Next Article in Journal
Case Study on the Failure Characteristics and Energy Evolution of Three Types of Hole-Fissured Sandstone Under Wetting–Drying Cycles
Next Article in Special Issue
Mesoscale Modelling of the Mechanical Behavior of Metaconcretes
Previous Article in Journal
Efficient Top-k Spatial Dataset Search Processing
Previous Article in Special Issue
A Study on Reactive Ultra-Fine Fly Ash and Sulfoaluminate Cement in Self-Leveling Mortar
 
 
Font Type:
Arial Georgia Verdana
Font Size:
Aa Aa Aa
Line Spacing:
Column Width:
Background:
Article

Heavy Equipment Detection on Construction Sites Using You Only Look Once (YOLO-Version 10) with Transformer Architectures

Department of Architectural Engineering, Hanyang University, Seoul 133791, Republic of Korea
*
Author to whom correspondence should be addressed.
Appl. Sci. 2025, 15(5), 2320; https://doi.org/10.3390/app15052320
Submission received: 16 January 2025 / Revised: 7 February 2025 / Accepted: 7 February 2025 / Published: 21 February 2025

Abstract

Monitoring heavy equipment in real time is crucial for ensuring safety and operational efficiency at construction sites, yet achieving both high detection accuracy and fast inference remains challenging under diverse environmental conditions. Although previous studies have attempted to improve accuracy and speed, their findings often lack generalizability, partly due to inconsistent datasets and the need for more advanced techniques. In response, this study proposes an enhanced object detection method that integrates transformer-based backbone networks into the You Only Look Once (YOLO-version 10) framework. Evaluations conducted on a large-scale dataset of construction-site images demonstrate notable improvements in detecting the heavy equipment of varying sizes. Comparisons with other detectors confirm that the proposed model not only achieves higher accuracy but also maintains competitive processing speed, making it suitable for real-time deployment. Additionally, the dataset is made available for broader experimentation and development. These findings underscore the method’s potential to strengthen on-site safety by providing more reliable and efficient heavy equipment detection in complex work environments, while also acknowledging areas for further refinement.

1. Introduction

Detection information for construction equipment focuses on capturing and interpreting data related to the movement and operation of machinery, including cranes, loaders, and trucks. By continuously monitoring these details, construction sites can enhance safety awareness and minimize collisions through real-time alerts and preventive measures. As a result, optimized detection methods help create safer, more efficient, and increasingly automated construction environments [1].
A promising solution for construction equipment detection on construction sites is incorporating object detection using deep learning techniques applied to images captured from cameras, such as surveillance cameras and body-worn cameras. Object detection involves localizing and classifying target objects within images using bounding boxes [2]. In many fields, including construction, the most commonly used and well-established object detection methods are based on You Only Look Once (YOLO) [3,4,5]. YOLO has undergone continuous development, resulting in several versions with significant improvements.
In this research, YOLOv10 was selected for its advanced capabilities in accuracy and flexibility. Compared to earlier versions, YOLOv10 offers significant enhancements in feature extraction and robustness to varying object sizes and occlusions. Its modular design allows for extensive customization, with the backbone architecture being one of its most critical components. The backbone is responsible for feature extraction, and it is often interchangeable, directly affecting both detection accuracy and computational efficiency [6].
Traditionally, CNN-based backbone architectures are popular due to their reliable accuracy. Meanwhile, transformer-based architectures have emerged for enhanced object detection performance in many fields [7,8]. To evaluate whether current methods meet the requirements for high-accuracy and real-time computation in heavy equipment detection, this research explored multiple object detection methods based on YOLOv10, with various backbone architectures specifically designed using images from both surveillance and body-worn cameras. The main contributions of this paper can be summarized as follows:
(1)
Two different types of camera data (surveillance and body-worn cameras) were used to assess the robustness and generalizability of model performance.
(2)
A YOLOv10-based approach was introduced for equipment detection on construction sites. Advanced transformer-based backbone architectures were implemented.
(3)
A comprehensive comparison of object detection methods was conducted, contrasting traditional, reliable architectures with advanced transformer-based architectures.
This paper is organized as follows. In Section 2, research related to object detection for heavy equipment and the YOLO series is reviewed to identify the research gap. In Section 3, an overview of the proposed approach is presented, together with detailed procedures for creating it. Section 4 describes the experiments for demonstrating the proposed approach. In Section 5, an analysis of the experimental results is provided, along with conclusions and suggestions for future work.

2. Literature Review

2.1. Existing Studies Using Object Detection

Several studies have employed deep-learning–based object detection to identify construction resources such as workers, equipment, and materials via camera imagery. For instance, Fang et al. [9] developed a method to automatically detect multiscale objects (worker and excavator) in real time, achieving an accuracy of 91–95%. Similarly, Wang et al. [10] employed Faster R-CNN to identify hazardous areas by analyzing the interactions between workers and heavy equipment on construction sites, reporting a mean Average Precision (mAP) of 92.55%. Kim et al. [11] also used Faster R-CNN to detect excavators and proposed a framework for recognizing excavator work patterns, thereby facilitating the analysis of cycle times and productivity; their approach attained 90.9% precision and 89.2% recall.
In these studies, Faster R-CNN offered higher inference speeds than the original R-CNN and demonstrated a superior overall performance. However, as a two-stage detector, it may have drawbacks for real-time processing of continuous imagery, limiting its practical applicability to construction safety. Consequently, additional research has explored one-stage detectors to develop detection models suited for construction sites and to address safety-related uncertainties. YOLO—renowned for its fast image processing capabilities—has become a popular choice in this regard [12]. For instance, Nath and Behzadan [13] compared various training data combinations using YOLOv2 and YOLOv3 for rapid construction object detection, finding that YOLOv3 trained on a crowdsourced dataset yielded the highest mAP (78.2%). Chen et al. [14] developed a YOLOv3-based approach to detect excavators and dump trucks, reporting 82% accuracy. Additionally, Roberts and Golparvar-Fard [15] proposed a RetinaNet-based algorithm for automatic action recognition of earthmoving equipment (e.g., excavators and dump trucks), obtaining an AP of 95.75% for excavators and 35.69% for dump trucks. Finally, Shin et al. [1] proposed a YOLOv5-based model for detecting nine types of heavy equipment (e.g., bulldozers, dump trucks, and excavators), demonstrating high reliability with an mAP of 90.26%.
Collectively, these studies demonstrate that deep-learning–based object detection can effectively identify construction equipment on-site. In particular, YOLO-based approaches consistently achieve robust accuracy and real-time detection speeds. However, variations in datasets across different investigations make direct comparisons of model performance difficult. Moreover, further refinements in both accuracy and computational efficiency are essential to meet real-world, high-throughput requirements—especially for detecting multiple types of equipment simultaneously. Consequently, the development of more computationally efficient and reliable detectors remains critical for practical, real-time monitoring in construction environments.

