Next Article in Journal
Local Diversity-Guided Weakly Supervised Fine-Grained Image Classification Method
Previous Article in Journal
The Effects of Velocity- Versus Percentage-Based Resistance Training on Lower Limb Explosive Power and Footwork Movement Speed in Elite University Badminton Players
Previous Article in Special Issue
Efficient Future Waste Management: A Learning-Based Approach with Deep Neural Networks for Smart System (LADS)
 
 
Font Type:
Arial Georgia Verdana
Font Size:
Aa Aa Aa
Line Spacing:
Column Width:
Background:
Article

Power Grid Load Forecasting Using a CNN-LSTM Network Based on a Multi-Modal Attention Mechanism

1
State Grid Electric Power Research Institute Co., Ltd., Nanjing 214200, China
2
Collaborative Innovation Center on Atmospheric Environment and Equipment Technology, Nanjing University of Information Science and Technology, Nanjing 210044, China
*
Author to whom correspondence should be addressed.
Appl. Sci. 2025, 15(5), 2435; https://doi.org/10.3390/app15052435
Submission received: 26 January 2025 / Revised: 15 February 2025 / Accepted: 19 February 2025 / Published: 24 February 2025
(This article belongs to the Special Issue Intelligent Big Data Processing)

Abstract

Optimizing short-term load forecasting performance is a challenge due to the non-linearity and randomness of electrical load, as well as the variability of system operating patterns. Existing methods often fail to consider how to effectively combine their complementary advantages and fail to fully capture the internal information in the load sequence, leading to a decrease in accuracy. To achieve accurate and efficient short-term load forecasting, this study proposes a novel power grid load forecasting model that integrates Convolutional Neural Networks (CNNs), Long Short-Term Memory Networks (LSTMs), Multi-Head Self-Attention Mechanism (MHSA), Global Attention Mechanism (GAM), and Channel Attention Mechanism (CAM) to achieve efficient and precise short-term load forecasting. This model aims to address the issue in traditional methods where complex temporal features and important information in power grid load data are not fully captured. Firstly, the CNN module is used to extract high-dimensional spatial features from the load data, and a pooling layer is applied to reduce dimensionality while retaining key information. Then, the Multi-Head Self-Attention mechanism is employed to model the long-range dependencies of the sequence data, enhancing the ability to extract temporal features. Next, the LSTM layer further captures the time dependencies in the load sequence. Subsequently, the Global Attention mechanism helps the model focus more on the most relevant parts of the input sequence, improving the model’s performance and generalization ability. The Channel Attention module is then applied to weight different feature channels, highlighting important information and reducing redundancy. Finally, the flattened output layer produces the forecast results. Experimental validation shows that the proposed CNN-MHSA-LSTM-GAM-CAM model outperforms existing mainstream methods in terms of load forecasting accuracy, providing effective support for the optimized scheduling of smart grids.

1. Introduction

Power load forecasting is a core component in the operation and planning of power systems, playing a critical role in ensuring the safe and stable operation of the grid, improving energy efficiency, and optimizing resource allocation. It is not only a key method for achieving power supply and demand balance but also a vital foundation for supporting the economy, safety, and sustainability of the power system [1,2,3]. With the continuous expansion of modern power systems, increasing complexity, and the ongoing development of intelligence, the importance of load forecasting has become more prominent. This is especially true in the context of large-scale integration of renewable energy sources and the accelerated reform of electricity markets, where the operational environment of power systems is facing unprecedented challenges and uncertainties. Short-term load forecasting (such as hourly to weekly forecasting), as a fundamental element for power system scheduling and energy efficiency management, plays a crucial role in all stages of grid operation. It is widely used in areas such as demand-side management, energy storage system optimization, grid regulation strategy development, and power generation planning [4,5,6]. High-precision load forecasting not only helps power companies optimize operational scheduling, allocate power generation resources efficiently, and reduce energy losses, but also effectively lowers grid operating costs and enhances economic benefits. At the same time, accurate forecasting helps to address potential load fluctuations and unexpected situations in grid operations, ensuring the safety and reliability of the grid and providing strong support for the stable operation of the power system [7,8,9]. However, power load data are influenced by various complex factors, including climate change, economic development, policy adjustments, and fluctuations in user behavior, leading to significant non-linearity, randomness, and complex temporal characteristics. This makes traditional statistical methods and linear models limited when it comes to addressing complex load features, and their prediction accuracy is insufficient to meet the needs of modern power systems. In particular, with the increasing proportion of renewable energy, the intermittent and random characteristics of wind and solar power further increase the difficulty of load forecasting [10,11,12]. Therefore, leveraging advanced artificial intelligence technologies and deep learning models to fully mine the potential patterns within power load data and improve forecasting accuracy has become a key focus of current research.
In previous research on power load forecasting, traditional forecasting methods dominated the field. These methods typically include regression analysis [13], time series models [14], and gray prediction models [15]. Yang et al. [16] proposed a comprehensive probabilistic density forecasting method—Gaussian process quantile regression—which can systematically handle uncertainty in power load data and achieve statistical modeling of the probability distribution of power load data. Saber et al. [17] proposed a short-term load forecasting method based on multivariate linear regression (MLR), which improves linear regression for scenarios with a small number of variables in large datasets and applies multi-core parallel processing techniques to handle unlimited amounts of historical big data and forecasting scenarios within an acceptable execution time. Zhao et al. [15] proposed a hybrid gray prediction model combining the Ant Lion Optimization algorithm and rolling mechanism, significantly improving the accuracy and reliability of annual power load forecasting. Velasco et al. [18] proposed a hybrid forecasting method by combining ARIMA and ANN models, effectively addressing the linear and nonlinear characteristics of power load data and achieving high-accuracy daily load forecasting. Although traditional load forecasting methods have been able to meet the needs of early-stage predictions to a certain extent, with the increasing complexity of power systems, these methods have gradually revealed limitations in handling highly nonlinear and dynamic characteristics. In recent years, data-driven analytical methods, such as phase space reconstruction and compressed sensing, have been widely applied to address these challenges. Phase space reconstruction, by uncovering the intrinsic dynamic structures within time series data, can effectively capture the nonlinear and complex dynamic characteristics of power systems, thereby being applied to the classification and prediction of transient phenomena in power grids. Stanescu et al. [19] utilized the phase space domain to detect and characterize these transient phenomena in power grids. Akash et al. [20] proposed an efficient method for processing and classifying early discharge signals in transformers by combining compressed sensing technology with machine learning classifiers (such as LSTM), providing innovative solutions for signal processing and fault detection in power system engineering. Compressed sensing technology, by extracting key features from a small amount of data, can maintain high prediction accuracy while reducing the demand for data volume and computational resources. When combined with machine learning classifiers, these methods have demonstrated significant advantages in power grid load forecasting and transient event identification. Therefore, future research could consider integrating these data-driven technologies into load forecasting models to overcome the limitations of traditional methods in handling nonlinear and dynamic characteristics. In recent years, with the rapid development of science and technology and continuous innovation in forecasting techniques, the application of artificial intelligence (AI) in load forecasting has gradually become a research hotspot. AI technologies, with their powerful data processing capabilities and pattern recognition abilities, have significantly outperformed traditional methods in terms of prediction accuracy, opening up new directions for power load forecasting. Among these, neural network methods [21,22], due to their strong non-linear mapping capabilities and self-learning characteristics, have been widely applied; fuzzy logic methods [23,24], by handling uncertainty and fuzziness, have provided effective tools for modeling complex load variations; and support vector machine methods [25,26], with their excellent adaptability to small samples and high-dimensional data, have demonstrated outstanding performance in load forecasting. It is worth noting that AI methods not only surpass traditional methods in terms of prediction accuracy but also significantly enhance the ability to uncover hidden patterns in load data, especially when it comes to handling complex temporal characteristics, multi-dimensional input variables, and non-linear relationships. The rapid development of these technologies has provided strong support for addressing the diversity and uncertainty of power systems, while also promoting the shift in power load forecasting from an experience-driven approach to a data-driven paradigm.
In contemporary research, many scholars have explored the application of artificial intelligence (AI) in power load forecasting to address the challenges posed by complex and dynamic forecasting environments [27,28]. Li et al. [29] proposed a short-term load forecasting method based on deep learning (DLSF), which converts numerical forecasting problems into image processing tasks and combines Convolutional Neural Networks (CNNs) and multi-layer neural networks to effectively improve the accuracy and efficiency of power load forecasting. However, CNN lacks the ability to capture long-term dependencies when dealing with time-series data. Gated Recurrent Unit (GRU) can process time-correlated sequence data and capture contextual information through its recursive structure. Aseeri et al. [30] proposed a short-term power load forecasting method based on GRU neural networks, achieving high-accuracy next-day load forecasting through systematic preprocessing and lightweight recurrent neural network models. Kong et al. [11] proposed a framework based on Long Short-Term Memory (LSTM) recurrent neural networks to address the high volatility and uncertainty problems associated with short-term load forecasting. Kwon et al. [31] proposed a short-term load forecasting method based on deep neural network LSTM layers, combining LSTM layers with fully connected layers. By separately inputting historical data and forecast data (such as weather information), the method improves forecasting accuracy, with LSTM layers modeling relationships in historical data and fully connected layers combining forecast data to enhance accuracy. Furthermore, numerous studies [32,33,34] have focused on the development and optimization of machine learning, deep learning, and probabilistic models, which have attracted significant attention due to their powerful modeling capabilities and forecasting performance. However, despite the tremendous potential of AI technologies in load forecasting, existing research still faces several limitations.
Firstly, traditional methods struggle to address the non-linear characteristics and complex temporal dependencies of power load data, failing to effectively capture the changing patterns of both long-term and short-term dynamic features in the load data. This results in the models having low adaptability to non-stationary data and load characteristics with high volatility, which affects the accuracy and robustness of the predictions. Secondly, many current studies overlook the interrelationships between the internal features of the load data in feature extraction, failing to fully explore and leverage the complementarity between features. This insufficient use of information may lead to improper weight allocation for important features, thus limiting the further enhancement of model performance. Moreover, when processing long sequence data, existing methods often struggle to balance the completeness of data representation with the elimination of redundant features, which may result in information loss or the accumulation of ineffective features, thereby reducing the model’s ability to capture complex time series patterns. Furthermore, these studies generally face challenges in terms of model optimization. Many methods are prone to overfitting or underfitting when dealing with data diversity, diminishing the model’s generalization ability. Additionally, the high computational complexity of the models restricts their practical application in power grid scheduling, particularly in resource-constrained scenarios, where their high computational demands may lead to decreased operational efficiency. In summary, current research in load forecasting faces several bottlenecks in both theory and practice, including limitations in modeling capabilities, feature extraction, data processing, and model optimization. These limitations indicate that the field of load forecasting urgently requires more advanced and efficient forecasting methods to comprehensively improve prediction accuracy, model robustness, and practical applicability, thereby providing reliable support for the intelligent scheduling and efficient operation of modern power grids.
Based on the requirements for accurate, safe, and reliable forecasting, this study focuses on constructing a comprehensive framework that integrates multiple advanced deep learning techniques to achieve both complex feature extraction and key information capture capabilities. Compared to traditional methods, the model proposed in this paper combines Convolutional Neural Networks (CNNs) and Long Short-Term Memory networks (LSTMs) to fully explore the spatial and temporal features of load data, effectively capturing its non-linear dynamic characteristics and temporal dependencies. At the same time, by incorporating Multi-Head Self-Attention and Channel Attention mechanisms, the model further optimizes the weight allocation of key features, enhances the expression of important information, and reduces the interference of redundant features, thereby improving overall forecasting performance. To address the randomness and non-stationarity of power grid load data, the model designs an end-to-end feature processing and forecasting framework, ensuring higher adaptability and robustness in scenarios involving data diversity and long-sequence modeling. The experimental results show that this model outperforms existing mainstream methods in several key metrics, including short-term load forecasting accuracy, robustness, and computational efficiency, providing a more scientific load forecasting solution for smart grids. This study not only expands the technological boundaries in the field of load forecasting but also offers innovative solutions for complex environments in practical power grid scheduling. Furthermore, it lays the foundation for future exploration of multi-modal fusion, privacy protection, and distributed computing approaches in load forecasting.
The main contributions of this paper are as follows:
  • A comprehensive load forecasting model combining CNN, LSTM, Multi-Head Self-Attention (MHSA), Global Attention Mechanism (GAM), and Channel Attention Mechanism (CAM) is proposed. By integrating multiple deep learning techniques, this model fully explores the complex spatial features and temporal dependencies of power grid load data, effectively enhancing the model’s forecasting accuracy and adaptability. An end-to-end efficient forecasting framework is designed, integrating the entire process from high-dimensional feature extraction to time series modeling, and attention optimization. This framework builds a seamless load forecasting system from input to output, ensuring the model’s efficiency and practicality.
  • We innovatively introduce multi-head self-attention, global attention mechanism, and channel attention mechanism: The multi-head self-attention mechanism is used to model the global dependencies of long-sequence data, while the global attention mechanism enables the model to focus more specifically on important temporal features. The channel attention mechanism weights and optimizes different feature channels, highlighting important information and reducing redundant interference, significantly enhancing the model’s feature extraction capability.
  • Experimental validation of the model’s superiority: Through experiments on three real-world power grid load datasets, it is demonstrated that the model proposed in this paper outperforms existing mainstream methods in multiple key metrics, including forecasting accuracy, robustness, and computational efficiency, providing reliable support for the optimized scheduling and load management of smart grids.
The remainder of this paper is organized as follows: In Section 2, we provide a brief review of related work. Section 3 presents the details of the proposed model. In Section 4, we comprehensively evaluate the performance of the proposed model through experiments. Finally, Section 5 summarizes the work conducted in this paper.

