Abstract
Automated verification through the analysis of system models is often recommended to evaluate the correctness of safety-critical systems. Failures in such systems can have serious effects on both individuals and hardware. Historically, many automated verification techniques, including model checking, have been proposed and used to ensure the reliable development of real-time multi-agent systems (RTMASs). This paper investigates the use of Satisfiability Modulo Theories-based bounded model checking (SMT-based BMC) for the existential fragment of deontic epistemic metric temporal logic (EMTLKD), interpreted on models generated by dense-timed deontic interpreted systems (DTDISs). Specifically, we address the translation of the existential model checking problem for EMTLKD into the existential model checking problem for a variant of a deontic epistemic linear temporal logic (). Additionally, we present an SMT-based BMC approach tailored for  and illustrate its effectiveness using a faulty train controller system as a representative example. Our approach is particularly applicable to engineering domains requiring high-assurance verification, such as railway control, autonomous vehicle coordination, and industrial automation. By formally verifying both timing and compliance constraints, our method supports engineers and system designers in developing more reliable and certifiable safety-critical systems before deployment.
    1. Introduction
Safety-critical systems play a crucial role in multiple sectors, including transportation, healthcare, aviation, and industrial automation. A failure in these systems can have severe consequences, impacting both human lives and critical infrastructure.
Examples of such systems are as follows:
- Autopilot systems that ensure stable flight paths through accurate sensor data processing.
- Air traffic control systems that coordinate aircraft movements to prevent collisions using radar and real-time communication.
- Train control systems that regulate train movements and prevent crashes through automated signaling.
- Automotive safety systems such as anti-lock braking systems (ABSs), airbag deployment, and autonomous driving algorithms, which must reliably respond in real time.
- Maritime navigation systems that use GPS and sonar to help ships navigate safely under challenging conditions.
These systems rely on sensor networks to ensure real-time decision-making, necessitating formal verification methods to guarantee correctness under temporal and safety constraints.
This paper focuses on the engineering challenges of ensuring compliance and correctness in such systems. Our method provides a verification framework applicable to transportation (e.g., train signaling and collision avoidance) and industrial automation (e.g., robotic control protocols). By formalizing both timing constraints and norm compliance, our approach ensures practical applicability in the verification of real-world engineering systems.
Safety-critical systems can be represented as multi-agent systems (MASs) [], consisting of loosely interconnected networks of agents that engage in communication, coordination, negotiation, and cooperation to address challenges that exceed the skills or knowledge of any one agent. These agents are rational, autonomous entities that operate on behalf of their consumers, frequently possessing different information or conflicting interests, inside open and distributed environments.
Furthermore, these systems can be classified as real-time systems (RTSs) [], where correct functioning critically depends on meeting certain timing constraints. Real-time systems are infinite-state systems in which the state space contains time variables that might be discrete or continuous. The most common method for analyzing such systems is to use symbolic representation of configurations, which allows for the finite encoding of infinitely many system states.
A real-time multi-agent system (RTMAS) combines both aspects: many interacting agents operating under real-time constraints. A practical example is a train control system, where trains must communicate and coordinate to achieve their objectives and prevent collisions. The system’s correctness depends not only on effective coordination but also on strict time constraints.
As the design of complex real-time multi-agent systems evolves, it becomes clear that agents may not always act as intended. As a result, it is critical not only to analyze properties that hold when protocols are followed correctly, but also to predict, test, and verify properties that may emerge when these protocols are violated. To address this, it is crucial to investigate scenarios where agents depart from ideal behavior and to assess how these deviations impact system results. A deontic real-time multi-agent system (DRTMAS) framework can help in this issue, as it provides a formalism to represent and reason about the distinction between ideal (correct and acceptable) behavior and actual (possibly incorrect or unacceptable) behavior.
1.1. Model Types
The modeling of multi-agent systems (MASs) has evolved significantly to capture the complexities of agent interactions, including their epistemic knowledge, temporal constraints, deontic properties, and quantitative factors. Various formal models have been developed to enable reasoning about these aspects. These models can be broadly categorized into the following:
- Classical interpreted systems—designed primarily for reasoning about epistemic and temporal properties of agents.
- Deontic interpreted systems—extend classical models by incorporating reasoning about the correct (normative) behavior of agents.
- Weighted and quantitative extensions—introduce cost functions and quantitative measures to enhance expressiveness.
- Timed interpreted systems—allow reasoning about time-sensitive properties, either in discrete or continuous time.
One of the foundational models for reasoning about multi-agent systems is the interpreted system (IS) formalism []. This classical model enables reasoning about epistemic (knowledge-based) and temporal properties of agents, making it particularly useful for verifying distributed protocols and knowledge-based decision-making. However, a key limitation of classical IS models is that they do not account for deontic constraints—that is, the difference between an agent’s ideal behavior (following predefined rules) and actual behavior (which may involve norm violations).
To address this limitation, deontic interpreted systems (DISs) were introduced []. These models extend IS by introducing a distinction between ideal (norm-compliant) and actual (possibly violating) behaviors, allowing for the formal analysis of agent compliance with prescribed norms in multi-agent environments. The key properties of DISs include the following:
- Violation detection—a DIS enables the identification of norm violations, distinguishing between behaviors that conform to or deviate from ideal execution paths.
- Normative state transitions—system states evolve depending on whether agents adhere to or violate norms, affecting the overall behavior of the system.
A key assumption in IS and DIS models is that agents’ actions do not involve associated costs. However, in many real-world scenarios, actions have quantitative impacts, such as energy consumption, computational resources, or penalties for norm violations.
To enhance expressiveness, the weighted deontic interpreted system (WDIS) formalism was introduced []. WDIS extends DIS by incorporating quantitative reasoning, allowing agents to be evaluated based on costs, rewards, and trade-offs. This enhancement is particularly useful in decision-making under constraints, where agents must optimize their actions while adhering to deontic rules. Despite these advancements, classical IS, DIS, and WDIS models lack explicit representation of time, which is crucial for real-time multi-agent systems (RTMASs).
To incorporate time into MAS modeling, the timed interpreted system (TIS) formalism was introduced []. TIS extends IS by enabling reasoning about discrete-time properties, making it applicable to real-time decision-making scenarios where time progression is modeled in discrete steps.
A further refinement is the dense-timed interpreted system (DTIS) model [], which enriches previous models by the following:
- Supporting continuous (dense) time semantics, allowing for more precise reasoning about real-time constraints.
- Modeling real-time properties, such as deadlines and synchronization between agents.
- Analyzing temporal dependencies, enabling the verification of systems where agent decisions depend on real-time factors.
Despite their advantages, DTIS models do not incorporate deontic reasoning, meaning they cannot explicitly analyze whether agents follow prescribed rules.
In this paper, we introduce dense-timed deontic interpreted systems (DTDISs), which integrate norm compliance analysis from DISs and dense-time semantics from DTISs into a single framework. Instead of employing explicit deontic operators, DTDISs follow the DIS approach of distinguishing between ideal (norm-compliant) and actual (possibly violating) behaviors, while simultaneously incorporating continuous real-time constraints from DTISs. This new formalism enables the following:
- Verification of real-time multi-agent systems where both timing constraints and compliance with norms play a critical role.
- Detection of deviations from ideal behavior, facilitating the identification of norm violations that arise due to real-time constraints or delays.
By combining the key features of DISs (norm compliance verification, distinction between ideal and actual behaviors, and norm violation detection) and DTISs (dense-time semantics, real-time constraints, and continuous time modeling), DTDISs provide a more expressive and comprehensive model for analyzing real-time normative multi-agent systems, where both temporal correctness and norm compliance must be formally verified.
1.2. Specification of Computer Systems
Temporal logics are a well-known paradigm for the specification and verification of computer systems, especially where sensor data must be processed under strict timing constraints. Several temporal logics, including linear temporal logic (LTL) [] and metric temporal logic (MTL) [], are used to capture system requirements. LTL allows expressing properties over system executions, such as specifying that every occurrence of a problem will eventually trigger an alarm. MTL extends LTL by introducing time constraints on temporal operators, making it appropriate for real-time system specifications.
MTL supports two main semantics: “continuous” and “pointwise”. The pointwise semantics, which interprets time as discrete points (time words), is the standard approach for systems modeled as timed automata []. Both semantics have been extensively examined and investigated [,,,]. Using MTL, it is possible to express time-bounded requirements, such as ensuring that any occurrence of a problem will trigger an alarm within a specified maximum of five time units.
