Abstract
The whale optimization algorithm (WOA) is a swarm intelligence optimization algorithm developed by Mirjalili and Lewis in 2016 based on the foraging behavior of whales. Because of its simplicity and high efficiency, scholars have adopted this algorithm to address various problems in different disciplines. However, standard WOA has the problems of slow convergence speed, insufficient search accuracy, and limited ability to solve complex problems. In order to solve these problems, this paper proposes a multi-strategy hybrid whale algorithm (MHWOA). Firstly, the calculation speed is accelerated by modifying the parameters; then, the accuracy of the algorithm is improved by incorporating the scatter search strategy; finally, the simulated annealing algorithm is integrated to improve its ability to solve complex problems. The performance differences between MHWOA, the baseline algorithm, and the improved WOA algorithm are compared using the CEC2017 test suite and three real-world engineering problems. In the comparison of processing results of various problems, the calculation accuracy of MHWOA is improved by no less than 1.96%, the calculation error is reduced by no less than 1.83%, and the execution time is improved by no less than 5.6%. In the CNN-MHWOA-based time series electricity load forecasting problem, MHWOA shows the advantages of reduced error and improved fitting degree with the true value compared with the standard WOA.
1. Introduction
In solving practical problems, finding the optimal solution for a specific problem within a reasonable timeframe is required, particularly under highly complex constraint conditions [1]. Intelligent algorithms are typically employed to tackle such optimization problems [2]. In previous research, scholars commonly used traditional algorithms to solve optimization problems before the emergence of metaheuristic algorithms [3,4,5], such as backtracking and best-first search strategy [6]. Traditional algorithms start to seek an initiate solution through a single location, and the global optimal is searched by the method of gradient descent through iterations, enumeration method, dynamic programming, branch bound method, etc. [7]. The limitation of such algorithms is that they have finite relevance and constrained complexity, and they are commonly applied in problems related to localization [8], economic optimization [9], structural optimization [10], and engineering design [11]. However, traditional algorithms often face problems of high algorithm complexity, high time complexity, or large dependence on data. In order to solve this problem, researchers have developed metaheuristic algorithms based on traditional algorithms.
Metaheuristic algorithms can be divided into three types: evolutionary, physics-based, and swarm-based methods [12]. Among them, the swarm intelligence algorithm is a more widely used and developed algorithm type. Whale optimization algorithm (WOA) is a swarm intelligence optimization algorithm developed by Mirjalili and Lewis in 2016. The advantage of WOA is that its algorithm structure is simple, and compared with most swarm intelligence algorithms, WOA contains fewer parameters. This makes it more computationally convenient. In terms of processing problems, the range of dimensions that WOA can map is unlimited, and it has multidimensional decision boundaries. This also shows that WOA can be easily applied to handle high-dimensional complex problems [13]. Due to its superiority, WOA has been improved by researchers, employing different techniques to enhance its performance. Conversely, WOA also has some drawbacks. Since most of the parameters of WOA depend on random numbers in the process of participating in the iteration, it is easy to cause the problem of low solution accuracy and insufficient stability in the calculation of WOA. In addition, there is no appropriate evolutionary mechanism in the search strategy of WOA to drive individuals to update, which makes it easy for the population to fall into local optimum [14]. The current improvements of WOA can be summarized into three categories: variant-based WOA, enhancement-based WOA, and hybrid-based WOA, as shown in Figure 1.
Figure 1.
WOA improvement types [15,16,17,18,19,20,21,22,23,24,25,26,27,28,29,30,31,32,33,34,35,36,37].
On the modification of the variant WOA, Reddy et al. [15] proposed the binary whale optimization algorithm (BWO). By combining binary and WOA, the complex profit problem of a power company is calculated. This provides a reference for the application of WOA to computationally complex problems. Wu et al. [16] proposed memetic fuzzy whale optimization (MFWO). By combining fuzzy clustering and WOA, WOA is suitable for medical image processing. Kumawat et al. [17] proposed multi-objective whale optimization to apply WOA in the field of multi-objective optimization. The above improvements apply WOA to different domains and problems; such improvements are good at computing a specific class of problems. These improvements are usually specific to a particular problem, and the WOA is specialized to solve the problem. Their accuracy is relatively high when solving a specific problem, but due to the limitations of their nature, this kind of improvement cannot be widely applied to other problems.