2. Related Work

Electric load forecasting is a critical component of energy management, significantly impacting the efficiency and reliability of power systems. With the rapid development of smart grids, the demand for accurate load forecasting has grown at an increasing rate, driving continuous innovation and advancement in related models and methods. In recent years, research has focused on deep learning models, federated learning approaches, and the integration of various hybrid models, providing new ideas and tools to enhance the accuracy and applicability of load forecasting. Supported by a variety of forecasting models and methods, significant progress has been made in electric load forecasting, including traditional forecasting methods and artificial intelligence-based forecasting methods, as well as hybrid forecasting models, which have been proposed in recent years.
Single artificial intelligence forecasting methods, such as CNNs and LSTMs, often exhibit certain limitations in power grid load forecasting. Due to their fixed model structures, these methods may only perform well on specific types of load data and poorly predict complex, nonlinear load data. Additionally, single models are more susceptible to data noise and outliers, leading to unstable forecasting results and overfitting risks, particularly when training data are limited or data features are complex. In contrast, hybrid forecasting models combine multiple different forecasting methods or algorithms, integrating the advantages of each model to reduce biases and errors from single models, thereby significantly improving forecasting accuracy and robustness. Hybrid models are better suited to different types of input data and effectively consider the impact of various factors on power grid load, providing more comprehensive and reliable forecasting results. Li et al. [35] proposed a short-term load forecasting method based on a combination of multivariate linear regression and LSTMs, which can accurately predict load behavior, capturing both global trends and local details. Lv et al. [36] proposed a novel hybrid model combining Variational Mode Decomposition (VMD) and LSTMs, which decomposes complex power load data into components with different frequencies using VMD and then uses LSTMs to forecast low-frequency and high-frequency components separately, further improving forecasting accuracy and robustness. Sekhar et al. [37] combined Bidirectional Long Short-Term Memory (BiLSTM), Convolutional Neural Networks (CNNs), and Grey Wolf Optimization (GWO) to propose a new optimal hybrid strategy for accurate power load forecasting. Luo et al. [38] proposed a stacking ensemble algorithm for short-term power load forecasting based on Convolutional Neural Networks–Bidirectional LSTM–Attention and Extreme Gradient Boosting Trees (XGBoost). This method first uses the Adaptive Hierarchical Clustering (AHC) algorithm to select datasets with similar daily features, then combines influencing factors and uses the CNN–BiLSTM–Attention and XGBoost stacking ensemble algorithm for short-term load forecasting, significantly improving forecasting accuracy. It is evident that hybrid forecasting models are the mainstream approach used for power grid load forecasting. However, despite some studies exploring the combination of different deep learning models, integrating these models with attention mechanisms remains an area in need of further exploration. The proposed method effectively addresses the limitations identified in other studies by integrating a multi-modal attention mechanism with a CNN-LSTM network. The method extracts local spatial features through the CNN module and captures temporal dependencies using the LSTM layer, achieving dual extraction of spatial and temporal features. Compared to hybrid models that solely rely on LSTM or CNN, this approach can more comprehensively capture the complex characteristics of load data. The introduction of multi-head self-attention and global attention mechanisms enables the model to dynamically adjust the importance of different time steps and features, thereby better handling long-range dependencies and complex nonlinear data. In contrast, some hybrid models (e.g., those based on VMD decomposition) can decompose data but lack the ability to dynamically weight temporal features. By reweighting feature channels through the SE module, the proposed method can identify and enhance the feature channels most relevant to the prediction task while suppressing redundant information. This mechanism further improves the model’s noise resistance and generalization performance, particularly excelling in scenarios with high data noise or complex features. The proposed method integrates spatial feature extraction, temporal sequence modeling, and attention mechanisms into an end-to-end framework, avoiding potential information loss between modules that may occur in traditional hybrid models. For example, while the method proposed by Li et al. [35], which combines multivariate linear regression with LSTM, can capture global trends and local details, the linear regression component may not fully adapt to highly nonlinear load data. Additionally, through multi-level feature processing and dynamic attention mechanisms, the proposed method can better adapt to different types of input data and maintain high prediction accuracy even with limited training data or complex data features. In contrast, some hybrid models (e.g., those based on BiLSTM-CNN-GWO) may face overfitting risks when dealing with small-sample data or complex nonlinear data, despite optimizing the model structure. In summary, by integrating spatial feature extraction, temporal sequence modeling, and multiple attention mechanisms, the proposed method not only inherits the advantages of hybrid models but also further optimizes feature extraction, dynamic weighting, and noise resistance, demonstrating significant improvements in adaptability, generalization capability, and prediction accuracy, thereby addressing the limitations present in existing hybrid models.

