Next Article in Journal
Simulation and Experimental Research on Composite Diaphragm Hydraulic Force/Displacement Amplification Mechanism with Adjustable Initial Volume
Next Article in Special Issue
Bi-Level Collaborative Optimization for Medical Consumable Order Splitting and Reorganization Considering Multi-Dimensional and Multi-Scale Characteristics
Previous Article in Journal
Selection of Landsat 8 OLI Levels, Monthly Phases, and Spectral Variables on Identifying Soil Salinity: A Study in the Yellow River Delta
Previous Article in Special Issue
Evaluating the Impact of Membership Functions and Defuzzification Methods in a Fuzzy System: Case of Air Quality Levels
 
 
Font Type:
Arial Georgia Verdana
Font Size:
Aa Aa Aa
Line Spacing:
Column Width:
Background:
Article

Online Three-Dimensional Fuzzy Multi-Output Support Vector Regression Learning Modeling for Complex Distributed Parameter Systems

1
School of Mechatronics and Automation, Shanghai University, Shanghai 200444, China
2
China Mobile Group Jiangsu Company Limited, Nanjing 223800, China
*
Author to whom correspondence should be addressed.
Appl. Sci. 2025, 15(5), 2750; https://doi.org/10.3390/app15052750
Submission received: 23 December 2024 / Revised: 14 February 2025 / Accepted: 18 February 2025 / Published: 4 March 2025
(This article belongs to the Special Issue Fuzzy Control Systems and Decision-Making)

Abstract

Complex distributed parameter systems (DPSs) are prevalent in numerous industrial processes. However, the nonlinear spatiotemporal dynamics inherent in DPS present significant challenges for accurate modeling. In this paper, an innovative online three-dimensional (3D) fuzzy multi-output support vector regression learning method is proposed for DPS modeling. The proposed method employs spatial fuzzy basis functions from the 3D fuzzy model as kernel functions, enabling direct construction of a comprehensive fuzzy rule base. Parameters  C  and  ε  in the 3D fuzzy model adaptively adjust according to data sequence variations, effectively responding to system dynamics. Furthermore, a stochastic gradient descent algorithm has been implemented for real-time updating of learning parameters and bias terms. The proposed method was validated through two typical DPS and an actual rotary hearth furnace industrial system. The experimental results show the effectiveness of the proposed modeling method.

1. Introduction

A distributed parameter system (DPS) refers to a dynamic system in which state variables are distributed simultaneously in time and space [1]. It is widely used in various industrial process applications, such as catalytic reactions [2], battery thermal processes [3], and chip curing [4]. The dynamic characteristics of these systems are described by partial differential equations (PDEs), showing significant spatiotemporal variation. The input, output, and process parameters change across both time and space dimensions [5]. Due to the nonlinear and spatiotemporal coupling characteristics of these systems, traditional lumped parameter system (LPS) simplification methods often cannot accurately capture their complex dynamic behaviors [6].
Traditional approaches often neglect the spatial distribution properties of a DPS and reduce it to an LPS, which leads to inaccurate modeling results. As the quality requirements of industrial products increase and sensor and computing technologies advance, the need for accurate modeling of distributed parameter systems has become increasingly urgent [7]. Advances in modern technology have enabled high-precision DPS modeling, which is essential to accurately describe the dynamical properties of the system. Accurate DPS modeling can not only improve the efficiency and reliability of industrial processes but also provide a solid basis for further research and applications [8]. Therefore, developing a mathematical model that can accurately describe the spatiotemporal dynamics of DPSs is an important task in current research.
The modeling methods of distributed parameter systems are primarily categorized into two categories: process mechanism-based and data-driven [9]. Process mechanism-based modeling relies on physical and chemical principles to describe the system’s dynamic behavior by establishing partial differential equations (PDEs). These PDEs are then simplified into finite-dimensional ordinary differential equations (ODEs) through model order reduction techniques, such as weighted residual methods [10], finite element methods [11], and finite difference methods [12]. These methods require that the PDEs are known. However, in practical industrial processes, it is often difficult to obtain an accurate PDE model due to the complexity of the system. In contrast, data-driven modeling-based approaches utilize large amounts of process data for system identification without prior knowledge, providing greater versatility and flexibility [13]. In particular, the data-driven distributed parameter system modeling approach methodology is more challenging to model real complex industrial processes when both the model structure and parameters are unknown [14].
In modeling approaches for distributed parameter systems based on spatiotemporal separation, common approaches assume spatial basis functions based on empirical or prior process knowledge [15]. The KL decomposition method is often used to construct spatial basis functions. Xu et al. [16] proposed a multi-spatiotemporal modeling method that combines a finite Gaussian mixture model, KL decomposition, and principal component regression. This method effectively reduces nonlinear complexity by using spatial separation, local spatiotemporal modeling, and model integration. Wang and Li [17] proposed a multimodal approach to successfully deal with the strong nonlinear and time-varying dynamics of the system by dividing the original runtime space through modified dissimilarity analysis, local spatiotemporal modeling using KL decomposition, and finally integrating the local model through principal component regression. Although the KL decomposition method has been successfully applied in many fields, its modeling ability for strongly nonlinear systems is limited due to its essentially linear nature. Therefore, KL decomposition is usually only applicable for modeling linear or weakly nonlinear systems. In addition, KL decomposition also has certain limitations in time-varying and nonlinear DPS modeling [18]. Chen et al. [19] proposed a learning-based framework for online modeling of the distributed thermal process of soft-pack lithium-ion batteries under sparse sensing conditions, using KL decomposition for offline learning and achieving accurate temperature prediction through incremental updates. Jin et al. [9] proposed a method combining nonlinear time domain transformation and spatiotemporal domain reconstruction, using local linear embedding for time transformation, extreme learning machine for modeling, and successful reconstruction of dynamic predictions, with the experimental results showing superior accuracy compared to traditional methods. Huang et al. [20] proposed a sparse learning method based on physical information, effectively overcoming outlier influences and achieving robust DPS modeling, verified through the alternating direction method of multipliers optimization in complex experiments. Wang et al. [21] introduced a new physics-informed machine learning method based on time/space separation, which integrates physical information and data for spatiotemporal modeling of DPS. The experimental results demonstrated its effectiveness. Wang and Li [22] proposed a dual-scale incremental learning method for modeling complex time-varying DPS, which effectively handles dynamics at different scales by incrementally updating the spatial basis functions and temporal models. The experimental results verified the effectiveness of this method in the thermal process of a curing furnace. Wei and Li [23] proposed a neural network method based on time–space separation for DPS modeling without process knowledge, achieved continuous space modeling through spatial basis functions and Gaussian process regression, and experimentally verified its effectiveness in catalytic reactions and battery thermal processes.
Three-dimensional (3D) fuzzy systems have developed rapidly in the field of DPS modeling in recent years [24]. Compared with the traditional DPS modeling method based on time–space separation, the 3D fuzzy model naturally forms a framework of time–space separation and time–space integration, does not rely on model simplification, and possesses linguistic interpretability. Zhang et al. [25] proposed a time/space-separated 3D fuzzy modeling approach to model unknown nonlinear spatial distribution systems through input–output data. This approach uses the Mamdani fuzzy rule and KL decomposition to construct 3D fuzzy structures and a particle swarm optimization algorithm for parameter identification. Simulations and experiments have verified its effectiveness. Zhang et al. [26] proposed a 3D fuzzy modeling method based on clustering and support vector regression without model dimensionality reduction. The simulation results demonstrate the effectiveness of the proposed modeling method. However, most 3D fuzzy system-based modeling approaches rely on historical data for offline modeling. When the dynamic characteristics of the system change, such offline models based on historical data may not be able to adapt to the current system conditions, leading to a gradual decrease in model accuracy.
Based on the literature review presented above, the main research gaps can be summarized as follows: Existing distributed parameter system modeling methods, such as those based on KL decomposition and time–space separation, although effective in linear or weakly nonlinear systems, have obvious limitations when facing strong nonlinear and time-varying systems. The KL decomposition method cannot effectively handle strong nonlinearities or time-varying dynamics due to its inherent linear characteristics, and the time–space separation method usually relies on experience or prior knowledge to construct spatial basis functions, which limits its application in complex industrial processes. In addition, most data-driven modeling methods rely on historical data for offline modeling and lack online learning capabilities. Therefore, they cannot be updated in time when system characteristics change, resulting in a decrease in modeling accuracy.
In this paper, an online 3D fuzzy modeling method based on the stochastic gradient descent method with the online spatiotemporal multi-output support vector regression method (3D-OMSVR-SGD) is proposed. The method firstly takes the whole spatial domain as a whole and models the 3D fuzzy system online by SVR with the spatial kernel function, and adopts stochastic gradient descent-based variable-parameter SVR to realize incremental online learning. The model can be dynamically adjusted to reflect the changes in system behavior, overcoming the shortcomings of the traditional offline modeling methods that cannot adapt to changes in the system. The main contributions are summarized as follows:
  • An online 3D fuzzy spatial multi-output support vector regression learning modeling method based on SGD is proposed to effectively address the nonlinear and time-varying dynamics of DPS;
  • The parameters  C  and  ε  in the model are dynamically adjusted adaptively with the changes in online data to enhance the adaptability of system characteristics;
  • The SGD method is introduced to achieve real-time updates of the learning parameters and bias terms.
The rest of the paper is organized as follows: Section 2 is a description of the research question. Section 3 details the proposed 3D-OMSVR-SGD. The results of the experiment are discussed in Section 4. The conclusion and future work are summarized in Section 5.

