Next Article in Journal
Predictive and Explainable Artificial Intelligence for Weight Loss After Sleeve Gastrectomy: Insights from Wide and Deep Learning with Medical Image and Non-Image Data
Next Article in Special Issue
Modified Pseudo-Dynamic Bearing Capacity of Shallow Strip Foundation near Slope on Non-Uniform Soil
Previous Article in Journal
Reducing Calculation Times for Seismic Hazard Using Non-Ergodic Ground-Motion Models for Areal Source Zones
Previous Article in Special Issue
Stability Analysis and Instability Time Prediction of Tunnel Roofs in a Karst Region Based on Catastrophe Theory
 
 
Font Type:
Arial Georgia Verdana
Font Size:
Aa Aa Aa
Line Spacing:
Column Width:
Background:
Article

Stability of 3D Tunnel Faces in Inclined Layered Soils Under Steady-State Unsaturated Seepage Based on Grey Relational Analysis

1
School of Civil Engineering, Central South University, Changsha 410075, China
2
Department of Civil & Architecture Engineering, Changzhou Institute of Technology, Changzhou 213028, China
*
Author to whom correspondence should be addressed.
Appl. Sci. 2025, 15(5), 2453; https://doi.org/10.3390/app15052453
Submission received: 15 January 2025 / Revised: 13 February 2025 / Accepted: 21 February 2025 / Published: 25 February 2025
(This article belongs to the Special Issue Slope Stability and Earth Retaining Structures—2nd Edition)

Abstract

This paper aims to estimate the stability of tunnel faces in inclined layered soils under steady unsaturated seepage conditions, comparing the degree of correlation between the stability of the tunnel face and the influence of three types of parameters: unsaturated soil parameters, spatial geometric parameters of soil stratification, and other relevant factors. The study leverages the suction head distribution in multi-layered unsaturated soils, deriving a new formula to compute the effects of steady-state seepage forces with matric suction distribution in inclined stratified soil layers. A three-dimensional discrete rotational failure mechanism model is employed to calculate the critical support force at the tunnel face. The corresponding parametric analysis involves unsaturated soil parameters, spatial geometric parameters, and the variations in these parameters across different soil layers. Based on this analysis, the varying degrees of correlation between tunnel stability and changes in spatial angle parameters considering soil stratification, and the variations in unsaturated parameters across different soil layers are thoroughly investigated. The proposed framework serves as a valuable tool for quantitatively assessing the effects of unsaturated seepage forces on the stability of tunnel faces situated within complex, inclined, layered soil formations.

1. Introduction

With the continuous growth of the population and the ongoing development of cities, urban areas are facing increasingly severe challenges of traffic congestion and limited land resources. To address these issues, urban planners and engineers are actively exploring new transportation infrastructure and urban development models. Against this backdrop, the construction of underground tunnels, an efficient, environmentally friendly, and minimally disruptive mode of urban transportation, is rapidly advancing and finding widespread application. The proper evaluation of the supporting force of the tunnel face and the extent of disturbed soil is crucial for ensuring the safety and stability of underground constructions, especially during tunnel excavation.
Extensive efforts have been directed towards addressing the stability of geotechnical structures, with a specific focus on tunnel face stability. This has been approached through various methods, including experimental, analytical, and numerical techniques. Chambon and Corté (1994) [1] conducted experimental tests to investigate the failure of a shallow tunnel, providing valuable insights into stability challenges. Similarly, Idinger et al. (2011) [2] performed centrifugal model tests to assess the face stability of shallow tunnels. Lee CJ (2013) [3] adopted numerical analysis to study the pile response to open-face tunneling in stiff clay. Among these methodologies, the analytically kinematic approach based on limit analysis stands out due to its distinct advantages. Compared to experimental and numerical methods, limit analysis offers a rigorous and efficient means of evaluating tunnel face stability. This approach provides a systematic and theoretical framework for assessing failure mechanisms and optimizing support strategies, making it a valuable tool for ensuring the reliability and safety of underground constructions. The core process in limit analysis involves creating a valid failure mechanism to compute work, providing an upper or lower bound solution at the moment of failure for geotechnical structures. Laca and Dormieux (1990) [4] introduced a kinematically based failure mechanism using two conical rigid blocks to represent active and passive failures during tunnel excavation. Building upon this, Mollon et al. (2009) [5] introduced a failure mechanism with five conical blocks in homogeneous soil using limit analysis. Expanding the scope, Mollon et al. (2011) [6] introduced a spatial discretization technique, dividing the failure block into multiple elements based on a specified rule. This technique helps realize a 3D failure surface generated point by point, improving the precision of limit analysis for evaluating geotechnical structures’ stability. In recent years, significant advances have been made in the context of limit analysis. A number of key studies have laid the structures for understanding stability mechanisms in such complex environments. For example, Yang et al. (2004) [7] explored the stability of slopes using a limit analysis method, providing valuable insights into the dynamic and static forces affecting slope stability. In a follow-up study, with a limit analysis approach, a nonlinear failure criterion was considered in different engineering contexts (Yang and Yin (2004) [8]; Yang and Yin (2005) [9]).
Most studies on tunnel stability have focused on homogeneous soils. In the area of tunnel stability, Yang and Huang (2011) [10] investigated the collapse mechanism of shallow tunnels under the nonlinear Hoek–Brown criterion, enhancing the design considerations for tunnel stability under complex loading conditions. However, in actual tunnel excavation, the tunnel face typically does not traverse homogeneous soil layers due to the complex and long geological processes (Yang and Wang (2011) [11]). Many scholars have thus analyzed tunnel face stability in spatially variable soils. Alagha and Chapman (2019) [1] used 3D finite element simulations for numerical modeling to compare tunnel face stability in both homogeneous and layered soft ground. Their study provided insights into tunnel face behavior under varying soil conditions. Shahmoradi et al. (2020) [12] employed the earth pressure balance method in a case study of the Dez–Ghomrood water transfer tunnel, focusing on non-homogeneous inclined soil layers. Their investigation emphasized the practical application of this method for assessing face stability. Li and Yang (2020) [13] introduced a novel upper bound limit analysis method, dividing the failure mechanism into horizontal strips with small heights, aimed at assessing tunnel face stability in nonuniform soils. Tu et al. (2023) [14] examined the influence of inclined soil stratification on tunnel face stability, particularly in shield tunneling contexts. These studies offer valuable insights into the complexities of face stability in inclined soils, providing methodologies and case studies to enhance understanding and guide future tunneling projects. More recently, Zhong and Yang (2021) [15] applied a pseudodynamic approach to analyze the three-dimensional stability of tunnel faces, contributing a critical methodology for assessing dynamic stability in tunnel engineering. Xu et al. (2023) [16] focused on the pseudodynamic analysis of 3D tunnel faces in inclined weak strata, further enhancing the understanding of tunnel stability in challenging ground conditions.
In addition to soil stratification, natural soils typically contain water, and the interaction between soil and water is an important topic. In tunnel surface stability analysis, the literature often assumes mostly dry soil above the water table or fully saturated soil below it. However, in natural environments, soils are predominantly unsaturated due to factors such as ambient humidity, groundwater, and rainfall infiltration. The soil above the groundwater table is commonly referred to as unsaturated soil, as demonstrated by experimental studies (Gan and Fredlund (1988) [17]). Recognizing the unsaturated state of soils in natural conditions is critical for achieving a more precise and comprehensive understanding of tunnel stability.
Understanding the shear strength of unsaturated soils is crucial for various geotechnical designs, and the soil–water characteristic curve is often used as the key parameter for estimating unsaturated shear strength. Fredlund DG et al. (1996) [18] explored the correlation between unsaturated soil shear strength and the soil–water characteristic curve. Building on this, Khalili N and Khabbaz MH (1998) [19] proposed a unique relationship to determine the shear strength of unsaturated soils. Existing models generally consider suction as an additional net normal stress component influenced by changes in matric suction. The shear strength of unsaturated soils has been a significant focus of research, especially in understanding their behavior under applied stress gradients. Unsaturated soils can be conceptualized as a two-phase mixture striving for equilibrium when subjected to external stress. The distinctiveness of their stress response lies in the influence of matric suction, which differs from saturated and dry soils. Fredlund et al. (1996) [18] made pioneering contributions by incorporating matric suction into the Mohr–Coulomb failure criterion for unsaturated soils, suggesting a modified failure criterion that revealed a linear relationship between shear strength and matric suction. To bridge these perspectives, Lu and Likos (2004) [20] refined the understanding of effective stress in unsaturated soils, developing a new expression connecting matric suction to matric stress:
σ = ( σ u a ) + χ ( u a u w )
In this context, matric suction is characterized as the disparity between pore air pressure ( u a ) and pore water pressure ( u w ) . The effective stress ( σ ) owns a linear relationship with the total stress ( σ ) and the coefficient of effective stress ( χ ) is set to reflect the degree to which the effective stress is affected by matric suction. To some extent, the dimensionless coefficient χ takes values between 0 and 1. When χ is 0, it corresponds to completely dry soil, but when χ is 1, it is consistent with saturated soil. Regrettably, conducting a direct measurement of the parameter χ appears to be unattainable. However, conducting shear strength tests on unsaturated soil specimens offers an alternative means to determine the value of χ under extended Mohr–Coulomb criteria in unsaturated conditions. Lu and Godt (2013) [21] explored the relationship between matric suction and matric stress as a means to elucidate shear strength in unsaturated soils and the novel Mohr–Coulomb criteria are outlined as follows:
τ f = c + ( σ u a ) tan φ + χ ( u a u w ) tan φ
where τ f represents shear strength while c refers to the effective cohesion intercept and φ denotes the effective internal friction angle.
Many scholars assessed the stability of geotechnical structures in unsaturated soils with the aid of the above extended criteria. Li and Yang (2022) [22] focused on the three-dimensional stability of backfill in unsaturated soils. Nevertheless, unsaturated soils are often influenced by rainfall infiltration. This unsaturated flow alters the distribution of matric suction in the soil matrix, adding complexity to various stability analyses of unsaturated soils under seepage conditions. Various analytical formulas proposed by scholars aim to facilitate the determination of both the matric suction distribution and suction stress distribution. Lu and Likos (2006) [20] analyzed the effective expression to discuss the shear strength in unsaturated soils under seepage conditions. Lu and Godt (2013) [21] built a framework corresponding to the profile of the suction head in both a one-layer system and a two-layer system under the background of Darcy’s law. With these guiding tools, many studies related to the stability of structures under unsaturated flow conditions began to emerge. Li et al. (2020) [23] explored the potential failure of a circular tunnel face under steady-state unsaturated flow conditions, employing a discrete failure mechanism. In a parallel investigation, Hou and Yang (2022) [24] analyzed the stability of tunnel faces under unsaturated seepage conditions, taking into account the impact of fluctuating water levels. Expanding on these findings, a subsequent study by Hou and Yang (2020) [25] delved into three-dimensional stability assessments for a tunnel face reinforced by bolts in the presence of seepage flow conditions. Among the research that only considered the unsaturated flow condition in homogenous soils, all of the studies ignored the intricate heterogeneous stratigraphic condition. The soils that are spatially discretely distributed will exhibit discretely distributed matric suction as well. It is essential to examine the impact of spatially discretely distributed soil on the stability of a tunnel face under unsaturated flow conditions.
This paper takes into account the inclined stratification characteristics in the spatial variability of soil properties, combining the distribution formula of stratified water heads to consider the scenario of vertical steady-state seepage. On this basis, the stability issue of a tunnel face in unsaturated, steady-state seepage conditions for inclined stratified soils is investigated. The characteristics of the spatially uneven distribution of the water head and soil stratification are considered.