3. Methodology

This section establishes a CNN-LSTM network based on a multi-modal attention mechanism for accurate power grid load forecasting, combining the advantages of Convolutional Neural Networks (CNNs), Long Short-Term Memory Networks (LSTMs), and various attention mechanisms. The model’s structure is shown in Figure 1. First, the input data are processed by the CNN module, where the convolutional layers are used to extract local features and capture the spatial dependencies of the data. The pooling layers reduce the dimensionality of the features, lowering the computational complexity while retaining key features. Next, the features pass through the multi-head self-attention mechanism module, which captures long-range dependencies between features through global modeling, further enhancing the feature representation ability. After extracting spatial features, the data are input into the LSTM layer to model the dependencies in the time series; here, they learn the temporal characteristics of load variations. Then, the data pass through the global attention mechanism module, where the time-series features are weighted, dynamically adjusting the importance of different time steps, thereby highlighting the time-domain features that are crucial for load forecasting. Finally, the features pass through the channel attention module, where the Squeeze-and-Excitation (SE) module re-weights the features of different channels, identifying and emphasizing the feature channels most relevant to the forecasting task while suppressing redundant information. The load forecasting result is generated through the output layer. Spatial characteristics refer to the spatial distribution patterns and relationships between load data from different locations or regions in power grid load forecasting. Power grid loads typically vary across different geographical locations, and these differences may be related to factors such as the local climate, electricity demand, population density, and industrial distribution. Capturing spatial characteristics helps the model understand the dependencies and relationships between different regions, leading to more accurate load predictions. Spatial characteristics are crucial in power grid load forecasting because they reflect the interactions between nodes in the power system and also reflect regional differences. If the model can effectively extract and utilize these spatial features, it will have a better understanding of the load fluctuations and relationships between different regions, improving the accuracy of predictions. For example, in load forecasting, the load in some areas may be influenced by climate changes, while other areas may be driven by industrial activities. Therefore, by modeling spatial characteristics, the model can more comprehensively capture the load variation patterns in the power grid, providing more reliable predictions in a dynamic and complex environment. The innovation of this model lies in its effective integration of spatial feature extraction, time-series modeling, and multiple attention mechanisms. It can capture both local and global features and dynamically adjust the weights of temporal and channel features, significantly improving the accuracy and stability of power grid load forecasting. Through multi-level analysis and processing of complex load data, this model shows significant advantages in terms of adaptability, generalization ability, and forecasting accuracy.

3.1. CNN Module

The main goal of Convolutional Neural Networks (CNNs) is to extract significant features from input data [16,17]. CNNs are primarily composed of convolutional layers and pooling layers. Due to the local connectivity and weight-sharing characteristics of convolutional layers, the key objective of CNNs is the automatic extraction of key features and dimensionality reduction [39,40]. To enhance the depth of the model and improve the ability to extract abstract features, the proposed model alternates between convolutional and pooling layers in the CNN module, forming the feature extraction layer. Because the fixed connection pattern of CNNs somewhat limits the number of feature extraction layers, typically, 1 to 3 feature extraction layers are used in short-term load forecasting, with the specific number of layers determined based on the model’s prediction performance. Convolutional layers effectively extract complex dynamic features and local non-linear features from historical load data using different convolutional kernels [41,42]. Meanwhile, pooling layers reduce the data dimension through max pooling and average pooling operations, preserving more meaningful information by compressing the extracted features. Max pooling can extract the most significant local features from time-series data, such as sharp fluctuations or sudden events in load variations over the short term. This helps the model focus on key data changes at critical time points, thereby avoiding excessive interference from noise. Meanwhile, average pooling smooths the time-series data by pooling the average value within local time windows, helping the model capture the overall trend and long-term patterns in the data, thereby reducing the impact of short-term fluctuations on predictions. The combination of these pooling strategies allows the model to retain important dynamic information while balancing noise and trends, improving the feature extraction capability from time-series data and enhancing the accuracy and robustness of load forecasting. This module employs the max pooling method, aiming to retain more fluctuation information, thereby improving the model’s generalization ability. However, CNNs are not effective at capturing the temporal dependencies in time-series data. Therefore, to enhance the model’s performance, Recurrent Neural Network (RNN) techniques must be incorporated, combining CNN with Long Short-Term Memory (LSTM) networks. The combination of LSTM (Long Short-Term Memory) with CNN is primarily recommended due to the fact that CNN excels at extracting local features and patterns from data, but it performs poorly in capturing the long-term dependencies and temporal relationships in time-series data. CNN effectively extracts local dynamic features and non-linear patterns from time-series data through convolutional operations, and in particular, it excels at capturing short-term fluctuations and sudden events. However, power grid load data typically exhibit long-term temporal dependencies, meaning that the current load state is often influenced by the load history and trends from a previous period. In this case, LSTM is well suited to handling such long-term dependencies. Through its gating mechanisms, LSTM can retain past information and capture long-term patterns and trends over extended periods. Therefore, combining CNN with LSTM allows the strengths of CNN in local feature extraction to be integrated with LSTMs’ strengths in temporal modeling, enabling the model to effectively capture both local features and long-term dependencies in load data. This enhances the accuracy and robustness of power grid load forecasting.
Taking one feature extraction layer as an example, the preprocessed historical load sequence is input into the CNN module, denoted as f i n = [ f i n , 1 , , f i n , t 1 , f i n , t , , f i n , n ] . The output vector of the CNN module can be represented as follows:
f o u t = S ( f i n × W 1 + σ 1 ) ,
f p = M ( f o u t ) + σ 2 ,
where f o u t is the output of the convolutional layer, f p is the output of the pooling layer, W and σ are the weight matrix and bias vector, respectively, S is the activation function, × represents the convolution operation, and M ( · ) represents the max function.

3.2. LSTM Module

Long Short-Term Memory (LSTM) networks consist of three main gating mechanisms: the forget gate, the input gate, and the output gate [30]. The forget gate determines how much of the previous memory information and the new input information at the current time step should be retained, using the sigmoid function. When the output of this gate is 1, all information is retained, while a value of 0 causes all information to be discarded. This gate design effectively addresses the common vanishing gradient problem in Recurrent Neural Networks (RNNs), enabling the model to better capture long-term dependencies. Through these gating mechanisms, LSTM can implement selective memory between different time steps, retaining important historical information while discarding irrelevant data, thus enhancing the model’s ability to handle sequential data. However, LSTM may still lose some key information when processing very long input sequences. To address this issue, CNN is used for preprocessing the input data, filtering out redundant and irrelevant parts and thereby effectively improving the accuracy of load forecasting. Figure 2 shows the basic structure of the LSTM network. The output of LSTM is denoted as F, and the output h t at time step t is calculated as follows:
i t = σ ( W i x t + G i h t 1 + b i ) ,
f t = σ ( W f x t + G f h t 1 + b f ) ,
o t = σ ( W o x t + G o h t 1 + b o ) ,
c ˜ t = tanh ( W c x t + G c h t 1 + b c ) ,
c t = f t c t 1 + i t c ˜ t ,
h t = o t tanh ( c t ) ,
F t = K h t ,
where σ represents the Sigmoid activation function, tanh represents the hyperbolic tangent activation function, f t represents the forget gate, i t represents the input gate, o t represents the output gate, ⊙ represents the element-wise multiplication operation, W * , G * , b * , K represents the parameters that the network needs to learn, and * { i , f , o , c } and c ˜ t represent the candidate states generated by non-linear functions, which are stored in the long-term memory.