2. Problem Description

2.1. Distributed Parameter System Description

Many industrial systems are large-scale, highly nonlinear, and parameter-varying distributed systems in practical industrial production, such as nonisothermal fixed bed catalytic reactor systems [27] and three-zone rapid heating chemical vapor deposition reactors (RTCVDs) [26]. This paper considers the above two types of nonlinear DPSs. The general mathematical representation of a nonlinear DPS can be described by the following nonlinear PDE [28]:
y ( z , t ) t = F T , y z , , d y z d + B z · u ( t )
where  y ( z , t )  represents the spatiotemporal distribution of temperature,  z  is the spatial variable, t is the time variable,  u ( t )  is the system’s input signal,  B ( z )  is a matrix function describing the spatial distribution of the system’s input signal, and  F  is an unknown nonlinear function involving  y  and its spatial derivatives up to the  d -th order.
The system is subject to the following mixed-type boundary conditions and initial conditions:
G y , y z , , d 1 y z d 1 | z = z a   o r   z = z b = 0
y z , 0 = y 0 ( z )
where  G  is an unknown nonlinear function, and  y 0 ( z )  is the initial condition.
The complex nonlinear characteristics make it difficult for the model to capture the true dynamics of the system. In addition, the modeling of a DPS remains challenging due to the following reasons:
  • The inherent time-varying nature of DPS necessitates models with real-time adaptability to system state variations;
  • Traditional distributed parameter system modeling lacks interpretability;
  • The spatiotemporal coupling effect of distributed parameter systems makes modeling more complicated.

2.2. 3D Fuzzy Modeling

The 3D fuzzy model is a DPS modeling approach that combines time–space separation and synthesis. It has linguistic interpretability and does not require model reduction. The 3D fuzzy system also has universal approximation, but unlike the traditional fuzzy system, the 3D fuzzy system is constructed based on a 3D spatial fuzzy set [24].
The 3D fuzzy model framework is illustrated in Figure 1. The antecedent set calculates the time coefficients, and the consequent set characterizes the spatial basis functions.
These components achieve spatiotemporal separation and synthesis through fuzzy inference mechanisms. Traditional offline 3D fuzzy models cannot effectively cope with the dynamic changes and abnormal situations of a DPS because they rely on historical data to capture system behavior and cannot be adjusted in real time to cope with equipment wear, partial link damage, or unexpected disturbances.
In contrast, the proposed online 3D fuzzy spatial MSVR learning method can dynamically update the model parameters and reflect changes in the system in real time. When the system faces equipment failures or deviations from normal operating conditions, the model parameters are adjusted using real-time data. This allows the model to adapt promptly to new environments and abnormal conditions. As a result, the system model can continuously track the actual operating status. This adaptive capability not only improves the robustness of the model in complex dynamic environments but also provides higher accuracy and reliability for DPS monitoring and prediction.

3. Online 3D Fuzzy Modeling

3.1. Framework

Spatiotemporal data present unique challenges for generative modeling, such as complexity in spatial proximity, nonlinear dynamics, and noise. The 3D fuzzy model based on historical data cannot accurately capture the real-time dynamic characteristics of the system. Therefore, a 3D fuzzy online spatiotemporal spatial MSVR modeling method for complex DPS is proposed for real-time prediction, as shown in Figure 2.
This modeling method is an online MSVR model based on the SGD algorithm combined with the framework of 3D fuzzy modeling. In this method, SVR adapts to the dynamic changes of the system by updating the support vectors, learning parameters, and the number of valid support vectors online. Specifically, the support vectors are used as the center of the fuzzy membership function of the antecedent part of the 3D fuzzy rule base, and the learning parameters are used as the spatial basis functions of the consequent part. In addition, the number of valid support vectors in the model determines the number of rules of the 3D fuzzy system, which affects the modeling accuracy and complexity of the system.
The proposed 3D fuzzy online modeling method for a time-varying DPS includes the following features:
  • A spatial MSVR is used to learn the 3D fuzzy rules of a 3D fuzzy model when spatial fuzzy basis functions of the 3D fuzzy model are transferred to the spatial kernel functions of the spatial MSVR;
  • An adaptive parameter adjustment mechanism is introduced to dynamically optimize the model parameters based on real-time data;
  • An online learning approach based on SGD is employed to update the learning parameters and bias terms, ensuring continuous optimization of the model in dynamic environments.

3.2. Spatial MSVR Learned 3D Fuzzy Model

Spatial MSVR is a machine learning method that extends single-output support vector regression, aiming at predicting multiple correlated output variables at the same time. MSVR deals with the correlation and interdependence among individual output variables by constructing a regression model in spatial multi-output space. Compared with traditional SVR methods, MSVR demonstrates higher prediction accuracy and stability in multidimensional regression problems [29].
Assume that the entire spatial area of the complex distributed parameter system is  Z ¯ , and collect data samples from the DPS as a dataset  D = { u t , y z i , t } i = 1 , t = 1 S , L z i  is the spatial position of the  i -th sensor,  S  is the number of sensors, and  L  is the sampling time length. Here,  u t R n  is the input variable, and  y z , t = { y z 1 , t , y z 2 , t , , y z q , t } R q  is the output variable.  n  and  q  are the dimensions of the input and output variables, respectively. The 3D fuzzy rules in 3D-OMSVR-SGD are as follows:
R ¯ l : i f   y z , t 1 is   C ¯ 1 l and   y z , t 2 is   C ¯ 2 l and     and   y z , t J is   C ¯ J l and   u 1 ( t 1 ) is   U 1 1 l and   u 1 ( t 2 ) is   U 2 2 l and     and   u 1 ( t K ) is   U 2 K l and   u m ( t 1 ) is   U m 1 l and   u m ( t 2 ) is   U m 2 l and     and   u m ( t K ) is   U m K l then   y ( Z ¯ , t ) is   φ l ( Z ¯ )
where  C ¯ J l  and  U m K l  are denoted as the 3D fuzzy set and the traditional fuzzy set, respectively.  R ¯ l  represents the  l -th 3D fuzzy rule ( l = 1,2 , , N R ).  φ l ( Z ¯ )  denotes a spatial basis function.
The combination of MSVR and 3D fuzzy systems can further enhance the ability of DPS modeling, especially in dealing with spatial multi-output and nonlinear relationships. Combining these two approaches can fully exploit the interpretability of 3D fuzzy systems and the spatial multi-output regression capabilities of MSVR, providing an effective modeling framework for solving complex spatiotemporal distribution problems. The rules of 3D fuzzy systems have strong linguistic interpretability and can flexibly handle complex dynamic changes without relying on traditional dimensionality reduction techniques. Combined with the online learning capability of MSVR, the model parameters can be continuously adjusted to adapt to changes in the environment and process conditions in the distributed parameter system, thereby enhancing the real-time online modeling capability.
The kernel function (KF) in support vector regression satisfies the Mercer theorem. If the spatial fuzzy basis functions (SFBFs) in the 3D fuzzy system satisfy the Mercer theorem, they can be used as the spatial kernel function (SKF) in MSVR [30]. Since (5) satisfies Mercer’s theorem, the SFBF can be used as the kernel function of the SVM [31,32]. The SFBF of the 3D fuzzy model is as follows:
ψ l t = j = 1 P a j l i = 1 J e x p ( ( ( y z j , t i c i j l ) / σ i j l ) 2 ) × i = 1 m k = 1 K e x p ( ( ( u i t k d i k l ) / δ i k l ) 2 )
where  c i j l  and  σ i j l  represent the center and width of the Gaussian 3D fuzzy set  C ¯ i l , and  d i k l  and  δ i k l  represent the center and width of the traditional Gaussian fuzzy set  U i k l .
Specifically, the SFBF can be expressed as a linear combination of multiple traditional fuzzy basis functions. Each fuzzy basis function satisfies Mercer’s theorem, so their weighted sum also satisfies symmetry and positive definiteness, thus ensuring the effectiveness of the SFBF as a kernel function [31]. Specifically, the SFBF can be rewritten as shown below:
ψ l t = j = 1 P a j l ϕ l ( t )
ϕ l t = i = 1 J e x p ( ( ( y z j , t i c i j l ) / σ i j l ) 2 ) × i = 1 m k = 1 K e x p ( ( ( u i t k d i k l ) / δ i k l ) 2 )
where  ϕ l ( t )  is the traditional fuzzy basis function, and each  ϕ l ( t )  itself satisfies Mercer’s theorem, so they can be used as kernel functions.
Since the linear combination of kernel functions is still a kernel function, the 3D spatial fuzzy basis function, as a linear combination of traditional fuzzy basis functions, also has the properties of kernel functions. Therefore, the 3D SFBF can be used as the SKF in MSVR for regression modeling in high-dimensional feature space. Spatial fuzzy basis functions as kernel functions in MSVR can effectively model and predict a nonlinear DPS.
According to the basic principle of SVR, the input data are mapped to a high-dimensional feature space, and a linear model is constructed in the feature space so that the model can find the best hyperplane to fit the data in this space. The formula for the dual optimization problem is as follows:
min w , b 1 2 i = 1 q | | ω i | | 2 + C i = 1 q k = 1 N l ε ( f i ( x k ) y ^ i k )
where  N  is the number of samples.  q  is the dimension of the output variable.  l ε  is the insensitive loss function.
l ε f i x k y ^ i k = f i x k w x k T Φ x k + b ε i
Then, the multivariable support vector regression problem is transformed into the following optimization problem by introducing the relaxed variable  ξ i k ξ i k * :
min w , b , ξ i , ξ i * 1 2 i = 1 q | | ω i | | 2 + C i = 1 q k = 1 N ( ξ i k + ξ i k * )
s . t . y ^ i k ω i , x k b i ε i + ξ i k ω i , x k + b i y ^ i k ε i + ξ i k * ξ i k 0 , ξ i k * 0 , i = 1 , q
The Lagrange function is introduced as:
L = 1 2 i = 1 q | | ω i | | 2 + C i = 1 q k = 1 N ( ξ i k + ξ i k * ) + i = 1 q k = 1 N α i k ( y ^ i k ω i , x k b i ε i ξ i k ) + i = 1 q k = 1 N α ^ i k ( ω i , x k + b i y ^ i k ε i ξ i k * ) i = 1 q k = 1 N μ i k ξ i k i = 1 q k = 1 N μ ^ i k ξ i k *
The conditions for optimality are given by:
L ω i = ω i k = 1 N α i k x k + k = 1 N α ^ i k x k = 0 ω i = k = 1 N ( α i k α ^ i k ) x k L b i = k = 1 N α i k + k = 1 N α ^ i k = 0 k = 1 N ( α i k α ^ i k ) = 0 L ξ i k = C α i k μ i k = 0 L ξ i k * = C α ^ i k μ ^ i k = 0 i = 1,2 , , q ,   k = 1,2 , , N
For spatial multi-output nonlinear optimization problems, the kernel function  K x j , x k = Φ x j , Φ ( x k ) = Φ T x j T Φ x k  is introduced to enable the system to handle nonlinear dynamics, then the nonlinear regression optimization problem is:
max 1 2 i = 1 q j , k = 1 N ( α i j α ^ i j ) ( α i k α ^ i k ) K ( x j , x k ) + i = 1 q k = 1 N y i k ( α i k α ^ i k ) ε i ( α i k + α ^ i j )
s . t . k = 1 N ( α i j α ^ i k ) = 0 0 α i j , α ^ i k C
Then, the expression for the spatial multi-output model is:
f i x = k = 1 N ( α i k α ^ i k ) K x k , x + b i = k S V ( α i k α ^ i k ) K x k , x + b i
where the samples corresponding to the non-zero values in  ( α i k α ^ i k )  are the spatial support vectors ( S V s ).
According to Appendix A, the nonlinear mathematical expression of the 3D fuzzy model with a bias term is as follows:
y ^ z i , t = l = 1 N R φ l z i ψ l t + b i
Comparing (16) and (17), let  α i k α ^ i k = φ i z i K x k , x = ψ i t . Then, we can have the following equivalent relationship:
y ^ z i , t = f i x
The SFBF of the 3D fuzzy model is mapped to the spatial kernel function of MSVR, and the support vector is used to determine the membership function center of the antecedent of the fuzzy rule. Secondly, the spatial basis function of the consequent is generated by the Lagrange multiplier method. In this way, the design of the 3D fuzzy model can be transformed into the training problem of optimizing the spatial MSVR. Therefore, under the above specific conditions, the decision function of MSVR is equivalent to the 3D fuzzy model. In order to improve the adaptability of the model in different environments, the adaptive update of the regularization parameter   C  and the error tolerance  ε  in the support vector is crucial. The optimization of these parameters plays a key role in controlling the complexity and accuracy balance of the model, so they must be dynamically adjusted according to real-time data. In addition, we propose an online update strategy based on the SGD method to adjust the learning parameters in real time, further improving the training efficiency and accuracy of the model.