2.2. State-of-the-Art Architectures for YOLOv10

In YOLO-based object detection, the backbone architecture is responsible for feature extraction—processing input images to derive meaningful features for object classification and localization. Historically, CNN-based backbones such as CSPNet, EfficientNet, and ConvNeXt have been popular for real-time equipment detection due to their balance of accuracy and speed [5]. Recently, transformer-based architectures (e.g., ViT, Swin Transformer, PVT, MobileViT, and Axial Transformer) have gained traction, offering enhanced accuracy by capturing both local and global dependencies via self-attention [16]. However, this advantage typically comes at the expense of computational efficiency, which can limit real-time applications [17].
In challenging tasks such as construction equipment detection, where small objects and occlusions are common, the extra representational power of transformer backbones may yield higher accuracy, yet they also incur increased inference times [7,18,19]. Consequently, selecting the right backbone depends on the specific goals of a project. A highly efficient CNN-based approach might be preferable when real-time monitoring takes precedence, even if its accuracy is slightly lower. Conversely, transformer-based backbones may be more suitable when complex feature relationships must be captured—provided that computational resources and latency constraints can accommodate the additional overhead.
In light of these considerations, this research proposed comparing transformer-based backbones—ViT, Swin Transformer, and PVT—all integrated within a YOLOv10 framework. The objective was to evaluate their applicability and performance in real construction site scenarios, ultimately determining which models strike the best balance between detection accuracy and computational efficiency for practical field use.

3. Proposed Approach

Figure 1 illustrates the schematic workflow of the proposed YOLOv10-based object detection framework. The YOLOv10 framework comprises three main components: the backbone, neck, and head. The framework begins with the input stage, where raw images are processed and prepared for feature extraction. In this section, how YOLOv10-based approaches with different architectures are proposed is described. These approaches are discussed in detail, followed by a comprehensive demonstration of the overall methodology.

3.1. YOLOv10 Framework

First, the backbone module serves as the feature extractor, generating multi-scale feature maps that capture both low-level details and high-level semantic representations of the input images. These feature maps are critical for downstream tasks, including object detection and classification [20].
The neck component, implemented as a Path Aggregation Network (PAN), facilitates feature fusion across different scales. PAN employs a dual-path mechanism, leveraging both top–down and bottom–up pathways to ensure robust multi-scale feature representation. This design enhances the framework’s ability to detect objects of varying sizes, addressing challenges related to scale variation in real-world scenarios [21]. The proposed YOLOv10 framework also integrates a dual-label assignment mechanism to enhance prediction accuracy:
(1)
The one-to-many head performs regression and classification tasks, allowing multiple predictions per object. This approach is particularly advantageous for handling overlapping or ambiguous object boundaries.
(2)
The one-to-one head establishes a precise correspondence between predictions and ground-truth objects, reducing ambiguity and improving detection accuracy.
This dual-label assignment mechanism ensures that YOLOv10 can effectively handle different types of object boundaries, thereby improving its ability to make precise and consistent predictions in various scenarios. To evaluate the alignment between predicted and ground-truth bounding boxes, the framework employs a consistent match metric, expressed as:
m = s · p a · I O U b ^ , b β
where s is the confidence score of the prediction, p a is the classification probability raised to the power of a , and I O U b ^ , b β represents the Intersection over Union (IOU) between the predicted box ( b ^ ) and the ground-truth box ( b ). a , and β are hyperparameters that determine the weighting of the respective components.
The consistent match metric is also integrated to support these dual strategies, ensuring that predictions are effectively scored by balancing confidence, classification accuracy, and overlap with ground-truth bounding boxes. This approach further strengthens the precision and reliability of the YOLOv10 framework for real-time object detection, making it suitable for a wide range of challenging applications.

3.2. Backbone Architectures

As previously mentioned, this study integrates multiple backbone architectures into the YOLOv10 framework, focusing on advanced transformer-based architectures—ViT, Swin Transformer, and PVT—deemed most suitable for the task at hand. Readers seeking a deeper methodological understanding of each architecture and its components are encouraged to consult the comprehensive descriptions in [22]. The following subsections briefly introduce the key concepts associated with each selected architecture.

3.2.1. Vision Transformer (ViT)

ViT divides an input image into fixed-size patches and flattens each patch into a 1D vector. These vectors, also referred to as patch embeddings, are then concatenated to form a sequence of tokens—much like words in natural language processing—so that the transformer can process them in parallel. To preserve spatial information, each patch embedding is enriched with a trainable position embedding, allowing the network to differentiate where each patch originates in the image. ViT also adds a dedicated “class token” at the start of the token sequence, serving as a global representation that aggregates features from all patches. In downstream tasks, this class token becomes the output from which final predictions are derived [23].
In this study, the combination of YOLOv10 and ViT is referred to as YOLOv10-ViT. Specifically, ViT replaces the typical convolution-based backbone in YOLOv10, generating tokenized feature representations that the YOLO detection head can use to localize heavy equipment (e.g., loaders and trucks) and assign confidence scores in real time, as shown in Figure 2.
Furthermore, the transformer encoder applies multi-head self-attention across these patch tokens, enabling it to model both local and long-range dependencies without relying on traditional convolutional filters. This direct attention to each patch’s relationship with all others captures a global context early in the network. After the attention layers, a Multi-Layer Perceptron (MLP) head processes the aggregated feature representations to produce final predictions. Moreover, the self-attention has quadratic complexity with respect to the number of patches, which may lead to significant computational overhead for high-resolution images [24]. By replacing local receptive fields with global self-attention, ViT can capture broad contextual cues in fewer layers than CNNs. However, due to its reliance on large training corpora and substantial computation, practitioners must weigh the benefits of superior global modeling against the hardware and data demands.