3.3. Multi-Head Self-Attention Model

Self-attention is a technique that allows the model to “pay attention” to the relationships between different parts of the input data. Intuitively, it acts like an intelligent “highlighter” that can automatically identify and emphasize the most important parts of the input data for the current task. For example, in power grid load forecasting, the load data may include many time points and features, but not all time points or features are equally important for the prediction. The self-attention mechanism calculates the relevance between each part of the data and others, dynamically assigning different weights to each part, allowing the model to focus more on the information that has a greater impact on the prediction. This mechanism is especially suitable for handling long-sequence data or complex non-linear relationships, as it can capture long-range dependencies in the data, not just local or short-term patterns. In this way, self-attention helps the model better understand the inherent structure of the data, thus improving prediction accuracy and robustness. The Transformer model can efficiently handle long sequence data; as such, it performs exceptionally well in tasks like grid load forecasting, which involve long-term dependencies. The Transformer model employs the Self-Attention Mechanism, which allows for parallel processing of the entire input sequence. This parallel computation capability significantly improves the speed of model training and prediction, making it suitable for processing large-scale grid data and meeting real-time requirements. Therefore, we use the multi-head self-attention mechanism to enhance the model’s global modeling capability and capture long-range dependencies between features. The multi-head self-attention module is shown in Figure 3 and is represented as follows:
f o u t = B N ( M H S A ( L N ( f i n ) ) ) + f i n ,
where L N represents Layer Normalization, BN stands for Batch Normalization, and MHSA stands for multi-head self-attention. The time series data first undergo layer normalization (LN), then the data are reshaped into feature vectors. These feature vectors are used as the original input features, which are further standardized through batch normalization and then undergo a linear transformation to generate the query (Q), key (K), and value (V). To further compress the temporal dimension and extract global information, the key (K) and value (V) are first subjected to average pooling after generation. Subsequently, the query (Q) along with the pooled key (K) and value (V) are fed into the multi-head self-attention (MHSA) mechanism, which generates the attention output. The output of the self-attention mechanism is then added to the original input features through a residual connection. This approach not only preserves the original input information but also alleviates the vanishing gradient problem, making the model easier to train.

3.4. Global Attention Model

The attention mechanism is a process that simulates how humans allocate attention resources. Its core idea is to focus on key areas while diminishing attention to irrelevant information, thereby enhancing the overall performance of the model. By filtering and amplifying key features, it effectively filters out noise or unimportant information, significantly improving the model’s ability to recognize important information and its prediction accuracy. Unlike traditional methods that assign random weights, the attention mechanism dynamically assigns weights to each input element using a probability distribution, ensuring that the model focuses on the information that is most relevant to the task. This mechanism not only addresses the potential information loss issue in LSTM when processing very long sequences but also better preserves the global and local dependencies in temporal features, thus optimizing the model’s expressive power and predictive performance. Additionally, the attention mechanism is highly flexible and can be combined with various neural network architectures, further enhancing the model’s adaptability and generalization ability. Figure 4 visually illustrates the structure of this mechanism.
As shown in Figure 4, x t represents the input from the LSTM model, while h t represents the hidden layer output obtained from the LSTM. The attention probability distribution applied to the LSTM hidden layer output is denoted as α t , and the output of the LSTM optimized by the attention mechanism is denoted as y. The weight calculation process of the attention mechanism is as follows:
w t = λ t a n h ( η h t + σ ) ,
α t = e x p ( w t ) j = 1 t w j ,
φ t = t = 1 i α t h t ,
where the attention scoring function w t is used to calculate the correlation between the grid load and the output vector of the LSTM network at time step t. The function t a n h represents the hyperbolic tangent activation function. The weight coefficients are denoted as λ and η , while the bias coefficient is denoted as σ . e x p represents the exponential function, which is used to compute the attention weight score. The output of the attention layer at time step t is denoted as φ t .

3.5. Channel Attention Model

In the global attention mechanism phase, the model captures the long-range temporal dependencies of input features using the self-attention mechanism. This process helps the model understand the temporal dynamics and trends of load data. However, while the global attention mechanism effectively captures sequential information, it cannot directly focus on the importance of each feature channel. Therefore, to further optimize feature representation and enhance the model’s sensitivity to key predictive information under the comprehensive modeling of both temporal and spatial features, we designed a channel attention mechanism based on the SE (Squeeze-and-Excitation) module. This mechanism applies weighted processing to the feature channels, automatically identifying and reinforcing the channels most relevant to the task, while suppressing redundant and irrelevant channel features. The structure of the SE module is shown in Figure 1. Specifically, the SE module first performs a “Squeeze” operation to compress the global information of each channel, resulting in a channel-level description. Then, through the “Excitation” operation, a weight coefficient is assigned to each channel, determining its contribution to the final output. Finally, through the “Scale” operation, the channel weight coefficients obtained in the “Excitation” step are applied to each channel of the original feature map, adjusting the features of each channel accordingly. In detail, the channel weights obtained after the “Excitation” step are element-wise-multiplied with the features of each channel in the original feature map, thereby scaling the features of different channels. This process highlights the channels that are most important for the task and suppresses those that are less relevant. This ensures that the model can dynamically focus on the most predictive channels while suppressing redundant or irrelevant information, thereby improving the model’s performance in tasks like grid load forecasting. The specific operations of Squeeze, Excitation, and Scale are as follows:
The Squeeze operation compresses each feature channel into a real number, called a descriptor, by applying global pooling to the input features. This descriptor represents the statistical information of the corresponding channel, which is typically achieved through global average pooling. The unweighted feature map U is summarized and averaged, resulting in a multi-dimensional statistic z R C . The n-th element of z is calculated as follows:
z n = F s q u e e z e ( x n ) = 1 H × W i = 1 H j = 1 W x n ( i , j ) ,
where W and H represent the width and height of the feature map, x n is the feature vector of the n-th channel in the input features, and x n ( i , j ) represents the element in the i-th row and j-th column of x n . The Excitation operation uses two fully connected layers to fully learn the descriptors of each channel and explore the interactions between different feature channels. Under the excitation operation, each feature channel is dynamically weighted by its corresponding activation function. The calculation process is as follows:
s = F e x c i t a t i o n ( z , W ) = σ ( W 2 λ ( W 1 z ) ) ,
where σ and λ represent the Sigmoid and ReLU activation functions, W 1 R ( C / r ) × C and W 2 R C × ( C / r ) are the weight parameters of the two fully connected layers, r is the ratio function that balances performance and computational complexity, and s is the vector representing the channel weights of the feature map U. The final output of the SE module is achieved through the scaling operation, where the weight vector s and the unweighted input feature map U are element-wise-multiplied by the weight of each channel. The output of the n-th channel is calculated as follows:
u ^ n = F s c a l e ( u n , s n ) = s n u n ,
where u ^ n U ^ = [ u ^ 1 , u ^ 2 , , u ^ C ] , U ^ is the final overall output, and s n is the weight of the n-th channel.

4. Case Study

This section validates the effectiveness of the CNN-MHSA-LSTM-GAM-CAM hybrid model on a real distributed network load dataset through comprehensive comparative experiments. In addition, the effects of each attention module are analyzed, revealing the potential of the attention mechanism in short-term load forecasting.

4.1. Experimental Data and Evaluation Metrics

This study deeply analyzes the effectiveness and performance of power load forecasting models by exploring several representative datasets. Each dataset provides a unique perspective and basis for validation, helping to comprehensively understand the complexities faced when forecasting electricity demand. These datasets vary in scope and geographic background, allowing the study to cover the characteristics of power load variations in different environments, further enhancing the adaptability and generalization ability of the forecasting model. Specifically, the study uses three main datasets: the Panama Case Study Dataset [43], the Daily Electricity Price and Demand Dataset (Victoria, Australia) [44], and the Household Electric Power Consumption Dataset [45]. All these datasets are publicly available and come from multiple authoritative sources, providing a solid data foundation for model validation and cross-regional comparisons. Through an in-depth analysis of these datasets, this study aims to provide more comprehensive and multidimensional research results in the field of power load forecasting. The dataset descriptions are as follows:
The Panama Case Study Dataset: This dataset contains integrated information from multiple data sources with high data quality and rich features. The time span of the dataset is from 2015 to 2020, providing several years of historical power load data. The data granularity is recorded on an hourly basis, ensuring detail and precision. The dataset has been preprocessed, and all data sources have been merged into a CSV file indexed by date and time. Additionally, there are CSV files for load forecasting and two Excel files containing recommended regression variables and 14 training/testing dataset pairs. The data quality is high, though there may be some sparsity due to manual input for certain data, such as during holidays and school periods. Overall, this dataset offers comprehensive and detailed information for power load forecasting and is suitable for training and testing machine learning and forecasting algorithms. The forecasting time span is weekly, specifically starting from Saturday and ending on the next Friday. A 72 h unseen data gap must be considered during prediction, meaning that when predicting next week’s load, only data recorded up to the last hour on Tuesday are used. The load data is recorded hourly, which helps capture short-term fluctuations and variations in power load, thus improving prediction accuracy.
The Daily Electricity Price and Demand Dataset: This dataset covers 2016 days of data from 1 January 2015 to 6 October 2020, recording daily electricity demand and related variables in the state of Victoria, Australia. The data granularity is daily, and the dataset is of high quality, covering various aspects such as electricity demand, price, weather, and calendar information, providing comprehensive features for power demand forecasting. The dataset includes negative RRP (Regional Reference Price) data, reflecting the special market conditions during the pandemic, which adds to the dataset’s diversity and research value. Overall, this dataset provides rich and detailed information for electricity demand forecasting and related research. The forecasting time span is from 1 January 2015 to 6 October 2020, totaling 2016 days. The load data are recorded daily, with each data point representing the total electricity demand of the day (in MWh). This daily granularity is suitable for medium- to long-term power demand forecasting and analysis, capturing seasonal changes and long-term trends in electricity demand.
The Household Electric Power Consumption Dataset: This dataset records electricity consumption data for a household from December 2006 to November 2010, with a total of 2,075,259 measurement records. The data granularity is per minute, providing electricity consumption information for each minute. Approximately 1.25% of the measurements are missing, and missing values are represented by consecutive semicolons. Despite the small amount of missing data, all timestamps are fully recorded, ensuring high data quality. This dataset provides rich information for fine-grained analysis of electricity consumption, making it suitable for machine learning tasks such as regression and clustering. The forecasting time span is from December 2006 to November 2010, totaling 47 months. The load data are recorded per minute, with each data point representing electricity consumption for one minute. This high-precision data granularity makes the dataset highly suitable for short-term power load forecasting and detailed energy consumption analysis.
In this paper, four error metrics are used to evaluate the effectiveness of the forecasting model, including Maximum Error (Max Error), Mean Absolute Error (MAE), Mean Squared Error (MSE), and Root Mean Squared Error (RMSE). The formulas for each evaluation metric are as follows:
M A E = 1 n i = 1 n y i y ^ i ,
M S E = 1 n i = 1 n ( y i y ^ i ) 2 ,
R M S E = 1 n i = 1 n ( y i y ^ i ) 2 ,
M a x E r r o r = m a x ( y i y ^ i )
where y i is the true value and y ^ i is the predicted value.