On the modification of the enhanced WOA, Kaur et al. [18] proposed a chaotic whale optimization algorithm (CWOA), which adjusted the parameters of WOA by chaotic mapping to make the convergence speed of the algorithm faster. Ling et al. [19] recomposed WOA by incorporating Levy flight trajectories to enhance population diversity and avoid premature convergence. Geng et al. [20] combined chaotic opposition-based learning and sparrow search strategies to improve WOA. This kind of algorithm combines an evolutionary algorithm and WOA to improve the accuracy and speed of calculation. These kinds of improvements improve the calculation accuracy over the base WOA. Calculation accuracy refers to how close an algorithm is to the optimal solution when calculating the CEC test function. If the optimal solution is reached, it can be considered that the algorithm has high calculation precision and no error. The calculation error refers to the difference between the calculation result of the algorithm and the actual optimal value of the test function. Accuracy and error are related to the solution values [19]. However, since the computational complexity and time complexity of the strategies applied by the enhanced improvements are generally high, their computation time is generally long
In the aspect of hybrid WOA improvement, researchers usually adopt three methods to crossbreed WOA with other algorithms. The first is the combination of WOA and an artificial neural network (ANN). Researchers trained ANNs using WOA in order to solve practical prediction problems. Nikoo et al. [21] introduced an algorithm that combines artificial neural networks with WOA to calculate wood building cycles. Sohrabi et al. [22] applied ANN-WOA model in forecasting WTI oil prices and proposed that variables with high correlation could be used in the forecasting process to improve the accuracy of forecasting. Haghnegahdar et al. [23] used WOA to initialize ANN, further adjusted the weight vector of ANN to make the prediction error smaller, and, finally, applied it to intrusion detection of the smart grid. The second category is the combination of support vector machine (SVM) and WOA, which is also suitable for the prediction of practical problems. Nguyen et al. [24] combined WOA, SVM, and kernel functions to propose a distance estimation model for blasting flying stones of an open-pit platform. Compared with the combination of ANN, the prediction results of SVM are more accurate. Zhou et al. [25] used WOA to classify the machine learning model of SVM on this basis and then applied it to predict the deformation generated in the process of tunnel excavation. The third improvement is to combine WOA with other standard swarm intelligence algorithms, which are called metaheuristics. This kind of improvement is characterized by changing the original search strategy of WOA through hybrid metaheuristic algorithms so as to achieve the purpose of improving the exploration and exploitation performance of WOA. Laskar et al. [26] proposed a hybrid whale-PSO algorithm (HWPSO). By combining particle swarm optimization (PSO) and WOA, PSO can better escape from the local optimum. At the same time, we also consider some advanced improvements of PSO. Vilmar avoids the algorithm entering local optimal by using the Nelder–Mead simplex search method. This method is also useful when combined with the WOA algorithm [27]. Xu et al. [28] proposed a memetic algorithm combined with WOA (MWOA) to balance the development and exploration parts of WOA. Mafarja et al. [29] proposed a simulated annealing WOA (WOA-SA) to improve the solution accuracy of WOA. Such improvements are usually generated by structural fusion with different algorithms, thus changing the original simple structure of WOA to a large extent and making it more complex. The fusion of structures also easily leads to an increase in computing time and the lack of stability of the algorithm.
In summary, the above improvements for WOA are very good. However, the application scope of improved WOA based on variant is often limited and does not have universality. Enhanced WOA is usually combined with evolutionary algorithms, which increases the complexity of the algorithm and is not easy to implement. However, hybrid WOA usually tends to be combined with other swarm intelligence algorithms or artificial neural networks, which makes it easy to destroy the computational structure of WOA and make the structure of WOA complicated. Therefore, based on the above limitations, it is particularly important to propose an improvement that can not only be applied to solve most problems but also improve the solution accuracy and solution speed of WOA while retaining the original simple structure of WOA. Inspired by the above improvements, this paper adopts a hybrid evolutionary algorithm and improvement strategy to further improve the ability of WOA to escape from local optima. At the same time, by modifying the parameters, the precision and speed of the solution are further improved. In this paper, the original simple structure of WOA is retained as much as possible in the improvement process to improve its realizability so that the algorithm can be more easily applied in different scenarios.
The rest of this paper will be divided into three parts to analyze MHWOA. First, we introduce the WOA algorithm and improve WOA by parameter modification strategy, deflection and decentralized search strategy, and simulated annealing strategy. The accuracy, iteration speed, and calculation error of MHWOA are tested by 20 CEC test functions and compared with similar algorithms. Secondly, the performance comparison and analysis of MHWOA with the standard swarm intelligence algorithm and the improved swarm intelligence algorithm are introduced, and MHWOA is applied to practical engineering problems. Finally, the conclusion and the prospect of the future are proposed.
2. Whale Optimization Algorithm
Compared with existing algorithms, WOA demonstrates superior performance [19]. The position of each whale represents each solution. During the optimization process, the whales attempt to reach a new position between the upper and lower bound, which is regarded as the optimal position. The whales employ two mechanisms to locate and attack prey. The first method involves surrounding the prey, while the second method is known as bubble-net hunting. During the optimization process, the whales search for prey and explore the search space.
2.1. Search for Prey
In swarm intelligence, prey means the best-known solution, and the process of finding prey is the process of finding the best-known solution [38]. The main purpose of this step is to find the global optimal position. During iteration, a random solution of is first generated as before further iterations are made. In this process, the whale will randomly choose a new position instead of the old one to complete the position update. By constantly updating the position in the early stage, it can jump out of the local optimum. The next solution is represented by . The process can be expressed as follows:
where represents a current solution, is a randomly selected whale position vector, t represents the current number of iterations, and represents the interval between the whale and the prey. is the determining parameter of development and exploration behavior and is the distance between the current position and the target position.