2. Problem Description and Methodology

2.1. Sketch of a Tunnel in Inclined Soils Under Steady Unsaturated Seepage

As mentioned above, the stratification traits in tunnel-excavated soils are often complicated, which also results in stratified soils that are usually not horizontally stratified. In this paper, a double-layer inclined layered soil model was built for the analysis of tunnel face stability. Apart from this, an assumption was made that the double-layer inclined layered soil is divided by the interface with a thickness close to zero into two parts, both treated as perfectly elastic–plastic materials following the Mohr–Coulomb yield criterion and the associated flow conditions.
In order to validly intimate the tunnel excavation in double-layer inclined layered soils, a model (as shown in Figure 1) was set up. It is important to emphasize that the global coordinate system has its origin established at the vertex of the tunnel face. The Y-axis aligns with the tunneling direction, the Z-axis is oriented vertically, and the X-axis runs parallel to the horizontal plane. The definitions of the three axis directions adhere to the right-hand rule. This is an important step which should be solved so that the position of the soil interface is depicted by the coordinate of the normal vector N . To further determine the coordinate of this normal vector, the horizontal and soil interface are separately taken out (as shown in Figure 1) for analysis. The dip angle α v refers to the angle between the trend line and the oblique line that are at an acute angle to the tunnel excavation direction on the horizontal plane and the α h denotes the acute angle between the trend line and the X-axis in the positive direction. The coordinate of the normal vector is as follows:
X N = sin α v · sin α h Y N = sin α v · cos α h Z N = cos α v
In order to validly intimate the tunnel excavation in double-layer inclined layered soils, a model (as shown in Figure 1) was set up. The angle α h ranges between 0 ° and 180 ° , whereas α v ranges from 90 ° to 90 ° , encompassing all potential interface scenarios relative to the coordinate system of the tunnel vertices. Apart from these two parameters, a length indicator d t which describes the vertical distance from the vertex of the tunnel face to the interface of the inclined soil layer, is shown in Figure 2.

2.2. The Profile of the Suction Stress in Inclined Layered Soils

A vapor phase also exists in the structure of unsaturated soils and the water potential makes a contribution to the mechanism which propels the flow of the water. As matter naturally shifts from areas of high energy to low energy, evaporation takes place when the total water potential of pore water exceeds the vapor potential. The total potential h t is normally seen as a superposition of various ministries controlled by numerous factors. However, we regularly regarded the total potential as the combination of the matric potential h m and the gravity potential h g ( z ) in geotechnical structural analysis:
h t = h m + z
The absence of underground water will bring suction stress to the soils by means of letting the soil skeleton be subjected to a vertical stress of the difference between the pore air pressure and the pore water pressure. This vertical pressure difference can also be described by various potentials such as the matric potential h m . Darcy’s law plays an important role in bridging the gap between the total potential h t and the flow rate q :
q = K h m h t z
where K denotes the hydraulic conductivity function which depicts the ability of the soil to allow water to pass through and Garden’s model gives us another type of expression to explain the relationship between the flow rate q and the matric potential h m :
K = K s exp ( α γ w h m )
where the K s signifies the saturated hydraulic conductivity, whereas α is the parameter that fluctuates based on soil properties, and γ w represents the unit weight of the water. The Kirchhoff integral transformation possesses the capability to compute the hydraulic conductivity function H :
H = h m K d m
substituting Equation (6) into Equation (7), we can obtain:
H = K s exp ( α γ w h m ) α γ w = K α γ w
substituting Equations (4) and (8) into Equation (5) and integrating, we can obtain:
H ( z ) = q α γ w + c exp ( α γ w z )
where c is the intermediate parameter. When addressing practical engineering issues, it is essential to apply the boundary conditions to the equation mentioned earlier. These conditions should be imposed at the location z = 0 corresponding to the water table denoted by h m = 0 . From the above condition, we can obtain the expression of the intermediate parameter c and the profile of hydraulic conductivity function K :
c = q + K s α γ w
K ( z ) = q + ( q + K s ) exp ( α γ w z )
It can be shown from Equation (6) that:
h m ( z ) = 1 α γ w I n K ( z ) K s
After obtaining the profile of suction head in the homogenous soil, the expression of the suction head’s distribution in inclined layered soils is researched next. As shown in Figure 3, the point P is located in the soil interface and its vertical distance to the horizontal plane is l 1 . The point P 0 is its projection onto the horizontal water table. It should be noted that the suction head profile is only used in the case of vertical flow. The unsaturated seepage within an infinitely layered inclined soil can be visualized as water flowing vertically, fragmenting into individual small horizontal planes, or even reaching a singular point under this premise.
When calculating the suction head in lower soils, we normally incorporate Equations (10) and (11) into Equation (12), obtaining the profile of the suction head:
h m 1 ( z ) = 1 α 1 γ w I n K ( z ) K s 1 = 1 α 1 γ w I n q + c 1 α 1 γ w exp ( α 1 γ w z ) K s 1
c 1 = q + K s 1 α 1 γ w
Likewise, we can furthermore capture the profile of the suction head in upper soils:
h m 2 ( z ) = 1 α 2 γ w I n K ( z ) K s 2 = 1 α 2 γ w I n q + c 2 α 2 γ w exp ( α 2 γ w z ) K s 2
where z is the distance between the selecting point and the groundwater level. However, the magnitude of c 2 deserves consideration. When examining the point in upper soils, its projection in the vertical direction of the groundwater table and the corresponding point on the soil interface, which are also along the line between these two points, should first be found. Take the point P , for example (as shown in Figure 3), the length of the P P 0 is l 1 and the expression for the coefficient c 2 in the upper layer of soil in this vertical direction is:
c 2 = exp ( α 2 γ w l 1 ) q α 2 γ w + K s 2 α 2 γ w α 1 γ w K s 1 ( q α 1 γ w + c 1 exp ( α 1 γ w l 1 ) ) α 2 / α 1
Moreover, the distribution formula for matric suction ( u a u w ) can also be derived:
( u a u w ) = h m γ w
It has been observed that the suction stress correlates with matric suction (Lu et al., 2010 [26]):
χ ( u a u w ) = ( u a u w ) 1 + α ( u a u w ) n ( n 1 ) / n
and, in unsaturated conditions, conventional cohesion does not apply. Instead, a fresh metric c a p p is selected to signify the variable component of soil shear strength, as presented below:
c a p p = χ ( u a u w ) tan φ
This term refers to the cohesion attributed to matric suction in unsaturated soils. Essentially, cohesion in unsaturated soils comprises two components: effective cohesion c and apparent cohesion c a p p . This signifies that the presence of apparent cohesion contributes to stability by augmenting the total cohesion value.