4.2. Experimental Environment and Parameter Settings:

Table 1 presents the specific structural parameters of the model. All models were trained and tested multiple times until the statistical metrics stabilized. All experiments in this paper were conducted on a GeForce RTX 3080 using PyTorch-v1.13.0, with Python v3.8 as the programming language. Adam was used as the optimizer for model training. Given the effectiveness of dynamically adjusting the learning rate, we adopted the Poly learning rate strategy, where the learning rate for each epoch was lr × ( 1 epoch max _ epoch ) p o w e r . The batch size was set to 64, the maximum number of iterations ( max _ epoch ) was set to 100, the initial learning rate (lr) was set to 0.001, and the power was set to 0.9.

4.3. Comparative Experiments

To fully demonstrate the effectiveness of our proposed model, we conducted a comprehensive comparison with various mainstream forecasting models, including traditional single models (e.g., ANN, RNN, LSTM, BiLSTM, and GRU) as well as representative hybrid forecasting models (e.g., CNN-LSTM, CNN-RNN) and some recently proposed advanced hybrid models such as SBACT-Seq2Seq [46] and EWT-CNN-S-RNN+LSTM [47]. These models have been widely applied in the field of time series forecasting, ranging from simple neural networks to complex deep learning architectures. Specifically, ANN (Artificial Neural Network), as a basic neural network model, can extract fundamental patterns from time series data for prediction but struggles to handle complex dynamic load data due to its limited ability to model temporal dependencies. LSTM (Long Short-Term Memory) and BiLSTM (Bidirectional Long Short-Term Memory), as variants of RNN (Recurrent Neural Network), utilize memory cells to capture long-term dependencies in time series. BiLSTM, in particular, models both forward and backward temporal information, providing a more comprehensive representation of time series. GRU (Gated Recurrent Unit), a lightweight version of LSTM, reduces computational complexity by simplifying its structure while maintaining a comparable performance in some scenarios. In contrast, RNN, as a foundational model for recurrent neural networks, often underperforms compared to LSTM and GRU due to the vanishing gradient problem. In terms of hybrid models, CNN-LSTM combines the spatial feature extraction capability of Convolutional Neural Networks (CNNs) with the temporal modeling capability of LSTM, making it a classic spatiotemporal hybrid forecasting model. The CNN component excels at extracting local spatial features, while the LSTM component captures the temporal dependencies of these features. Similarly, CNN-RNN integrates CNN with RNN, enhancing its ability to predict complex time series data to some extent. SBACT-Seq2Seq employs a hybrid forecasting approach that integrates XGBoost and SVMD while optimizing the Seq2Seq model, significantly improving the accuracy and practicality of power load forecasting. EWT-CNN-S-RNN+LSTM enhances short-term power load forecasting accuracy and stability by using EWT decomposition for feature extraction and Bayesian optimization for parameter tuning. However, these hybrid models generally face two major challenges: (1) high model complexity, which increases the risk of overfitting, and (2) limitations in capturing long-term dependencies and key features due to constraints in the structural design of individual components.
In contrast, the model proposed in this paper combines CNN and LSTM with a multi-modal attention mechanism, effectively overcoming the shortcomings of traditional models in spatial feature extraction and time series modeling. Additionally, by introducing multi-head self-attention, global attention, and channel attention mechanisms, the model significantly enhances its ability to capture dynamic features and global dependencies. Furthermore, the model achieves a balance between model complexity and forecasting accuracy. Table 2 shows the forecasting performance of our model compared to other models on three datasets. The results indicate that the proposed model outperforms other comparison models for all metrics across the three datasets. Specifically, in the Panama Case Study Dataset, the MAE is 81.52, MSE is 12,236.59, RMSE is 110.62, and the Max Error is 558.65; in the Victoria State Dataset, the MAE is 0.115, MSE is 0.027, RMSE is 0.164, and Max Error is 0.50; and in the Household Dataset, the MAE is 0.76, MSE is 0.96, RMSE is 0.98, and Max Error is 4.12. The performance of all three datasets is significantly better than that of traditional models (such as ANN, RNN, LSTM, and GRU) as well as hybrid models (such as CNN-RNN, CNN-LSTM). This advantage is attributed to the introduction of the multimodal attention mechanism, which combines multi-head self-attention, global attention, and channel attention, significantly improving the model’s ability to capture spatiotemporal features and global dependencies, while optimizing the structural design to balance forecasting accuracy and model complexity. Figure 5 visually demonstrates the forecasting performance of our model, showing that our model has the lowest MAE, RMSE, and Max Error metrics.
In order to improve visualization, the real load values and the predictions of different models on part of the test sets from three datasets were plotted, as shown in Figure 6, Figure 7 and Figure 8. Among them, (a) shows a comparison of weekly load prediction results, which indicates that our model has a better overall prediction performance, with its predicted values being closer to the real values. Additionally, (b) presents the load prediction results for one specific day. It can be concluded that the proposed model accurately captures the abrupt changes in the load sequence and achieves acceptable prediction results, which are in good agreement with the real values overall.