3.2.2. Swin Transformer

Swin Transformer (Figure 3) arranges images in a hierarchical manner, gradually reducing spatial dimensions at each stage. Rather than computing attention across the entire image simultaneously, Swin segments the image into non-overlapping local windows, which keeps attention computations manageable. A key innovation is the shifted window mechanism: between consecutive transformer blocks, the window partitions shift. This shift causes patches that were previously confined to one window to be included in a neighboring window in the next layer, encouraging cross-window interactions. Consequently, the model captures global context over multiple layers without the prohibitive cost of full-image self-attention in every stage [18].
In this study, the combination of YOLOv10 and Swin Transformer is referred to as YOLOv10-Swin Transformer. Specifically, Swin Transformer replaces the traditional backbone in YOLOv10, providing the detection head with multi-scale feature representations that facilitate the localization and classification of heavy equipment (e.g., loaders and trucks). Because Swin Transformer’s architecture is hierarchical, each level down-samples the spatial resolution—akin to a CNN’s “feature pyramid”. This yields multi-scale representations suitable for tasks such as object detection or segmentation, where objects of different sizes and aspects must be identified accurately. By restricting self-attention computations to small windows, Swin’s attention complexity scales linearly—not quadratically—with image size, making it feasible for higher-resolution inputs. This design significantly boosts efficiency compared to naive global attention mechanisms, balancing performance and computation [25].
Owing to its local-to-global progression and window-shifting strategy, Swin Transformer often outperforms standard CNN backbones in detection tasks while remaining computationally efficient enough for practical, large-scale use. Its effectiveness stems from integrating the benefits of hierarchical feature extraction with the global modeling capabilities of transformers.

3.2.3. Pyramid Vision Transformer (PVT)

PVT integrates the pyramidal feature extraction seen in classic CNN-based backbones—where resolution is progressively reduced at multiple stages—into a transformer design (Figure 4). This approach preserves rich multi-scale representations required for object detection, segmentation, or other dense prediction tasks. A key component of PVT is spatial-reduction attention: rather than computing self-attention on the full-resolution feature maps, PVT down-samples the spatial dimensions within the attention layers. This reduces the overall computational load, enabling the network to handle larger images while keeping the complexity more tractable [26].
Each stage in PVT outputs features at different scales, forming a pyramid-like structure. Early stages retain more detailed spatial information, while deeper stages capture a broader semantic context at a lower resolution. By combining the hierarchical strengths of CNNs with the global attentional capability of transformers, PVT delivers multi-scale feature representations tailored for detecting objects of varying sizes.
In this study, the combination of YOLOv10 and PVT is referred to as YOLOv10-PVT. Specifically, PVT replaces the standard convolution-based backbone in YOLOv10, supplying the detection head with feature maps at multiple scales that can localize heavy equipment such as loaders and dump trucks. By integrating multi-scale pyramid processing with partial spatial down-sampling, PVT retains many of the global insights characteristic of a transformer while controlling the computational load. This synergy excels in dense prediction tasks—like object detection—where multiple scales must be accurately identified in complex construction-site images. The global attention and pyramid-style feature extraction in PVT enable YOLOv10-PVT to handle diverse object sizes and environmental complexities, capturing both fine details and the overarching context with fewer computational demands than the naive global-attention method.

3.3. Optimization Process

3.3.1. Transfer Learning

Training a deep learning architecture from the ground up often requires a substantial amount of time and a vast dataset. An effective alternative is to employ a pre-trained model, which is a model that has been previously trained on a dataset and developed for use [27]. Such a model can apply the features it has already learned to new, diverse tasks. In this particular study, the researchers used ImageNet, a dataset created for scholarly pursuits in the field of computer vision [28]. With its extensive collection of more than 14 million images encompassing a wide array of categories including cars and people, ImageNet was an ideal choice for pre-training the feature extraction component of the selected architectures in this research.

3.3.2. Hyperparameters

Training a deep learning model with high accuracy requires optimizing numerous hyperparameters, as performance can vary significantly with different settings [29]. However, there are no universally applicable solutions for determining the best hyperparameters that work well across all tasks and datasets. However, one practical approach is to define hyperparameters and their values based on previous research. Many studies have shown that hyperparameters successful in similar methodologies are likely to work well in other tasks empirically [30,31,32,33]. In this research, the hyperparameters and their values for the model implementation were chosen based on studies that employed YOLO, specifically in rebar counting on construction sites [6].

3.4. Evaluation of Model Performance

In addition to the Root Mean Square Error (RMSE), which is used as the loss function for the object detection training process, there are various other metrics that can be used to evaluate the performance of the model in object detection tasks. In this study, two aspects, Average Precision (AP) and detection speed, were considered.

3.4.1. AP

In object detection, AP is widely used as a numerical metric for the evaluation of accuracy. AP is the average precision across all recall values between 0 and 1 at different thresholds of Intersection over Union (IOU), referring to the proportion of the area that is common to both the predicted and ground truth bounding boxes, relative to the total area covered by both boxes. AP is calculated using the formula shown in Equation (1), where n is the total number of bounding boxes detected, i is the rank of a specific detected bounding box, p(i) is the precision value between the first and ith detection, and Δr(i) is the change in recall values between the (i-1)th and ith detection [2].
A P = i = 1 n p ( i ) Δ r ( i )
In this study, the following three IOU thresholds were set: AP50, AP75, and AP50:AP95; AP50, and AP75. In particular, AP50:AP95 denotes that the mean AP ranges from 0.5 to 0.95 with an incremental step size of 0.05.
To assess the model’s performance at different object scales, AP was further calculated for small ( A P S ), medium ( A P M ), and large ( A P L ) objects, categorized by their pixel area in the images:
  • A P S : occupying less than 32 × 32 pixels,
  • A P M : ranging from 32 × 32 to 96 × 96 pixels,
  • A P L : exceeding 96 × 96 pixels in area.
By using these size-based categories, the evaluation specifically examined the model’s detection capabilities for heavy equipment of various scales within the images.

3.4.2. Detection Speed

The detection speed is the time computed by a model for single frame. The speed is measured by FPS (Frames Per Second). One objective of measuring the detection speed is to ascertain how quickly the YOLO model can detect the given images.

4. Experiment

In this research, YOLOv10-based models were analyzed for captured footage. The following section explains the data collection process and the implementation environment for the experiments.

4.1. Data Preparation

4.1.1. Original Dataset Construction

Data collection was conducted using two types of cameras at construction sites in South Korea. The Bosch FLEXIDOME IP Starlight 8000i surveillance camera was used across seven construction sites, with 42 cameras strategically installed to ensure effective coverage, with slight overlaps to reduce blind spots. The cameras captured footage of workers under real-world conditions, as shown in Figure 5. Videos from both surveillance and body-worn cameras were recorded continuously, and individual still images were extracted at regular intervals. To optimize memory usage, images were saved at a resolution of 1500 × 900 pixels. In total, there were 4732 images from surveillance cameras.
The study began with the collection of a dataset containing construction-related object images, annotated from both surveillance cameras. The images were divided into training, validation, and test sets. A real-time detection model was then trained using the annotated dataset and tested to validate its ability to identify object instances and accurately detect construction equipment. Finally, the model’s performance was evaluated on unseen test images.