The equation for calculating the vectors and is as follows:
where is a parameter that linearly decreases from 2 to 0 as the iteration value increases, and r1 and r2 are random numbers between 0 and 1.
2.2. Encirclement of Prey
The encircling prey strategy is the exploitation stage of WOA [19]. In this phase, the whales make position updates based on the distance between each other’s positions. At this time, the solution range will be further narrowed for better optimization. The equations for updating the location are as follows:
where denotes the best position vector so far. It is worth noting that represents the solution based on the number of iterations so far, and represents the best solution to date.
2.3. Spiral Bubble-Net Attack Patterns
Its mathematical representation of the spiral bubble encircling prey strategy used by whales in WOA is as follows:
where u represents a constant that determines the shape of the logarithmic spiral path. The variable l is a random number calculated using the following formula:
where is linearly decreasing from (−1) to (−2), and is a random number in the range [0, 1].
The selection between the development and exploration stages in WOA is defined by the parameter A. If |A| ≥ 1, the exploration stage is chosen, and Equation (2) is used for global search. Otherwise, the exploitation stage is chosen by using either Equation (6) or Equation (7). The choice between Equation (6) and Equation (7) depends on the probability value α, with α being compared with a fixed threshold of 0.5. Depending on the outcome, the search process moves between the encircling prey or bubble-net feeding. This characteristic can be mathematically represented as follows:
where α represents the probability of the feeding mechanism and takes random values within the range of [0, 1].
3. Multi-Strategy Hybrid Improved Whale Optimization Algorithm
From the above discussion of various WOA variants, it is evident that several techniques have been employed to modify the classical WOA algorithm. These improvements are mostly aimed at handling complex structures and addressing higher computational complexity, which motivates the development of a simplified variant of WOA in this study. The proposed approach aims to modify WOA while preserving its fundamental structure. Therefore, this section improves the standard WOA simultaneously through three modifications to improve performance.
3.1. Modification Based on Parameters
The standard WOA algorithm has been improved in three different aspects within the vector section. Firstly, the complexity of the algorithm is reduced by modifying the parameter that controls the search space for prey. Secondly, the exploration and exploitation phases are selected randomly, depending on the parameter a in WOA. For this strategy, we propose a new vector b that linearly decreases from 1 to 0. It will be compared with a random number. The algorithm enters the exploration phase when the value of b is larger than a random number. Otherwise, it enters the exploitation phase. Thirdly, the concept of a random whale entry into the search space is introduced to reduce computational burden by eliminating the distance calculation between solutions and random solutions during the solution update process. This concept is executed by Equation (11).
is a random variable in the interval [0, 1].
The vectors A and C play a crucial role in the search process of WOA. The vector A decreases linearly from 2 to 0, while C is a random number. The functions of vectors A and C are primarily to control the extent of search space expansion and the search precision. A determines the size of the search range around the current best solution, with a larger value indicating a broader search range. On the other hand, C influences the step size of searching in each dimension, with a smaller value leading to higher search precision.
Since the vector A takes part in most of the search procedure, we consider restricting its range of values to the compact space [−1, 1]. This can make the search area of the algorithm more dense so that it is easier to find the optimal solution. Additionally, the a factor is replaced by the b factor in calculations. In this case, the formula for calculating changes from Equation (3) to Equation (12). At the same time, in order to reduce the influence of the randomness of parameter C, the later iteration of the algorithm cannot be more accurate. We introduce vector b to compute a vector C such that it goes from completely random to linearly decreasing. The calculation of C is derived from Equation (4) to Equation (13).
[0, 1] is the range of the vector.
In addition, during the bubble-net hunting phase, the parameter l controls the range of spiral contraction. In the traditional WOA, the parameter l is a uniformly distributed random number within the range [0, 1]. This can lead to insufficient contraction range in the later iterations due to random reasons, thereby preventing more precise localization of the optimal solution. To address this issue, Equation (14) introduces an iteration-constrained contraction range for parameter l. In the early iterations, the contraction range and speed of l are smaller, allowing the algorithm to better escape from local optima. As the algorithm progresses, the contraction range will increase, and the contraction speed will accelerate. By incorporating the iteration-constrained contraction range, the algorithm can strike a balance between exploration and exploitation, ensuring a more effective and efficient search for the optimal solution. At this point, the formula for calculating l changes from Equation (9) to Equation (14).
In the exploration and exploitation phases of the original WOA, if |A| < 1, each whale gradually surrounds the current optimal solution, which corresponds to the local search phase in WOA. However, this approach faces a challenge: if the algorithm fails to explore the region near the optimal solution through global search in the early stages, it becomes increasingly difficult for the algorithm to escape from local search in the later stages. This can result in lower overall convergence consistency and a higher likelihood of getting trapped in local optima.