3.3. Parameter Adaptation

During the online modeling process, real-time parameter tuning can help the model to better adapt to changes in the real environment and improve the performance and prediction capabilities of the model. The parameter  C  in the previous section represents the regularization parameter, which is used to control the complexity of the model to avoid overfitting. Specifically, a smaller  C  value will lead to stronger regularization, making the model more inclined to choose a simple hyperplane, while a larger  C  value will reduce the impact of regularization, making the model more inclined to fit the training data. The current sample can provide more system characteristic information than the historical sample when the sensor monitors the state of the system in real time. Therefore, we designed a parameter adaptive update method. The parameter  C  increases with time and tends to be stable to adapt to the changing characteristics of the data in time in the process of model training. The update for  C  is as follows:
C = 100 50 1 + e 10 × ( l 0.6 × L ) N
where  N  is the number of samples,  l  is the time of the current sample point, and  L  is the total time of online modeling.
Similarly, the parameter  ε  is the boundary bandwidth in MSVR, which controls the tolerance of the model to the error between the predicted value and the actual value. The value of  ε  is dynamically adjusted based on the error between the model prediction value and the true value. When the model prediction error is large in the initial stage, the value of  ε  is larger to allow a looser range of support vectors to improve the fault tolerance. When the online model prediction error is small, the value of  ε  is gradually reduced to improve the accuracy of the model. The update for  ε  is as follows:
ε = 0.0001 0.5 1 + e 10 × ( l 0.6 × L ) N
where  l  is the time of the current sample point, and  L  is the total time of online modeling.

3.4. Online Update Based on SGD

The SGD method was used to iteratively update the parameters of the online model to minimize the loss function. During the SGD optimization process, only one sample was used to estimate the gradient at each iteration rather than the entire dataset. This can reduce the computational cost and converge to the local optimal solution faster.  l ε  is an insensitive loss function:
l ε = 0 ,     | z | 0 z ε i ,     o t h e r w i s e
z = y i k k = 1 N ( α i k α ^ i k ) K ( x k , x )
The sensor collects new data  { x ( t l + 1 , y z , t } )  at sampling time  t l + 1 . When  z > ε i , update the objective function (16), and the update rules are as follows:
α t l + 1 , i k α t l , i k + η s i g n ( y i k k = 1 N ( α t l , i k α ^ t l , i k ) K x k , x b t l , i )
b t l + 1 , i b t l , i + η s i g n ( y i k k = 1 N ( α t l , i k α ^ t l , i k ) K ( x k , x ) b t l , i )
s i g n ( E ) = 1 E > 0 0 E = 0 1 E < 0
where  s i g n ( E )  is the sign function, and  E = y i k k = 1 N ( α t l , i k α ^ t l , i k ) K ( x k , x ) b t l , i .

4. Case Studies

In the experimental section, two nonlinear time-varying systems, including a non-isothermal fixed bed reactor and RTCVD, as well as an actual industrial rotary hearth furnace combustion system, were used to verify the effectiveness of the proposed method. Subsequently, the online spatiotemporal least squares support vector machine modeling method (ST-LS-SVM) [15] and a convolutional neural network (CNN) were compared with the proposed method. A CNN does not explicitly account for spatial locations in the modeling of a DPS. Instead, it relies on convolutional kernels to automatically learn and extract relevant features from the input data. By treating multiple input features as different channels, the CNN primarily focuses on extracting local patterns through the convolution layers. These features are then down-sampled to reduce dimensionality and enhance the model’s generalization ability. Finally, the fully connected layers integrate these extracted features to produce the final prediction [33]. For the convenience of visual analysis and comparison, four performance indicators were used to estimate the modeling accuracy:
  • Temporal normalized absolute error ( T N A E ):
T N A E = 1 L t = 1 L | e ( z i , t ) |
2.
Relative  L 2 -norm error ( R L N E ):
R L N E = ( e ( z , t ) 2 d z ) 1 / 2 ( y ( z , t ) 2 d z ) 1 / 2
3.
Relative error ( R E ):
R E = | y ^ Z ¯ , t y ( Z ¯ , t ) y ( Z ¯ , t ) |
4.
Root mean square error ( R M S E ):
R M S E = 1 L t = 1 L ( y ^ Z ¯ , t y ( Z ¯ , t ) ) 2