2.3. Grey Relational Analysis

Chen (1986) [27] proposed grey relational analysis as a method for studying the interrelationships among elements within uncertain systems. This analytical method holds a significant place in grey system theory, with its core being the assessment and description of the degree of correlation between different variables. By calculating the degree of correlation among variables, grey relational analysis can reveal their intrinsic connections, which is very helpful for understanding and predicting the dynamic development of systems [28].
The basic steps of grey relational analysis applied in tunnel engineering are typically explained as followed [29]:
The first step is data collection and serialization, which involves gathering pertinent raw data from the numerical results and converting them into an analyzable sequence. Typically, we need to establish the reference sequence matrix X and the subsequence matrix Y :
X = X 1 X 2   X n = x 11 x 12 x 1 i x 21 x 22 x 2 i x n 1 x n 2 x n i
Y = Y 1 Y 2   Y n = y 11 y 12 y 1 i y 21 y 22 y 2 i y n 1 y n 2 y n i
where the reference sequence matrix X contains the parameters of various influencing factors on the stability of inclined soil layers under unsaturated seepage conditions and the subsequence matrix Y includes the critical support force for which we use the dimensionless coefficient, normalized support force σ T / γ D , as a substitute.
Secondly, the influence of different data dimensions and magnitudes should be eliminated to ensure that the data are standardized:
x n i = ( x n i min x n i ) / ( max x n i min x n i )
The difference sequence matrix Δ will be obtained as follows:
Δ n j = x n j y n j
Thirdly, the correlation coefficient matrix L and the degree of correlation l n j can be calculated:
l n j = ( Δ min + η Δ max ) / ( Δ n j + η Δ max )
where the Δ max and Δ min are the maximum and minimum values in the difference sequence Δ . The η denotes the value of the distinguishing coefficient and its value is set to 0.5.
To further reasonably analyze the degree of correlation between the subsequence and the main sequence, the degree of correlation g n should be calculated:
g n = i = 1 k l n i / k
Eventually, the calculated correlation coefficients should be ranked and analyzed to estimate which factor has a high degree of correlation with tunnel stability, providing a basis for engineering decisions.

3. Computational Framework

3.1. Three-Dimensional Spiral Failure Mechanism in Inclined Soil Layers

The limit analysis, belonging to the kinematic approach, is applied to determine the critical support face pressure of tunnels in layered soils, aiming to find the conservative upper bound solution for the underground structure. The initial step towards finding an optimal solution involves constructing an effective failure mechanism. Unlike the failure mechanism in homogeneous soils, the one developed in inclined soils encounters challenges both during the construction process and subsequent power calculation.
Mollon (2011) [6] employed the spatial discretization technology to construct a 3D discrete rotational failure mechanism. Figure 2 illustrates the generation of this failure mechanism by identifying a series of radial planes intersecting at the rotational center O of the rigid failure block A B F . The 3D failure block A B F rotates around a straight line passing through point O parallel to the X-axis with an angular velocity ω , and the velocity of a particular point within the failure block can be determined by multiplying the angular velocity by its distance from the center of rotation. The dashed lines that originate from point O and pass through the rigid failure block have been divided into two categories: one passes through the tunnel face which belongs to section one, while the other does not and belongs to section two. Many infinite planes parallel to the x-axis and intersecting the rigid body generate many finite planes similar to ellipses, with these radial lines located on them. These planes are interconnected to form the entire failure mechanism.
If the three-dimensional generation process is more refined: initially, identify several points on the tunnel face, which will serve as the basis for the points on the radial plane Π i in section one. Beginning at the toe of the tunnel face, utilize the two pre-determined points on plane Π i to derive a new point on plane Π i + 1 . Subsequently, integrate the newly generated points on plane with those on the tunnel face situated on a plane to sustain this process. At the end of section one, we will have a closed-curve plane Π j . Subsequently, the successive points on this plane will generate equal points on the next plane Π j + 1 . This process will continue until the end of section two. More details related to the generation of discrete points are mentioned in Mollon et al. (2011) [6].

