574–589. [Google Scholar] [CrossRef]
- Abadi, M.; Chu, A.; Goodfellow, I.; McMahan, H.B.; Mironov, I.; Talwar, K.; Zhang, L. Deep learning with differential privacy. In Proceedings of the 2016 ACM SIGSAC Conference on Computer and Communications Security, Vienna, Austria, 24–28 October 2016; pp. 308–318. [Google Scholar] [CrossRef]
- Yang, C.; Qi, J.; Zhou, A. Wasserstein Differential Privacy. In Proceedings of the AAAI Conference on Artificial Intelligence, Vancouver, BC, Canada, 20–27 February 2024; Volume 38, pp. 16299–16307. [Google Scholar] [CrossRef]
- Triastcyn, A.; Faltings, B. Federated learning with bayesian differential privacy. In Proceedings of the 2019 IEEE International Conference on Big Data (Big Data), Los Angeles, CA, USA, 9–12 December 2019; IEEE: New York, NY, USA; pp. 2587–2596. [Google Scholar] [CrossRef]
- Triastcyn, A.; Faltings, B. Bayesian differential privacy for machine learning. In Proceedings of the International Conference on Machine Learning, PMLR, Virtual, 13–18 July 2020; pp. 9583–9592. [Google Scholar]
- Dong, J.; Roth, A.; Su, W.J. Gaussian differential privacy. J. R. Stat. Soc. Ser. Stat. Methodol. 2022, 84, 3–37. [Google Scholar] [CrossRef]
- Bu, Z.; Dong, J.; Long, Q.; Su, W.J. Deep learning with gaussian differential privacy. Harv. Data Sci. Rev. 2020, 2020, 10–1162. [Google Scholar] [CrossRef]
- Chuanxin, Z.; Yi, S.; Degang, W. Federated learning with Gaussian differential privacy. In Proceedings of the 2020 2nd International Conference on Robotics, Intelligent Control and Artificial Intelligence, Shanghai, China, 17–19 October 2020; pp. 296–301. [Google Scholar] [CrossRef]
- Dwork, C.; Roth, A. The algorithmic foundations of differential privacy. Found. Trends® Theor. Comput. Sci. 2014, 9, 211–407. [Google Scholar] [CrossRef]
- Liu, T.; Di, B.; Wang, B.; Song, L. Loss-privacy tradeoff in federated edge learning. IEEE J. Sel. Top. Signal Process. 2022, 16, 546–558. [Google Scholar] [CrossRef]
- ur Rehman, M.H.; Salah, K.; Damiani, E.; Svetinovic, D. Towards blockchain-based reputation-aware federated learning. In Proceedings of the IEEE INFOCOM 2020-IEEE Conference on Computer Communications Workshops (INFOCOM WKSHPS), Beijing, China, 27–30 April 2020; IEEE: New York, NY, USA; pp. 183–188. [Google Scholar] [CrossRef]
- Wang, Y.; Su, Z.; Luan, T.H.; Li, R.; Zhang, K. Federated learning with fair incentives and robust aggregation for UAV-aided crowdsensing. IEEE Trans. Netw. Sci. Eng. 2021, 9, 3179–3196. [Google Scholar] [CrossRef]
- Weng, J.; Weng, J.; Zhang, J.; Li, M.; Zhang, Y.; Luo, W. Deepchain: Auditable and privacy-preserving deep learning with blockchain-based incentive. IEEE Trans. Dependable Secur. Comput. 2019, 18, 2438–2455. [Google Scholar] [CrossRef]
- Zou, Y.; Feng, S.; Niyato, D.; Jiao, Y.; Gong, S.; Cheng, W. Mobile device training strategies in federated learning: An evolutionary game approach. In Proceedings of the 2019 International Conference on Internet of Things (iThings) and IEEE Green Computing and Communications (GreenCom) and IEEE Cyber, Physical and Social Computing (CPSCom) and IEEE Smart Data (SmartData), Atlanta, GA, USA, 14–17 July 2019; IEEE: New York, NY, USA; pp. 874–879. [Google Scholar] [CrossRef]
- Cheng, Z.; Wang, B.; Pan, Y.; Liu, Y. Strategic Analysis of Participants in BCFL-Enabled Decentralized IoT Data Sharing. Mathematics 2023, 11, 4520. [Google Scholar] [CrossRef]
- Hammoud, A.; Mourad, A.; Otrok, H.; Wahab, O.A.; Harmanani, H. Cloud federation formation using genetic and evolutionary game theoretical models. Future Gener. Comput. Syst. 2020, 104, 92–104. [Google Scholar] [CrossRef]
- Houda, Z.A.E.; Brik, B.; Ksentini, A.; Khoukhi, L.; Guizani, M. When Federated Learning Meets Game Theory: A Cooperative Framework to Secure IIoT Applications on Edge Computing. IEEE Trans. Ind. Inform. 2022, 18, 7988–7997. [Google Scholar] [CrossRef]
- Weibull, J.W. Evolutionary Game Theory; MIT Press: Cambridge, MA, USA, 1997. [Google Scholar]
- Hofbauer, J.; Sandholm, W.H. Stable games and their dynamics. J. Econ. Theory 2009, 144, 1665–1693. [Google Scholar] [CrossRef]








| Notation | Meaning |
|---|---|
| Player i | |
| Number of iterations for strategy n | |
| Gaussian noise power for strategy n | |
| I | Number of players |
| N | Number of strategies |
| A | Basic incentive for participating in training |
| Proportion of the population selecting strategy | |
| Utility function of at time t | |
| Size of the incentive pool |
Disclaimer/Publisher’s Note: The statements, opinions and data contained in all publications are solely those of the individual author(s) and contributor(s) and not of MDPI and/or the editor(s). MDPI and/or the editor(s) disclaim responsibility for any injury to people or property resulting from any ideas, methods, instructions or products referred to in the content. |
© 2025 by the authors. Licensee MDPI, Basel, Switzerland. This article is an open access article distributed under the terms and conditions of the Creative Commons Attribution (CC BY) license (https://creativecommons.org/licenses/by/4.0/).
Share and Cite
Ni, Z.; Zhou, Q. Differential Privacy in Federated Learning: An Evolutionary Game Analysis. Appl. Sci. 2025, 15, 2914. https://doi.org/10.3390/app15062914
Ni Z, Zhou Q. Differential Privacy in Federated Learning: An Evolutionary Game Analysis. Applied Sciences. 2025; 15(6):2914. https://doi.org/10.3390/app15062914
Chicago/Turabian StyleNi, Zhengwei, and Qi Zhou. 2025. "Differential Privacy in Federated Learning: An Evolutionary Game Analysis" Applied Sciences 15, no. 6: 2914. https://doi.org/10.3390/app15062914
APA StyleNi, Z., & Zhou, Q. (2025). Differential Privacy in Federated Learning: An Evolutionary Game Analysis. Applied Sciences, 15(6), 2914. https://doi.org/10.3390/app15062914