Extensions of MTL, such as EMTLK [], introduce an epistemic dimension, allowing for the representation of what agents know or believe over time. This enhancement is particularly useful for multi-agent systems with sensing capabilities, where reasoning about agents’ knowledge, alongside timing constraints, is critical for system verification.
In this paper, we further extend EMTLK by incorporating deontic operators, allowing reasoning about norm compliance and violations in real-time multi-agent systems. Our new logic, deontic–epistemic metric temporal logic (EMTLKD), provides the following key advantages:
- Explicit Modeling of Norm Compliance—unlike classical temporal logics, which assume agents follow protocols correctly, EMTLKD allows distinguishing between ideal (norm-compliant) and actual (possibly violating) behaviors. This is essential for verifying safety-critical systems, where norm violations must be detected and analyzed.
- Integration of Epistemic and Temporal Reasoning—many verification approaches consider either epistemic reasoning (agent knowledge) or real-time constraints (temporal logic), but not both. EMTLKD enables the verification of knowledge evolution over time –useful for systems where agents make decisions based on time-sensitive information acquisition.
- Scalability Through SMT-Based Bounded Model Checking (BMC)—classical model checking methods often suffer from state-space explosion, particularly in real-time multi-agent systems. Our SMT-based BMC approach mitigates this issue by encoding the problem into SMT constraints, allowing efficient verification of finite execution prefixes rather than the full infinite state space.
By combining deontic, epistemic, and temporal reasoning, EMTLKD provides a more expressive and practically useful framework for verifying real-time multi-agent systems, particularly in safety-critical environments where compliance, knowledge, and timing constraints must be verified together.
1.3. Automatic Verification
Ensuring the correctness of multi-agent and real-time systems is challenging due to the complexity of their interactions and timing constraints. A key difficulty is the state explosion problem, which arises as the number of system components increases exponentially. To address this issue, various automatic verification techniques have been developed. Among these, model checking [] has emerged as the most prominent method for systematically verifying whether a system satisfies a given specification.
In model checking, a system is encoded as a transition system, and its specification is represented as a logical formula. If the property does not hold, a counterexample demonstrating the cause of the problem is identified []. Model checking techniques can be broadly categorized as follows:
- Symbolic approaches (BDD-based methods) —these methods use compact representations of state spaces to efficiently handle large verification problems. However, they often suffer from scalability limitations.
- SAT-based Bounded Model Checking (BMC)—efficient for finite-state systems but not well suited for dense-time properties.
- SMT-based Bounded Model Checking (BMC)—extends SAT-based BMC by incorporating richer logical theories, making it more suitable for verifying real-time and epistemic properties.
One of the earliest advancements in model checking was symbolic model checking, which introduced symbolic storage methods based on Binary Decision Diagrams (BDDs) [,,]. BDD-based techniques enable efficient representation of state spaces but become infeasible for large-scale systems due to exponential memory requirements. To address these limitations, bounded model checking (BMC) was introduced as a complementary technique.
Bounded model checking (BMC) [] is a verification method primarily designed to locate counterexamples by unrolling the system’s behavior up to a fixed depth. Given a model M, a property P, and a bound k (a natural number), BMC generates a formula F that is satisfiable if and only if there exists a counterexample of depth less than or equal to k.
SAT-based BMC encodes F as a propositional formula, which is then checked by a SAT solver. It was initially proposed for linear-time temporal logic (LTL) [] and later extended to handle various other logics, including the existential fragments of CTL [], CTLK [], and LTLK [] for epistemic properties, TCTLK [] and RTCTLK [,] for real-time and knowledge-based verification, and MTLKD [] and ECTL*KD [] for deontic and epistemic reasoning.
While SAT-based BMC is effective for finite-state systems, it struggles with dense-time constraints, which are crucial in real-time multi-agent systems. The Satisfiability Modulo Theories (SMT) problem [] extends SAT by incorporating predicates from richer mathematical theories, such as linear real arithmetic and integer arithmetic. SMT-based BMC translates the verification problem into a quantifier-free formula in a decidable subset of first-order logic, which is then checked by an SMT solver.
SMT-based BMC has been successfully applied in embedded software analysis and verification written in ANSI-C [], timed automata verification for properties expressible in TCTL [], weighted timed automata for finding quasi-optimal runs [], and multi-agent system verification, where different variants of interpreted systems have been analyzed [,,].
Recent advances in SMT-based BMC [] have demonstrated its feasibility for verifying real-time and epistemic systems. However, existing SMT-based techniques focus primarily on classical temporal or epistemic properties and do not integrate deontic reasoning, which is essential for modeling compliance and norm violations in multi-agent systems. Our approach extends SMT-based BMC by incorporating deontic constraints into the verification process, enabling a more comprehensive analysis of agent behavior in safety-critical systems.
In particular, in this paper, we introduce a novel approach for the translation of the model checking problem for EMTLKD to the model checking problem of a variant of deontic–epistemic linear temporal logic (LTL), denoted as . Moreover, we propose a modified SMT-based bounded model checking (BMC) approach for , which allows for more efficient verification of safety-critical systems modeled as dense-timed deontic interpreted systems (DTDISs).
Our approach enables rigorous verification of deontic real-time multi-agent systems (DRTMASs) by leveraging SMT-based BMC, making it particularly valuable for ensuring the reliability of safety-critical systems where failures could have severe consequences. Examples include railway interlocking systems, autonomous vehicle coordination, and critical infrastructure monitoring.
It is important to note that unlike full model checking, which aims to verify properties over an unbounded execution space and is often subject to undecidability concerns in dense-time systems, BMC operates over a finite prefix of system executions. This means that we do not attempt to establish the universal truth of a specification over an infinite model but rather search for counterexamples within a given bound. Consequently, concerns about full decidability do not apply here, as BMC inherently operates within a decidable fragment by construction. This makes our approach practical for real-time multi-agent systems, where exploring the entire state space would be computationally infeasible.
An alternative approach to ensuring the safety of real-time systems is Adaptive Dynamic Programming (ADP), which has been explored in control theory and reinforcement learning-based optimization techniques [,,]. ADP-based methods focus on dynamically adjusting system behavior in response to environmental changes, often utilizing neural networks and adaptive control strategies to optimize performance under uncertainty. While these methods have been successfully applied to the control of nonlinear safety-critical systems, they do not provide exhaustive correctness guarantees, as they rely on approximations and empirical validation rather than formal verification. In contrast, our approach is based on model checking, which enables rigorous verification of all possible system executions, ensuring that specified safety and correctness properties hold under all conditions. This distinction is particularly important in applications where compliance with strict safety requirements is critical and cannot be left to adaptive optimization alone.
1.4. Contribution and Outline
The primary contributions of this paper are as follows:
- Introduction of Dense-Timed Deontic Interpreted Systems (DTDISs). We extend existing interpreted system models by incorporating both deontic reasoning (norm compliance) and real-time continuous behaviors. This allows verification under both timing and deontic constraints, addressing a major gap in classical models.
- Translation from EMTLKD to . We introduce a new translation from EMTLKD to that enables efficient verification of EMTLKD properties using SMT-based BMC. Unlike previous methods that focus separately on epistemic or temporal logic, our approach integrates epistemic, deontic, and real-time reasoning into a unified framework.
- A specialized SMT-based BMC approach for real-time multi-agent system verification. Our approach extends standard SMT-based BMC techniques to support dense-time semantics and deontic constraints, which enables the verification of norm violations and compliance tracking in real-time multi-agent environments.
- Application to a faulty train controller system. We illustrate our methodology with a faulty timed train controller system (FTTCS), demonstrating how our framework detects safety violations under epistemic, deontic, and timing constraints.
The remainder of this paper is structured as follows. Section 2 defines dense-timed deontic interpreted systems (DTDISs). Section 3 introduces the EMTLKD logic and its semantics, enabling reasoning about real-time, deontic, and epistemic behaviors. Section 4 presents the translation from EMTLKD to the existential deontic linear temporal logic, . Section 5 describes our SMT-based BMC approach and demonstrates its application to the faulty train controller system.
2. Dense-Timed Deontic Interpreted System
Each interpreted system’s formalism consists of a set of agents functioning within a specified environment. We assume the existence of a non-empty, finite set of agents , along with a unique agent , representing the environment. The collection of agents in set  and the environment agent  together constitute a multi-agent system (MAS).
To formally model our agents and define the DTDIS, we establish the following notation:
- denotes the set of non-negative real numbers, while represents the set of positive real numbers as .
- is a finite set of non-negative real variables, called clocks, such that , for all .
- is a clock valuation function that is total and assigns to each clock a non-negative real value .
- consists of all the clock valuations.
- For , the valuation is defined as follows: , and , .
- For , the valuation is defined as follows: .
- Let , , and . The set of clock constraints over the set of clocks is defined by the following grammar: .
- For any clock valuation and , the satisfaction relation is defined as follows: iff , and iff and .
- is a set of propositional variables such that , for all .
The dense-timed deontic interpreted system (DTDIS) is a tuple
      