4.4. Ablation Experiment

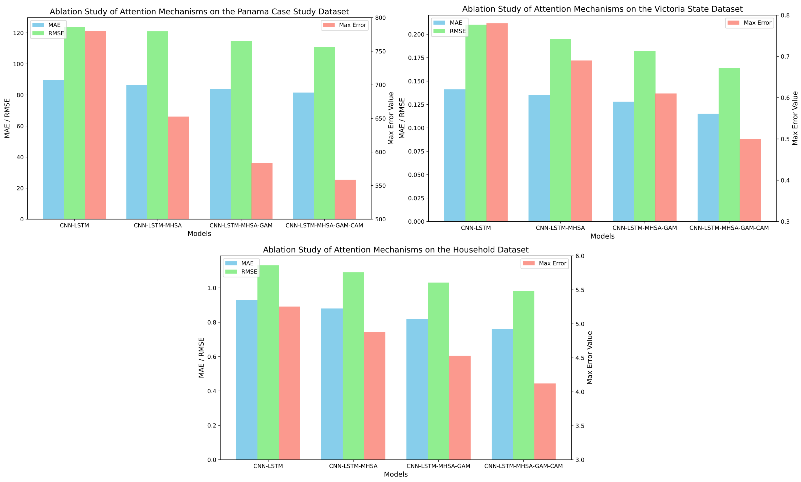
To fully demonstrate the effectiveness of the proposed attention mechanisms, we conducted an ablation study on three datasets. Table 3 shows the results of the ablation study for each attention mechanism in the proposed model. By gradually incorporating multi-head self-attention (MHSA), global attention mechanism (GAM), and channel attention mechanism (CAM), the model’s performance was significantly improved. Figure 9 visually presents the performance of the attention mechanisms on the three datasets. The ablation study indicates that each attention mechanism makes a unique contribution to the overall performance. Specifically, multi-head self-attention (MHSA) enhances the model’s ability to capture temporal dependencies, the global attention mechanism (GAM) extracts global features, and the channel attention mechanism (CAM) effectively focuses on the importance of different channels, thereby optimizing feature representation. After gradually incorporating these attention mechanisms, key performance indicators (MAE, RMSE, and Max Error) showed significant improvements. This demonstrates that the proposed attention mechanisms work synergistically to significantly enhance the accuracy and robustness of power grid load forecasting. Further experiments revealed that the role of each attention mechanism is consistent across different datasets, confirming the universality and effectiveness of the proposed model. This also validates that combining multiple attention mechanisms for feature enhancement is an effective approach to improving the performance of complex time-series prediction models.
To investigate the impact of the number of heads in the multi-head self-attention mechanism on model performance, we conducted multiple sets of experiments on three datasets, training and evaluating the model with different numbers of heads (1, 2, 4, 8, 16). The experimental results, as shown in Table 4, indicate that the choice of the number of heads significantly affects the model’s prediction accuracy and computational efficiency. When the number of heads increased from 1 to 4, the model’s prediction accuracy improved significantly. This suggests that the multi-head mechanism can capture more interfeature relationships, enhancing the model’s global modeling capability. However, when the number of heads exceeded four, the performance improvement gradually plateaued. For instance, when the number of heads increased from 4 to 8, the performance gain was no longer significant. This is because an excessive number of heads can lead to model overfitting or increased model complexity, making the training process more challenging. As the number of heads increased, the computational overhead of the model also rose accordingly. In particular, when the number of heads increased from 8 to 16, the computation time increased significantly, but the performance improvement was limited. Selecting an appropriate number of heads is crucial for balancing model performance and computational efficiency. Our experimental results demonstrate that four heads generally provide good performance while maintaining reasonable computational costs.
Although the proposed model combining multiple attention mechanisms has shown significant performance improvements in power load forecasting tasks, there are still some limitations and challenges. Firstly, as the number of attention mechanisms increases, the model’s complexity and computational overhead also rise. In particular, in the multi-head self-attention mechanism, while increasing the number of heads can enhance the model’s global modeling capability, it also leads to a significant increase in computation time, especially when the number of heads exceeds four, where performance improvements plateau while computational costs rise substantially. Additionally, the training process becomes more complex, requiring more computational resources and time for tuning and optimization. Secondly, although the proposed model demonstrates a consistent performance across multiple datasets, its generalization ability may still be limited in certain specific scenarios or data distributions, necessitating further validation and adjustment. Lastly, while attention mechanisms can effectively capture dependencies and feature importance in time-series data, their interpretability remains challenging, particularly in practical applications where explaining and visualizing these attention weights to support decision-making is still an ongoing issue. Therefore, future research could focus on model simplification, computational efficiency improvement, and interpretability enhancement to better balance model performance and practicality.

5. Conclusions

This paper proposes an innovative CNN-LSTM model with a multimodal attention mechanism to address the nonlinearity and randomness in short-term power grid load forecasting. Power grid load data exhibit complex spatial and temporal dependencies, requiring robust models with strong expressive power. The proposed model integrates CNN, LSTM, and multiple attention mechanisms to explore load data from different dimensions. The CNN module extracts spatial features through convolution operations, capturing load patterns, while the LSTM layer captures long-term dependencies and short-term fluctuations, handling the time-varying nature of load data. A multi-head self-attention mechanism is introduced to strengthen global feature modeling by computing attention heads in parallel, overcoming the limitations of a single attention mechanism. Additionally, global attention focuses on key time-step features, improving temporal representation, while channel attention optimizes feature selection by suppressing irrelevant information. The experimental results show that the model significantly outperforms traditional and deep learning methods in terms of prediction accuracy, stability, and generalization. On the three benchmark datasets, compared to the best baseline models, our proposed model achieved reductions in the mean absolute error (MAE) of 7.3%, 14.8%, and 10.6%, respectively, reduced root mean square error (RMSE) by 6.05%, 15.9%, and 7.5%, and lowered the maximum error (Max Error) by 15.9%, 28.6%, and 13.6%, respectively.
Looking ahead, future work will focus on optimizing the model’s structure, exploring new attention mechanisms and fusion strategies, and extending the model to other energy forecasting domains such as wind and solar energy. Additionally, efforts will be made to improve the model’s efficiency in practical applications through techniques like model compression and hardware acceleration, supporting smarter grid scheduling and better operational efficiency.

Author Contributions

Conceptualization, W.G. and L.W.; methodology, W.G. and S.L.; software, W.G.; validation S.L.; formal analysis, X.L.; investigation, W.G. and X.L.; resources, L.W.; data curation, L.W.; writing—original draft preparation, W.G. and L.W.; writing—review and editing, X.L.; visualization, S.L.; supervision, L.W.; project administration, L.W.; and funding acquisition, L.W. All authors have read and agreed to the published version of the manuscript.

Funding

This work was supported by the Science and Technology Project of SGCC, named Research on the Construction Technology of Artificial Intelligence Application Verification Platform for Power Grid Dispatching in Typical Scenarios (SGSH0000DKJS2200274).

Institutional Review Board Statement

Not applicable.

Informed Consent Statement

Not applicable.

Data Availability Statement

The data and the code of this study are available from https://github.com/RenHongjin6/CNN-MHSA-LSTM-GAM-CAM-Network (accessed on 6 December 2024).

Conflicts of Interest

Authors Wangyong Guo and Shijin Liu were employed by the company State Grid Electric Power Research Institute Co., Ltd. The remaining authors declare that the research was conducted in the absence of any commercial or financial relationships that could be construed as a potential conflict of interest.