4.1. Case 1: Nonisothermal Fixed-Bed Reactor

In the actual industrial production process, the measured data are subject to noise. To simulate this, Gaussian white noise was added to the output of the system model to align with real-world conditions. The noise was modeled as random noise with a uniform distribution within the range of [−0.02, 0.02], ensuring a mean value of 0 and a bounded amplitude. The noise signal was generated using a random number generator, with each sample independently drawn at each time step to simulate the typical measurement noise encountered in industrial systems. The excitation time was set to 40 s, with a sampling interval of 0.2 s, resulting in a total of 200 data samples collected for the initialization of the model. During the online simulation, the total modeling time was set to 50 s, generating 250 data samples. After 10 s of online operation, to simulate environmental changes in the system, the reaction rate was increased by reducing the activation energy. Specifically, the activation energy was reduced to 10% of its original value after 10 s of operation, mimicking the impact of changing environmental conditions on the process.
In this section, a nonisothermal fixed-bed reactor system is modeled, as shown in Figure 3. The gaseous reactants are injected into the reactor, and the reaction from A to B occurs on the solid catalyst. The reaction is endothermic, so a jacket is required to heat it. Assuming that the environment is under ideal conditions, the mathematical model of the dynamics of this reaction process can be formulated as follows:
ε p T g t = T g z + α c T s T g α g T g u T s t = 2 T s z 2 + B 0 exp γ T s 1 + T s β c T s T g β P T s b ( z ) u
The boundary conditions and the values of the process parameters are as follows:
z = 0 , T g = 0 , T s z = 0 z = 1 , T s z = 1
ε p = 0.01 , γ = 21.14 , β c = 1.0 , β P = 15.62 , B 0 = 0.003 , α c = α g = 0.5
where  t  and  z  are dimensionless time and space.  T g T s , and  u  are dimensionless gas temperature, catalyst temperature, and jacket temperature, respectively.
An interference signal with an amplitude of 10% is added to the manipulated variables  u 1 u 2 , and  u 3  to collect spatiotemporal data with sufficient information from the system as follows:
u 1 t = 0.7114 + 0.1 0.7114 r a n d ( ) s i g n ( r a n d ( ) 0.5 ) u 2 t = 0.6858 + 0.1 0.6858 r a n d ( ) s i g n ( r a n d ( ) 0.5 ) u 3 t = 0.6838 + 0.1 0.6838 r a n d ( ) s i g n ( r a n d ( ) 0.5 )
where 0.7111, 0.6858, and 0.6838 are the steady-state inputs of the catalyst temperature under the spatial reference contour  T s d z = 0.42 0.2 c o s ( π z ) ( 0 z 1 ).
This reactor can only measure the catalyst temperature, which is measured using a  p -point sensor. In this example, seven sensors were used and uniformly placed. The dynamic mathematical model described by (30) and (31) was used to reveal the thermal dynamic characteristics of the system and was used as a simulation model to verify the performance of the modeling algorithm.
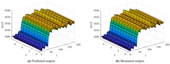
The spatially continuous temperature estimated output of the nonisothermal catalytic packed-bed c reactor system is shown in Figure 4a, which is in high agreement with the measured temperature output in Figure 4b. In Figure 5, the predicted temperatures at the sensors  S 3  and  S 7  are compared with the actual temperatures. It can be seen that the proposed method performs well.
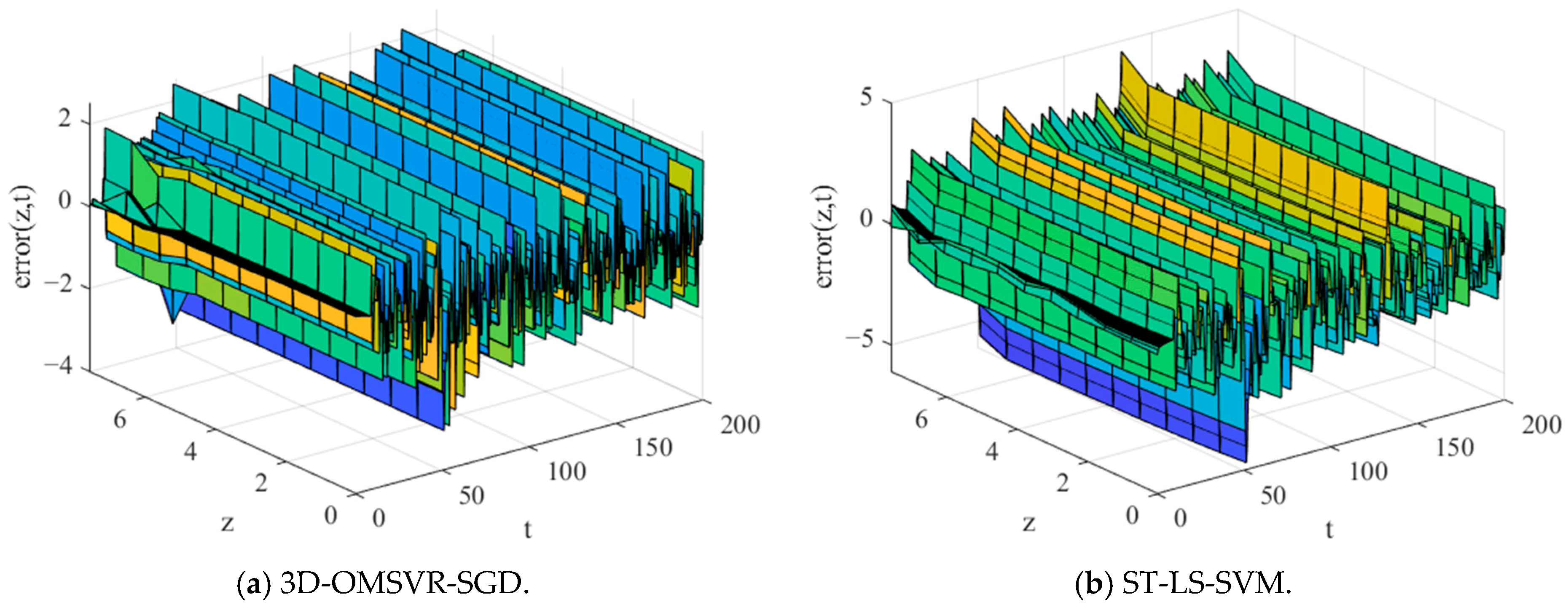
The modeling errors of 3D-OMSVR-SGD and the comparison algorithm are shown in Figure 6. The relative errors are shown in Figure 7. It can be clearly seen that the 3D-OMSVR-SGD method significantly outperforms the compared algorithm in terms of modeling error. The model uses SGD optimization to adjust the model parameters in real time to adapt to data variations and environmental changes in the dynamic system. This real-time adjustment capability allows the model to quickly respond to new input data and update predictions promptly to reduce prediction errors. The SVR model can accurately select and exploit the most relevant features to reduce data complexity and improve prediction accuracy. The RMSE and RE results are shown in Table 1.
The TNAE and RLNE are shown in Figure 8 and Figure 9, respectively. The comparison of the TNAE in Figure 8 shows that the proposed method has a lower error than the compared methods at all sensor locations. The RLNE results in Figure 9 show that the proposed method performs better than the compared methods under external perturbations.

4.2. Case 2: RTCVD System

This section takes the thermal process of a three-zone RTCVD reactor as an example to verify the effectiveness of the proposed method. The structure of the RTCVD is shown in Figure 10. The furnace body is designed with three zones of heating lamps (A, B, and C). Argon mixed with 10% silane enters the reactor from the top of the furnace body, and then the silane is decomposed into silicon and hydrogen in the reactor. The goal of this process is to uniformly deposit a 0.5-micron thick polycrystalline silicon film on the wafer surface. Since the temperature difference between the upper and lower surfaces of the wafer is very small and the wafer rotates slowly during heating, the wafer temperature is assumed to vary only in the radial direction. Based on the above observations and assumptions, the thermal dynamics of the wafer in the radial direction can be represented by the following partial differential equation:
T r t = k 0 1 r T r r + 2 T r r 2 + σ 0 1 T r 4 + ω r q a r u a + ω r q b r u b + ω r q c r u c
They are subject to the boundary conditions as follows:
T r r = σ e d 1 T r + q e d u b ,     r = 1 T r r ,     r = 0
k 0 = 0.0021 , σ 0 = 0.0012 , σ e d = 0.0037 , q e d = 4.022 , ω r = 0.026
where  T r = T r / T a m b  denotes the dimensionless wafer temperature,  T r  is the actual wafer temperature,  T a m b = 300   K  is the ambient temperature,  r = r / R w  is the dimensionless radial position of the wafer,  r  is the actual radial position of the wafer, and  R w = 7.6  cm is the wafer radius.  q b r q b r , and  q c r  represent the amount of thermal radiation in the radial direction of the wafer for the three heating blocks, respectively.  k 0  is the thermal conductivity of the wafer,  σ 0  is the radiation coefficient of the quartz chamber,  σ e d  is the radiation coefficient of the wafer,  q e d  is the incident radiation flux at the edge of the wafer, and  ω r  is the density of the wafer.
In order to fully obtain the dynamic information of the system, an interference signal with an amplitude not exceeding 10% was added to the system input signal. The input variable expression with the interference signal is shown as follows:
u a t = 0.2028 + 0.1 0.2028 r a n d ( ) s i g n ( r a n d ( ) 0.5 ) u b t = 0.1008 + 0.1 0.1008 r a n d ( ) s i g n ( r a n d ( ) 0.5 ) u c t = 0.2245 + 0.1 0.2245 r a n d ( ) s i g n ( r a n d ( ) 0.5 )
where 0.2028, 0.1008, and 0.2245 are the steady-state inputs for  u a u b , and  u c  at a furnace temperature of 1000  K .
Eleven measurement sensors were placed along the radial position of the wafer, with each sensor providing a set of measurement data. To simulate the measurement noise, independent white Gaussian noise was added to each of the 11 measurement datasets. The noise was generated with a mean of 0 and a standard deviation of 0.2, which corresponds to an amplitude of 0.2. The noise signal was generated using a random number generator to produce independent samples at each time step, ensuring that the noise was uncorrelated across sensors and time steps. The sampling period was set to  Δ t = 0.5  s, with the offline simulation period lasting 500 s and a total of 1000 offline data samples being collected for the initialization model. The online simulation period lasted for 200s. Two cases were simulated to demonstrate the effectiveness of the proposed method: one representing external environmental changes and the other simulating internal environmental changes in the system. This noise generation method was applied consistently across both simulation cases to ensure the results are comparable and can be replicated.