        
      
      
      
      
    
- is a non-empty and finite set of local states of agent (environment) . represents a non-empty set of ideal (faultless, norm-compliant, green) states, while denotes a set of faulty (non-compliant, red) states. Every local state associated with an agent encapsulates comprehensive information about the system available to the agent at any given moment. We operate under the assumption that the local states of are considered “public”.
- is a non-empty set of initial local states of agent (environment) .
- is a non-empty and finite set of local actions available to agent (environment) , employed to characterize the temporal progression of the system. It is presumed that the special null action is included within , and that all actions are considered “public”. Each element of the set is referred to as a joint action.
- is a non-empty and finite set of clocks for agent (environment) . We assume that the clocks of the environment are considered ”public”.
- is a local protocol function that maps each local state to a set of local actions that can be performed in that state.
- is a valuation function that assigns to each local state a set of propositional variables that are true at that state.
- is an invariant function that specifies the amount of time agent (environment) may spend in its local states.
- is a (partial) evolution function for agent . This function governs the transition of agent ’s local state, contingent upon the following:- –
- The local states of both the agent and the environment;
- –
- The enabling condition (i.e., a clock constraint from the set );
- –
- The set of clocks of the agent to be reset;
- –
- The joint action performed.
 
- is a (partial) evolution function for the environment .
Before we define the semantics of DTDISs, here are some additional explanations. Clocks are essential for modeling temporal aspects in a DTDIS. Each clock is represented by a continuous variable that progresses over time, with the set of clocks  for each agent including all clocks relevant to that agent’s perspective. The evolution of clocks is governed by clock constraints . Additionally, each agent, including the environment, has its own set of local states  representing the possible conditions or configurations in which the agent can find itself. These states are divided into faultless (green) states  and faulty (red) states , providing a means to model system failures or abnormalities.
The initial local states  indicate the starting points for each agent, while evolution functions  and  describe how the system evolves over time. These functions specify how local states change based on the current state, environmental conditions, clock constraints, and actions taken, though they are partial because not all transitions might be defined.
Each agent has a set of local actions  available to it, driving the progression of the system. Joint actions, combinations of local actions taken by different agents simultaneously, are also considered. The null action  represents the absence of action.
Furthermore, the local protocol function  determines which actions an agent can take in a given local state, while the valuation function  assigns truth values to propositional variables  based on the current local state. Finally, the invariant function  specifies constraints on how much time an agent can spend in its local states, ensuring adherence to predefined timing constraints.
With these components in mind, we can proceed to define the semantics of a DTDIS by associating it with a dense-timed deontic model, which is a tuple , where
- is the set of joint actions.
- is the non-empty set of all global states such that . For a global state , the symbol denotes the local component of agent in s, and denotes the clock valuation of agent in s.
- is the non-empty set of all initial global states such that .
- is a transition relation defined by action and time transitions:- –
- Action transition: for any , iff for all , there exists a transition such that and and , and there exists a transition such that and and .
- –
- Time transition: let , iff for all , and and and .
 
- is the valuation function defined as .
We assume that the relation → is total, meaning that for any , there exists , along with either a non-empty joint action  or a real number , such that  or  holds. This ensures the possibility of transitioning from any state to another through either action execution or time passage. Furthermore, for a given DTDIS and an agent , we define the following:
- Indistinguishability relation: For any , we denote if and only if . This relation captures states that are indistinguishable from the perspective of the agent .
- Deontic relation: For any , we denote if and only if . This relation signifies states that are permissible or compliant with the agent’s objectives or requirements.
- Other standard epistemic relations: , (the transitive closure of ), , where .
Additionally, in a dense-timed deontic model based on the transition relation T, a run  is an infinite sequence of global states obtained by alternating time and action transitions, i.e., , or more compactly , where , , and  for all . The assumption that  implies that runs are strongly monotonic, ensuring that every two action transitions must be separated by at least one time unit. This property enhances the temporal coherence and meaningfulness of the model’s behavior.
The DTDIS model integrates dense-time constraints and deontic aspects, allowing for the verification of both timing correctness and norm compliance. This formalism provides a structured way to analyze real-time multi-agent systems where both epistemic (knowledge-based) and deontic (normative) reasoning are essential.
2.1. An Example of a Real-Time MAS and Its DTDIS Model
To illustrate the application of dense-timed deontic interpreted systems (DTDISs), consider a faulty version of the timed train controller system (FTTCS) [], also known as Fischer’s mutual exclusion protocol. Unlike the original system, where correctness is inherently tied to the time constraints, the flawed version does not violate these temporal conditions but introduces unexpected erroneous behavior from the controller. This scenario closely mirrors real-world failures in automated railway control systems, where misconfigurations or faulty controllers have caused severe accidents, such as train collisions due to incorrect signal interpretations. By applying formal verification techniques like our DTDIS model, engineers can detect such flaws early, ensuring safer and more reliable railway systems.
The FTTCS consists of the following:
- n trains (, where ), each traversing its dedicated circular track unidirectionally and equipped with an individual clock .
- A controller C responsible for managing train access to a tunnel, a crucial section of the track used by all trains.
- An environment that encompasses external factors affecting the system.
Since the tunnel accommodates only one track, trains traveling in opposite directions cannot use it simultaneously. To regulate this, traffic lights at both ends of the tunnel alternate between red and green. Trains communicate their entry and exit from the tunnel to the controller. However, in the faulty version, the controller may fail—allowing traffic lights to remain green despite a train’s entry, leading to potential collisions.
This system scales according to the number of trains (n), with each train functioning as an independent agent.
Figure 1 illustrates the local states, possible local actions, local clocks, clock constraints, invariants, and the local protocol for each agent, excluding the environment . Null actions are not depicted in Figure 1. Additionally, the states colored green belong to the faultless (green) set of the respective agent, while those colored red belong to the faulty (red) set.
 
      
    
    Figure 1.
      A faulty timed train controller system.
  
When in the state , train  can signal its intent to enter the tunnel, provided that the value of the controller C is zero (indicating that no other train has made the same request). Subsequently, it transitions to the state , where it waits for an arbitrary duration, less than  time units, before updating C to i. At this point, it becomes poised to enter the tunnel; however, a minimum time interval of  is required for this transition. Upon exiting the tunnel, the train sets C to the state 0.
Controller C has  states, indicating that all trains are  (state 0), the numbers of trains, i.e., , and that the controller is faulty (i.e., faulty traffic lights remain green when a train enters the tunnel). Controller C is initially at state 0. It moves to state i if it is notified by train . While in state i, it can either return to state 0, or “jump” to state j when notified by train . Furthermore, the controller has the capability to transition from states 1 through n to state F due to damage or malfunction. It may persist in this state and, upon restoration, return to state 0. Moreover, while in state F, the controller permits the entry of a waiting train outside the tunnel, even if another train is currently inside.
The action  of train  signifies the transition from the  state to the state where the train seeks access to the tunnel. As previously mentioned, this transition is permissible only if controller C is in state 0. This restriction is maintained by the synchronization of train  with controller C upon the action , which is enabled exclusively when C is in state 0. Similarly, train  synchronizes with controller C on actions , indicating the setting of C to state i, as well as , representing the returning of C to state 0. Lastly, the action  denotes the entry of train  into the tunnel.
For environment , for the sake of clarity in presentation, we will consider only one local state: . The set of actions for  is . The local protocol of  is defined as follows: . The set of clocks of  is empty, and the invariant function is 
From Figure 1, we can easily derive the local evolution functions of each agent. As an example, we provide the definition of the local evolution function for train . The remaining definitions follow similarly.
Let  denote a local state of train , and , with , , , and . Moreover, let , , , and , respectively, denote an action of the th train, the controller, and the environment. The local evaluation function of train  is the following:
- , if and .
- , if .
- , if .
- , if .
- , if .
We can define the set of possible global states S for the scenario as the product , and we consider the following set of initial states , where .
The example can be scaled by adding trains or adjusting the time-delay constants  and . It is important to note that the maintenance of the mutual exclusion property (i.e., ensuring that no two trains are in the tunnel simultaneously) relies on the relative values of the time-delay constants  and . However, the correctness of the protocol, ensured by appropriate settings of the constants  and  (i.e., ), can be compromised if, for unknown reasons, the controller ceases to function and transitions to the “faulty” state.
It should be straightforward to deduce the dense-timed deontic model induced by the above description of the FTTCS scenario. In the dense-timed deontic model of the scenario, we assume the following set of proposition variables, , and the following definition of valuation functions for trains, , for , and the controller C, .
Considering the aforementioned FTTCS for two trains  and , with  and  (mutual exclusion holds under the assumption of the controller functioning correctly; otherwise, it does not), a prefix of the potential run  of a dense-timed deontic model for that scenario is as follows:
		