To address this issue, an improvement has been made to WOA by introducing a modification in the selection of exploration and exploitation. The choice between exploration and exploitation is now determined by the value of parameter b. According to this principle, the algorithm will generate a random number in the range [0, 1]. The local search is chosen when < random; otherwise, global search is selected. This modification helps enhance the algorithm’s global search capability to a certain extent.
In the improved algorithm’s exploitation phase, a random inertia weight is introduced to modify the surrounding prey strategy and bubble-net attacking strategy. We used the inertial weight strategy of PSO for reference, but the calculation process of the inertia weight of PSO is complicated, which will increase the calculation time, so we simplified it. The global and local search strategies of WOA can be better adjusted by adjusting the weight control [39]. The modified equations are given in Equations (15)–(17). The introduction of the inertia weight helps adjust the search space and utilize the current optimal solution. When the weight is applied in the surrounding prey phase, it is responsible for randomly weakening the influence of vector A and vector D, thus adjusting the search space to some extent. Aiming to weaken the influence of the current solution on the search space and avoid local optima, the intervention of the weight can effectively regulate the current best value. In this case, the calculation Equation (6) becomes Equation (16), and the calculation Equation (7) becomes Equation (17).
control the weight of the iteration behavior.
3.2. Deflection and Decentralized Search Strategies
The individuals in the swarm-based search algorithm possess three attributes: position, angle, and direction. As shown in Figure 2, it is assumed that the front represents the current forward direction of an individual, while the left and right represent the directions after randomly turning an angle r to the left or right, which can be expressed by Equation (18).
where represents the current position of an individual, is a random number following the standard normal distribution, is a random number that is uniformly distributed in the interval [0, 1], denotes the maximum search step length, and represents the maximum turning angle. represents a direction vector, controlled by a Gaussian distribution, . If these three positions are better than the previous position, the individual moves to the best among the three positions; otherwise, it remains stationary.
Figure 2.
Position deflection diagram.
Based on the modified parameters, to further enhance the search efficiency and convergence of WOA, this study introduces a new dispersal search strategy. In order to expand the search range of WOA, the improved WOA employs a central deflection and random perturbation strategy for the first 60% of the population. For cases where the random value is less than 0.9, the new position will be updated based on a certain deflection coefficient applied to the current position’s forward path, as shown in Equation (19).
where k represents the search deflection coefficient; in this case, the value of k is the linear increase in [0.5, 2].
For the remaining cases where the random value exceeds the threshold, the new position undergoes a random perturbation around the current best individual, thereby increasing the search diversity and enhancing the algorithm’s global search capability, as shown in Equation (20).
where S denotes a constant. To balance development and exploration, it takes a value of 0.5. N indicates the current iteration population.
3.3. Simulate Annealing Strategy
Simulated annealing (SA) is a classical evolutionary algorithm. Its core lies in applying the idea of material annealing in metallurgy to the optimization problem. SA has good performance in solving numerous problems.
It consists of three main parts. Firstly, the distribution position of molecules is initialized through the heating stage, and the thermal motion is used to make them appear irregular in distribution so as to enhance the randomness of the search. Then the molecule enters the isothermal phase, and through the exchange of heat with the external environment, its trajectory will gradually tend to the equilibrium state. Finally, there is the cooling stage where the molecular motion begins to weaken and gradually plateau due to the decrease in temperature.
The overall principle of SA is to reflect the optimization results in the form of energy changes, and its ultimate purpose is to find the position with the lowest energy. In this process, the algorithm needs to be initialized by warming up, and then the Metropolis sampling process is simulated by the isothermal stage. This criterion is the key to the optimization of the algorithm, and the solution is jumped by a certain probability in order to escape from the local optimum.
As shown in Figure 3, let us assume the initial state is at point A. With the iteration, the algorithm updates to the local optimum at point B. If it is observed that the energy at point B is lower than at point A, it indicates that we are approaching the optimal solution. Therefore, the transition to point B is accepted with a probability of 100%. However, after reaching point B, if the energy increases in the next step, unlike in gradient descent where further progression is not allowed, in SA, there is a probability of escaping from this local optimum. This probability depends on various factors, including the current state and energy.
Figure 3.
A diagram of the simulated annealing algorithm solution.
Consider a system with the previous state . Based on either gradient descent or the energy criterion discussed earlier, the system transitions to a new state . Correspondingly, the system’s energy changes from to . The acceptance probability P, by which the system transitions from to , can be expressed using Equation (21).
It can be seen from Equation (21) that in the case of energy reduction, the system is still searching for the global optimum, and this new better solution can be accepted with 100% probability. On the contrary, the system does not immediately discard the worse solution when the energy increases but decides whether to adopt the worse solution by judging whether the random parameter is less than P. If it is less than P, it will be accepted; otherwise, it will be rejected. In this case, belongs to [0, 1].