4.1.2. Data Split

Both datasets were divided into three subsets: training, validation, and testing. The images were randomly allocated as 60% for training, 20% for validation, and 20% for testing. For the surveillance dataset, which comprised 4732 images, this division resulted in 2840 training images, 946 validation images, and 946 testing images. This approach ensured that each subset accurately represented the overall distribution of the original dataset.

4.1.3. Application of Image Augmentation Techniques

The cameras typically used on construction sites capture high-resolution images but also pose substantial challenges, including motion blur, abrupt perspective changes, and frequent occlusions. Consequently, constructing a comprehensive dataset from these images for deep learning remains time-consuming and labor-intensive. To address this issue, image augmentation is employed to artificially expand the training set. In the present study, six distinct augmentation techniques were applied to both source- and target-domain datasets, with each technique targeting a specific concern, as summarized in Table 1; more detailed mathematical formulations are available in [34].
Because construction-site images may be acquired under varied outdoor conditions, they often exhibit significant illumination variability caused by artificial lighting, weather, or time of day. Brightness augmentation compensates for these fluctuations by adjusting the overall light intensity, generating images that range from dim to bright [35]. Contrast augmentation modifies intensity differences among pixels, making the distinction between foreground objects and background more or less pronounced. Perspective transformation alters the homography matrix, helping ensure that construction equipment elements remain clearly identifiable across different viewing angles. Scale augmentation, an affine transformation, simulates varying distances while accommodating size discrepancies among heavy equipment. For scenarios where the camera is misaligned, rotation augmentation helps maintain accurate feature detection regardless of orientation. Lastly, when the camera is angled off-perpendicular, shear augmentation corrects the resulting skew by shifting pixel rows or columns along a predetermined axis [36].
The parameters in each augmentation techniques were established through a trial-and-error approach designed to produce realistic augmented images, as summarized in Table 1. Additionally, geometric transformations—scaling, rotation, perspective, and shearing—can shift portions of an image beyond its original boundaries, creating voids or overlapping pixels. Because deep learning typically requires inputs of fixed dimensions [37,38], any empty regions were filled with a pixel value of 255 (white), ensuring all augmented images maintain a uniform size. Figure 6 illustrates examples of original images alongside each type of augmentation.

4.1.4. Annotation

The heavy equipment was annotated for counting by assigning rectangular ground-truth bounding boxes to each instance. During this process, five categories of equipment—loaders, dump trucks, excavators, remicons, and cranes—were identified, while all other regions were marked as the background. The annotation was performed using LabelImg, which employs the VOC XML format. Figure 7 illustrates an example of this annotation procedure, and Table 2 provides a detailed breakdown of the annotated data for each dataset.

4.2. Experimental Settings

All experiments were carried out on a Windows 10 system, featuring an Intel Core i7-13700H processor with 14 cores and 20 threads. The system was also equipped with an NVIDIA GeForce GTX 4090 Ti GPU and 128 GB of RAM.

5. Results, and Discussion

This chapter presents an evaluation of YOLOv10-based model performances, organized into several sub-sections. The initial sections analyze training and validation results, highlighting potential underfitting or overfitting. Subsequently, the effectiveness of image augmentation is assessed, followed by an analysis of model performance by class. The section concludes by discussing the best method’s performance on the test set and comparing these findings with other contemporary detectors.

5.1. Results of Training and Validation

5.1.1. Evaluation of Underfitting and Overfitting

The training and validation loss graphs for three YOLOv10 models (YOLOv10-ViT, YOLOv10-Swin Transformer, and YOLOv10-PVT) trained on the dataset are shown in Figure 8. All three models exhibited a consistent reduction in both training and validation losses over successive iterations, despite occasional fluctuations between epochs rather than a perfectly smooth decline. This pattern indicates that the models effectively learned from the training data, increasing their accuracy on the validation set, and converging toward the optimal loss function value.
The steady decrease in training loss across iterations suggests that underfitting was not an issue. In addition, the concurrent decrease in and close alignment of training and validation losses imply that overfitting was unlikely. As a result, no models needed to be excluded on the basis of underfitting or overfitting concerns.

5.1.2. Analysis of Augmentation Technique Effectiveness

As shown in Table 3, all three architectures (ViT, Swin Transformer, and PVT) benefited notably from the application of data augmentation. While ViT’s AP50 rose from 85.37 to 88.33 (a gain of 2.96), Swin Transformer achieved a slightly higher boost—from 86.71 to 89.77 (a gain of 3.06)—and PVT followed closely with an AP50 increase of 2.80 (from 85.63 to 88.43). The stricter localization requirement in AP50:95 similarly showed consistent improvements: ViT’s AP50:95 rose by 4.75, Swin Transformer by 4.74, and PVT by 4.02, suggesting that although all models still faced challenges aligning bounding boxes to ground truth at a higher IOU, augmentation helped mitigate these issues. Moreover, the gains in A P S were particularly pronounced (6.72 for ViT, 7.17 for Swin and 4.80 for PVT), indicating that augmented training samples allowed the networks to better capture and discriminate small or partially occluded objects in cluttered construction-site scenes. Similar but smaller gains emerged for A P M and A P L , highlighting that larger targets remained somewhat easier to detect yet still benefited from augmented features and variability. Notably, Swin Transformer showed the highest overall IOU gain of 5.51, implying that its hierarchical attention mechanism adapted well to the geometric transformations introduced by augmentation.

5.1.3. Analysis of Augmented Model Performance with Different Architectures by Class

As shown in Table 4, the class-specific results under augmented conditions reveal that Swin Transformer consistently achieved the highest average AP50 (89.77), AP50:95 (67.27), and IOU (84.77), outperforming both ViT (88.33, 66.12, 83.36) and PVT (88.43, 65.44, 83.14) by roughly one to two percentage points. In terms of individual classes, Excavator emerged as one of the more straightforward categories, with all three backbones attaining AP50 values above 90—Swin Transformer led at 92.44, followed closely by ViT (91.03) and PVT (90.16). Meanwhile, Remicon appeared notably more challenging, as reflected by lower AP50 scores (ViT: 84.72, Swin: 86.14, and PVT: 85.91) and reduced IOU metrics. This discrepancy suggests that Remicon’s visual features might have been less distinct or more prone to occlusion within cluttered construction settings, underscoring the need for specialized data or tailored augmentation strategies.
Moreover, analyzing A P S , A P M , and A P L highlights that larger machinery (e.g., excavators and dump trucks) consistently achieved higher detection rates, whereas smaller or less visually salient equipment posed a greater challenge. For instance, Swin Transformer attained A P S scores as high as 67.01 for Excavator, suggesting that its hierarchical attention mechanism effectively captured fine-grained details of partially obscured objects.
In addition, as shown in Table 5, PVT achieved the highest average and peak FPS, making it the fastest among the three. Swin Transformer showed a moderate speed advantage over ViT while still providing competitive real-time performance. Although all models shared the same minimum FPS (34), PVT stood out by consistently maintaining higher speeds, as reflected by its upper-range metrics.