This run confirms that mutual exclusion does not hold once the controller enters the faulty state (F).
The faulty timed train controller system (FTTCS) demonstrates how real-time multi-agent systems can be modeled using a DTDIS. By incorporating epistemic, temporal, and deontic reasoning, this framework enables rigorous analysis of system correctness and fault tolerance.
3. The Logic EMTLKD with a Dense Semantics
The language of EMTLKD, a deontic–epistemic metric temporal logic, is constructed recursively from atomic propositions using the bounded until  and bounded always  operators of MTL, classical connectives (conjunction ∧, disjunction ∨, and negation ¬), and epistemic modalities  (indicating “agent  does not know whether or not”), , , and  (representing dualities to standard group epistemic modalities for “distributed knowledge in the group Γ”, “everyone in Γ knows”, and “common knowledge among agents in Γ”), and deontic modalities  and  (indicating the “correctly functioning circumstances of agents”).
The epistemic modality  is the dual of the epistemic modality , which signifies that in all possible states compatible with what agent  “knows”, a given property is true. Therefore,  expresses that in some possible state compatible with what agent  “knows”, a given property is true.
The deontic modality  is the dual of the deontic modality  [], where  signifies that a property holds in all states in which agent  is functioning correctly, i.e., in all “green” states. Hence,  expresses that a property holds in some state in which agent  is functioning correctly.
The deontic modality  is the dual of the deontic modality  [], where  represents the knowledge that agent  has under the assumption that agent  is functioning correctly. Thus,  describes the lack of knowledge of agent  regarding a property under the assumption that agent  is functioning correctly.
Definition 1 (Syntax). 
Let , ,  and I be an interval in  of the form  or , for  and . Then, the formulae α of EMTLKD are given by the following grammar:
      
        
      
      
      
      
    
		Observe that we restrict our attention to formulae in Negation Normal Form (a formula is in Negation Normal Form (NNF) if the only Boolean connectives in it are ∧, ∨, and ¬, where ¬ is only applied to propositional variables).
The derived basic modal operators for “bounded eventually” and “bounded release” are defined as follows:  and . Hereafter, if the interval I is of the form , we omit it for the simplicity of the presentation. For example, the property it is not true that an agent  knows that each time a problem occurs, then is it followed within 30 time units by an alarm can be expressed in EMTLKD by the following formula: .
EMTLKD has promising applications in the formal analysis and verification of safety-critical systems, where time constraints and agent knowledge are paramount. Examples include railway control, healthcare monitoring, and air traffic management. EMTLKD enables precise reasoning about agent behavior, their knowledge, and the correct functioning of components over time.
The faulty timed train controller system (FTTCS), as described in the previous section, offers a compelling example of how EMTLKD can be applied to the verification and analysis of multi-agent safety-critical systems. The system comprises n trains, each with individual clocks, accessing a shared tunnel controlled by a central controller C. The tunnel accommodates only one train at a time; concurrent entry results in failure.
This scenario is particularly interesting because while the system respects temporal constraints, a malfunctioning controller might lead to mutual exclusion violations—a critical property of the system that ensures no two trains are inside the tunnel simultaneously. EMTLKD provides a framework to express and verify the behavior of such a system by considering both temporal aspects (how long trains wait and operate) and epistemic aspects (what agents know about the state of the system). Moreover, it is particularly well suited for verifying the correctness of the system, especially in the face of unexpected failures like the faulty traffic lights remaining green.
      
- Example: Faulty Timed Train Controller System (FTTCS)
Consider a simplified version of the FTTCS with two trains,  and , and the following properties:
- Each train has a local clock that tracks how long it has been waiting to enter the tunnel.
- The controller C has states representing whether the tunnel is empty (state 0), occupied by train (state i), or in a faulty state F, where it may incorrectly allow multiple trains to enter the tunnel.
A critical property we want to verify is that the mutual exclusion rule is upheld: no two trains should ever be in the tunnel at the same time, unless the controller has entered the faulty state. This property can be formalized in EMTLKD as follows:
      
        
      
      
      
      
    
This specification states the following:
- Eventually (), it should not be the case that the controller knows () that both trains are in the tunnel simultaneously for any period up to 6 time units ()
- It is not the case that the controller is always functioning correctly () to ensure that mutual exclusion holds for the same time period.
This formula captures the requirement that the controller not only knows about potential safety violations but also has the responsibility to ensure that no two trains are allowed to be inside the tunnel at the same time, barring a malfunction.
The strength of EMTLKD lies in its ability to model not just time-constrained actions, but also the epistemic and deontic states of agents—what they know and whether they are functioning ideally—allowing for thorough analysis and validation of these safety-critical systems.
Semantics of EMTLKD
Let  be a dense-timed deontic model, and  represent a run in M. Each run generates the unambiguous path  corresponding to run , where , , , , … hold. This is because we consider only the strongly monotonic runs. Further,  denotes the set of all the paths starting at , and  is the set of all the paths starting at all initial states. Finally, given a run  and a position , a duration function , as defined in [], returns the sum of all the time transitions along the run  up to the position j.
There are two possible distinct semantics for EMTLKD: one referred to as “continuous” and the other as “pointwise”. While both share rules for basic modalities, they diverge in their interpretation of the term “position”. In the continuous semantics, a position in a run  encompasses any state encountered along . For example, if there exists a transition  in , then any state  with  is considered a position in . In the pointwise semantics, a position in a run  is represented by an integer i corresponding to the state . In this semantics, formulas are evaluated immediately after an action is performed. We adopt the pointwise semantics.
Definition 2 (Semantics). 
Let α and β be EMTLKD formulae, M the dense-timed deontic model, and  a path. By , we denote the path  with a designated formula evaluation position . An EMTLKD formula α is true along a path  (in symbols, ) iff , where
      
        
      
      
      
      
    
The EMTLKD formula is existentially valid in the model M (written ) iff  for some path .
Example 1. 
Consider the FTTCS scenario described in Section 2.1 involving two trains  and , where  and . It is noteworthy that the mutual exclusion property holds, assuming the correct functioning of the controller; otherwise, it does not. Let M be the dense-timed deontic model of the FTTCS,  be an EMTLKD formula, and ρ be a run with the following prefix:
      
        
      
      
      
      
    The corresponding path  takes the following form:
      
        
      
      
      
      
    
Observe that  and  are both true at position . Hence, we have . This implies that  holds.
Identifying the existential validity of an EMTLKD formula  within a dense-timed deontic model M constitutes an existential model checking problem. Put differently, this problem seeks to ascertain whether .
One of the key challenges in verifying EMTLKD properties is the increasing computational complexity as the number of agents and their interactions grow. In multi-agent systems, the state-space explosion problem arises not only from the large number of agents but also from the complexity of their local states. Each agent’s local state in a DTDIS must maintain not only a discrete execution state (determined by past actions) but also the values of real-time clocks, which evolve continuously. This combination of discrete and dense-time information significantly increases the number of possible system states, making exhaustive verification computationally expensive.
To address this issue, one effective approach is to first translate EMTLKD into its corresponding linear temporal logic with epistemic and deontic components, . This transformation simplifies the structure of the logic by removing some of the branching aspects of temporal logic, while still preserving key epistemic, temporal, and deontic properties of the system. Additionally, this representation allows us to apply bounded model checking (BMC), which enables verification within a finite scope, mitigating the impact of state-space explosion.
Bounded model checking works by limiting the exploration to a finite, pre-specified number of steps or time units, and then searching for counterexamples to the given properties within this bound. By doing so, BMC mitigates the problem of state-space explosion, as it narrows the scope of the verification process. For complex multi-agent systems like the FTTCS, this approach significantly reduces the computational overhead, as the verification focuses only on behaviors that occur within the bounded time frame, making it more feasible to handle larger systems with many agents or intricate time constraints. Additionally, using SMT solvers in conjunction with BMC allows for efficient symbolic encoding of the state space, further optimizing the verification process.
4. Translation from EMTLKD to
The translation of the existential model checking problem for EMTLKD into the existential model checking problem for , a language defined below and interpreted over a dense-timed deontic interpreted system, is based on the work in []. In that work, the translation of the existential model checking problem for EMTLK to the existential model checking problem for  was first introduced.
The extension of this translation in the current context was motivated by the necessity to incorporate all standard epistemic and deontic operators. The inclusion of deontic operators enables modeling the correct behavior of agents, allowing us to reason not only about proper system behavior but also about scenarios where agents or the system deviate from expected norms. This semantic framework effectively captures states in which agents function correctly as well as those in which they do not.
Moreover, the addition of epistemic operators, which handle a group of agents, facilitates reasoning about various types of knowledge, including common knowledge, distributed knowledge, and the knowledge possessed by every agent in a group. This enhancement strengthens the modeling of multi-agent systems, where agents’ knowledge and coordination play a crucial role in determining overall system behavior.
Definition 3. 
Let I be an interval as assumed in Definition 1,  the set of all intervals in , and . The formulae α of  are defined inductively:
      
        
      