The value of P is determined by the change in energy and the parameter T. Therefore, it is a dynamic value, reflecting the current optimization phase of the algorithm and the temperature parameter.
By reason of the foregoing, we insert the simulated annealing strategy into the iterative strategy of WOA to improve its optimization ability. After updating the position of each individual, the algorithm calculates the distance between solutions, as shown in Equation (22), and the decisions based on this value are intended for a minimization algorithm. If the difference is less than 0, it indicates that the new solution is better than the old one, so the new solution is directly adopted. If the difference is greater than or equal to 0, it means that the new solution is worse than the old one. In this case, a Boltzmann distribution is used to determine whether to accept the new solution, as expressed in Equation (23).
The purpose of this process is to avoid the algorithm from getting trapped in local optima and to search for better solutions as much as possible.
where represents the difference between the new fitness value and the old fitness value, T denotes the current temperature, and rand represents a random number in the range [0, 1].
To accommodate both fine and fast search purposes, we adopt the most common geometric annealing pattern, as shown in Formula (24).
represents the temperature after annealing, represents the annealing coefficient, and the value is 0.85.
The pseudocode of the MHWOA model is presented in Algorithm 1.
| Algorithm 1 The pseudocode of the MHWOA model |
| Input: N,D,Max_Iter Output: Optimal Fitness Value Initialize the population for Iter = 1:T for i = 1:N Calculating the coefficient parameters A using Equation (12) Calculating the coefficient parameters C using Equation (13) Calculating the coefficient parameters w using Equation (15) Calculating the coefficient parameters l using Equation (14) if (i ≤ p*N) if (rand < 0.9) Update the position of the current search agent using Equation (19) else Update the position of the current search agent using Equation (20) End else if (rand < b) Update the position of the current search agent using Equation (11) else if(rand ≥ 0.5) Update the position of the current search agent using Equation (16) else Update the position of the current search agent using Equation (17) End End End Check if the agent is out of the search boundary and correct it Calculate the fitness value for all search agents Calculate delta_cost by the Equation (22) if (delta_cost < 0) Calculate the Boltzmann distribution using Equation (23) if (Boltzmann distribution > rand) Update the current position as X(t) else Update the current position as X(t + 1) End End Calculate the fitness of each search agent Iter = Iter + 1 Update the parameters T_SA End Return the best position and optimal fitness value calculated at this time |
3.4. Complexity of the Calculation
The calculation steps and complexity of the MHWOA algorithm are as follows:
- (1)
- Initialize the whale population, which has a complexity of O(NP), where NP is the total population size.
- (2)
- Evaluate the fitness of the initial population, which has a complexity of O(NP).
- (3)
- Sort the population and determine the solutions, which has a complexity of O(NP2).
- (4)
- Iterate the process of updating the population and evaluating fitness, which has a complexity of O(2NP) per iteration.
- (5)
- During the iterations, sort the population and determine the best solution, which has a complexity of O(NP2).
Therefore, the total time complexity of the MHWOA algorithm is as follows:
The computational complexity of MHWOA is consistent with the standard WOA, which indicates that the improvement does not further increase the computational complexity and maintains its original structure.
4. Simulation Experiments and Comparative Analysis
In order to evaluate the excellent performance of MHWOA, this section uses the CEC test set to compare the convergence speed, accuracy, and stability of the algorithm, and then uses three actual engineering problems to compare the performance of the algorithm to solve the problem. Finally, MHWOA is applied to the convolutional neural network to test its ability to predict practical problems so as to further reflect its excellence.
4.1. Experimental Settings
To comprehensively evaluate the performance of the MHWOA algorithm, this paper combines internationally recognized benchmark test functions with the CEC2017 test suite to form a comprehensive test set. The test set includes functions from four categories: unimodal, multimodal, hybrid functions, and composition functions. All functions are tested in a 30-dimensional space. The aim is to assess the algorithm’s accuracy and speed.
Five popular and recent basic swarm intelligence algorithms, including Beluga whale optimizer (BWO), golden jakal optimizer (GJO), rat swarm optimizer (RSO), snake optimizer (SO), whale algorithm (WOA), and three improved whale optimization algorithms such as multi-strategy whale algorithm (MSWOA), mixed whale algorithm (MWOA), and enhance whale algorithm (eWOA) are compared against MHWOA on the test set. Each algorithm is independently run 30 times on each test function, and the evaluation metrics are recorded, including the mean, standard deviation, and CPU time. The population size is set uniformly to 50, and the number of iterations for calculating the fitness function is set to 5000.
To visually demonstrate the performance differences between algorithms, a popular nonparametric statistical test called the Friedman test is employed. This test ranks the average performance of each algorithm and presents the final rankings. Additionally, Wilcoxon rank-sum tests are conducted to analyze the independent experimental results.