3.2. Work Calculation of the Failure Mechanism

The above mechanism is utilized to compute the total work in a spatially discretized manner, as the stability issue of the tunnel can be translated into the equilibrium relationship between the internal dissipation and the external work of the entire failed rigid block based on the principle of virtual work.
The calculation of work associated with the failure mechanism can be categorized into internal energy dissipation rates governed by effective cohesion and apparent cohesion, as well as external work rates influenced by soil weight and a face support force. To accurately compute the cumulative work rates, the point-to-point generation mechanism facilitates this process. Geometric parameters in space, along with their work expressions for small surface planes and prisms, are discretely formulated. The total work rate is the aggregate of the work performed by the corresponding small elemental units. As shown in Figure 4, the right big cube contains two triangle planes and when two triangular planes are projected onto a symmetrical surface, they can form two cubes. The triangle planes S i , j and S i , j are used to calculate the work rate of effective cohesion and apparent cohesion, while the cube is used to compute the work rate of soil weight. The rectangular plane on the tunnel face is used to compute the work rate of the face support. As illustrated in Figure 4, the large cube on the right contains two triangular planes which each form a cube when these triangular planes are projected onto a symmetrical surface. The triangular planes S i , j and S i , j are employed in determining the work rates for effective cohesion W c and apparent cohesion W c a p p , whereas the cubes V i , j and V i , j are utilized for calculating the work rates associated with soil weight W γ . The rectangular plane Σ j situated on the tunnel is used to compute the work rate related to face support W σ T .
According to the principle of virtual work, the balance relationship of these work rates is:
W γ + W σ T = W c + W c a p p
in which the formulae of the work terms are as follows:
W c + W c a p p = ω i j ( c + c a p p ) ( cos φ i , j R i , j S i , j + cos φ i , j R i , j S i , j )
where the φ i , j (or φ i , j ) can be obtained from the coordinates of the centroid of the small triangle S i , j (or S i , j ) and the center of rotation. The R i , j (or R i , j ) represents the distance between these two points. The expression of c and c a p p also vary in space:
c + c a p p = c 1 + tan φ 1 h m 1 ( y ) γ w 1 + α 1 h m 1 ( y ) γ w n 1 ( n 1 1 ) / n 1 ,   X N x i , j + Y N ( y i , j d t ) + Z N z i , j 0 c 2 + tan φ 2 h m 2 ( y ) γ w 1 + α 2 h m 2 ( y ) γ w n 2 ( n 2 1 ) / n 2 ,   X N x i , j + Y N ( y i , j d t ) + Z N z i , j > 0
where ( x i , j , y i , j , z i , j ) is the Cartesian coordinate of the centroid of the facet S i , j (or S i , j ). It should also be noted that the values of l 1 in h m 2 ( y ) vary with different horizontal positions:
l 1 = d t X N x i , j + Z N z i , j Y N y 0
where y 0 is the coordinate of the groundwater level’s elevation.
The work rates associated with soil weight W γ is shown as:
W γ = ω i j γ ( sin β i , j R i , j V i , j + sin β i , j R i , j V i , j )
where the β i , j (or β i , j ) can be obtained from the coordinates of the centroid of the little cube V i , j (or V i , j ) and the center of rotation. The R i , j (or R i , j ) represents the distance between these two points. Only the expression of γ varies in these two contexts:
γ = γ 1 ,   X N x i , j + Y N ( y i , j d t ) + Z N z i , j 0 γ 2 ,   X N x i , j + Y N ( y i , j d t ) + Z N z i , j > 0
where ( x i , j , y i , j , z i , j ) is also the Cartesian coordinate of the centroid of the facet S i , j (or S i , j ) and the V i , j (or V i , j ) is seen as a rectangular prism since the facet is small enough and its volume is equal to the product of the area of the plane and the distance from the plane’s centroid to the axis of rotation of the tunnel’s rotational symmetry.
The work rate related to the support force is as follow:
W σ T = ω σ T j Σ j R j cos β j
where Σ j is subdividing the entire palm surface into small horizontal strip-like planes that approximate rectangles. The R j is the distance between the rotational center and the centroid of the former plane and the β j can also be derived from the angle between the line connecting these two points and the horizontal direction. As the kinematic approach enables an approximation of the maximum ultimate loads or a determination of the minimum support needed, the minimum critical face pressure σ T can be derived as the lower limit:
σ T = W γ W c W c a p p j Σ j R j cos β j
The lower limit is determined by evaluating the different potential failure mechanisms in space. By varying the location of the rotational center and adjusting the parameter t using pseudo-dynamic methods, the optimized critical face pressure can be obtained. The location of the rotational center can be decided by the parameters r E and β E shown in Figure 2.

3.3. Flow Diagram of Seeking Optimal Solution

As shown in Figure 5, the initial inputs are divided orderly into three sequences to facilitate the following work rate calculation. The geometry parameters d t , α v , and α h are the determining factors of the inclined surface which separates the soils into two partitions. The inputs comprising unsaturated soil characteristics are based on this division. Once the initial parameters of rotational failure mechanism r E and β E are established, it becomes complex to ensure the suction head profile of the failure mechanism in inclined layered soils due to the varying vertical distribution of soil layers at different horizontal positions. The optimal limit load is derived by minimizing the objective function at the point of load-induced failure (Chen, 2013 [3]; Rezaie Soufi et al., 2020 [12]) and all of the description above aims to calculate the relevant work rate and construct an objective function balance equation, the manifestation of which can be seen in Equation (31). Given that the ultimate outcome of the face support pressure is the most cautious, it will not surpass the real solution throughout the factual tunnel excavation process. The entire optimization process is implemented through Matlab software 2021, with a hybrid optimization algorithm that comprises global search as well as local search, these being key to determining the critical face support pressure. This paper finds the explicit formula of suction stress via the formula of the suction head profile in layered soils. The inclined soil layers result in the distribution of the unsaturated component of shear strength distributed in a nonlinear manner being influenced not only by a single horizontal direction variable but also by spatial three-dimensional variables. The novel distribution of unsaturated shear strength is incorporated into the kinematic limit analysis method using a 3D discretization-based failure mechanism, making it the most significant contribution of this paper.

4. Discussion

In this portion, a comparative work with Li et al. (2019) [30] is used to verify the influence of unsaturated flow and the layered soils towards this framework. The pure unsaturated conditions are performed in Li et al. (2019) [30], and the strength reduction technique is employed to find the evaluative metric safety factor F S :
F S = c 1 c 1 d = c 2 c 2 d = tan φ 1 tan φ 1 d = tan φ 2 tan φ 2 d
where F S represents the safety factor. During each reduction process, the effective cohesion and effective internal friction angle of soils are decreased by an identical coefficient (in layered soils for soils from all soils). The c d and φ d represent the reduced effective cohesion and internal friction angle at the critical state. This adjustment appears to be a cyclic fine-tuning of the soil strength to achieve a safety factor that meets the criterion where external work equals internal energy dissipation work.
As shown in Figure 6, a comparison with Li et al. (2019) [30], the F S of clay and silt versus a different C / D is displayed, and we established a comparative group of inclined soil layers with clay in the upper layer and silt in the lower layer. The parameters of the soil are equivalent to Li et al. (2019) [30] with c / γ D = 0.1 ,   φ = 20 ° ,   γ = 20   k N / m 3 , and the infiltration rate is q = 0 . The geometry parameters are also the same: D = 10   m ,   d w = 0 , and the unsaturated parameters can refer to Table 1, which is also the same as in Li et al. (2019) [30].
It can be known that the results from this work roughly align with the trajectory of Li et al. (2019) [30], with each safety factor’s results correspondingly reduced by nearly the same portion. The construction of the failure mechanism by Li et al. (2019) [30] is supported by the horn-like mechanism suggested by Subrin and Wong (2002) [31], which cannot validly reflect the failure block covering the entire tunnel face. Using spatial discretization in this work makes the results more conservative than those of Li et al. (2019) [30] for this reason. The condition of the comparative group is set as: α v = 30 ° , α h = 30 ° , d t = D / 4 . The outcome initially exceeds the pure clay layer and the pure silt layer, and then rises more gradually than clay and, finally, its value is between the one of pure clay and pure silt, relatively close to clay. This verifies the impact of soil stratification on stability under overall unsaturated seepage conditions. The proximity to the clay may be due to the spatial positioning of the interface. In tunnels under unsaturated seepage, the higher the vertical distance of the groundwater level from within the soil, the greater its contribution to the overall structural suction stress. Therefore, its characteristics will be more similar to those of the upper soil layer.

5. Result

It should be noted that soil with a high internal friction angle is usually located below soil with a lower internal friction angle in the distribution of layered soils. Therefore, based on the soil parameters in Table 1, we selected three layered inclined soil models: upper layer clay, lower layer silt (clay–silt); upper layer clay, lower layer loess (clay–loess); and upper layer silt, lower layer loess (silt–loess). The parameters α, n, and ks represent the hydraulic properties of the soil. The α is the inverse of the air entry pressure, n is the pore fitting parameter, and ks is the saturated permeability coefficient. The term c’/rd refers to the dimensionless coefficient representing the nominal cohesion, while it represents the internal friction angle. The no-flow condition indicates q = 0 . The evaporation and infiltration conditions are equal to q = 1.15 / 10 8   m / s as well as q = 3.14 / 10 8   m / s . Both the upper and lower layers of the soil have a unit weight of 20   k N / m 3 . Here, we analyze using a dimensionless coefficient σ T / γ D , where the σ T is the critical support force and the γ is the soil unit weight and D denotes the diameter of the tunnel.