References

  1. Kuster, C.; Rezgui, Y.; Mourshed, M. Electrical load forecasting models: A critical systematic review. Sustain. Cities Soc. 2017, 35, 257–270. [Google Scholar] [CrossRef]
  2. Raza, M.Q.; Nadarajah, M.; Hung, D.Q.; Baharudin, Z. An intelligent hybrid short-term load forecasting model for smart power grids. Sustain. Cities Soc. 2017, 31, 264–275. [Google Scholar] [CrossRef]
  3. Habbak, H.; Mahmoud, M.; Metwally, K.; Fouda, M.M.; Ibrahem, M.I. Load forecasting techniques and their applications in smart grids. Energies 2023, 16, 1480. [Google Scholar] [CrossRef]
  4. López, M.; Valero, S.; Senabre, C.; Aparicio, J.; Gabaldon, A. Application of SOM neural networks to short-term load forecasting: The Spanish electricity market case study. Electr. Power Syst. Res. 2012, 91, 18–27. [Google Scholar] [CrossRef]
  5. Kondaiah, V.; Saravanan, B.; Sanjeevikumar, P.; Khan, B. A review on short-term load forecasting models for micro-grid application. J. Eng. 2022, 2022, 665–689. [Google Scholar] [CrossRef]
  6. Guo, W.; Che, L.; Shahidehpour, M.; Wan, X. Machine-Learning based methods in short-term load forecasting. Electr. J. 2021, 34, 106884. [Google Scholar] [CrossRef]
  7. Hafeez, G.; Alimgeer, K.S.; Khan, I. Electric load forecasting based on deep learning and optimized by heuristic algorithm in smart grid. Appl. Energy 2020, 269, 114915. [Google Scholar] [CrossRef]
  8. Ahmad, N.; Ghadi, Y.; Adnan, M.; Ali, M. Load forecasting techniques for power system: Research challenges and survey. IEEE Access 2022, 10, 71054–71090. [Google Scholar] [CrossRef]
  9. Li, L.; Ota, K.; Dong, M. When weather matters: IoT-based electrical load forecasting for smart grid. IEEE Commun. Mag. 2017, 55, 46–51. [Google Scholar] [CrossRef]
  10. Jha, N.; Prashar, D.; Rashid, M.; Gupta, S.K.; Saket, R. Electricity load forecasting and feature extraction in smart grid using neural networks. Comput. Electr. Eng. 2021, 96, 107479. [Google Scholar] [CrossRef]
  11. Kong, W.; Dong, Z.Y.; Jia, Y.; Hill, D.J.; Xu, Y.; Zhang, Y. Short-term residential load forecasting based on LSTM recurrent neural network. IEEE Trans. Smart Grid 2017, 10, 841–851. [Google Scholar] [CrossRef]
  12. Guo, X.; Zhao, Q.; Zheng, D.; Ning, Y.; Gao, Y. A short-term load forecasting model of multi-scale CNN-LSTM hybrid neural network considering the real-time electricity price. Energy Rep. 2020, 6, 1046–1053. [Google Scholar] [CrossRef]
  13. Ertuğrul, Ö.F.; Tekin, H.; Tekin, R. A novel regression method in forecasting short-term grid electricity load in buildings that were connected to the smart grid. Electr. Eng. 2021, 103, 717–728. [Google Scholar] [CrossRef]
  14. Amjady, N. Short-term hourly load forecasting using time-series modeling with peak load estimation capability. IEEE Trans. Power Syst. 2001, 16, 498–505. [Google Scholar] [CrossRef]
  15. Zhao, H.; Guo, S. An optimized grey model for annual power load forecasting. Energy 2016, 107, 272–286. [Google Scholar] [CrossRef]
  16. Yang, Y.; Li, S.; Li, W.; Qu, M. Power load probability density forecasting using Gaussian process quantile regression. Appl. Energy 2018, 213, 499–509. [Google Scholar] [CrossRef]
  17. Saber, A.Y.; Alam, A.R. Short term load forecasting using multiple linear regression for big data. In Proceedings of the 2017 IEEE Symposium Series on Computational Intelligence (SSCI), Honolulu, HI, USA, 27 November–1 December 2017; IEEE: New York, NY, USA, 2017; pp. 1–6. [Google Scholar]
  18. Velasco, L.C.P.; Polestico, D.L.L.; Macasieb, G.P.O.; Reyes, M.B.V.; Vasquez, F.B., Jr. Load forecasting using autoregressive integrated moving average and artificial neural network. Int. J. Adv. Comput. Sci. Appl. 2018, 9, 23–29. [Google Scholar] [CrossRef]
  19. Stanescu, D.; Digulescu, A.; Ioana, C.; Serbanescu, A. Transient power grid phenomena classification based on phase diagram features and machine learning classifiers. In Proceedings of the 2022 30th European Signal Processing Conference (EUSIPCO), Belgrade, Serbia, 29 August–2 September 2022; pp. 1676–1680. [Google Scholar] [CrossRef]
  20. Akash, R.; Afshad, S.M.; Amizhtan, S.; Sarathi, R.; Danikas, M. Investigation of Compressive Sensing and Machine Learning Techniques for Classification of Incipient Discharges in Transformer Insulation. J. Eng. Sci. Technol. Rev. 2024, 17, 69–74. [Google Scholar] [CrossRef]
  21. Amarasinghe, K.; Marino, D.L.; Manic, M. Deep neural networks for energy load forecasting. In Proceedings of the 2017 IEEE 26th International Symposium on Industrial Electronics (ISIE), Edinburgh, UK, 19–21 June 2017; IEEE: New York, NY, USA, 2017; pp. 1483–1488. [Google Scholar]
  22. Hosein, S.; Hosein, P. Load forecasting using deep neural networks. In Proceedings of the 2017 IEEE Power & Energy Society Innovative Smart Grid Technologies Conference (ISGT), Washington, DC, USA, 23–26 April 2017; IEEE: New York, NY, USA, 2017; pp. 1–5. [Google Scholar]
  23. Melodi, A.; Adeniyi, S.; Oluwaniyi, R. Long term load forecasting for Nigeria’s electric power grid using ann and fuzzy logic models. In Proceedings of the 2017 IEEE 3rd International Conference on Electro-Technology for National Development (NIGERCON), Owerri, Nigeria, 7–10 November 2017; IEEE: New York, NY, USA, 2017; pp. 962–968. [Google Scholar]
  24. Çevik, H.H.; Çunkaş, M. Short-term load forecasting using fuzzy logic and ANFIS. Neural Comput. Appl. 2015, 26, 1355–1367. [Google Scholar] [CrossRef]
  25. Ahmad, W.; Ayub, N.; Ali, T.; Irfan, M.; Awais, M.; Shiraz, M.; Glowacz, A. Towards short term electricity load forecasting using improved support vector machine and extreme learning machine. Energies 2020, 13, 2907. [Google Scholar] [CrossRef]
  26. Dai, Y.; Zhao, P. A hybrid load forecasting model based on support vector machine with intelligent methods for feature selection and parameter optimization. Appl. Energy 2020, 279, 115332. [Google Scholar] [CrossRef]
  27. Omitaomu, O.A.; Niu, H. Artificial intelligence techniques in smart grid: A survey. Smart Cities 2021, 4, 548–568. [Google Scholar] [CrossRef]
  28. Liu, Z.; Gao, Y.; Liu, B. An artificial intelligence-based electric multiple units using a smart power grid system. Energy Rep. 2022, 8, 13376–13388. [Google Scholar] [CrossRef]
  29. Li, L.; Ota, K.; Dong, M. Everything is image: CNN-based short-term electrical load forecasting for smart grid. In Proceedings of the 2017 14th International Symposium on Pervasive Systems, Algorithms and Networks & 2017 11th International Conference on Frontier of Computer Science and Technology & 2017 Third International Symposium of Creative Computing (ISPAN-FCST-ISCC), Exeter, UK, 21–23 June 2017; IEEE: New York, NY, USA, 2017; pp. 344–351. [Google Scholar]
  30. Aseeri, A.O. Effective RNN-based forecasting methodology design for improving short-term power load forecasts: Application to large-scale power-grid time series. J. Comput. Sci. 2023, 68, 101984. [Google Scholar] [CrossRef]
  31. Kwon, B.S.; Park, R.J.; Song, K.B. Short-term load forecasting based on deep neural networks using LSTM layer. J. Electr. Eng. Technol. 2020, 15, 1501–1509. [Google Scholar] [CrossRef]
  32. Zhang, D.; Wang, S.; Liang, Y.; Du, Z. A novel combined model for probabilistic load forecasting based on deep learning and improved optimizer. Energy 2023, 264, 126172. [Google Scholar] [CrossRef]
  33. Ghimire, S.; Deo, R.C.; Casillas-Pérez, D.; Salcedo-Sanz, S.; Pourmousavi, S.A.; Acharya, U.R. Probabilistic-based electricity demand forecasting with hybrid convolutional neural network-extreme learning machine model. Eng. Appl. Artif. Intell. 2024, 132, 107918. [Google Scholar] [CrossRef]
  34. Eren, Y.; Küçükdemiral, İ. A comprehensive review on deep learning approaches for short-term load forecasting. Renew. Sustain. Energy Rev. 2024, 189, 114031. [Google Scholar] [CrossRef]
  35. Li, J.; Deng, D.; Zhao, J.; Cai, D.; Hu, W.; Zhang, M.; Huang, Q. A novel hybrid short-term load forecasting method of smart grid using MLR and LSTM neural network. IEEE Trans. Ind. Inform. 2020, 17, 2443–2452. [Google Scholar] [CrossRef]
  36. Lv, L.; Wu, Z.; Zhang, J.; Zhang, L.; Tan, Z.; Tian, Z. A VMD and LSTM based hybrid model of load forecasting for power grid security. IEEE Trans. Ind. Inform. 2021, 18, 6474–6482. [Google Scholar] [CrossRef]
  37. Sekhar, C.; Dahiya, R. Robust framework based on hybrid deep learning approach for short term load forecasting of building electricity demand. Energy 2023, 268, 126660. [Google Scholar] [CrossRef]
  38. Luo, S.; Wang, B.; Gao, Q.; Wang, Y.; Pang, X. Stacking integration algorithm based on CNN-BiLSTM-Attention with XGBoost for short-term electricity load forecasting. Energy Rep. 2024, 12, 2676–2689. [Google Scholar] [CrossRef]
  39. Zhu, T.; Zhao, Z.; Xia, M.; Huang, J.; Weng, L.; Hu, K.; Lin, H.; Zhao, W. FTA-Net: Frequency-Temporal-Aware Network for Remote Sensing Change Detection. IEEE J. Sel. Top. Appl. Earth Obs. Remote Sens. 2025, 18, 3448–3460. [Google Scholar] [CrossRef]
  40. Wang, Z.; Gu, G.; Xia, M.; Weng, L.; Hu, K. Bitemporal Attention Sharing Network for Remote Sensing Image Change Detection. IEEE J. Sel. Top. Appl. Earth Obs. Remote Sens. 2024, 17, 10368–10379. [Google Scholar] [CrossRef]
  41. Jiang, S.; Lin, H.; Ren, H.; Hu, Z.; Weng, L.; Xia, M. MDANet: A High-Resolution City Change Detection Network Based on Difference and Attention Mechanisms under Multi-Scale Feature Fusion. Remote Sens. 2024, 16, 1387. [Google Scholar] [CrossRef]
  42. Zhan, Z.; Ren, H.; Xia, M.; Lin, H.; Wang, X.; Li, X. AMFNet: Attention-Guided Multi-Scale Fusion Network for Bi-Temporal Change Detection in Remote Sensing Images. Remote Sens. 2024, 16, 1765. [Google Scholar] [CrossRef]
  43. Madrid, A. Short-term electricity load forecasting (Panama case study). Mendeley Data 2021, 1. [Google Scholar] [CrossRef]
  44. Kozlov, A. Daily Electricity Price and Demand Data. 2020. Available online: https://www.kaggle.com/datasets/aramacus/electricity-demand-in-victoria-australia (accessed on 6 December 2024).
  45. Learning, U.M. Household Electric Power Consumption Kaggle. Mendeley Data 2016. Available online: https://www.kaggle.com/datasets/uciml/electric-power-consumption-data-set (accessed on 6 December 2024).
  46. Dai, Y.; Yu, W. Short-term power load forecasting based on Seq2Seq model integrating Bayesian optimization, temporal convolutional network and attention. Appl. Soft Comput. 2024, 166, 112248. [Google Scholar] [CrossRef]
  47. Fan, G.F.; Han, Y.Y.; Li, J.W.; Peng, L.L.; Yeh, Y.H.; Hong, W.C. A hybrid model for deep learning short-term power load forecasting based on feature extraction statistics techniques. Expert Syst. Appl. 2024, 238, 122012. [Google Scholar] [CrossRef]
Figure 1. A schematic diagram of a CNN-LSTM network based on a multi-modal attention mechanism.
Figure 1. A schematic diagram of a CNN-LSTM network based on a multi-modal attention mechanism.
Applsci 15 02435 g001
Figure 2. The structure diagram of LSTM.
Figure 2. The structure diagram of LSTM.
Applsci 15 02435 g002
Figure 3. The structure diagram of multi-head self-attention.
Figure 3. The structure diagram of multi-head self-attention.
Applsci 15 02435 g003
Figure 4. The structure diagram of global attention.
Figure 4. The structure diagram of global attention.
Applsci 15 02435 g004
Figure 5. The performance comparison of different models on three datasets.
Figure 5. The performance comparison of different models on three datasets.
Applsci 15 02435 g005
Figure 6. The load prediction results obtained from experiments involving the Panama Case Study Dataset. (a) shows a comparison of weekly load prediction results, and (b) presents the load prediction results for one specific day.
Figure 6. The load prediction results obtained from experiments involving the Panama Case Study Dataset. (a) shows a comparison of weekly load prediction results, and (b) presents the load prediction results for one specific day.
Applsci 15 02435 g006
Figure 7. The load prediction results obtained from experiments involving the Victoria State Dataset. (a) shows a comparison of weekly load prediction results, and (b) presents the load prediction results for one specific day.
Figure 7. The load prediction results obtained from experiments involving the Victoria State Dataset. (a) shows a comparison of weekly load prediction results, and (b) presents the load prediction results for one specific day.
Applsci 15 02435 g007
Figure 8. The load prediction results obtained from experiments involving the Household Dataset. (a) shows a comparison of weekly load prediction results, and (b) presents the load prediction results for one specific day.
Figure 8. The load prediction results obtained from experiments involving the Household Dataset. (a) shows a comparison of weekly load prediction results, and (b) presents the load prediction results for one specific day.
Applsci 15 02435 g008
Figure 9. The performance comparison of different models on three datasets.
Figure 9. The performance comparison of different models on three datasets.
Applsci 15 02435 g009
Table 1. The specific structure parameters of this model.
Table 1. The specific structure parameters of this model.
Layer CategoryNeuronsRemark
Input layer24 × 9
Convolution layer24 × 64Kernel 1 × 6/1
Pooling layer24 × 64Max-pooling 1 × 6/1
Dropout layer24 × 64Retention 0.8
Multi-head self-attention layer24 × 128Heads 4
LSTM layer24 × 128
Global attention layer24 × 128Softmax
Channel attention layer24 × 128
Flatten layer1 × 5120
Output layer1 × 24
Table 2. Quantitative performance comparison of different models on three datasets.
Table 2. Quantitative performance comparison of different models on three datasets.
DatasetMethodMAEMSERMSEMax Error
Panama Case Study DatasetANN95.2517,968.25134.05689.25
RNN93.6817,263.65131.39687.95
LSTM91.1616,856.54129.83706.46
BiLSTM97.5517,315.95131.59718.15
GRU91.8916,265.76127.54856.78
CNN-RNN90.1815,625.36125.00810.26
CNN-LSTM89.6215,285.86123.64780.36
SBACT-Seq2Seq88.4814,758.58121.48654.59
EWT-CNN-S-RNN + LSTM87.9513,863.84117.74664.28
Ours81.5212,236.59110.62558.65
Victoria State DatasetANN0.1680.0480.2190.71
RNN0.1560.0460.2140.75
LSTM0.1450.0520.2280.82
BiLSTM0.1730.0480.2193.21
GRU0.1420.0450.2120.79
CNN-RNN0.1430.0470.2170.80
CNN-LSTM0.1410.0440.2100.78
SBACT-Seq2Seq0.1380.0410.2020.76
EWT-CNN-S-RNN + LSTM0.1350.0380.1950.70
Ours0.1150.0270.1640.50
Household DatasetANN1.031.281.135.21
RNN0.981.171.085.36
LSTM0.971.061.035.01
BiLSTM1.121.881.375.56
GRU0.881.281.135.05
CNN-RNN0.911.251.125.16
CNN-LSTM0.931.271.135.25
SBACT-Seq2Seq0.861.161.084.89
EWT-CNN-S-RNN + LSTM0.851.131.064.76
Ours0.760.960.984.12
Table 3. Ablation study results for attention mechanisms on different datasets. (✓ indicates that the corresponding attention mechanism was applied in the experiment.)
Table 3. Ablation study results for attention mechanisms on different datasets. (✓ indicates that the corresponding attention mechanism was applied in the experiment.)
DatasetMethodMHSAGAMCAMMAEMSERMSEMax Error
Panama Case Study DatasetCNN-LSTM+ 89.6215,285.86123.64780.36
CNN-LSTM+ 86.3614,626.77120.94652.55
CNN-LSTM+ 83.9513,168.68114.75583.26
CNN-LSTM+81.5212,236.59110.62558.65
Victoria State DatasetCNN-LSTM+ 0.1410.0440.2100.78
CNN-LSTM+ 0.1350.0380.1950.69
CNN-LSTM+ 0.1280.0330.1820.61
CNN-LSTM+0.1150.0270.1640.50
Household DatasetCNN-LSTM+ 0.931.271.135.25
CNN-LSTM+ 0.881.191.094.88
CNN-LSTM+ 0.821.081.034.53
CNN-LSTM+0.760.960.984.12
Table 4. Performance comparison across different heads for various datasets.
Table 4. Performance comparison across different heads for various datasets.
DatasetHeadsMAEMSERMSEMax ErrorCost Time (s)
Panama Case Study Dataset185.2514,268.92119.45635.26635.2
283.3812,896.36113.56584.521026.5
481.5212,236.59110.62558.651335.6
881.3612,185.45110.38552.121523.2
1681.0212,093.28109.96542.682120.5
Victoria State Dataset10.1530.0420.2050.78539.6
20.1310.0350.1870.62956.5
40.1150.0270.1640.501126.3
80.1120.0240.1550.481386.6
160.1060.0180.1340.461835.4
Household Dataset10.961.211.104.96658.6
20.851.061.034.621005.2
40.760.960.984.121263.5
80.720.930.964.081638.8
160.710.910.954.052135.4
Disclaimer/Publisher’s Note: The statements, opinions and data contained in all publications are solely those of the individual author(s) and contributor(s) and not of MDPI and/or the editor(s). MDPI and/or the editor(s) disclaim responsibility for any injury to people or property resulting from any ideas, methods, instructions or products referred to in the content.