      
      
      
    where , , and .
The modal operators  and  are read as “until” and “globally”, respectively. The derived basic modal operators for “eventually” and “release” are defined as follows:  and . The epistemic operators , , , , , and  have the same meaning as described in Section 3.
Definition 4. 
Let α and β be  formulae, M the dense-timed deontic model, and  a path. By , we denote the path  with a designated formula evaluation position . The satisfiability relation , which indicates the truth of an  formula in the model M along the path  with the starting point n and at the depth , is defined inductively as follows:
- ;
- ;
- iff ;
- iff ;
- iff ;
- iff ;
- iff and ;
- iff or ;
- iff and ,
- iff ,
- iff and ,
- iff and ,
- iff and ,
- iff and ,
- iff and ,
- iff and and .
An  formula  is considered existentially valid in the model M (denoted ) if and only if there exists some path  such that . The existential model checking problem asks whether  holds.
Let , and let  and  be formulas in EMTLKD. We define the translation from EMTLKD into  as a function  as follows:
      
        
      
      
      
      
    
The translation of literals, Boolean connectives, and epistemic/deontic operators is straightforward. However, the translation of temporal operators requires special care. For the until operator (), the translation ensures that  holds within the interval I (captured by the condition ), while  must be true at all points prior to . The translation of the globally operator () ensures that  holds throughout the entire interval I, represented by .
It is important to note that the length of the translated formula, , grows linearly with the length of the original formula, . Additionally, this translation preserves the existential model checking problem, meaning that checking whether  is satisfied by a model M in a dense-timed deontic system is equivalent to checking whether  is satisfied by the same model.
Consequently, the following theorem can be proved by induction on the structure of the EMTLKD formula.
Theorem 1. 
Let M be the dense-timed deontic model, and φ an  formula. Then,  iff .
Proof of Theorem 1. 
We prove this theorem by structural induction on the formula  in EMTLKD. The inductive hypothesis is that the translation preserves truth, i.e., for any subformula  of , we have  if and only if .
For atomic propositions :
      
        
      
      
      
      
    
		In both EMTLKD and , atomic propositions and their negations are interpreted identically, so
      
        
      
      
      
      
    
		Thus, the translation preserves truth for atomic propositions and their negations.
        
- Inductive Step: Boolean Connectives
Let . By the translation rules,  By the inductive hypothesis, we know that  Thus,
      
        
      
      
      
      
    
        which implies that  The proof for ∨ follows similarly.
        
- Inductive Step: Temporal Operators
Let . By the translation rules,  where  is a condition representing that the interval I holds. By the semantics of  in EMTLKD,  means that  must hold at some point within interval I, and  must be true at all preceding points.
In , the translation ensures that  holds in the interval I, as encoded by the condition , and that  holds at preceding points. By the inductive hypothesis,  and . Therefore,
      
        
      
      
      
      
    
        which implies that
      
        
      
      
      
      
    
		Let . By the translation rules,  where  ensures that the interval I does not end prematurely. By the semantics of ,  must hold continuously throughout the interval I. The translation ensures this by encoding the condition , which guarantees that  holds as long as I holds. By the inductive hypothesis, , so
      
        
      
      
      
      
    
        which implies that .
        
- Inductive Step: Epistemic and Deontic Operators
For any epistemic operator  and deontic operator , the translation function preserves the structure directly, i.e., . By the inductive hypothesis, . Since the semantics of these operators in both EMTLKD and  are defined in a similar way, we have
      
        
      
      
      
      
    
        which implies that .
By structural induction on the formula , we have shown that  holds for all subformulas. Therefore, the translation preserves existential validity, and the theorem is proved.
5. SMT-Based BMC of Properties
In the bounded model checking (BMC) method, a crucial aspect is understanding finite representations of infinite paths. This section presents key concepts related to bounded semantics in the context of  formulae and their evaluation within dense-timed deontic models.
5.1. Paths in Dense-Timed Deontic Models
Let  be a dense-timed deontic model, where  and . A k-path is a finite sequence of states in M, denoted by  or , where
- Each transition between states is either time-based, for some , or action-based, for some .
- Every action transition must be preceded by at least one time transition.
A k-path  is called a loop if , and for all agents , the following conditions hold:  where ≃ is an equivalence relation on clock valuations, as defined in [].
If a k-path  is a loop, it represents the infinite path of the form , where  and . This path is denoted by .
Furthermore, the set of all k-paths starting at a state  is denoted by , and the set of all k-paths starting from initial states is as follows:
      
        
      
      
      
      
    
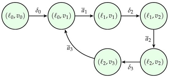
To better visualize the concept of k-paths and loops, consider the diagram in Figure 2, which illustrates a k-path with alternating time and action transitions. Time-based transitions maintain the same location while updating clock values, and action-based transitions change the location while keeping clock values unchanged. The loop forms as state  transitions back to , satisfying the loop conditions described earlier. Such representations help in understanding the structure of k-paths and their role in verification processes.
 
      
    
    Figure 2.
      Illustration of a k-path with transitions and loop formation. In this example,  and .
  
5.2. Bounded Semantics
We now define the bounded semantics of  formulae along k-paths in dense-timed deontic models.
Definition 5 (Bounded semantics). 
Let α and β be  formulae, M a dense-timed deontic model, and  a k-path. The satisfiability relation  indicates the truth of an  formula in the model M along the k-path , starting at the point n and at depth d. It is defined inductively as follows:
- and ;
- iff ;
- iff ;
- iff- , if is not a loop;
- , if is a loop and ;
- , if is a loop and .
 
- iff ;
- iff and ;
- iff or ;
- iffor, if is a loop:
- iff is a loop and ;
- iff ;
- iff and ;
- iff and ;
- iff and ;
- iff and ;
- iff andand .
To evaluate propositional variables in  formulae, we only use finite prefixes of the sequence . Specifically, the following considerations are made:
- If a k-path is not a loop, we consider only a prefix of length k.
- If a k-path forms a loop, we must consider a prefix of length .
An  formula  is said to be existentially k-valid in the model M, denoted as , if and only if there exists a k-path  starting at the initial state such that .
Lemma 1 (Existence of Equivalent Paths). 
Let M be the dense-timed deontic model, and let φ be an  formula. For any k-path  in M, and for all  and , if , then there exists a path  such that
      
        
      
      
      
      
    
Proof.  
The proof of this lemma is based on induction over the length of the given formula. It follows an analogous argument to Lemma 7 from [].    □
Lemma 2 (Transformation to a k-path). 
Let M be the dense-timed deontic model, and let π be a path in the model. For each  formula φ, and for any , , and , if , then there exists a k-path  such that 
Proof.  
This proof leverages the well-known fact from LTL theory, where if an LTL formula holds on some infinite path, it also holds on an infinite path of the form , where u and v are finite sequences of states, as shown in [].    □
Theorem 2 (Equivalence of Semantics). 
Let M be the dense-timed deontic model for the dense-timed deontic interpreted system (), and let φ be an  formula. Define  as the corresponding  formula. Then,
      
        
      
      
      
      
    
Proof.  
The proof of this theorem follows directly from Lemmas 1 and 2. These lemmas establish that bounded and unbounded semantics are equivalent for certain bounds in the dense-timed deontic model.    □
5.3. Translation to SMT
In this section, we describe how to encode the BMC problem for  properties in a dense-timed deontic model using SMT. This translation is based on the approach outlined in [] and involves the conversion of both the transition relations in the dense-timed deontic model M and the  formula  into quantifier-free first-order formulas.
Let M be a dense-timed deontic model,  an EMTLKD formula,  the corresponding  formula, and  a bound. The SMT-based bounded model checking (BMC) method translates the BMC problem  into the satisfiability problem of the following formula:
      
        
      
      
      
      
    
The formula  assumes that every global state  in M can be represented by a symbolic global state , which consists of symbolic local states for each agent. Each symbolic local state  is represented as a pair:
      
        
      
      
      
      
    
Here,  is an integer representing the local state of agent , and  is a real variable representing the clock valuation of that agent. Similarly, each action  is represented by a symbolic joint action , which is a vector of variables ranging over natural numbers.
The formula  imposes constraints on the symbolic k-paths to ensure they remain valid within the model M. These paths must respect the transition relation of the model, both in terms of action transitions and time transitions.
Conversely, the formula  encapsulates the constraints that must be satisfied by these k-paths for  to hold true. The number of symbolic k-paths required to validate  depends on the formula and is given by the function , which we define as follows:
      
        
      
      
      
      
    
      
        
      
      
      
      
    
      
        
      
      
      
      
    
      
        
      
      
      
      
    
      
        
      
      
      
      
    
      
        
      
      
      
      
    
      
        
      
      
      
      
    
Since in the BMC method we deal with existential validity, the number of k-paths sufficient to validate  is given by the function , which is defined as follows:
      
        
      
      
      
      
    
Auxiliary Quantifier-Free Formulas
We adopt several auxiliary quantifier-free first-order formulas, following the definitions in []. These formulas capture various aspects of the model M:
- : Encodes the fact that the state s is an initial state of the model M.
- : Encodes the propositional variable that holds in the global state .
- : Encodes the equivalence between two local states of agent .
- : Encodes that the local state of agent is “green”, relevant in deontic logic.
- .
- : Encodes the action transitions between two global states.
- : Encodes the time transitions between two global states.
- : Encodes the equivalence between two global states and , including clock valuations.
- : Encodes the global time on a symbolic k-path at depth m.
- : Denotes the j-th symbolic k-path, defined as follows:where- –
- are symbolic states.
- –
- are symbolic actions.
- –
- represents the symbolic time passage between states.
- –
- The value is a symbolic number associated with the j-th path, and .
 