4.2.1. Experimental Results Under Variation of the External Disturbances Factor  σ 0

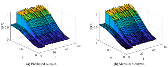
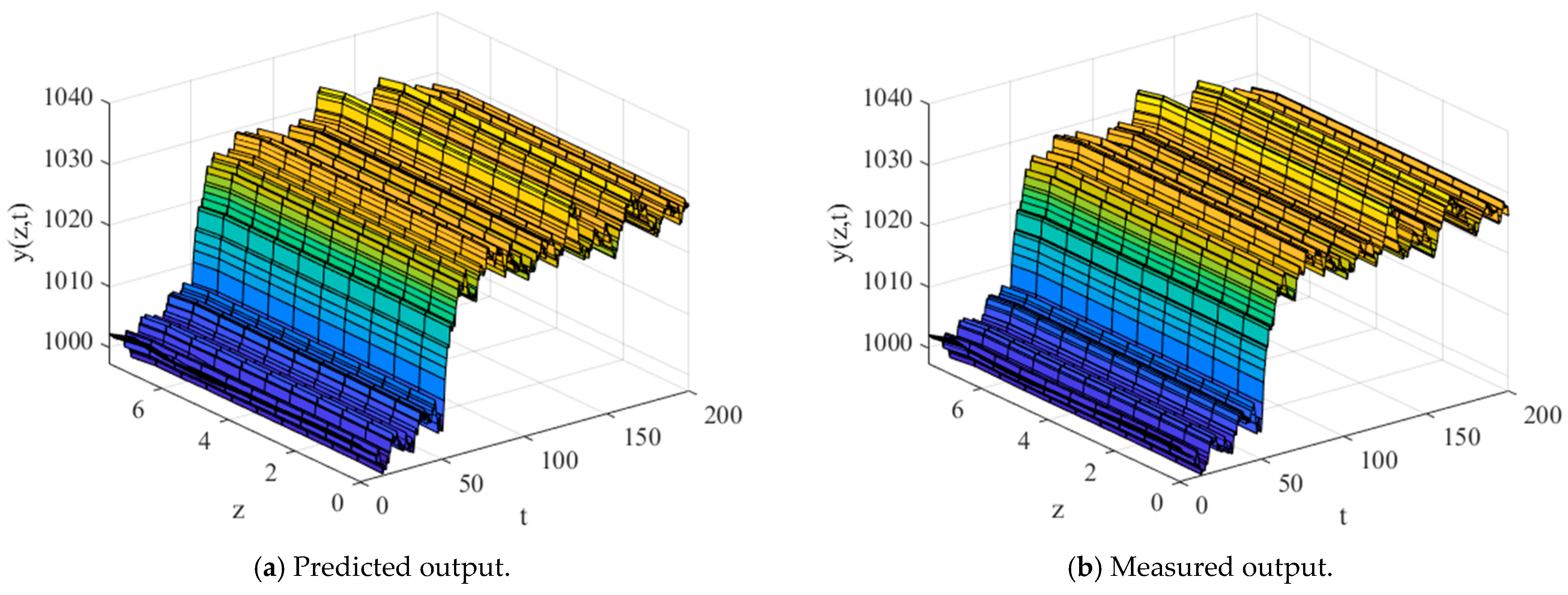
After 50 s online, the environment outside the RTCVD system changes. When the radiation coefficient of the quartz chamber decreases, the heat of the furnace body spreads slower, and the temperature of the system undergoes a sudden increase, and after a certain period, the temperature of the system remains stable. The distribution of predicted and corresponding actual outputs is shown in Figure 11. The predicted output of the model is very close to the actual output. Figure 12 shows the actual and predicted outputs of sensors  S 5  and  S 11 . The experimental results show that the proposed model achieves better accuracy than the comparison spatiotemporal model.
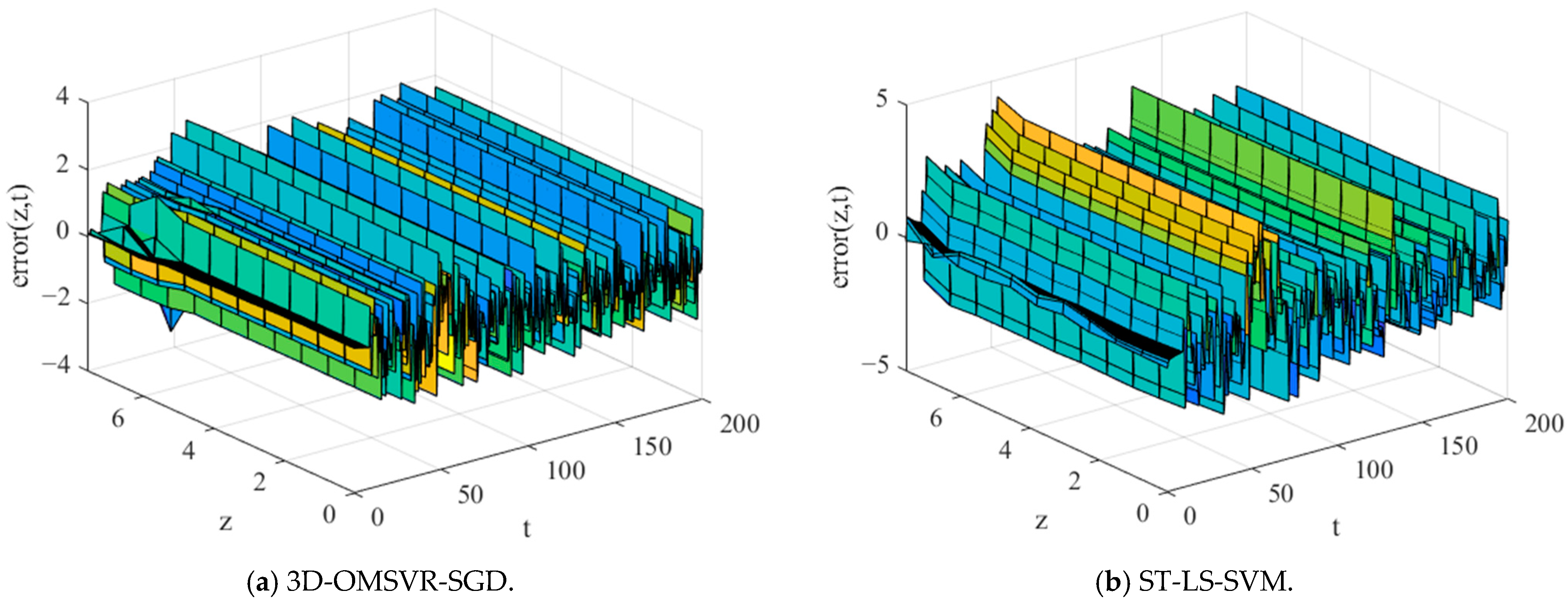
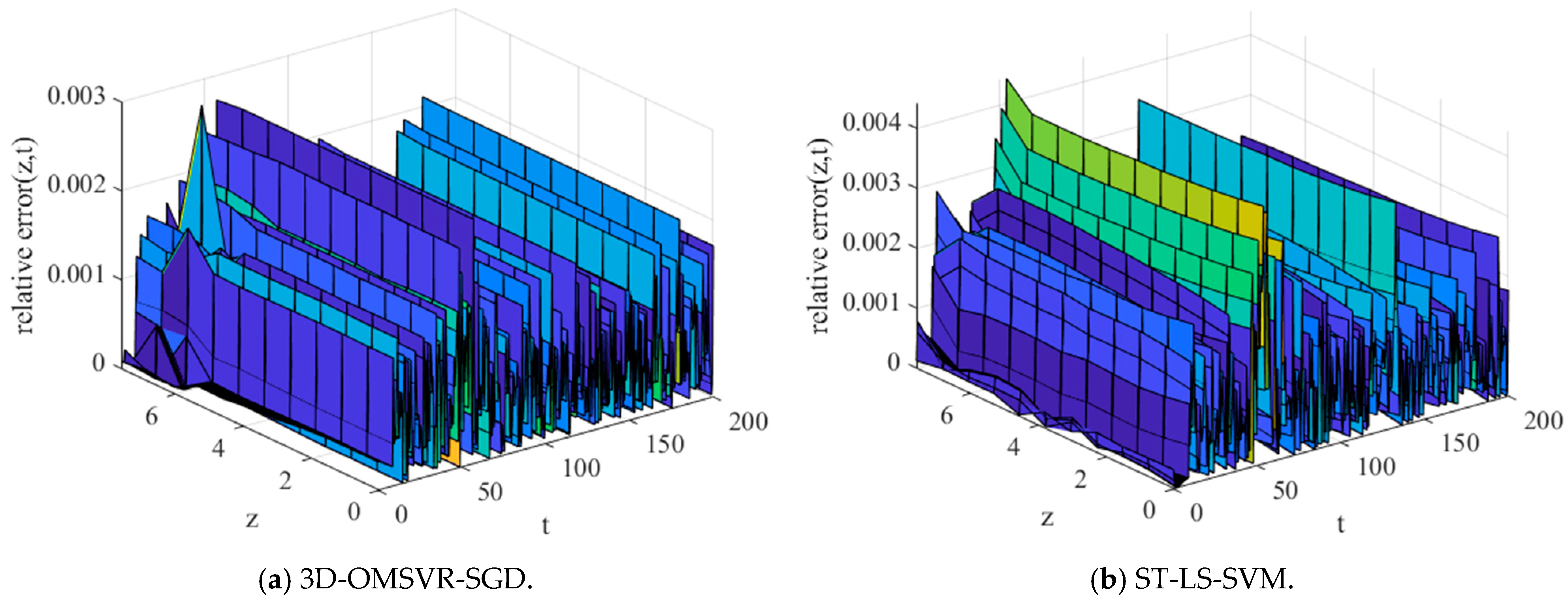
In addition, the prediction and relative errors are shown in Figure 13 and Figure 14, and the comparison between the TNAE and RLNE is shown in Figure 15 and Figure 16. It can be seen that the proposed method has significant advantages in modeling.