The experiments are conducted on a Windows 10 64-bit operating system with MATLAB R2020A, an Intel(R) Core CPU (i5-12400F 2.5 GHz), and 16 GB RAM. Table 1 describes the basic parameters of the standard swarm intelligence algorithm and the improved swarm intelligence algorithm, which follow the parameters used in their testing to ensure fairness. The basic parameters of each algorithm refer to the parameters used in the comparison test of the original algorithm in their respective papers to make a more fair comparison. The specific sources of the parameters are indicated in Table 1 based on the references for each algorithm.
Table 1.
Basic parameters of standard swarm intelligence algorithm and improved swarm intelligence algorithm.
4.2. An Introduction to Test Functions
The comprehensive test set consists of 20 test functions as shown in Table 2. It includes five high-dimensional unimodal functions (F1~F3, F6~F7), five high-dimensional multimodal functions (F4~F5, F8~F10), seven high-dimensional hybrid functions (F11~F17), and three composition functions (F18~F20). The high-dimensional unimodal and multimodal functions combine classical test functions with offset and rotation functions to comprehensively evaluate the algorithm’s local convergence capability, calculation speed, and accuracy. They also assess the algorithm’s ability to perform global optimal search and avoid local optima.
Table 2.
Introduction of about 20 test functions.
4.3. Experimental Results and Analysis
The test results of MHWOA and standard swarm intelligence algorithms are shown in Table 3. The numbers specifically labeled in bold represent the optimal terms in each set of test data. In Table 3, Mean represents the average value of the optimal solution obtained from 30 tests of each algorithm, Std represents the standard deviation of 30 tests, and Time represents the average value of 30 times of calculation time. The calculations used were based on data from 30 separate tests.
Table 3.
Test results of MHWOA and standard swarm intelligence algorithms on test functions.
From the results in Table 3, it can be observed that MHWOA demonstrates significant competitiveness and stability when compared with the standard swarm intelligence algorithms across all tested functions. In the tests of unimodal and multimodal functions, MHWOA shows the lowest mean and standard deviation values. In the test for function F4, MHWOA and RSO are tied for first place. In the test for function F5, MHWOA, RSO, GJO, and WOA are tied for first place. In the test for function F10, RSO has the smallest standard deviation, with MHWOA following closely behind. In the tests for hybrid functions and composition functions, MHWOA consistently achieves the best mean and standard deviation evaluations. Since MHWOA can achieve the optimal value when dealing with unimodal functions F1 to F5, it is not comparable. In addition, when dealing with multimodal functions, the calculation accuracy of MHWOA is improved by no less than 1.96% and the calculation error is reduced by no less than 28.52% compared with other algorithms in extreme cases. When dealing with hybrid functions, in extreme cases, the calculation accuracy of MHWOA is improved by no less than 4.12% compared with other algorithms, and the calculation error is reduced by no less than 1.83%. When dealing with composition functions, the calculation accuracy of MHWOA is improved by no less than 45.23% compared with other algorithms in extreme cases, and the calculation error is reduced by no less than 900%. According to the Friedman test, MHWOA has an average rank of 1.55 and a final rank of the first place, followed by WOA.
In terms of computational cost, when dealing with unimodal functions, MHWOA achieves a speedup of 6.28 times compared with BWO, 5.03 times compared with GJO, 34.68% compared with RSO, 47.44% compared with WOA, and it is 11.66% slower compared with SO. When dealing with multimodal functions, MHWOA achieves a speedup of 5.97 times compared with BWO, 4.91 times compared with GJO, 30.37% compared with RSO, 37.85% compared with WOA, and it is 7.33% slower compared with SO. When dealing with hybrid functions, MHWOA achieves a speedup of 5.34 times compared with BWO, 4.16 times compared with GJO, 12.45% compared with RSO, 31.59% compared with WOA, and it is 6.22% slower compared with SO. When dealing with composition functions, MHWOA achieves a speedup of 3.65 times compared with BWO, 2.37 times compared with GJO, 5.6% compared with RSO, 46.68% compared with WOA, and it is 1.96% slower compared with SO. Overall, in most functions, MHWOA’s computation time is only second to SO, but it shows a significant improvement compared with WOA. In handling increasingly difficult problems across the four categories, the time difference between MHWOA and SO gradually decreases, and MHWOA still demonstrates a significant advantage over other algorithms in tackling complex problems. This further highlights the superiority of MHWOA in handling challenging problems.