5.4. Encoding Valid k-Paths
Now that we have defined symbolic states and paths, we can describe how to ensure that the symbolic k-paths represent valid paths in M. We define the formula  as follows:
      
        
      
      
      
      
    
The formula defines constraints for symbolic k-paths in the dense-timed deontic model M. This ensures that the paths are valid in terms of time and action transitions, while also ensuring that the global clock and state consistency are maintained throughout the path.
5.4.1. Initial State Constraint
5.4.2. Initial State Equivalence
5.4.3. Path Number Assignment
5.4.4. Time Transition Constraints
- : the transition from state to state is a valid time transition, where represents the passage of time between states.
- : for every intermediate state i along the symbolic path (from 1 to ), there is either of the following:- –
- A time transition ;
- –
- An action transition , where represents an action that transitions the system from state to .
 
5.4.5. Additional Time Transitions
5.5. SMT Encoding of Transition Relation of FTTCS with Two Trains
Let us now translate the transition relation of the FTTCS system with two trains ( and ) and one controller (C). The global symbolic state of the system  consists of the states of the two trains  and  and the controller C. Each  for train  includes its state  and its clock .
5.5.1. Global Symbolic States and Clocks
- : the global symbolic state, consisting of the states of both trains and the controller.
- : the symbolic state of train , where and is its clock.
- : the symbolic state of train , where and is its clock.
- C: The state of the controller, where (0: no train in the tunnel, 1: in tunnel, 2: in tunnel, and F: faulty).
5.5.2. Global Action Transition Relation
The global transition relation  describes how the entire system transitions from one global state  to the next global state  under some action .
      
        
      
      
      
      
    
The action transitions for train  are defined as follows: 
      
        
      
      
      
      
    
This part of the transition relation captures how the system changes when train  moves, including updates to the global state:
- Train starts and updates the controller:This transition means that if is in the “away” state, and the controller is free (), train starts, moving to the “try” state, and resets its clock (), while the controller updates to indicate that is attempting to enter the tunnel ().
- Train approaches the tunnel:This transition occurs when is in the “try” state and its clock is less than . Upon taking the action “approach_1”, moves to the “wait” state and resets its clock.
- Train enters the tunnel:Train enters the tunnel when it has waited for a minimum time . It transitions to the “tunnel” state while maintaining its current clock.
- Train exits the tunnel and resets the controller:After exiting the tunnel, returns to the “away” state and the controller is reset to 0.
		  Similarly, the action transitions for train  are defined as follows: 
      
        
      
      
      
      
    
- Train starts:This transition occurs when starts, moving to the “try” state, resetting its clock, and updating the controller to 2.
- Train approaches the tunnel:
- Train enters the tunnel:
- Train exits the tunnel:
Faulty Controller Transitions
The controller can move to a faulty state (F) under certain conditions, allowing both trains to be in the tunnel simultaneously:
      
        
      
      
      
      
    
- Controller transitions to the faulty state F:This transition occurs if an error happens while either train is in the tunnel, causing the controller to enter a faulty state.
- While in the faulty state F, both trains can enter the tunnel:In the faulty state, the controller allows both trains to enter the tunnel simultaneously, violating the mutual exclusion property.
5.6. Encoding of a Path of Length 3 in SMT for the Timed Train Controller System
In this section, we describe the SMT encoding for a path of length 3 for the faulty timed train controller system (FTTCS). The encoding captures both time-based and action-based transitions.
5.6.1. Initial State Encoding
The initial state of the system consists of both trains being in the “away” state, with clocks initialized to 0, and the controller in state , indicating that the tunnel is free. The initial state  is encoded as follows:
      
        
      
      
      
      
    
5.6.2. Symbolic State Equivalence
The formula  ensures the symbolic state equivalence between  and  for each symbolic path j. It captures the fact that all paths start from the same initial state configuration, with both trains and the controller in the same state across different symbolic paths. We define this equivalence as follows:
      
        
      
      
      
      
    
This formula ensures that the initial state for each symbolic path is the same, both in terms of the states of the agents (trains  and ) and the controller.
5.6.3. Action Transition Encoding
For each step in the path, we encode all the possible transitions for train , train , and the controller C. The transition relation  captures the evolution of the system from state  to  through both time-based and action-based transitions.
The action transition relation  for train , the action transition relation  for train , and the controller’s action transition relation  have been defined in Section 5.5.
5.6.4. Time-Based Transitions
In addition to action-based transitions, the system also evolves through time-based transitions , where clocks of the agents advance without actions being taken. These transitions are defined as follows:
      
        
      
      
      
      
    
This ensures that, if no actions are taken, clocks for both trains are incremented by the symbolic time passage , while the states remain unchanged.
5.6.5. Full Encoding of the Path of Length 3
The full encoding of the path of length 3 for the system is given by
      
        
      
      
      
      
    
This formula encodes the entire path of length 3, starting from the initial state and progressing through both time-based and action-based transitions. It captures the possible evolutions of the system as the agents interact with each other and with the controller over time.
5.7. Translation of an Formula
Let  be a set of indices of k-paths. Following [], we divide the set  into subsets needed for translating the subformulae of . This partitioning is based on the relation ≺ defined on the power set of :
      
        
      
      
      
      
    
We employ auxiliary functions to construct the necessary subsets, following the methodology from [].
- : returns the subset B of A such that and .
- : returns the subset C of A such that and .
- : returns the set .
- : returns a sequence of subsets of A such that , , and .
Using these functions, we partition the set of k-paths as needed for each subformula in .
The next step is translating an  formula  to a quantifier-free first-order formula, which will be used by the SMT solver. The translation aims to encode the bounded semantics of  formulas over a symbolic path of a given length. The encoding is represented as follows:
      
        
      
      
      
      
    
        where  denotes the translation of  along the n-th symbolic k-path  starting at the symbolic state  at the depth m, using the set . The formula  defines the bounded semantics of  formulas on the same sets of individual variables as the formula .
Definition 6. 
Let M be a dense-timed deontic model, ψ an  formula, and  a bound. We define the translation of ψ inductively over a path number , starting at the symbolic state  at depth m, as follows, where :
- , .
- , .
- 1.
- , if .
- 2.
- , if .
 
- .
- .
- .
- .
- .
- .
- .
- .
- .
- .
- .
The following theorem states that the translation is correct and complete.
Theorem 3. 
Let M be a dense-timed deontic model, φ an EMTLK formula, and  an  formula. Then, for every ,  iff the quantifier-free first-order formula  is satisfiable.
5.8. Test Formula for FTTCS in EMTLKD Logic
In the context of the faulty timed train controller system (FTTCS), we propose the following formula for testing, using the EMTLKD logic. The formula checks the system behavior under certain conditions, involving both temporal, epistemic, and deontic modalities.
      
        
      
      
      
      
    
        where
        
- and refer to trains 1 and 2, respectively.
- is the maximum time within which either train must leave the tunnel.
- is the minimum time interval that must pass before the next train can enter the tunnel.
- C represents the controller.
- means that train is approaching the tunnel.
- means that train is inside the tunnel.
- means that train has exited the tunnel.
		This formula models the following system behavior:
- Throughout the interval , the system checks whether the controller C is functioning correctly in at least one state, even if it may not function correctly all the time.
- Train does not have complete knowledge of whether train is approaching the tunnel. If is approaching, assumes that will not enter the tunnel for at least time units, ensuring safety.
- When train exits the tunnel, both trains and are aware of this fact, thanks to their distributed knowledge. This ensures proper coordination between the trains regarding tunnel usage.
		Specifically, it checks the following:
- : This is the bounded always operator, ensuring that everything inside the parentheses must hold continuously throughout the interval . The time frame represents the time during which the system’s behavior is evaluated.
- : This deontic modality asserts that the controller C is functioning correctly in at least one state during the system’s operation. Unlike , which would imply correct functioning in all states, ensures that there is some state in which C operates properly, even if it is not always the case.
- : This epistemic modality indicates that train is uncertain whether or not train is approaching the tunnel (). In this case, must consider the possibility that is approaching and be prepared for it.
- : This part means that either train is not approaching the tunnel, or, if it is approaching, it is guaranteed that will not enter the tunnel for at least time units. This ensures that even if approaches, there will be a delay before it enters the tunnel.
- : This represents distributed knowledge between trains and , meaning that both trains are aware of the fact that has exited the tunnel (). This shared knowledge ensures that the system is synchronized regarding the tunnel’s availability.
5.9. Translation from EMTLKD to of the Test Formula for the FTTCS
The original formula in EMTLKD is as follows:
      