4.2.2. Experimental Results Under Variation of the Internal Disturbances Factor  ω r

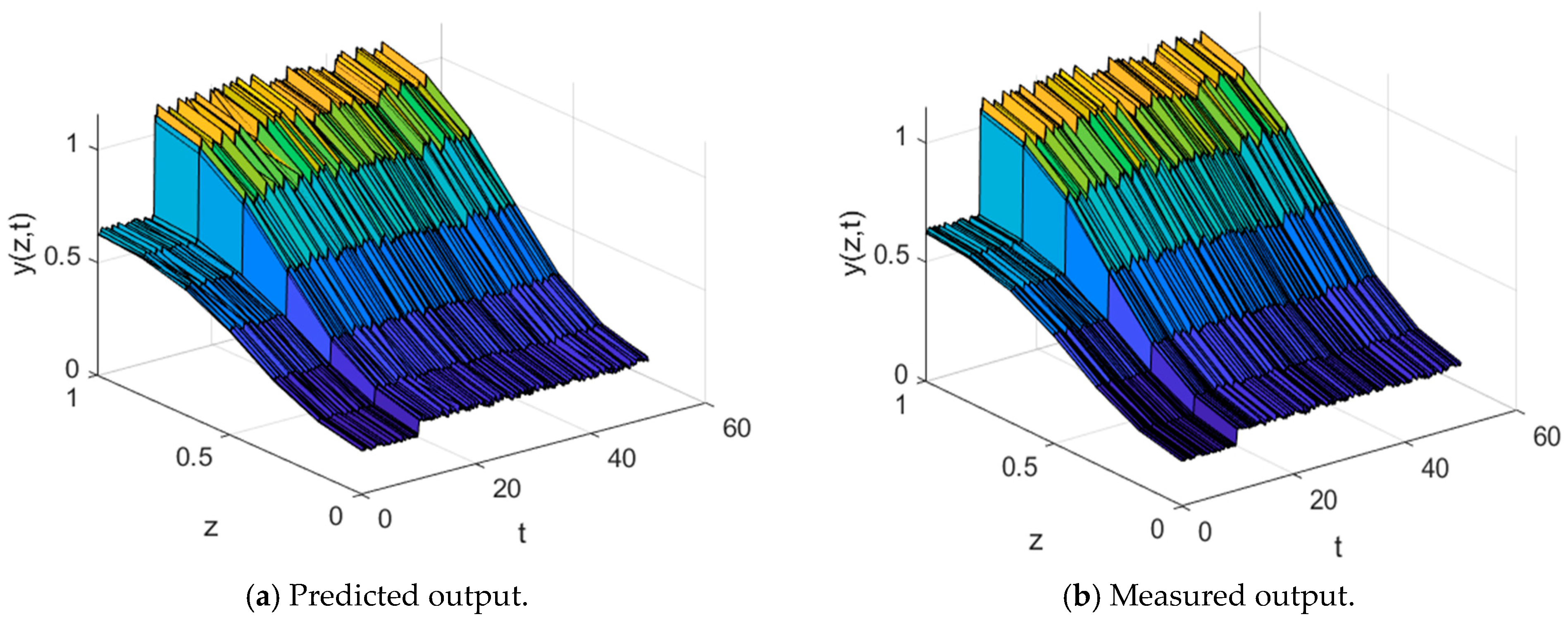
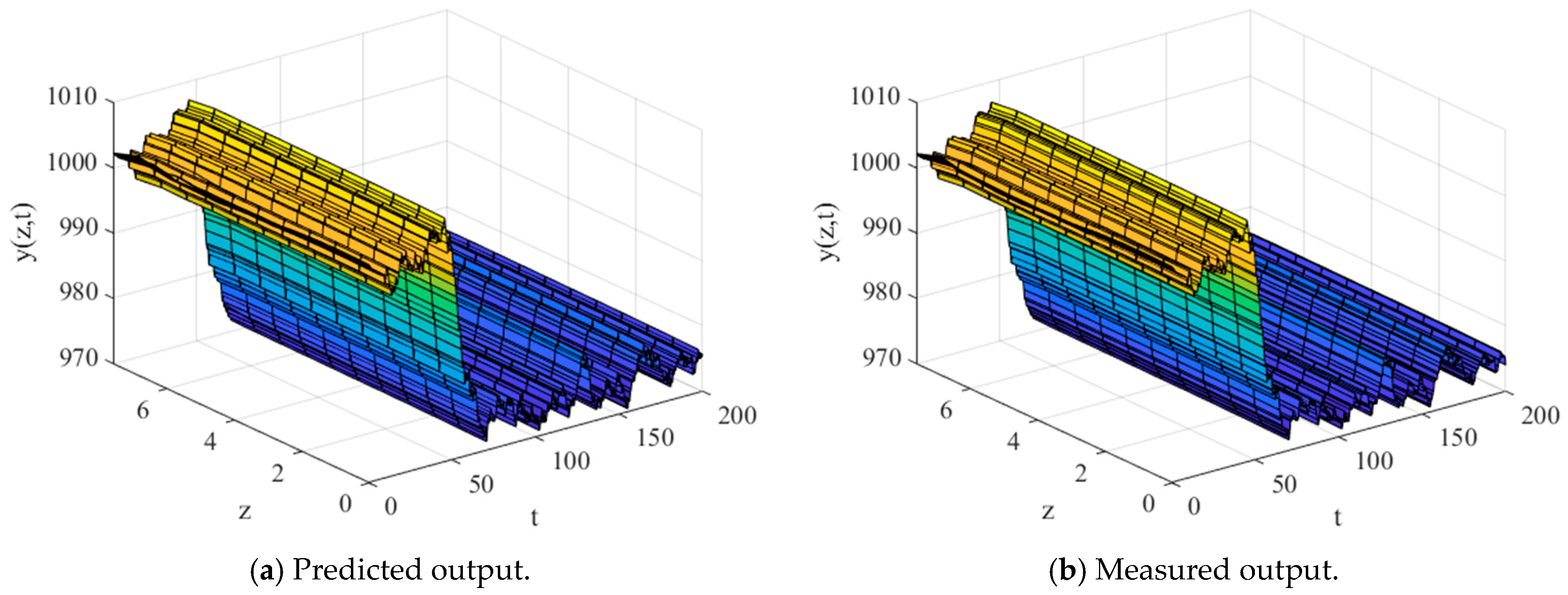
Similarly, after 50 s online, the environment within the RTCVD system changes. When the wafer density  ω r  within the system changes the decrease in  ω r  causes the temperature of the wafers to decrease, and the temperature of the system plummets and remains stable after decreasing to a certain level. The prediction output of the 3D-OMSVR-SGD online model was built by varying the parameter  ω r  during the online process and is shown in Figure 17. The actual and predicted outputs of sensors  S 5  and  S 11  are shown in Figure 18, and the online prediction error is shown in Figure 19. The relative errors are shown in Figure 20. It can be seen that the proposed 3D-OMSVR-SGD online modeling method can follow the system changes well.
The TNAE and RLNE are in Figure 21 and Figure 22. The RMSE of the two methods is presented in Table 2. From the simulation results, it can be seen that the 3D-OMSVR-SGD model outperforms the ST-LS-SVM model when either the internal interference or the external interference is varied.

4.3. Case 3: Rotary Hearth Furnace Combustion System

In this section, an experimental analysis is conducted based on the data of an actual rotary hearth furnace combustion system. The rotary hearth furnace combustion system is a typical distributed parameter system with significant spatiotemporal coupling characteristics. The rotary hearth furnace divides the space into five relatively independent and mutually coupled areas: preheating area, reduction area 1, reduction area 2, reduction area 3, and reduction area 4. These areas undertake different metallurgical processes and have a strong coupling relationship in space.
The main application of the rotary hearth furnace Is to treat metallurgical solid waste dust, and the main products are zinc powder and metalized pellets. During operation, the green balls are evenly distributed in the rotary hearth furnace and pass through each reduction zone in turn. Under the action of preheating and multiple reduction zones, the green balls undergo a reduction reaction under specific temperature conditions and finally generate metal pellets with a high iron content. At the same time, the rotary hearth furnace also collects zinc-containing flue gas to obtain high-content metallic zinc powder. The preheating and reduction zones 1, 2, 3, and 4 are equipped with adjustable flow gas and air valves to control the temperature of the rotary hearth furnace. Two temperature measurement points are installed in each area. The gas flow rate, air flow rate, gas, and air manifold pressure in each area of the rotary hearth furnace and the speed of the powder-collecting fan are used as input variables, and the temperature measurement values in each area are used as output variables.  S 1  and  S 2  represent the temperature feedback values for the inner and outer rings of reduction zone 1, respectively.  S 3  and  S 4  correspond to the temperature feedback values for the inner and outer rings of reduction zone 2, respectively. Similarly,  S 5  and  S 6  are the temperature feedback values for the inner and outer rings of reduction zone 3, respectively.  S 7  and  S 8  represent the temperature feedback values for the inner and outer rings of reduction zone 4, respectively. Finally,  S 9  and  S 10  are the temperature feedback values for the inner and outer rings of the heating zone, respectively. The radius ( r ) of the rotary hearth furnace ranges from  10   m  of the inner ring to  12.5   m  of the outer ring, and all data are collected within this range. The schematic diagram of the rotary hearth furnace combustion system is shown in Figure 23.
In this experiment, a total of 1400 samples of data were collected from the sensors with a sampling interval of 1 s. The first 800 samples were used to initialize the model, and the last 600 samples were used for online model verification. As shown in Figure 24, the online prediction output (Reduction zone 1) of the proposed 3D fuzzy modeling method model approximates the actual output well. The true value and expected value of sensors  S 1  and  S 2  are shown in Figure 25. It can be seen that the 3D-OMSVR-SGD model can track the changes in the system promptly, proving the effectiveness of the proposed modeling method in actual industrial systems. The prediction error and relative error are shown in Figure 26 and Figure 27, respectively. To further verify the validity of the proposed fuzzy model, we assumed that the heat distribution in each zone of the rotary hearth furnace was uniform and was not affected by the angle. Therefore, the thermodynamic properties of each zone are related only to its radius. As the first reaction area, the temperature change of reduction zone 1 can effectively represent the heat transfer characteristics in the rotary hearth furnace. In each zone, we selected two temperature sensors for data collection. The collected temperature data underwent preprocessing, including outlier removal and filtering, to reduce noise and ensure the accuracy and reliability of the data. The RMSE and average RE for all zones are shown in Table 3. As can be seen from Figure 28 and Figure 29, the proposed online modeling method is superior to the comparison method in both modeling accuracy and stability.
The proposed 3D-OMSVR-SGD modeling method has been verified in multiple experimental scenarios, including a nonisothermal fixed-bed reactor, a RTCVD system, and a rotary hearth furnace burner system in actual industry, and compared with the CNN method and the ST-LS-SVM method. The experimental results show that 3D-OMSVR-SGD has significant advantages in dynamic system modeling, both in simulation scenarios and actual industrial scenarios. In the RTCVD system, 3D-OMSVR-SGD effectively tracks the temperature changes when the wafer emissivity and wafer density vary to perturb the system. Whether the disturbance is external or internal, 3D-OMSVR-SGD maintains a low prediction error. Compared with the ST-LS-SVM, 3D-OMSVR-SGD performs well on multiple evaluation metrics, further verifying its effectiveness and robustness in modeling complex dynamic systems.

5. Conclusions

In this paper, a 3D fuzzy online spatiotemporal multi-output support vector regression modeling method based on SGD is proposed for complex distributed parameter systems. The proposed method combines 3D fuzzy systems, support vector regression, and stochastic gradient descent methods and can adapt to system variations for online modeling. First, the proposed method effectively captures the complex nonlinear and spatiotemporal dynamical behavior of a DPS without reducing the model dimensionality, avoiding the loss of information caused by dimensional reduction. Second, a stochastic gradient descent algorithm was introduced to achieve efficient computation and the online update capability of the model. The effectiveness and applicability of the proposed method in complex nonlinear dynamic modeling were further validated through experimental verification using two typical distributed parameter systems and an actual industrial bottom furnace system. The experimental results show that the proposed method can accurately capture the spatiotemporal dynamic characteristics of the system, and exhibits good online modeling ability when facing real-time data and system changes. Compared with traditional modeling methods, the proposed method exhibits significant advantages in prediction accuracy, model update speed, and adaptability.
However, the proposed method has some limitations. One potential limitation is that the performance of this method may decrease when dealing with extremely large datasets or high noise environments, as the SGD algorithm may have difficulty converging in such situations. In addition, although this method does not require dimensionality reduction, it may result in higher computational costs for high-dimensional systems. Future research may focus on improving the scalability of this method to more effectively handle larger datasets. Finally, applying this method to other types of industrial systems, such as real-time control systems, can further validate its universal applicability and effectiveness.

Author Contributions

Conceptualization, G.Z.; methodology, G.Z., X.Z. and H.Y.; software, G.Z. and H.Y.; validation, H.Y.; formal analysis, X.Z.; investigation, G.Z.; resources, H.Y.; data curation, G.Z.; writing—original draft preparation, G.Z.; writing—review and editing, X.Z.; visualization, H.Y.; supervision, B.W.; project administration, X.Z.; funding acquisition, X.Z. and B.W. All authors have read and agreed to the published version of the manuscript.