5.1. Analysis of the Soil’s Inclined Stratification Parameters

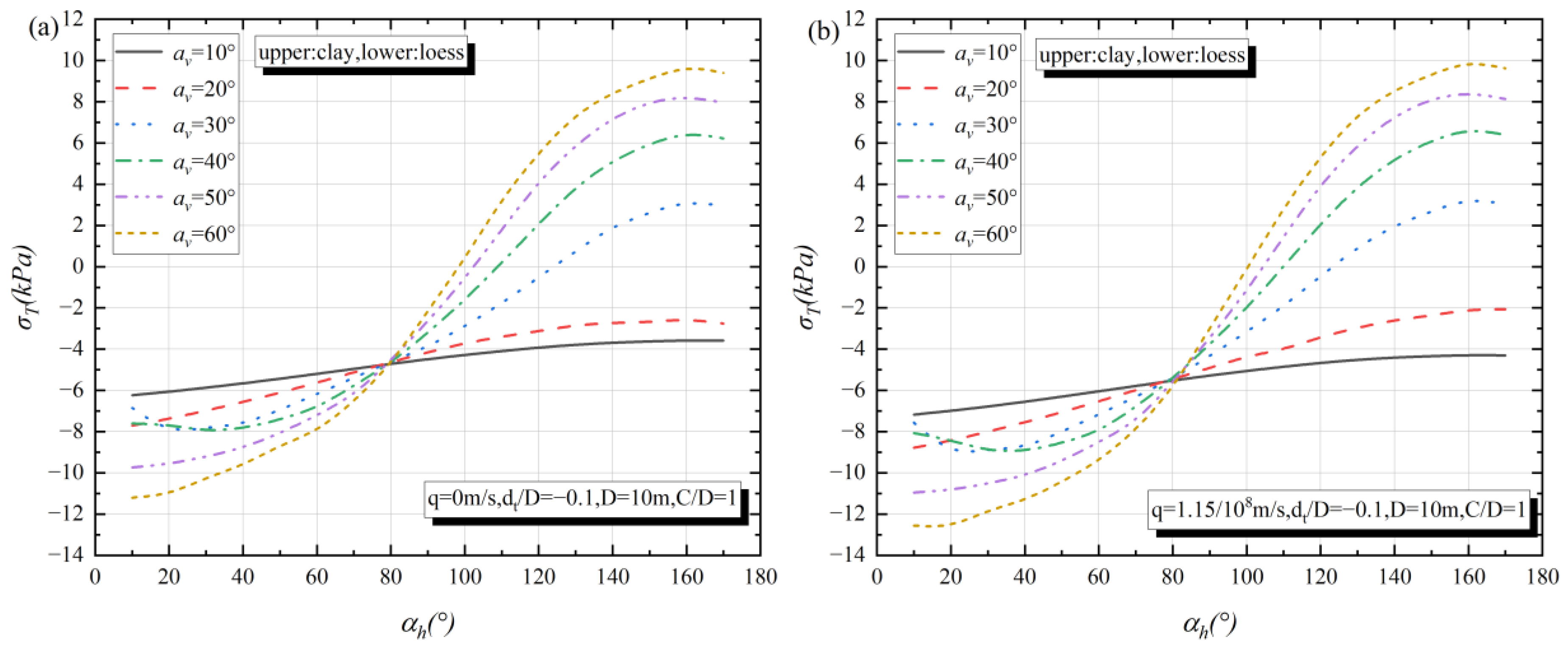
Figure 7 and Figure 8 present the critical support pressure for inclined layered soils under varying strike angles and dip angles in three different hydraulic conditions. These conditions reflect the influence of water movement within unsaturated soils on the stability of the tunnel face. The normalized depth ratios in the two figures differ: Figure 7 corresponds to d t / D = 0.1 , indicating that the soil layer interface intersects the tunnel face, whereas Figure 8 corresponds to d t / D = 0.1 , where the interface is located above the tunnel face. In Figure 7, the intersection of the soil layer interface with the tunnel face results in greater variability in critical support pressure across the range of strike angles. The destabilizing effects of inclined stratification are more pronounced, particularly under infiltration conditions, where seepage forces significantly increase the required support pressure, especially for steeper dip angles. The no-flow condition shows the lowest critical support pressure across all strike and dip angles, as no additional destabilizing forces are present. Evaporation introduces moderate destabilizing effects, with support pressures slightly higher than the static condition but lower than infiltration. In contrast, Figure 8 shows a less pronounced variation in critical support pressure, as the soil layer interface is positioned above the tunnel face. This configuration allows the upper soil layer to exert a stabilizing influence, reducing the overall destabilizing impact of stratification and seepage forces. While the trends across strike and dip angles remain consistent with those in Figure 7, the magnitude of the critical support pressure is generally lower for all conditions. Infiltration continues to exhibit the highest support pressure requirements, particularly for steeper dip angles, while no-flow and evaporation conditions maintain similar relative behavior.
The comparison between Figure 7 and Figure 8 highlights the significant impact of the relative position of the soil layer interface on tunnel stability. When the interface intersects the tunnel face, the critical support pressure is more sensitive to stratification geometry and hydraulic conditions, reflecting greater instability. Conversely, when the interface is above the tunnel face, the stabilizing effects of the upper soil layer mitigate these influences, leading to lower and more uniform support pressure requirements. These findings underscore the importance of accurately accounting for the position of the soil layer interface and hydraulic conditions when designing support systems for tunnels in inclined layered soils.
The grey relational analysis method is adopted to further analyze the degree of correlation between various dip α v under different conditions in different layered soils and among different strike α h on the stability of the tunnel face. The reference sequence consists of the 17 incrementing numerical values of the strike α h , and the corresponding critical support force results serve as the primary sequence.
Figure 9 illustrates the variation in the average grey correlation under different hydrological conditions (no flow, evaporation, and infiltration) and dip angles for two inclined layered soils: (a) upper clay, lower loess, and (b) upper silt, lower loess. For the upper clay and lower loess combination, the average grey correlation increases consistently with increasing dip angles. Among the hydrological conditions, the no-flow condition exhibits the highest average grey correlation, followed by evaporation, while infiltration leads to the lowest values. This trend is more pronounced at higher dip angles. In the upper silt and lower loess combination, a similar pattern is observed, with the no-flow condition yielding the highest average grey correlation. However, the differences between evaporation and infiltration conditions are smaller compared to Figure 9a. These results highlight the significant influence of hydrological conditions and slope geometry on the system’s stability, with infiltration consistently reducing the correlation and indicating a higher potential for instability.