5.2. Model Evaluation in Test Images

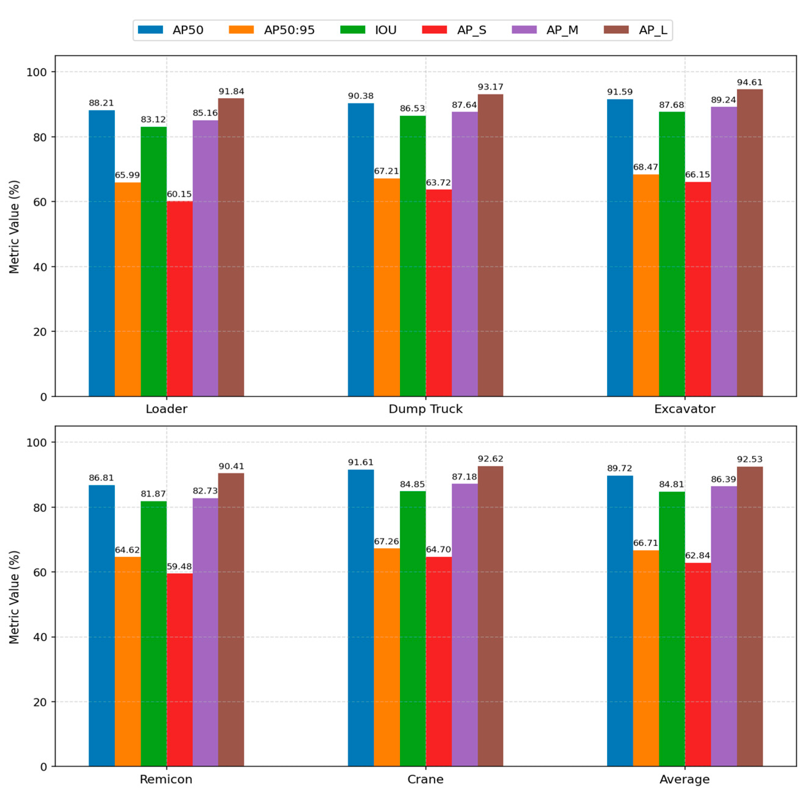
The best-performing model was YOLOv10-Swin Transformer, achieving 89.72 for AP50, 66.71 for AP50:95, 84.81 for IOU, 62.84 for A P S , 86.39 for A P M , and 92.53 for A P L on average. As depicted in Figure 9, each class’s performance under these metrics aligned closely with results observed on the validation set, indicating minimal overfitting.
Figure 10 and Figure 11 present sample images illustrating high and low detection accuracies, respectively. In Figure 10a, three excavators are operating under well-lit conditions within an excavated pit, whose walls are reinforced by temporary beams and surrounded by construction materials and soil piles. High-rise buildings are visible in the background, indicating an urban context, and all excavators in this scene were successfully detected. In Figure 10b, one excavator is offloading soil into a nearby dump truck, while another excavator is working in the background; both are correctly labeled “excavator” with the dump truck enclosed by a corresponding bounding box. Two workers, clad in reflective vests, stand at the edge of the pit observing the activity, which includes substantial excavation, supporting beams, and a relatively open construction environment.
In Figure 11a, an excavator is operating near a pile of rebars, with one dump truck parked in the foreground and another positioned farther back. A crane is also visible in the background but is incorrectly detected as a “remicon”. The site itself appears expansive, encircled by retaining walls, stacked construction materials, and partially completed infrastructure. Meanwhile, Figure 11b depicts an open excavation area supported by beams, with large piles of earth and high-rise buildings in the distance—indicative of an urban setting under clear, bright conditions. One excavator is working in the center and another is positioned nearby, both labeled correctly, although a cage in the scene is erroneously identified as a “dump truck”.

5.3. Comparison Analysis with Other Detectors

To highlight the effectiveness of the proposed YOLOv10–Swin Transformer backbone, a comparison was made against Faster R-CNN, SSD, and R-FCN, each employing alternative backbones such as ResNet-101, ResNet-152, and MobileNetv3. All other features and hyperparameters (for example, batch size and iteration count) were maintained in their original configurations. Any custom adjustments required for the experiments were implemented within MMDetection [39] to accommodate specialized settings for each detector.
As shown in Table 6, each detector–architecture combination was evaluated in terms of different metrics. Among the Faster R-CNN models, ResNet-152 yielded the highest AP50 (87.67) and AP50:95 (64.85) within its category, though it remained below the proposed method’s metrics. SSD500 with ResNet-152 also demonstrated strong accuracy (AP50 = 87.88, IOU = 83.71), yet it still could not reach the proposed method’s leading AP50 of 89.72 or AP50:95 of 66.71. R-FCN similarly achieved moderate performance, with ResNet-152 emerging as the best backbone in that series, but again trailing the proposed method. Notably, the proposed method excelled across A P S ,   A P M , and A P L at 62.84, 86.39, and 92.53 respectively—signifying the robust detection of small, medium, and large objects. Although many configurations surpassed or approached 30 FPS, the proposed method also sustained a commendable 35 FPS, matching or exceeding the speed of most other entries. Consequently, it not only delivered the highest detection metrics but did so with competitive inference speed, making it the most effective overall approach in this comparison.

6. Conclusions

This research provided a comprehensive evaluation of YOLOv10-based object detection models for five categories of heavy equipment—loaders, dump trucks, excavators, remicons, and cranes—using surveillance camera imagery from construction sites. In particular, the findings indicated that advanced transformer-based backbones within the YOLOv10 framework, especially Swin Transformer, achieved top-tier performance: YOLOv10-Swin Transformer attained AP50 = 89.72, AP50:95 = 66.71, IOU = 84.81, A P S = 62.84, A P M = 86.39, and A P L = 92.53—outperforming other configurations. Meanwhile, alternative backbones such as ViT and PVT also demonstrated strong detection metrics but fell slightly behind Swin Transformer. Although smaller or visually less distinct machinery posed lingering difficulties, the overall gains in detection accuracy highlight YOLOv10’s potential for enhanced safety monitoring on construction sites.
Nonetheless, the reduced accuracy observed on certain external datasets underscores the need for broader training data and refined domain adaptation, ensuring robust generalization across varied environments. Future avenues include expanding the dataset to encompass additional contexts and equipment types, incorporating multimodal data sources, and further optimizing real-time performance for practical, large-scale implementation in construction settings.