Funding

This work was supported by the project from the National Natural Science Foundation of China under Grant number 62073210 and Grant number 62173219.

Institutional Review Board Statement

Not applicable.

Informed Consent Statement

Not applicable.

Data Availability Statement

The original contributions presented in this study are included in the article. For further inquiries, please contact the corresponding author.

Acknowledgments

The authors would like to thank the Editor-in-Chief, Editor, and anonymous Reviewers for their valuable reviews.

Conflicts of Interest

The author Hanyu Yuan was employed by the China Mobile Group Jiangsu Company Limited. The remaining authors declare that the research was conducted in the absence of any commercial or financial relationships that could be construed as a potential conflicts of interest.

Appendix A. Mathematical Formulation of the 3D Fuzzy Model for a DPS

Let the space domain of a distributed parameter system (DPS) be represented by  Z ¯ = { z 1 , z 2 , , z P } , where  P  denotes the number of sensors. The system includes  m  spatial input variables, denoted by  θ Z ¯ = [ θ 1 Z ¯ , θ 2 Z ¯ , , θ m Z ¯ ] R P × m . Each spatial input  θ s Z ¯  is represented as a vector of values  [ θ s z 1 , , y s z P ] R P × 1  for  s = 1,2 , , m . The spatial input vector  θ Z ¯  serves as the input for the 3D fuzzy system.
The 3D fuzzy system is composed of the following components: A singleton fuzzifier is used for fuzzification, while Gaussian-type membership functions are employed for each spatial input variable. The system operates with a set of fuzzy rules  R l  for  l = 1,2 , , N R , where  N R  is the total number of rules. The product t-norm is utilized to combine the fuzzy sets, and a linear defuzzifier is applied to compute the final output. This setup ensures that the system effectively handles spatial and temporal dynamics in distributed parameter systems.
The output of the system, denoted by  y Z ¯ , is a weighted sum of spatial functions. The general expression is:
y Z ¯ = l = 1 N R j = 1 P a j l s = 1 m μ C s l θ s z j φ l ( Z ¯ )
where  ψ l  is the spatial fuzzy basis function, which is defined as:
ψ l = j = 1 P a j l s = 1 m μ C s l θ s z j
where  C s l  represents the 3D fuzzy set associated with the  s -th spatial input variable  θ s Z ¯ , and  μ C s l  is the corresponding membership function.  a j l  is the spatial weight associated with the sensor  z j φ l ( Z ¯ )  is the consequent function associated with rule  R l .