        
      
      
      
      
    
		We will now translate the original formula step by step using the rules defined in Section 4.
- Step 1:
- Translation of . Using the rule for translating , ,we translate the outermost part of the formula:
- Step 2:
- Translation of . For the operator , the translation is straightforward,, so we move on to translating the inner formula:
- Step 3:
- Translation of . Using the rule for translating , ,we now translate the inner disjunction:
- Step 4:
- Translation of the Disjunction. First, remains unchanged becauseFor , we use the rule for :so the full translation of the disjunction is
- Step 5:
- Combining with . We now substitute this into the operator:
- Step 6:
- Translation of . For , the translation is as follows:
- Step 7:
- Combining the Translations. Now, we combine the translations of and :
Finally, we substitute this result back into  and complete the translation:
      
        
      
      
      
      
    
		Thus, the final translation of the whole formula is as follows:
      
        
      
      
      
      
    
5.10. Computation of for the Formula in
Now, let us compute the value of the function  for the following formula:
      
        
      
      
      
      
    
- Innermost formula:- ;
- ;
- .
 Therefore,
- For :Using the rule for :
- For :
- Conjunction:
- For :
- For the outermost :- .
- .
- .
- Finally, for the operator:
 
The value of  for the given formula is . This means that  paths are required to test this formula, where k is the bound on the length of the temporal model used in bounded model checking (BMC). Some examples are as follows:
- If , the number of paths required is ;
- If , the number of paths required is , and so on.
5.11. Translation of the Test Formula into SMT
We discuss the translation of the formula
      
        
      
      
      
      
    