5.2. Analysis of the Unsaturated Parameters of Different Soil Layers

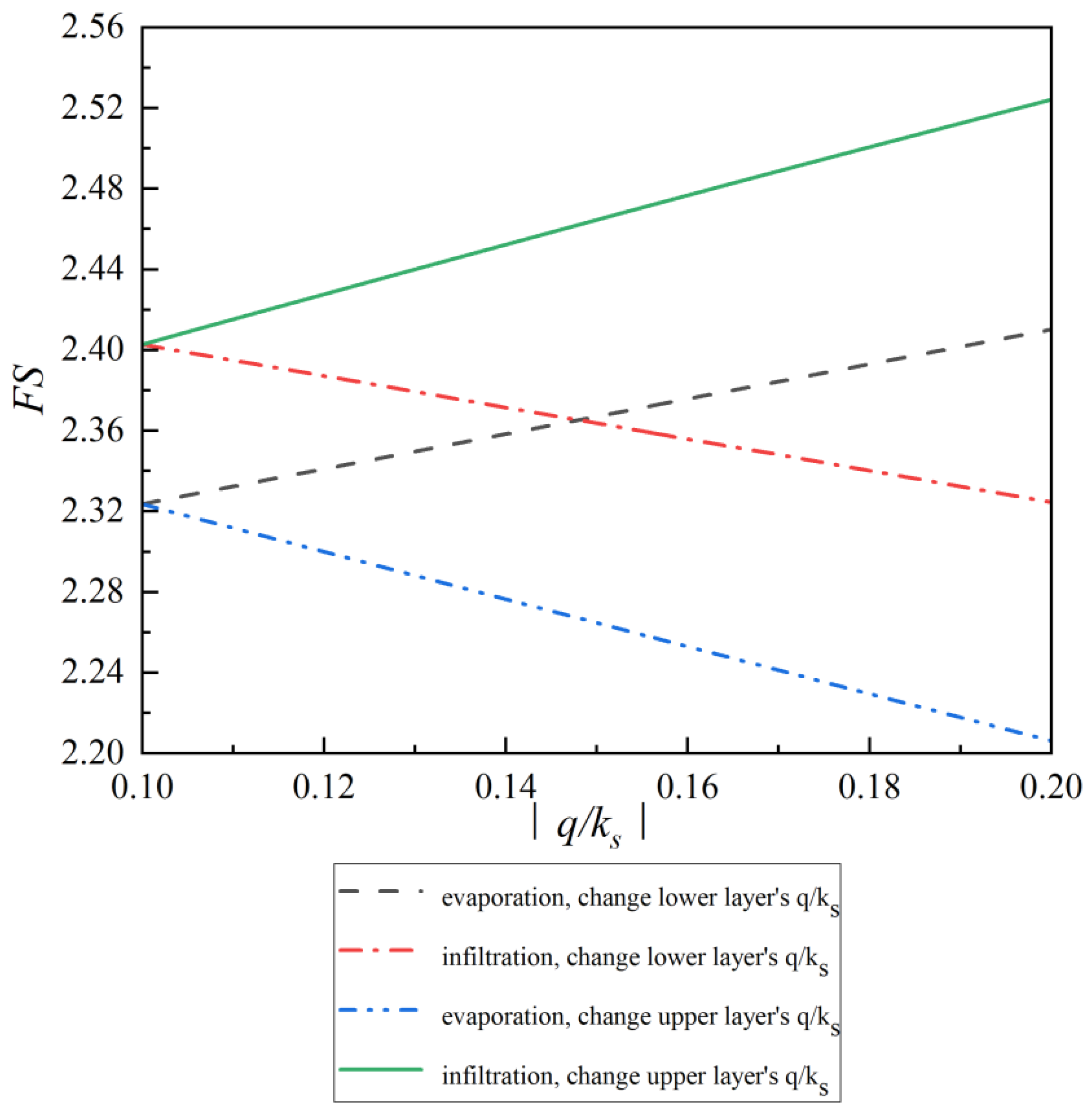
In this section, an inclined soil model is established to investigate how unsaturated parameters influence the stability of the tunnel face at various locations under infiltration and evaporation conditions since the variation of k s will not affect the unsaturated forces under no-flow conditions. As depicted in Figure 10, the angles of the inclined soil interface are shown along with the geometric parameters and the soil’s inclined stratification parameters are: α h = α v = 45 ° . The groundwater level aligns with the bottom of the tunnel face, while the top of the tunnel face sits precisely at the boundary of the inclined stratification.
It is important to emphasize that the unsaturated parameters estimated vary between the upper and lower layers, while all other soil properties remain consistent. According to the value of the hydrological parameters displayed in Table 1, the settings of the changing interval of the hydrological parameters are: the absolute value of q / k s from 0.1 to 0.2, the value of n from 3 to 6, and the value of 1 / α from 100 to 200. When a hydrological parameter of a certain soil layer changes, the other parameters of that soil layer and the three parameters of another soil layer all remain within the minimum range of variation.
As depicted in Figure 11, the safety factor FS will monotonically decrease as the absolute value of q / k s increases in the upper soil layer whereas the safety factor FS will monotonically increase when the absolute value of q / k s increases in the lower soil layer under evaporation condition. The opposite phenomenon occurs in the case of infiltration.
As shown in Figure 12, the addition of the results in a decrease in the safety factor FS for all scenarios. When differentiation is needed, changing the value 1 / α of the lower soil layer results in a relatively gentle slope of the ascent curve, whereas changing the value 1 / α of the upper soil layer leads to a noticeably steeper ascent curve.
As presented in Figure 13, under infiltration conditions, as the n value increases, the safety factor FS increases. In the case of evaporation conditions, the situation is more complex. When changing the n of the upper soil layer, the relationship between n and the safety factor FS is negatively correlated, while when changing the lower soil layer, this relationship is positively correlated.
The grey relational analysis method is adopted to further analyze the degree of correlation between various unsaturated parameters under different conditions and among different unsaturated parameters on the stability of tunnel face. The reference sequence consists of the 11 incrementing numerical values of the three unsaturated parameters q / k s , 1 / α , and n on the main and sub-scales in the figure, and the corresponding calculated nominal support force results serve as the primary sequence.
Grey relational analysis is used to investigate the varying degrees of influence exerted by three distinct unsaturated soil parameters, taken as sub-sequences, on the nominal support force, which serves as the reference sequence. The primary objective is to analyze how changes in these unsaturated parameters, under different seepage conditions and at varying soil layer positions, affect the outcome.
Through grey relational analysis, we can discern the sensitivity of unsaturated soil parameters under diverse seepage scenarios, as well as identify spatially specific sensitive zones for these parameters. This approach provides valuable insights into which parameters are most critical in influencing the safety factor FS under specific conditions, allowing for more targeted and effective engineering interventions or design optimizations.
As illustrated in Table 2, variations in flow conditions significantly impact the outcomes to varying degrees. Notably, under evaporation conditions, the sorting of grey relational degrees for identical unsaturated parameters within the same soil layer surpasses that under infiltration conditions. This disparity fluctuates depending on the type of unsaturated parameter being considered. Notably, the alteration in n yields the most pronounced difference, whereas q / k s results in the least variation. Furthermore, the grey relational degree tends to be generally higher in the upper soil layers for all unsaturated parameters, owing to the more pronounced unsaturated effects in these layers. In the context of infiltration, the enhancement in the stability coefficient of grey analysis is more evident under evaporation conditions. It can be concluded that, under the action of unsaturated seepage, the soil layer in the inclined soil layer that is more sensitive to changes in unsaturated parameters appears in the upper layer. Under evaporation conditions, the correlation between changes in unsaturated parameters and the results of the supporting force is greater, and the difference in correlation between the upper soil layer and the lower soil layer will also be correspondingly larger. At the same time, in the given range of unsaturated parameters, the unsaturated parameter n is the most relevant to the final supporting force result.

6. Conclusions

This study develops a new framework to calculate the critical required support force of face pressure to estimate the stability of tunnels in unsaturated inclined-layer soils. What distinguishes it from the previous literature is that this study employs a distribution formula for multi-layer soil suction heads to consider the spatial variability of matric suction distribution in inclined layered soil. Of course, to fully address tunnel face stability considering both spatial variability, a three-dimensional discrete rotational mechanism was constructed for tunnel face failure. The different results generated by various failure mechanisms were compared. A further analysis was conducted to compare the stability of tunnel faces under various conditions, including different types of inclined layered soils, subjected to variations in the geometric parameters of soil layering and changes in the unsaturated parameters of soil at different locations. Additionally, we employed the grey relational analysis method to calculate the degree of correlation between various parameters and their impact on tunnel face stability under different scenarios. This approach has helped us identify the sensitive regions where changes in unsaturated parameters significantly influence tunnel face stability. Further conclusions can be summarized as follows:
(1) The analysis of the critical support pressure for inclined layered soils under varying strike and dip angles reveals the profound impact of both the stratification geometry and the hydraulic conditions on tunnel stability. When the soil layer interface intersects the tunnel face, the required support pressure exhibits greater variability, with infiltration conditions leading to the highest support pressures due to the destabilizing effects of seepage forces. Conversely, when the soil layer interface is located above the tunnel face, the stabilizing influence of the upper soil layer reduces the destabilizing effects, resulting in more consistent and lower support pressures. These findings highlight the critical importance of accurately accounting for the position of the soil layer interface in tunnel design, as its interaction with the tunnel face directly influences stability.
The use of grey relational analysis further strengthens these insights by quantifying the correlation between critical support pressure and various hydrological conditions. The analysis reveals that under the no-flow condition, the grey correlation is highest, indicating a stronger relationship between strike angles and support pressures. In contrast, infiltration conditions consistently result in lower grey correlations, pointing to a higher potential for instability. These results emphasize the significant role of water movement within unsaturated soils in altering the stability of tunnel faces, particularly under varying seepage conditions. The slope geometry, specifically dip angles, plays a critical role in determining the system’s stability, with steeper dip angles exacerbating the destabilizing effects of seepage forces.
(2) This section investigates the influence of unsaturated soil parameters on tunnel stability in inclined layered soils under different seepage conditions (infiltration and evaporation). The results highlight the significant role that variations in unsaturated parameters play in determining the safety factor (FS) and overall tunnel stability. In particular, the absolute value of the suction coefficient (|q/kc|) has a marked effect on the safety factor, with opposite trends observed for the upper and lower soil layers under different seepage conditions. Specifically, under evaporation conditions, increasing |q/kc| in the upper layer decreases FS, while increasing it in the lower layer increases FS. In contrast, under infiltration conditions, higher suction coefficients generally lead to higher FS.
Further analysis of the influence of different unsaturated parameters, such as the air entry suction (1/α) and the pore size distribution n, reveals more complex relationships with the safety factor. For example, changes in the pore size distribution n have a stronger correlation with the support force results compared to other parameters. The grey relational analysis (GRA) shows that the correlation between unsaturated parameters and tunnel stability is stronger under evaporation conditions than under infiltration, particularly for the upper soil layers. This indicates that the unsaturated effects in the upper soil layer have a more significant impact on tunnel stability, with the correlation being larger for evaporation than for infiltration.
The findings emphasize the importance of accounting for unsaturated parameters, particularly the pore size distribution n, when designing tunnel support systems in inclined layered soils. The sensitivity of the system to changes in these parameters, especially under different seepage conditions, highlights the need for precise modeling and careful consideration of hydrological factors to ensure the safety and stability of tunnels in such environments.