Share and Cite

MDPI and ACS Style

Guo, W.; Liu, S.; Weng, L.; Liang, X. Power Grid Load Forecasting Using a CNN-LSTM Network Based on a Multi-Modal Attention Mechanism. Appl. Sci. 2025, 15, 2435. https://doi.org/10.3390/app15052435

AMA Style

Guo W, Liu S, Weng L, Liang X. Power Grid Load Forecasting Using a CNN-LSTM Network Based on a Multi-Modal Attention Mechanism. Applied Sciences. 2025; 15(5):2435. https://doi.org/10.3390/app15052435

Chicago/Turabian Style

Guo, Wangyong, Shijin Liu, Liguo Weng, and Xingyu Liang. 2025. "Power Grid Load Forecasting Using a CNN-LSTM Network Based on a Multi-Modal Attention Mechanism" Applied Sciences 15, no. 5: 2435. https://doi.org/10.3390/app15052435

APA Style

Guo, W., Liu, S., Weng, L., & Liang, X. (2025). Power Grid Load Forecasting Using a CNN-LSTM Network Based on a Multi-Modal Attention Mechanism. Applied Sciences, 15(5), 2435. https://doi.org/10.3390/app15052435

Note that from the first issue of 2016, this journal uses article numbers instead of page numbers. See further details here.

Article Metrics

Back to TopTop