        using the function  and the partitioning methods to divide  into subsets required for translating the subformulas of .
Let  be the set of indices of k-paths. We assume that , so  based on .
Translating  into SMT form involves a methodical expansion according to the rules outlined in Section 5.7. The process is quite laborious, as each subformula needs to be translated step by step into a structured form that respects the bounds and paths defined by . For each component of , we must consider the relevant conditions and inductive rules, such as those for , , , and other operators.
The translation requires a careful application of the rules to each element, starting from the outermost operators and working inward. This involves breaking down complex nested expressions, partitioning sets like  into appropriate subsets, and managing path indices. Each part of the formula—like  or —is expanded using the definitions provided, ensuring that the resulting SMT formula respects the semantics of the original .
Given the complexity, this translation process is a detailed step-by-step task that ensures each logical component is accurately represented in the symbolic model. While tedious, it is essential for obtaining a faithful representation of  in the SMT context, enabling rigorous analysis and verification of the formula’s properties.
6. Conclusions
In this paper, we investigate the verification of safety-critical systems, specifically real-time multi-agent systems (RTMASs), using SMT-based bounded model checking (BMC) for the existential fragment of deontic–epistemic metric temporal logic (EMTLKD). We introduce a novel formalism, dense-timed deontic interpreted systems (DTDISs), to model RTMASs that operate under strict timing constraints while incorporating both deontic (normative) and epistemic (knowledge-based) components. This formalism enables the analysis of both the ideal (correct) and actual (potentially faulty) behavior of agents within such systems.
We propose an SMT-based approach for verifying properties expressed in EMTLKD by translating EMTLKD into a variant of deontic–epistemic linear temporal logic, ELTLKDq, which introduces additional propositional variables to represent dense-time semantics. The SMT-based BMC method efficiently checks for counterexamples up to a given depth, facilitating the detection of potential faults or deviations in real-time multi-agent systems.
To demonstrate the practicality of our approach, we apply it to a case study involving a faulty timed train controller system. This case study illustrates how the proposed method can identify mutual exclusion violations and detect faulty behavior in systems with real-time and epistemic constraints. The results highlight the method’s effectiveness in identifying critical timing and safety issues that arise due to incorrect system assumptions or violations of normative constraints. Our verification process not only determines the conditions under which safety properties hold but also reveals the circumstances leading to failures—insights that are crucial for improving system design and robustness.
The contributions of this work lay the foundation for further research in the automatic verification of complex real-time multi-agent systems that require reasoning about timing, knowledge, and failures in agent behavior. Future directions include extending our approach to more intricate scenarios, integrating optimization techniques to handle larger state spaces, and applying the method to a broader range of real-world safety-critical systems. Additionally, advancing the integration of SMT solvers for more expressive temporal and epistemic logics will further enhance the applicability of the proposed verification methods in the domain of formal verification.
Beyond its theoretical significance, this paper provides a practical verification framework for engineers in transportation safety and industrial automation. Future work will focus on implementing the proposed method within real-world verification workflows, thoroughly evaluating its performance and scalability. This will be essential for assessing its applicability in large-scale engineering environments and ensuring that it meets the reliability standards required in critical industries. The results of such an implementation will provide valuable insights and may lead to further improvements or refinements of the methodology.
Furthermore, applying this approach to real-world transportation infrastructures, automated railway systems, or industrial automation scenarios, where distributed decision-making and real-time coordination are crucial, would provide deeper validation of its practical impact.
Author Contributions
Conceptualization: B.W.-S. and I.S.; methodology: B.W.-S. and I.S.; validation: B.W.-S. and I.S.; formal analysis: B.W.-S. and I.S.; investigation: B.W.-S., I.S. and I.O.; writing-original draft preparation: B.W.-S., I.S. and I.O.; writing-review and editing: B.W.-S., I.S. and I.O.; visualization: B.W.-S.; supervision: B.W.-S.; project administration B.W.-S.; funding acquisition B.W.-S. All authors have read and agreed to the published version of the manuscript.
Funding
This research received no external funding.
Institutional Review Board Statement
Not applicable.
Informed Consent Statement
Not applicable.
Data Availability Statement
The original contributions presented in the study are included in the article, further inquiries can be directed to the corresponding author.
Conflicts of Interest
The authors declare no conflicts of interest.
References
- Wooldridge, M. An Introduction to Multi-Agent Systems, 2nd ed.; John Wiley & Sons: Hoboken, NJ, USA, 2009. [Google Scholar]
- Penczek, W.; Półrola, A. Advances in Verification of Time Petri Nets and Timed Automata: A Temporal Logic Approach; Studies in Computational Intelligence; Springer: Berlin/Heidelberg, Germany, 2006; Volume 20. [Google Scholar] [CrossRef]
- Fagin, R.; Halpern, J.Y.; Moses, Y.; Vardi, M.Y. Reasoning About Knowledge; MIT Press: Cambridge, MA, USA, 1995. [Google Scholar]
- Lomuscio, A.; Sergot, M. A formalisation of violation, error recovery, and enforcement in the bit transmission problem. J. Appl. Log. 2004, 2, 93–116. [Google Scholar] [CrossRef][Green Version]
- Woźna-Szcześniak, B. SAT-based Bounded Model Checking for Weighted Deontic Interpreted Systems. Fundam. Informaticae 2016, 143, 173–205. [Google Scholar] [CrossRef]
- Woźna-Szcześniak, B.; Zbrzezny, A. Checking EMTLK Properties of Timed Interpreted Systems Via Bounded Model Checking. Stud. Log. 2016, 104, 641–678. [Google Scholar] [CrossRef]
- Zbrzezny, A.M.; Zbrzezny, A.; Woźna-Szcześniak, B. SMT-based BMC for Dense Timed Interpreted Systems and EMTLK Properties. In Proceedings of the 14th International Conference on Agents and Artificial Intelligence—Volume 1: ICAART. INSTICC; SciTePress: Setubal, Portugal, 2022; pp. 345–352. [Google Scholar] [CrossRef]
- Pnueli, A. The Temporal Logic of Programs. In Proceedings of the 18th Annual Symposium on Foundations of Computer Science, Providence, RI, USA, 31 October–2 November 1977; pp. 46–57. [Google Scholar]
- Koymans, R. Specifying Real-Time Properties with Metric Temporal Logic. Real-Time Syst. 1990, 2, 255–299. [Google Scholar] [CrossRef]
- Alur, R.; Dill, D. A Theory of Timed Automata. Theor. Comput. Sci. 1994, 126, 183–235. [Google Scholar] [CrossRef]
- Bouyer, P. Model-checking Timed Temporal Logics. Electr. Notes Theor. Comput. Sci. 2009, 231, 323–341. [Google Scholar] [CrossRef]
- Furia, C.A.; Spoletini, P. Tomorrow and All our Yesterdays: MTL Satisfiability over the Integers. In Proceedings of the International Colloquium on Theoretical Aspects of Computing, Istanbul, Turkey, 1–3 September 2008; Springer: Berlin/Heidelberg, Germany, 2008; Volume 5160, pp. 126–140. [Google Scholar]
- Ho, H.; Ouaknine, J.; Worrell, J. On the Expressiveness and Monitoring of Metric Temporal Logic. Log. Methods Comput. Sci. 2019, 15, 13:1–13:52. [Google Scholar] [CrossRef]
- Pradella, M.; Morzenti, A.; Pietro, P.S. Bounded satisfiability checking of metric temporal logic specifications. ACM Trans. Softw. Eng. Meth. 2013, 22, 1–54. [Google Scholar] [CrossRef]
- Clarke, E.; Grumberg, O.; Peled, D. Model Checking; The MIT Press: Cambridge, MA, USA, 1999. [Google Scholar]
- Manna, Z.; Pnueli, A. The Temporal Logic of Reactive and Concurrent Systems; Springer: Berlin/Heidelberg, Germany, 1992; Volume 1. [Google Scholar] [CrossRef]
- McMillan, K. Symbolic Model Checking: An Approach to the State Explosion Problem; Kluwer Academic Publishers: Dordrecht, The Netherlands, 1993. [Google Scholar]
- Bryant, R. Binary Decision Diagrams and Beyond: Enabling Technologies for Formal Verification. In Proceedings of the International Conference on Computer-Aided Design (ICCAD’95), San Jose, CA, USA, 5–9 November 1995; pp. 236–243. [Google Scholar]
- Raimondi, F.; Lomuscio, A. Automatic verification of multi-agent systems by model checking via OBDDs. J. Appl. Log. 2005, 5, 235–251. [Google Scholar] [CrossRef][Green Version]
- Biere, A.; Cimatti, A.; Clarke, E.; Fujita, M.; Zhu, Y. Symbolic Model Checking Using SAT Procedures Instead of BDDs. In Proceedings of the ACM/IEEE Design Automation Conference (DAC’99), New Orleans, LA, USA, 21–25 June 1999; pp. 317–320. [Google Scholar]
- Penczek, W.; Woźna, B.; Zbrzezny, A. Bounded Model Checking for the Universal Fragment of CTL. Fundam. Informaticae 2002, 51, 135–156. [Google Scholar]
- Penczek, W.; Lomuscio, A. Verifying Epistemic Properties of Multi-Agent Systems via Bounded Model Checking. Fundam. Informaticae 2003, 55, 167–185. [Google Scholar]
- Mȩski, A.; Penczek, W.; Szreter, M.; Woźna-Szcześniak, B.; Zbrzezny, A. BDD- versus SAT-based bounded model checking for the existential fragment of linear temporal logic with knowledge: Algorithms and their performance. Auton. Agents Multi-Agent Syst. 2014, 28, 558–604. [Google Scholar] [CrossRef]
- Lomuscio, A.; Penczek, W.; Woźna, B. Bounded Model Checking for Knowledge and Real Time. Artif. Intell. 2007, 171, 1011–1038. [Google Scholar] [CrossRef]
- Woźna-Szcześniak, B.; Zbrzezny, A.M.; Zbrzezny, A. The BMC method for the existential part of RTCTLK and interleaved interpreted systems. In Proceedings of the 15th Portuguese Conference on Artificial Intelligence (EPIA’2011), Lisbon, Portugal, 10–13 October 2011; Springer: Berlin/Heidelberg, Germany, 2011; Volume 7026, pp. 551–565. [Google Scholar]
- Zbrzezny, A.M.; Zbrzezny, A. SAT-Based BMC Approach to Verifying Real-Time Properties of Multi-Agent Systems. In Proceedings of the 15th IEEE/ACS International Conference on Computer Systems and Applications, AICCSA, Aqaba, Jordan, 28 October–1 November 2018; IEEE Computer Society: Washington, DC, USA, 2018; pp. 1–8. [Google Scholar] [CrossRef]
- Woźna-Szcześniak, B.; Zbrzezny, A. SAT-based BMC for Deontic Metric Temporal Logic and Deontic Interleaved Interpreted Systems. In Proceedings of the Post-Proceedings of the 10th International Workshop on Declarative Agent Languages and Technologies (DALT’2012), Valencia, Spain, 4 June 2012; Springer: Berlin/Heidelberg, Germany, 2012; Volume 7784, pp. 170–189. [Google Scholar]
- Biere, A.; Heule, M.; van Maaren, H.; Walsh, T. Handbook of Satisfiability: Volume 185 Frontiers in Artificial Intelligence and Applications; IOS Press: Amsterdam, The Netherlands, 2009. [Google Scholar]
- Armando, A.; Mantovani, J.; Platania, L. Bounded model checking of software using SMT solvers instead of SAT solvers. Int. J. Softw. Tools Technol. Transf. 2009, 11, 69–83. [Google Scholar] [CrossRef]
- Liang, X. Improved SMT-Based Bounded Model Checking for Real-Time Systems. Comput. Syst. Appl. 2010, 19, 1491–1502. [Google Scholar]
- Woźna-Szcześniak, B.; Zbrzezny, A.M.; Zbrzezny, A. SMT-based Searching for k-quasi-optimal Runs in Weighted Timed Automata. Fundam. Informaticae 2017, 152, 411–433. [Google Scholar] [CrossRef]
- Zbrzezny, A.M.; Woźna-Szcześniak, B.; Zbrzezny, A. SMT-Based Bounded Model Checking for Weighted Epistemic ECTL. In Progress in Artificial Intelligence: 17th Portuguese Conference on Artificial Intelligence, EPIA 2015, Proceedings; Springer: Berlin/Heidelberg, Germany, 2015; pp. 651–657. [Google Scholar] [CrossRef]
- Zbrzezny, A.M.; Zbrzezny, A. Checking WECTLK Properties of Timed Real-Weighted Interpreted Systems via SMT-Based Bounded Model Checking. In Progress in Artificial Intelligence: Proceedings of the 17th Portuguese Conference on Artificial Intelligence (EPIA’2015); Springer: Berlin/Heidelberg, Germany, 2015; Volume 9273, pp. 638–650. [Google Scholar] [CrossRef]
- Zbrzezny, A.M.; Zbrzezny, A. Simple Bounded MTLK Model Checking for Timed Interpreted Systems. In Proceedings of the Agent and Multi-Agent Systems: Technology and Applications, 11th KES International Conference, KES-AMSTA 2017, Vilamoura, Algarve, Portugal, 21–23 June 2017; Springer: Berlin/Heidelberg, Germany, 2017; Volume 74, pp. 88–98. [Google Scholar] [CrossRef]
- Qin, C.; Wang, J.; Zhu, H.; Xiao, Q.; Zhang, D. Safe adaptive learning algorithm with neural network implementation for control of nonlinear safety-critical system. Int. J. Robust Nonlinear Control 2023, 33, 372–391. [Google Scholar] [CrossRef]
- Wang, J.; Qin, C.; Qiao, X.; Zhang, D.; Zhang, Z.; Shang, Z.; Zhu, H. Constrained Optimal Control for Nonlinear Multi-Input Safety-Critical Systems with Time-Varying Safety Constraints. Mathematics 2022, 10, 2744. [Google Scholar] [CrossRef]
- Qin, C.; Zhu, H.; Wang, J.; Xiao, Q.; Zhang, D. Event-Triggered Safe Control for the Zero-Sum Game of Nonlinear Safety-Critical Systems With Input Saturation. IEEE Access 2022, 10, 40324–40337. [Google Scholar] [CrossRef]
- Tripakis, S.; Altisen, K. On-the-Fly Controller Synthesis for Discrete and Dense-Time Systems. In Proceedings of FM 1999, Toulouse, France; Lecture Notes in Computer Science; Springer: Berlin/Heidelberg, Germany, 1999; Volume 1708, pp. 233–252. [Google Scholar] [CrossRef]
- Lomuscio, A.; Sergot, M. Deontic Interpreted Systems. Stud. Log. 2003, 75, 63–92. [Google Scholar] [CrossRef]
- Alur, R.; Courcoubetis, C.; Dill, D. Model Checking in Dense Real-Time. Inf. Comput. 1993, 104, 2–34. [Google Scholar] [CrossRef]
- Biere, A.; Cimatti, A.; Clarke, E.; Zhu, Y. Symbolic Model Checking without BDDs. In Proceedings of the TACAS’99, Amsterdam, The Netherlands, 22–28 March 1999; Springer: Berlin/Heidelberg, Germany, 1999; Volume 1579, pp. 193–207. [Google Scholar]
- Zbrzezny, A. A new translation from ECTL* to SAT. Fundam. Informaticae 2012, 120, 377–397. [Google Scholar] [CrossRef]
| Disclaimer/Publisher’s Note: The statements, opinions and data contained in all publications are solely those of the individual author(s) and contributor(s) and not of MDPI and/or the editor(s). MDPI and/or the editor(s) disclaim responsibility for any injury to people or property resulting from any ideas, methods, instructions or products referred to in the content. | 
© 2025 by the authors. Licensee MDPI, Basel, Switzerland. This article is an open access article distributed under the terms and conditions of the Creative Commons Attribution (CC BY) license (https://creativecommons.org/licenses/by/4.0/).