Author Contributions

Validation, formal analysis, writing—original draft, methodology, H.W.; investigation, supervision, Y.W.; resources, project administration, J.Z.; visualization, project administration, date curation, supervision, H.L. All authors have read and agreed to the published version of the manuscript.

Funding

This research received no external funding.

Institutional Review Board Statement

Not applicable.

Informed Consent Statement

Not applicable.

Data Availability Statement

The data analyzed are available from the corresponding author on reasonable request. The data are not publicly available due to reasons of privacy.

Acknowledgments

The financial support provided by Changzhou Science and Technology Support Programme “Study on KeyTechnologies for Prevention and Control of Surface Deformation Induced by Construction and Operation of Changzhou Metro Tunnel (CE20235048)” is greatly acknowledged.

Conflicts of Interest

The authors declare no conflicts of interest.

References

  1. Chambon, P.; Corte, J.F. Shallow tunnels in cohesionless soil: Stability of tunnel face. J. Geotech. Eng. 1994, 120, 1148–1165. [Google Scholar] [CrossRef]
  2. Idinger, G.; Aklik, P.; Wu, W.; Borja, R.I. Centrifuge model test on the face stability of shallow tunnel. Acta Geotech. 2011, 6, 105–117. [Google Scholar] [CrossRef]
  3. Lee, C.J. Numerical analysis of pile response to open face tunnelling in stiff clay. Comput. Geotech. 2013, 51, 116–127. [Google Scholar] [CrossRef]
  4. Leca, E.; Dormieux, L. Upper and lower bound solutions for the face stability of shallow circular tunnels in frictional material. Géotechnique 1990, 40, 581–606. [Google Scholar] [CrossRef]
  5. Mollon, G.; Dias, D.; Soubra, A.H. Face stability analysis of circular tunnels driven by a pressurized shield. J. Geotech. Geoenviron Eng. 2009, 136, 215–229. [Google Scholar] [CrossRef]
  6. Mollon, G.; Dias, D.; Soubra, A.H. Rotational failure mechanisms for the face stability analysis of tunnels driven by a pressurized shield. Int. J. Numer. Anal. Methods Geomech. 2011, 35, 1363–1388. [Google Scholar] [CrossRef]
  7. Yang, X.L.; Li, L.; Yin, J.H. Seismic and static stability analysis for rock slopes by a kinematical approach. Geotechnique 2004, 54, 543–549. [Google Scholar] [CrossRef]
  8. Yang, X.L.; Yin, J.H. Slope stability analysis with nonlinear failure criterion. J. Eng. Mech. 2004, 130, 267–273. [Google Scholar] [CrossRef]
  9. Yang, X.L.; Yin, J.H. Upper bound solution for ultimate bearing capacity with a modified Hoek-Brown failure criterion. Int. J. Rock Mech. Min. Sci. 2005, 42, 550–560. [Google Scholar] [CrossRef]
  10. Yang, X.L.; Huang, F. Collapse mechanism of shallow tunnel based on nonlinear Hoek-Brown failure criterion. Tunn. Undergr. Space Technol. 2011, 26, 686–691. [Google Scholar] [CrossRef]
  11. Yang, X.L.; Wang, J.M. Ground movement prediction for tunnels using simplified procedure. Tunn. Undergr. Space Technol. 2011, 26, 462–471. [Google Scholar] [CrossRef]
  12. Shahmoradi, J.; Siavash, N.; Pedram, R. Stability Analysis of Shallow Tunnels in Soft Soils Containing Boulders. In Proceedings of the Conference of the Arabian Journal of Geosciences 2020, Sousse, Tunisia, 2–5 November 2020; Springer Nature: Cham, Switzerland, 2020. [Google Scholar]
  13. Li, T.Z.; Yang, X.L. New approach for face stability assessment of tunnels driven in non-uniform soils. Comput. Geotech. 2020, 121, 103412. [Google Scholar] [CrossRef]
  14. Tu, S.; Li, W.; Zhang, C. Effect of inclined layered soils on face stability in shield tunneling based on limit analysis. Tunn. Undergr. Space Technol. 2023, 131, 104773. [Google Scholar] [CrossRef]
  15. Zhong, J.H.; Yang, X.L. Kinematic analysis of the three-dimensional stability for tunnel faces by pseudodynamic approach. Comput. Geotech. 2021, 128, 103802. [Google Scholar] [CrossRef]
  16. Xu, S.; Liu, J.; Yang, X.L. Pseudo-dynamic analysis of a 3D tunnel face in inclined weak strata. Undergr. Space 2023, 12, 156–166. [Google Scholar] [CrossRef]
  17. Gan, K.J.; Fredlund, D.G. Multistage direct shear testing of unsaturated soils. Geotech. Test. J. 1998, 11, 132–138. [Google Scholar] [CrossRef]
  18. Fredlund, D.G.; Xing, A.Q.; Fredlund, M.D. The relationship of the unsaturated soil shear strength to the soil-water characteristic curve. Can. Geotech. J. 1996, 33, 440–448. [Google Scholar] [CrossRef]
  19. Khalili, N.; Khabbaz, M.H. A unique relationship for χ for the determination of the shear strength of unsaturated soils. Geotechnique 1998, 48, 681–687. [Google Scholar] [CrossRef]
  20. Lu, N.; Likos, W.J. Suction stress characteristic curve for unsaturated soil. J. Geotech. Geoenviron. Eng. 2006, 132, 131–142. [Google Scholar] [CrossRef]
  21. Lu, N.; Godt, J.W. Hillslope Hydrology and Stability; Cambridge University Press: Cambridge, UK, 2013. [Google Scholar]
  22. Li, Z.W.; Yang, X.L. Stability assessment of 3D reinforced soil structures under steady unsaturated infiltration. Geotext. Geomembr. 2022, 50, 371–382. [Google Scholar] [CrossRef]
  23. Li, T.Z.; Dias, D.; Li, Z.W. Failure potential of a circular tunnel face under steady-state unsaturated flow condition. Comput. Geotech. 2019, 117, 103231. [Google Scholar] [CrossRef]
  24. Hou, C.T.; Yang, X.L. 3D stability analysis of tunnel face with influence of unsaturated transient flow. Tunn. Undergr. Space Technol. 2022, 123, 104414. [Google Scholar] [CrossRef]
  25. Hou, C.T.; Yang, X.L. Seismic stability of 3D tunnel face considering tensile strength cut-off. KSCE J. Civ. Eng. 2020, 24, 2232–2243. [Google Scholar] [CrossRef]
  26. Lu, N.; Godt, J.W.; Wu, D.T. A closed-form equation for effective stress in unsaturated soil. Water Resour. Res. 2010, 46, 5. [Google Scholar] [CrossRef]
  27. Deng, J.L. Introduction to Grey system theory. J. Grey Syst. 1989, 1, 1–24. [Google Scholar]
  28. Wang, W.; Deng, J.L. Fundamental study of relational analysis in grey system. In Proceedings of the International Symposium on Uncertainty Modeling and Analysis, College Park, MD, USA, 25–28 April 1993. [Google Scholar]
  29. Deng, J. Grey System; Huazhong University of Science and Technology Press: Wuhan, China, 1988. [Google Scholar]
  30. Li, Z.W.; Yang, X.L.; Li, T.Z. Face stability analysis of tunnels under steady unsaturated seepage conditions. Tunn. Undergr. Space Technol. 2019, 93, 103095. [Google Scholar] [CrossRef]