Author Contributions

Conceptualization, S.W. and J.K. (Jaejun Kim); methodology, S.W.; software, I.E.; validation, I.E., I.E. and J.K. (Jaejun Kim); formal analysis, J.K. (Juhyung Kim); investigation, J.K. (Jaejun Kim); resources, I.E.; data curation, I.E., S.W. and I.E.; writing—original draft preparation, S.W. and J.K. (Juhyung Kim); writing—review and editing, J.K. (Jaejun Kim) and J.K. (Juhyung Kim); visualization, J.K. (Jaejun Kim); supervision, S.W.; project administration, S.W.; funding acquisition, J.K. (Juhyung Kim). All authors have read and agreed to the published version of the manuscript.

Funding

This research was funded by the National Research Foundation of Korea (NRF) grant funded by the Korean government (Ministry of Science and ICT) (grant number RS202400356697).

Institutional Review Board Statement

Not applicable.

Informed Consent Statement

Not applicable.

Data Availability Statement

The original contributions presented in the study are included in the article; further inquiries can be directed to the corresponding author.

Conflicts of Interest

The authors declare no conflicts of interest.

References

  1. Shin, Y.; Choi, Y.; Won, J.; Hong, T.; Koo, C. A New Benchmark Model for the Automated Detection and Classification of a Wide Range of Heavy Construction Equipment. J. Manag. Eng. 2024, 40. [Google Scholar] [CrossRef]
  2. Wang, S. Evaluation of Impact of Image Augmentation Techniques on Two Tasks: Window Detection and Window States Detection. Results Eng. 2024, 24, 103571. [Google Scholar] [CrossRef]
  3. Hu, H.; Wang, L.; Zhang, M.; Ding, Y.; Zhu, Q. Fast and Regularized Reconstruction of Building Facades from Street-View Images Using Binary Integer Programming. In ISPRS Annals of the Photogrammetry, Remote Sensing and Spatial Information Sciences; IEEE: Stockholm, Sweden, 2020. [Google Scholar]
  4. Nath, N.D.; Behzadan, A.H.; Paal, S.G. Deep Learning for Site Safety: Real-Time Detection of Personal Protective Equipment. Autom. Constr. 2020, 112, 103085. [Google Scholar] [CrossRef]
  5. Mokayed, H.; Alsayed, G.; Lodin, F.; Hagner, O.; Backe, B. Enhancing Object Detection in Snowy Conditions: Evaluating YOLO v9 Models with Augmentation Techniques. In Proceedings of the 2024 11th International Conference on Internet of Things: Systems, Management and Security (IOTSMS), Malmö, Sweden, 2–5 September 2024; IEEE: Piscataway, NJ, USA, 2024; pp. 198–203. [Google Scholar]
  6. Wang, S.; Kim, M.; Hae, H.; Cao, M.; Kim, J. The Development of a Rebar-Counting Model for Reinforced Concrete Columns: Using an Unmanned Aerial Vehicle and Deep-Learning Approach. J. Constr. Eng. Manag. 2023, 149, 1–13. [Google Scholar] [CrossRef]
  7. Dai, Y.; Liu, W.; Wang, H.; Xie, W.; Long, K. Yolo-Former: Marrying Yolo and Transformer for Foreign Object Detection. IEEE Trans. Instrum. Meas. 2022, 71, 1–14. [Google Scholar] [CrossRef]
  8. Rajput, L.; Tyagi, N.; Tyagi, S.; Tyagi, D.K. State of the Art Object Detection: A Comparative Study of YOLO and ViT. In Proceedings of the 2024 International Conference on Intelligent Systems for Cybersecurity (ISCS), Gurugram, India, 3–4 May 2024; pp. 1–6. [Google Scholar]
  9. Fang, W.; Ding, L.; Zhong, B.; Love, P.E.D.; Luo, H. Automated Detection of Workers and Heavy Equipment on Construction Sites: A Convolutional Neural Network Approach. Adv. Eng. Inform. 2018, 37, 139–149. [Google Scholar] [CrossRef]
  10. Wang, M.; Wong, P.; Luo, H.; Kumar, S.; Delhi, V.; Cheng, J. Predicting Safety Hazards among Construction Workers and Equipment Using Computer Vision and Deep Learning Techniques. In Proceedings of the 36th International Symposium on Automation and Robotics in Construction, ISARC 2019, Banff, AB, Canada, 21–24 May 2019. [Google Scholar]
  11. Kim, J.; Chi, S.; Seo, J. Interaction Analysis for Vision-Based Activity Identification of Earthmoving Excavators and Dump Trucks. Autom. Constr. 2018, 87, 297–308. [Google Scholar] [CrossRef]
  12. Blue, S.T.; Brindha, M. Edge Detection Based Boundary Box Construction Algorithm for Improving the Precision of Object Detection in YOLOv3. In Proceedings of the 2019 10th International Conference on Computing, Communication and Networking Technologies, ICCCNT 2019, Kanpur, India, 6–8 July 2019. [Google Scholar]
  13. Nath, N.D.; Behzadan, A.H. Deep Convolutional Networks for Construction Object Detection Under Different Visual Conditions. Front. Built Environ. 2020, 6, 97. [Google Scholar] [CrossRef]
  14. Chen, C.; Zhu, Z.; Hammad, A. Critical Review and Road Map of Automated Methods for Earthmoving Equipment Productivity Monitoring. J. Comput. Civ. Eng. 2022, 36, 03122001. [Google Scholar] [CrossRef]
  15. Roberts, D.; Golparvar-Fard, M. End-to-End Vision-Based Detection, Tracking and Activity Analysis of Earthmoving Equipment Filmed at Ground Level. Autom. Constr. 2019, 105, 102811. [Google Scholar] [CrossRef]
  16. Wang, S.; Han, J. Automated Detection of Exterior Cladding Material in Urban Area from Street View Images Using Deep Learning. J. Build. Eng. 2024, 96, 110466. [Google Scholar] [CrossRef]
  17. Imran, A.; Hulikal, M.S.; Gardi, H.A.A. Real Time American Sign Language Detection Using Yolo-V9. arXiv 2024, arXiv:2407.17950. [Google Scholar]
  18. Chen, W.; Huang, Z.; Mu, Q.; Sun, Y. PCB Defect Detection Method Based on Transformer-YOLO. IEEE Access 2022. [Google Scholar] [CrossRef]
  19. Wang, C.-Y.; Yeh, I.-H.; Mark Liao, H.-Y. Yolov9: Learning What You Want to Learn Using Programmable Gradient Information. In Proceedings of the European Conference on Computer Vision, Milan, Italy, 29 September–4 October 2024; Springer: Berlin/Heidelberg, Germany, 2025; pp. 1–21. [Google Scholar]
  20. Mei, J.; Zhu, W. BGF-YOLOv10: Small Object Detection Algorithm from Unmanned Aerial Vehicle Perspective Based on Improved YOLOv10. Sensors 2024, 24, 6911. [Google Scholar] [CrossRef]
  21. Sharma, A.; Kumar, V.; Longchamps, L. Comparative Performance of YOLOv8, YOLOv9, YOLOv10, YOLOv11 and Faster R-CNN Models for Detection of Multiple Weed Species. Smart Agric. Technol. 2024, 9, 100648. [Google Scholar] [CrossRef]
  22. Khan, A.; Rauf, Z.; Sohail, A.; Khan, A.R.; Asif, H.; Asif, A.; Farooq, U. A Survey of the Vision Transformers and Their CNN-Transformer Based Variants. Artif. Intell. Rev. 2023, 56, 2917–2970. [Google Scholar] [CrossRef]
  23. Bazi, Y.; Bashmal, L.; Rahhal, M.M.A.; Dayil, R.A.; Ajlan, N.A. Vision Transformers for Remote Sensing Image Classification. Remote Sens. 2021, 13, 516. [Google Scholar] [CrossRef]
  24. Ali, A.M.; Benjdira, B.; Koubaa, A.; El-Shafai, W.; Khan, Z.; Boulila, W. Vision Transformers in Image Restoration: A Survey. Sensors 2023, 23, 2385. [Google Scholar] [CrossRef]
  25. Baek, J.W.; Chung, K. Swin Transformer-Based Object Detection Model Using Explainable Meta-Learning Mining. Appl. Sci. 2023, 13, 3213. [Google Scholar] [CrossRef]
  26. Zhang, X.; Zhang, Y. Conv-PVT: A Fusion Architecture of Convolution and Pyramid Vision Transformer. Int. J. Mach. Learn. Cybern. 2023, 14, 2127–2136. [Google Scholar] [CrossRef]
  27. Meng, C.; Song, Y.; Ji, J.; Jia, Z.; Zhou, Z.; Gao, P.; Liu, S. Automatic Classification of Rural Building Characteristics Using Deep Learning Methods on Oblique Photography. Build. Simul. 2022, 15, 1161–1174. [Google Scholar] [CrossRef]