The convergence curve can show the convergence trajectory of the algorithm and visually observe its accuracy. Figure 4 shows the convergence trajectory comparison of MHWOA and other standard swarm intelligence algorithms and visually compares their accuracy. The error of the Y-axis represents the difference between the optimal solution calculated by different algorithms and the actual optimal solution of the function. These values are the average iteration curve derived from the average of the iterative processes in all 30 runs. Among them, MHWOA achieves the best convergence accuracy in the test functions and its convergence speed is also among the top algorithms. Particularly, MHWOA demonstrates outstanding performance during the phase of escaping local optima. It can be seen from the comparison figure that the final position reached by MHWOA is always at the lowest point of multiple algorithms, which means that MHWOA has the smallest calculation error and the highest calculation accuracy in all tests. Meanwhile, when solving low-complexity problems such as F1 and F2, the convergence speed of RSO and SO is faster than that of MHWOA, which is caused by the algorithm structure, and MHWOA is more suitable for solving relatively complex problem types. Starting from F6, it can be found that MHWOA has a faster convergence speed than other algorithms, and the optimal solution can be found at an earlier iteration number in general. In some problems, such as F7, F14, F17, and F20, MHWOA can avoid the algorithm falling into the local optimum and missing the optimal solution due to premature convergence.

Figure 4.
Visual views of the comparison of MHWOA and standard swarm intelligence algorithms convergence cases.
The test results of MHWOA and the improved WOA are presented in Table 4. The numbers specifically labeled in bold represent the optimal terms in each set of test data. From Table 4, it can be observed that in the tests on single-peak and multi-peak functions, MHWOA and the improved swarm intelligence algorithm both achieve the optimal values in F1, F2, F4, and F5, with their standard deviations ranking first. In the remaining test functions, MHWOA demonstrates the best performance in terms of both mean and standard deviation. In the tests on hybrid functions and composition functions, MHWOA still outperforms other algorithms significantly. MHWOA and most of the compared algorithms can achieve the optimal value in terms of both numerical value and standard deviation when dealing with unimodal functions F1 to F5, so they are not comparable. In addition, when dealing with multimodal functions, the calculation accuracy of MHWOA is improved by no less than 3.26% and the calculation error is reduced by no less than 12.85% compared with other algorithms in extreme cases. When dealing with hybrid functions, in extreme cases, the calculation accuracy of MHWOA is improved by no less than 42.66% compared with other algorithms, and the calculation error is reduced by no less than 101%. When dealing with composition functions, the calculation accuracy of MHWOA is improved by no less than 28.6% compared with other algorithms in extreme cases and the calculation error is reduced by no less than 381%. In the Friedman test, MHWOA has an average ranking of 1.2166 and a final ranking of being first, followed by eWOA.
Table 4.
Data comparison of MHWOA and the improved WOA on the test function.
In terms of computational cost, when dealing with single-peak functions, MHWOA improves the computational speed by 1.66 times compared with MSWOA, 3.66 times compared with MWOA, and 1.31 times compared with eWOA. When handling multi-peak functions, MHWOA achieves a computational speed improvement of 85.47% compared with MSWOA, 34.64% compared with MWOA, and 24.24% compared with eWOA. For hybrid functions, MHWOA achieves a computational speed improvement of 78.79% compared with MSWOA, 29.54% compared with MWOA, and 17.44% compared with eWOA. When dealing with composition functions, MHWOA achieves a computational speed improvement of 65.62% compared with MSWOA, 16.39% compared with MWOA, and 9.18% compared with eWOA.
The visual comparison of test runs between MHWOA and improved WOA is shown in Figure 5. It can be intuitively seen that MHWOA has good convergence compared with other algorithms. In the tests on single-peak and multi-peak functions (F1~F5), MHWOA shows a relatively slower convergence speed, ranking third. However, in the tests on hybrid functions and composition functions, MHWOA outperforms other algorithms significantly in both search accuracy and convergence speed, highlighting its superiority in solving high-dimensional complex problems. Additionally, MHWOA demonstrates good performance in avoiding local optima. The convergence accuracy of MHWOA is always lower than that of the other algorithms in all convergence graphs, and the calculated error is the smallest. However, when solving high-complexity problems such as F14 to F20, MHWOA can not only maintain the minimum error but also further converge to prevent local optima, while other algorithms have stopped searching and are trapped in local optima.


Figure 5.
Visual views of the comparison of convergence cases.
4.4. Algorithms Stability Tests and Analysis
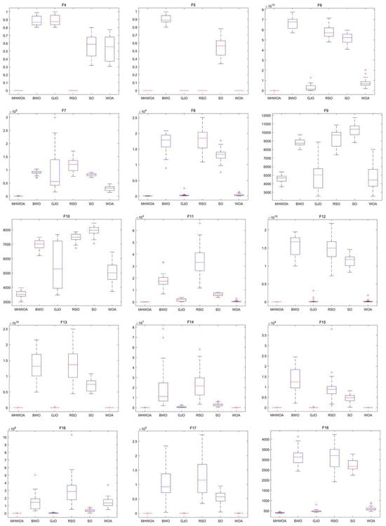
The stability of the algorithm determines the randomness of the calculation, so this study uses box plots to visually analyze the stability of MHWOA. The box plots contain independent tests of each algorithm with 30 runs of each function.