  31. Subrin, D.; Wong, H. Stabilit´e du front d’un tunnel en milieu frottant: Un nouveau m´ecanisme de rupture 3D. Comptes Rendus Mécanique 2002, 330, 513–519. [Google Scholar] [CrossRef]
Figure 1. The description of the inclined layered soil model and the relative position of the soil interface.
Figure 1. The description of the inclined layered soil model and the relative position of the soil interface.
Applsci 15 02453 g001
Figure 2. The process of the discrete failure mechanism in inclined layered soils.
Figure 2. The process of the discrete failure mechanism in inclined layered soils.
Applsci 15 02453 g002
Figure 3. The profile of the matric suction in inclined layered soils.
Figure 3. The profile of the matric suction in inclined layered soils.
Applsci 15 02453 g003
Figure 4. The tiny surface plane and cube for work calculation in discretization method.
Figure 4. The tiny surface plane and cube for work calculation in discretization method.
Applsci 15 02453 g004
Figure 5. Flowchart of obtaining the optimized face support.
Figure 5. Flowchart of obtaining the optimized face support.
Applsci 15 02453 g005
Figure 6. Comparison with previous studies of safety factor on unsaturated seepage effect with varying C / D [30].
Figure 6. Comparison with previous studies of safety factor on unsaturated seepage effect with varying C / D [30].
Applsci 15 02453 g006
Figure 7. Critical support pressure for inclined layered soils versus different strike α h with a series of dip α v under three kinds of unsaturated seepage conditions at d t / D = 0.1 . (a) clay-loess, no flow. (b) clay-loess, evaporation. (c) clay-loess, infiltration. (d) silt-loess, no flow. (e) silt-loess, evaporation. (f) silt-loess, infiltration.
Figure 7. Critical support pressure for inclined layered soils versus different strike α h with a series of dip α v under three kinds of unsaturated seepage conditions at d t / D = 0.1 . (a) clay-loess, no flow. (b) clay-loess, evaporation. (c) clay-loess, infiltration. (d) silt-loess, no flow. (e) silt-loess, evaporation. (f) silt-loess, infiltration.
Applsci 15 02453 g007aApplsci 15 02453 g007b
Figure 8. Critical support pressure for inclined layered soils versus different strike α h with a series of dip α v under three kinds of unsaturated seepage conditions at d t / D = 0.1 . (a) clay-loess, no flow. (b) clay-loess, evaporation. (c) clay-loess, infiltration. (d) silt-loess, no flow. (e) silt-loess, evaporation. (f) silt-loess, infiltration.
Figure 8. Critical support pressure for inclined layered soils versus different strike α h with a series of dip α v under three kinds of unsaturated seepage conditions at d t / D = 0.1 . (a) clay-loess, no flow. (b) clay-loess, evaporation. (c) clay-loess, infiltration. (d) silt-loess, no flow. (e) silt-loess, evaporation. (f) silt-loess, infiltration.
Applsci 15 02453 g008aApplsci 15 02453 g008b
Figure 9. Average grey correlation degree coefficient calculations regarding the critical support pressure and strike α h under three kinds of unsaturated seepage conditions via varying dip α v . (a) clay-loess. (b) silt-loess.
Figure 9. Average grey correlation degree coefficient calculations regarding the critical support pressure and strike α h under three kinds of unsaturated seepage conditions via varying dip α v . (a) clay-loess. (b) silt-loess.
Applsci 15 02453 g009
Figure 10. The inclined soil model for analyzing the influence of unsaturated parameters.
Figure 10. The inclined soil model for analyzing the influence of unsaturated parameters.
Applsci 15 02453 g010
Figure 11. The safety factor FS versus the absolute value of q / k s varying in different layers of soil.
Figure 11. The safety factor FS versus the absolute value of q / k s varying in different layers of soil.
Applsci 15 02453 g011
Figure 12. The safety factor FS versus 1 / α varying in different layers of soil.
Figure 12. The safety factor FS versus 1 / α varying in different layers of soil.
Applsci 15 02453 g012
Figure 13. The safety factor FS versus n varying in different layers of soil.
Figure 13. The safety factor FS versus n varying in different layers of soil.
Applsci 15 02453 g013
Table 1. Hydrological parameters of typical soils.
Table 1. Hydrological parameters of typical soils.
Soil Type α   ( k P a 1 ) n k s   ( m / s ) c / γ d γ   ( k N / m 3 ) φ
clay0.00525 × 10−80.051820°
silt0.0135 × 10−70.031725°
loess0.02541 × 10−60.0011628°
Table 2. Results of stability coefficient calculations under varying unsaturated parameters.
Table 2. Results of stability coefficient calculations under varying unsaturated parameters.
Varying Unsaturated ParameterSoil LayerLower LayerUpper Layer
|q/kc|q = 1.15 × 10⁸ m/s0.71010.8194
q = −3.14 × 10⁸ m/s0.69340.7219
1/αq = 1.15 × 10⁸ m/s0.70840.7781
q = −3.14 × 10⁸ m/s0.64180.6499
nq = 1.15 × 10⁸ m/s0.74910.8669
q = −3.14 × 10⁸ m/s0.41340.4375
Disclaimer/Publisher’s Note: The statements, opinions and data contained in all publications are solely those of the individual author(s) and contributor(s) and not of MDPI and/or the editor(s). MDPI and/or the editor(s) disclaim responsibility for any injury to people or property resulting from any ideas, methods, instructions or products referred to in the content.

Share and Cite

MDPI and ACS Style

Wu, H.; Wu, Y.; Liao, H.; Zhu, J. Stability of 3D Tunnel Faces in Inclined Layered Soils Under Steady-State Unsaturated Seepage Based on Grey Relational Analysis. Appl. Sci. 2025, 15, 2453. https://doi.org/10.3390/app15052453

AMA Style

Wu H, Wu Y, Liao H, Zhu J. Stability of 3D Tunnel Faces in Inclined Layered Soils Under Steady-State Unsaturated Seepage Based on Grey Relational Analysis. Applied Sciences. 2025; 15(5):2453. https://doi.org/10.3390/app15052453

Chicago/Turabian Style

Wu, Huanjiang, Yimin Wu, Hong Liao, and Jianqun Zhu. 2025. "Stability of 3D Tunnel Faces in Inclined Layered Soils Under Steady-State Unsaturated Seepage Based on Grey Relational Analysis" Applied Sciences 15, no. 5: 2453. https://doi.org/10.3390/app15052453

APA Style

Wu, H., Wu, Y., Liao, H., & Zhu, J. (2025). Stability of 3D Tunnel Faces in Inclined Layered Soils Under Steady-State Unsaturated Seepage Based on Grey Relational Analysis. Applied Sciences, 15(5), 2453. https://doi.org/10.3390/app15052453

Note that from the first issue of 2016, this journal uses article numbers instead of page numbers. See further details here.

Article Metrics

Back to TopTop