  28. Krizhevsky, A.; Sutskever, I.; Hinton, G.E. ImageNet Classification with Deep Convolutional Neural Networks. Adv. Neural Inf. Process. Syst. 2012, 60, 84–90. [Google Scholar] [CrossRef]
  29. Wang, N.; Zhao, X.; Zhao, P.; Zhang, Y.; Zou, Z.; Ou, J. Automatic Damage Detection of Historic Masonry Buildings Based on Mobile Deep Learning. Autom. Constr. 2019, 103, 53–66. [Google Scholar] [CrossRef]
  30. Van Rijn, J.N.; Hutter, F. An Empirical Study of Hyperparameter Importance across Datasets. In Proceedings of the CEUR Workshop Proceedings, Bangalore, India, 8–10 December 2017. [Google Scholar]
  31. Garbin, C.; Zhu, X.; Marques, O. Dropout vs. Batch Normalization: An Empirical Study of Their Impact to Deep Learning. Multimed. Tools Appl. 2020, 79, 12777–12815. [Google Scholar] [CrossRef]
  32. Liao, L.; Li, H.; Shang, W.; Ma, L. An Empirical Study of the Impact of Hyperparameter Tuning and Model Optimization on the Performance Properties of Deep Neural Networks. ACM Trans. Softw. Eng. Methodol. 2022, 31, 1–40. [Google Scholar] [CrossRef]
  33. Han, J.; Kim, J.; Kim, S.; Wang, S. Effectiveness of Image Augmentation Techniques on Detection of Building Characteristics from Street View Images Using Deep Learning. J. Constr. Eng. Manag. 2024, 150, 1–18. [Google Scholar] [CrossRef]
  34. Shorten, C.; Khoshgoftaar, T.M. A Survey on Image Data Augmentation for Deep Learning. J. Big Data 2019, 6, 60. [Google Scholar] [CrossRef]
  35. Kandel, I.; Castelli, M.; Manzoni, L. Brightness as an Augmentation Technique for Image Classification. Emerg. Sci. J. 2022, 6, 881–892. [Google Scholar] [CrossRef]
  36. Ottoni, A.L.C.; de Amorim, R.M.; Novo, M.S.; Costa, D.B. Tuning of Data Augmentation Hyperparameters in Deep Learning to Building Construction Image Classification with Small Datasets. Int. J. Mach. Learn. Cybern. 2023, 14, 171–186. [Google Scholar] [CrossRef]
  37. Wang, S.; Eum, I.; Park, S.; Kim, J. A Semi-Labelled Dataset for Fault Detection in Air Handling Units from a Large-Scale Office. Data Br. 2024, 57, 110956. [Google Scholar] [CrossRef]
  38. Wang, S.; Hae, H.; Kim, J. Development of Easily Accessible Electricity Consumption Model Using Open Data and GA-SVR. Energies 2018, 11, 373. [Google Scholar] [CrossRef]
  39. Chen, K.; Wang, J.; Pang, J.; Cao, Y.; Xiong, Y.; Li, X.; Sun, S.; Feng, W.; Liu, Z.; Xu, J.; et al. MMDetection: Open MMLab Detection Toolbox and Benchmark. arXiv 2019, arXiv:1906.07155. [Google Scholar]
Figure 1. Diagram of YOLOv10 framework.
Figure 1. Diagram of YOLOv10 framework.
Applsci 15 02320 g001
Figure 2. Structure of ViT.
Figure 2. Structure of ViT.
Applsci 15 02320 g002
Figure 3. Structure of Swin Transformer.
Figure 3. Structure of Swin Transformer.
Applsci 15 02320 g003
Figure 4. The structure of PVT.
Figure 4. The structure of PVT.
Applsci 15 02320 g004
Figure 5. Examples of original dataset from surveillance cameras.
Figure 5. Examples of original dataset from surveillance cameras.
Applsci 15 02320 g005
Figure 6. Examples of augmented images.
Figure 6. Examples of augmented images.
Applsci 15 02320 g006
Figure 7. Examples of annotation process for detecting the heavy equipment.
Figure 7. Examples of annotation process for detecting the heavy equipment.
Applsci 15 02320 g007
Figure 8. Training and validation loss graphs.
Figure 8. Training and validation loss graphs.
Applsci 15 02320 g008
Figure 9. Class-wise performance on test set.
Figure 9. Class-wise performance on test set.
Applsci 15 02320 g009
Figure 10. Sample images detected with 100% accuracy.
Figure 10. Sample images detected with 100% accuracy.
Applsci 15 02320 g010
Figure 11. Sample images detected with lower accuracy.
Figure 11. Sample images detected with lower accuracy.
Applsci 15 02320 g011
Table 1. The used augmentation techniques with parameters and their values.
Table 1. The used augmentation techniques with parameters and their values.
Augmentation TechniquesParametersRanges of Parameter Values
Brightnessβ[−50, 50]
Contrastα[0.3, 2.0]
Scaleα[0.3, 2.3]
Perspectivex, y[0.75, 1.25], [0.75, 1.25]
Rotation a 31 , a 32 [0.02, 0.17]
Shearing θ [−30°, 30°]
Table 2. Detailed distribution of datasets for construction equipment.
Table 2. Detailed distribution of datasets for construction equipment.
PurposeNumber of ImagesClass
LoaderDump TruckExcavatorRemiconCraneTotal
Training2840665193722439574036205
Augmentation17,040399011,62213,4585742241837,230
Validation9462214458324191432060
Test9462365118154201222104
Total21,772511214,51517,3487538308647,599
Table 3. Comparison results of model performances across different architectures under augmentation.
Table 3. Comparison results of model performances across different architectures under augmentation.
MetricsViTSwin TransformerPVT
RawAugGainRawAugGainRawAugGain
AP5085.3788.332.9686.7189.773.0685.6388.432.8
AP50:9561.3766.124.7562.5367.274.7461.4265.444.02
IOU78.7183.364.6579.2684.775.5178.8983.144.25
A P S 55.2962.016.7256.4563.627.1756.2261.024.8
A P M 82.3785.53.1382.6186.844.2382.4185.533.12
A P L 88.6591.372.7289.8292.722.989.1291.071.95
Table 4. Class-wise performance of augmented models using different architectures.
Table 4. Class-wise performance of augmented models using different architectures.
Architecture: ViT
ClassAP50AP50:95IOU A P S A P M A P L
Loader88.2465.4782.6361.0284.5290.82
Dump Truck90.1568.3985.2263.7788.5792.41
Excavator91.0369.4286.3565.9089.9293.51
Remicon84.7262.4980.1559.1181.2689.67
Crane87.5164.8182.4360.2583.2290.42
Average88.3366.1283.3662.0185.5091.37
Architecture: Swin Transformer
ClassAP50AP50:95IOU A P S A P M A P L
Loader89.7366.8183.7461.1086.7192.12
Dump Truck91.3469.4886.4265.2789.3794.52
Excavator92.4470.2287.6967.0190.5294.91
Remicon86.1463.9281.6061.2982.7190.27
Crane89.1865.9384.4063.4284.9191.77
Average89.7767.2784.7763.6286.8492.72
Architecture: PVT
ClassAP50AP50:95IOU A P S A P M A P L
Loader88.5265.9182.8460.9885.1291.07
Dump Truck89.8367.1384.5762.0188.0392.72
Excavator90.1668.0385.4263.9589.2493.10
Remicon85.9162.1080.5358.5581.7388.30
Crane87.7364.0482.3259.6083.5290.14
Average88.4365.4483.1461.0285.5391.07
Table 5. Statistics of inference time (FPS).
Table 5. Statistics of inference time (FPS).
ArchitectureMeanMin25%50%75%Max
ViT34.3343434.234.535
Swin Transformer35.4343435.535.836
PVT36.6343535.336.737
Table 6. Results of applying the trained model to test set.
Table 6. Results of applying the trained model to test set.
DetectorArchitectureAP50AP50:95IOU A P S A P M A P L FPS
Faster R-CNNResNet-10186.1363.2482.1158.2283.1590.4732
ResNet-15287.6764.8583.2759.1384.6491.1533
MobileNetv385.2462.0181.9457.7582.4189.8330
SSD500ResNet-10186.4462.9082.2958.4283.6490.8435
ResNet-15287.8864.1383.7158.9884.9691.3232
MobileNetv384.7261.2481.5756.9381.7489.1528
R-FCNResNet-10186.0363.1282.0358.0783.1390.2631
ResNet-15287.4264.5283.6259.0284.5290.9132
MobileNetv385.5762,4481.7357.6882.2389.5333
Proposed method89.7266.7184.8162.8486.3992.5335
Disclaimer/Publisher’s Note: The statements, opinions and data contained in all publications are solely those of the individual author(s) and contributor(s) and not of MDPI and/or the editor(s). MDPI and/or the editor(s) disclaim responsibility for any injury to people or property resulting from any ideas, methods, instructions or products referred to in the content.