References

  1. Wang, Y. Adaptive Spatial-Model-Based Predictive Control for Complex Distributed Parameter Systems. Adv. Eng. Inform. 2024, 59, 102331. [Google Scholar] [CrossRef]
  2. Wang, Z.; Li, H.-X. Incremental Spatiotemporal Learning for Online Modeling of Distributed Parameter Systems. IEEE Trans. Syst. Man Cybern. Syst. 2019, 49, 2612–2622. [Google Scholar] [CrossRef]
  3. Xu, B.; Lu, X.; Bai, Y. A Spatiotemporal Fuzzy Control Approach for Complex Distributed Parameter System with Application to Thermal Processes. J. Process Control 2023, 127, 102993. [Google Scholar] [CrossRef]
  4. Lu, X.; Zou, W.; Huang, M. A Novel Spatiotemporal LS-SVM Method for Complex Distributed Parameter Systems With Applications to Curing Thermal Process. IEEE Trans. Ind. Inf. 2016, 12, 1156–1165. [Google Scholar] [CrossRef]
  5. Li, H.-X.; Qi, C. Modeling of Distributed Parameter Systems for Applications—A Synthesized Review from Time–Space Separation. J. Process Control 2010, 20, 891–901. [Google Scholar] [CrossRef]
  6. Qi, C.; Li, H.-X.; Li, S.; Zhao, X.; Gao, F. A Fuzzy-Based Spatio-Temporal Multi-Modeling for Nonlinear Distributed Parameter Processes. Appl. Soft Comput. 2014, 25, 309–321. [Google Scholar] [CrossRef]
  7. Ferdowsi, H.; Cai, J.; Jagannathan, S. Adaptive Resilient Control for a Class of Nonlinear Distributed Parameter Systems with Actuator Faults. Syst. Sci. Control Eng. 2024, 12, 2301526. [Google Scholar] [CrossRef]
  8. Song, Y.; He, X.; Liu, Z.; He, W.; Sun, C.; Wang, F.-Y. Parallel Control of Distributed Parameter Systems. IEEE Trans. Cybern. 2018, 48, 3291–3301. [Google Scholar] [CrossRef]
  9. Jin, X.; Wu, D.; Yang, H.; Zhu, C.; Shen, W.; Xu, K. A Temporal–Spatiotemporal Domain Transformation-Based Modeling Method for Nonlinear Distributed Parameter Systems. J. Comput. Des. Eng. 2023, 10, 1267–1279. [Google Scholar] [CrossRef]
  10. Sun, J.; Luo, B.; Xu, X.; Yang, C. Boundary Optimal Control for Parabolic Distributed Parameter Systems With Value Iteration. IEEE Trans. Cybern. 2024, 54, 1571–1581. [Google Scholar] [CrossRef]
  11. Basak, T.; Singh, A.K.; Richard, R.; Roy, S. Finite Element Simulation with Heatlines and Entropy Generation Minimization during Natural Convection within Porous Tilted Square Cavities. Ind. Eng. Chem. Res. 2013, 52, 8046–8061. [Google Scholar] [CrossRef]
  12. Neena, A.S.; Clemence-Mkhope, D.P.; Awasthi, A. Nonstandard Finite Difference Schemes for Linear and Non-Linear Fokker–Planck Equations. J. Eng. Math. 2024, 145, 11. [Google Scholar] [CrossRef]
  13. Wang, Y.; Li, H.-X.; Xie, S. A Dual Adaptation-Based Spatial Model Predictive Control for Nonlinear Distributed Parameter Systems. IEEE Trans. Instrum. Meas. 2023, 72, 3001308. [Google Scholar] [CrossRef]
  14. Roy, T.; Dey, S. Actuator Anomaly Detection in Linear Parabolic Distributed Parameter Cyber-Physical Systems. IEEE Trans. Control. Syst. Technol. 2023, 31, 2437–2448. [Google Scholar] [CrossRef]
  15. Lu, X.; Yin, F.; Huang, M. Online Spatiotemporal Least-Squares Support Vector Machine Modeling Approach for Time-Varying Distributed Parameter Processes. Ind. Eng. Chem. Res. 2017, 56, 7314–7321. [Google Scholar] [CrossRef]
  16. Xu, K.; Yang, H.; Zhu, C.; Hu, L. Finite Gaussian Mixture Model Based Multimodeling for Nonlinear Distributed Parameter Systems. IEEE Trans. Ind. Inf. 2020, 16, 1754–1763. [Google Scholar] [CrossRef]
  17. Wang, Z.; Li, H.-X. Dissimilarity Analysis-Based Multimode Modeling for Complex Distributed Parameter Systems. IEEE Trans. Syst. Man Cybern. Syst. 2021, 51, 2789–2797. [Google Scholar] [CrossRef]
  18. Lu, X.; Hu, T.; Yin, F. A Novel Spatiotemporal Fuzzy Method for Modeling of Complex Distributed Parameter Processes. IEEE Trans. Ind. Electron. 2019, 66, 7882–7892. [Google Scholar] [CrossRef]
  19. Chen, L.; Shen, W.; Zhou, Y.; Mou, X.; Lei, L. Learning-Based Sparse Spatiotemporal Modeling for Distributed Thermal Processes of Lithium-Ion Batteries. J. Energy Storage 2023, 69, 107834. [Google Scholar] [CrossRef]
  20. Huang, K.; Tao, S.; Wu, D.; Yang, C.; Gui, W. Physical Informed Sparse Learning for Robust Modeling of Distributed Parameter System and Its Industrial Applications. IEEE Trans. Autom. Sci. Eng. 2024, 21, 4561–4572. [Google Scholar] [CrossRef]
  21. Wang, B.-C.; Dai, C.-L.; Wang, Y.; Li, H.-X. Time/Space Separation-Based Physics-Informed Machine Learning for Spatiotemporal Modeling of Distributed Parameter Systems. IEEE Trans. Syst. Man Cybern. Syst. 2025, 55, 137–148. [Google Scholar] [CrossRef]
  22. Wang, T.; Li, H.-X. Dual-Scale Learning-Based Online Modeling of Nonlinear Distributed Parameter Systems Under Time-Varying Boundary Conditions. IEEE Trans. Ind. Inf. 2024, 20, 6946–6953. [Google Scholar] [CrossRef]
  23. Wei, P.; Li, H.-X. Spatiotemporal Transformation-Based Neural Network With Interpretable Structure for Modeling Distributed Parameter Systems. IEEE Trans. Neural Netw. Learn. Syst. 2025, 36, 729–737. [Google Scholar] [CrossRef] [PubMed]
  24. Deng, H.-P.; Wang, B.-C.; Li, H.-X. Physics-Informed Spatial Fuzzy System and Its Applications in Modeling. IEEE Trans. Fuzzy Syst. 2024, 32, 5951–5962. [Google Scholar] [CrossRef]
  25. Zhang, X.-X.; Fu, Z.-Q.; Li, S.-Y.; Zou, T.; Wang, B. A Time/Space Separation Based 3D Fuzzy Modeling Approach for Nonlinear Spatially Distributed Systems. Int. J. Autom. Comput. 2018, 15, 52–65. [Google Scholar] [CrossRef]
  26. Zhang, X.-X.; Zhao, L.-R.; Li, H.-X.; Ma, S.-W. A Novel Three-Dimensional Fuzzy Modeling Method for Nonlinear Distributed Parameter Systems. IEEE Trans. Fuzzy Syst. 2019, 27, 489–501. [Google Scholar] [CrossRef]
  27. Park, H.M. A Multiscale Modeling of Fixed Bed Catalytic Reactors. Int. J. Heat Mass Transf. 2018, 116, 520–531. [Google Scholar] [CrossRef]
  28. Xu, K.; Fan, B.; Yang, H.; Hu, L.; Shen, W. Locally Weighted Principal Component Analysis-Based Multimode Modeling for Complex Distributed Parameter Systems. IEEE Trans. Cybern. 2022, 52, 10504–10514. [Google Scholar] [CrossRef]
  29. Zhao, W.; Liu, J.K.; Chen, Y.Y. Material Behavior Modeling with Multi-Output Support Vector Regression. Appl. Math. Model. 2015, 39, 5216–5229. [Google Scholar] [CrossRef]
  30. Zhang, X.-X.; Yuan, H.-Y.; Li, H.-X.; Ma, S.-W. A Spatial Multivariable SVR Method for Spatiotemporal Fuzzy Modeling with Applications to Rapid Thermal Processing. Eur. J. Control 2020, 54, 119–128. [Google Scholar] [CrossRef]
  31. Chiang, J.-H.; Hao, P.-Y. Support Vector Learning Mechanism for Fuzzy Rule-Based Modeling: A New Approach. IEEE Trans. Fuzzy Syst. 2004, 12, 1–12. [Google Scholar] [CrossRef]
  32. Chen, Y.; Wang, J.Z. Support Vector Learning for Fuzzy Rule-Based Classification Systems. IEEE Trans. Fuzzy Syst. 2003, 11, 716–728. [Google Scholar] [CrossRef]
  33. Lou, Y.; Wu, R.; Li, J.; Wang, L.; Li, X.; Chen, G. A Learning Convolutional Neural Network Approach for Network Robustness Prediction. IEEE Trans. Cybern. 2023, 53, 4531–4544. [Google Scholar] [CrossRef] [PubMed]
Figure 1. The framework of 3D fuzzy modeling.
Figure 1. The framework of 3D fuzzy modeling.
Applsci 15 02750 g001
Figure 2. Framework of 3D-OMSVR-SGD.
Figure 2. Framework of 3D-OMSVR-SGD.
Applsci 15 02750 g002
Figure 3. Nonisothermal fixed-bed reactor.
Figure 3. Nonisothermal fixed-bed reactor.
Applsci 15 02750 g003
Figure 4. Prediction results of 3D-OMSVR-SGD for nonisothermal catalytic packed-bed reactors.
Figure 4. Prediction results of 3D-OMSVR-SGD for nonisothermal catalytic packed-bed reactors.
Applsci 15 02750 g004
Figure 5. Model prediction and system output at the  S 3  and  S 7  sensors.
Figure 5. Model prediction and system output at the  S 3  and  S 7  sensors.
Applsci 15 02750 g005
Figure 6. Prediction error for the nonisothermal packed-bed catalytic reactor model.
Figure 6. Prediction error for the nonisothermal packed-bed catalytic reactor model.
Applsci 15 02750 g006
Figure 7. Relative error of the nonisothermal packed-bed catalytic reactor model.
Figure 7. Relative error of the nonisothermal packed-bed catalytic reactor model.
Applsci 15 02750 g007
Figure 8. TNAE comparison of the different methods in Case 1.
Figure 8. TNAE comparison of the different methods in Case 1.
Applsci 15 02750 g008
Figure 9. RLNE comparison of the different methods in Case 1.
Figure 9. RLNE comparison of the different methods in Case 1.
Applsci 15 02750 g009
Figure 10. System structure of RTCVD.
Figure 10. System structure of RTCVD.
Applsci 15 02750 g010
Figure 11. Measurement output and prediction output under external disturbances in RTCVD.
Figure 11. Measurement output and prediction output under external disturbances in RTCVD.
Applsci 15 02750 g011
Figure 12. Model prediction results of sensors  S 5  and  S 11  under external disturbances.
Figure 12. Model prediction results of sensors  S 5  and  S 11  under external disturbances.
Applsci 15 02750 g012
Figure 13. Prediction error of different models under external disturbances.
Figure 13. Prediction error of different models under external disturbances.
Applsci 15 02750 g013
Figure 14. Relative error of different models under external disturbances.
Figure 14. Relative error of different models under external disturbances.
Applsci 15 02750 g014
Figure 15. TNAE comparison of different methods under external disturbance in Case 2.
Figure 15. TNAE comparison of different methods under external disturbance in Case 2.
Applsci 15 02750 g015
Figure 16. RLNE comparison of different methods under external disturbance in Case 2.
Figure 16. RLNE comparison of different methods under external disturbance in Case 2.
Applsci 15 02750 g016
Figure 17. Measurement output and prediction output under internal disturbances in RTCVD.
Figure 17. Measurement output and prediction output under internal disturbances in RTCVD.
Applsci 15 02750 g017
Figure 18. Model prediction results of sensors  S 5  and  S 11  under internal disturbances.
Figure 18. Model prediction results of sensors  S 5  and  S 11  under internal disturbances.
Applsci 15 02750 g018
Figure 19. Prediction error of different models under internal disturbance.
Figure 19. Prediction error of different models under internal disturbance.
Applsci 15 02750 g019
Figure 20. Relative error of different models under internal disturbance.
Figure 20. Relative error of different models under internal disturbance.
Applsci 15 02750 g020
Figure 21. TNAE comparison of different methods under internal disturbance in Case 2.
Figure 21. TNAE comparison of different methods under internal disturbance in Case 2.
Applsci 15 02750 g021
Figure 22. RLNE comparison of different methods under internal disturbance in Case 2.
Figure 22. RLNE comparison of different methods under internal disturbance in Case 2.
Applsci 15 02750 g022
Figure 23. Rotary hearth furnace combustion system.
Figure 23. Rotary hearth furnace combustion system.
Applsci 15 02750 g023
Figure 24. Prediction results of 3D-OMSVR-SGD for rotary hearth furnace (Reduction zone 1).
Figure 24. Prediction results of 3D-OMSVR-SGD for rotary hearth furnace (Reduction zone 1).
Applsci 15 02750 g024
Figure 25. Predictions of the rotary hearth furnace model at sensors   S 1  and  S 2  (Reduction zone 1).
Figure 25. Predictions of the rotary hearth furnace model at sensors   S 1  and  S 2  (Reduction zone 1).
Applsci 15 02750 g025
Figure 26. Prediction error for the rotary hearth furnace (Reduction zone 1).
Figure 26. Prediction error for the rotary hearth furnace (Reduction zone 1).
Applsci 15 02750 g026
Figure 27. Relative error of the rotary hearth furnace (Reduction zone 1).
Figure 27. Relative error of the rotary hearth furnace (Reduction zone 1).
Applsci 15 02750 g027
Figure 28. TNAE comparison of the different methods in Case 3 (Reduction zone 1).
Figure 28. TNAE comparison of the different methods in Case 3 (Reduction zone 1).
Applsci 15 02750 g028
Figure 29. RLNE comparison of the different methods in Case 3 (Reduction zone 1).
Figure 29. RLNE comparison of the different methods in Case 3 (Reduction zone 1).
Applsci 15 02750 g029
Table 1. Comparison of RMSE and RE in Case 1.
Table 1. Comparison of RMSE and RE in Case 1.
MethodCNNST-LS-SVM3D-OMSVR-SGD
RMSE0.43160.06230.0467
RE (mean)0.45560.09280.0457
Table 2. Comparison of RMSE and RE in Case 2.
Table 2. Comparison of RMSE and RE in Case 2.
Method CNNST-LS-SVM3D-OMSVR-SGD
RMSE σ 0  (Internal interference)23.04081.38030.9532
ω r  (External interference)19.03021.26140.8871
RE (mean) σ 0  (Internal interference)0.01330.00107.4453 × 10−4
ω r  (External interference)0.01130.00107.2564 × 10−4
Table 3. Comparison of RMSE and average RE in Case 3.
Table 3. Comparison of RMSE and average RE in Case 3.
MethodCNNST-LS-SVM3D-OMSVR-SGD
RMSEReduction zone 130.212614.58531.4751
Reduction zone 217.096110.88551.8987
Reduction zone 346.37526.40021.6692
Reduction zone 454.81107.21572.1854
Heating zone17.405113.09261.6496
RE (mean)Reduction zone 10.01520.00786.6010 × 10−4
Reduction zone 20.01000.00768.2913 × 10−4
Reduction zone 30.03170.00388.7797 × 10−4
Reduction zone 40.03870.00520.0012
Heating zone0.01270.00927.3427 × 10−4
Disclaimer/Publisher’s Note: The statements, opinions and data contained in all publications are solely those of the individual author(s) and contributor(s) and not of MDPI and/or the editor(s). MDPI and/or the editor(s) disclaim responsibility for any injury to people or property resulting from any ideas, methods, instructions or products referred to in the content.

Share and Cite

MDPI and ACS Style

Zhou, G.; Zhang, X.; Yuan, H.; Wang, B. Online Three-Dimensional Fuzzy Multi-Output Support Vector Regression Learning Modeling for Complex Distributed Parameter Systems. Appl. Sci. 2025, 15, 2750. https://doi.org/10.3390/app15052750

AMA Style

Zhou G, Zhang X, Yuan H, Wang B. Online Three-Dimensional Fuzzy Multi-Output Support Vector Regression Learning Modeling for Complex Distributed Parameter Systems. Applied Sciences. 2025; 15(5):2750. https://doi.org/10.3390/app15052750

Chicago/Turabian Style

Zhou, Gang, Xianxia Zhang, Hanyu Yuan, and Bing Wang. 2025. "Online Three-Dimensional Fuzzy Multi-Output Support Vector Regression Learning Modeling for Complex Distributed Parameter Systems" Applied Sciences 15, no. 5: 2750. https://doi.org/10.3390/app15052750

APA Style

Zhou, G., Zhang, X., Yuan, H., & Wang, B. (2025). Online Three-Dimensional Fuzzy Multi-Output Support Vector Regression Learning Modeling for Complex Distributed Parameter Systems. Applied Sciences, 15(5), 2750. https://doi.org/10.3390/app15052750

Note that from the first issue of 2016, this journal uses article numbers instead of page numbers. See further details here.

Article Metrics

Back to TopTop