Share and Cite

MDPI and ACS Style

Eum, I.; Kim, J.; Wang, S.; Kim, J. Heavy Equipment Detection on Construction Sites Using You Only Look Once (YOLO-Version 10) with Transformer Architectures. Appl. Sci. 2025, 15, 2320. https://doi.org/10.3390/app15052320

AMA Style

Eum I, Kim J, Wang S, Kim J. Heavy Equipment Detection on Construction Sites Using You Only Look Once (YOLO-Version 10) with Transformer Architectures. Applied Sciences. 2025; 15(5):2320. https://doi.org/10.3390/app15052320

Chicago/Turabian Style

Eum, Ikchul, Jaejun Kim, Seunghyeon Wang, and Juhyung Kim. 2025. "Heavy Equipment Detection on Construction Sites Using You Only Look Once (YOLO-Version 10) with Transformer Architectures" Applied Sciences 15, no. 5: 2320. https://doi.org/10.3390/app15052320

APA Style

Eum, I., Kim, J., Wang, S., & Kim, J. (2025). Heavy Equipment Detection on Construction Sites Using You Only Look Once (YOLO-Version 10) with Transformer Architectures. Applied Sciences, 15(5), 2320. https://doi.org/10.3390/app15052320

Note that from the first issue of 2016, this journal uses article numbers instead of page numbers. See further details here.

Article Metrics

Back to TopTop