The box plots resulting from the tests are shown in Figure 6 to visually compare them horizontally and vertically. MHWOA shows significant stability and excellent performance. For most test functions, its lower whiskers, lower quartile, upper quartile, upper whiskers, and median are always lower than other algorithms, which indicates that the results obtained by MHWOA in multiple tests are stable and will not fluctuate too much, which is robust. Only in the case of the F9 test function, the lower whisker of MHWOA is higher than that of GJO and WOA. In the overall test, only MHWOA demonstrates the most stable distribution of values, while other baseline algorithms exhibit noticeable fluctuations.


Figure 6.
The stability of the box can be compared with that of the standard algorithm.
According to Figure 7, we make a horizontal comparison between MHWOA and the improved WOA, and it can be found that MHWOA is closer to the 0 axis than other algorithms in all tests, and all data of the box are optimal in the algorithm. However, in the longitudinal comparison, although MHWOA has large fluctuations in the test functions F3, F9, and F10, the overall fluctuations are still smaller than those of the other algorithms.

Figure 7.
Box line visual views of the stability comparison.
4.5. Wilcoxon’s Rank-Sum Test Analysis
In many studies, researchers are accustomed to using Wilcoxon’s rank-sum test to evaluate the performance difference between algorithms. In this paper, MHWOA is used as the benchmark, and the significance level is set at 5%. The data are from 30 independent runs of each algorithm, and if the p-value of Wilcoxon’s rank sum test is less than 5%, the statistical difference between MHWOA and this swarm intelligence algorithm is indicated.
The results of Wilcoxon’s rank-sum test between MHWOA and the standard swarm intelligence algorithm are presented in Table 5 where the bold values indicate those greater than 5%. From Table 5, it can be observed that there is no significant difference between MHWOA and RSO or WOA in the computation of F10. Similarly, no significant difference is found between MHWOA and WOA in the computation of F15 and F20. However, MHWOA exhibits a significant difference from RSO and SO in the computation of F18. In the computation of other functions, MHWOA shows significant differences from the other algorithms.
Table 5.
Calculating the resulting p-value based on Wilcoxon’s rank-sum test for MHWOA and standard algorithm.
Wilcoxon’s rank-sum test between MHWOA and the other comparison objects provides the p-values as shown in Table 6. It can be observed that there is no significant difference between MHWOA and MWOA in the computation of F15. Similarly, no significant difference is found between MHWOA and eWOA in the computation of F18. However, in the computation of other functions, MHWOA demonstrates significant differences compared with the other algorithms in terms of search accuracy.
Table 6.
Calculating the resulting p-value based on Wilcoxon’s rank-sum test for MHWOA and WOA variant.
In order to further verify the excellence of the algorithm, MHWOA needs to be compared with other variants of the algorithm. Since variant-type algorithms usually have better performance, it is not easy to highlight the computational differences between algorithms when solving the problems of the CEC2017 test set. Therefore, this section selects the more complex CEC2022 test set to test the algorithm so as to highlight the excellence of the algorithm and the timeliness of adapting to new problems. The CEC2022 optimization function test set has a total of 12 single-objective test functions with boundary constraints, which are as follows: unimodal function (F1), multimodal function (F2–F5), mixed function (F6–F8) and combined function (F9–F12). The test dimensions are as follows: 2, 10, and 20 dimensions. All the test functions solve minimization problems. Table 7 shows all the test functions of CEC2022.
Table 7.
CEC2022 test functions.
For the test of the algorithm, this paper selects four newer and more advanced variants of swarm intelligence algorithms to compare with MHWOA. They are adaptive bat algorithm (ABA) [48], improved grey wolf optimization algorithm (IGWO) [49], chaotic sine cosine firefly algorithm (CSCFA) [50], and novel particle swarm optimization (PSO-sono) [51]. These algorithms have good performance in solving the optimal problem. The following tests are the mean of 30 runs, for a dimension of 10 and a dimension of 20.
Table 8 shows the mean, standard deviation, and comprehensive ranking of each algorithm obtained from 30 runs with dimension 10 where the bold part is the optimal value in each piece of data. In the comparison test, MHWOA performs better on F1 to F5, F7 to F10, and F12 test functions, which is reflected in that the average value obtained is closer to the optimal solution than other algorithms, which means MHWOA has higher accuracy in solving these problems. Among them, the standard deviation of CSCFA is 37.19% smaller than that of MHWOA when calculating F5, which means MHWOA is not more stable than CSCFA when solving shifted and full rotated Levy function. But comparing their average results, even if MHWOA fluctuates up and down within the standard deviation interval, its floating maximum value is significantly smaller than the floating minimum value of CSCFA, which also indicates that its calculation accuracy is at least 8.13% higher than that of CSCFA. When calculating F7, the standard deviation of PSO-sono is 17.01% smaller than that of MHWOA. Since the difference between the two is only 1.833, and the mean values of the two are 2035.583 and 2029.43, respectively, the difference in the mean value is insignificant. However, for PSO-sono, it is 2044.52. Therefore, it can be considered that the excellence of MHWOA solution accuracy can better cover the small gap of standard deviation.
Table 8.
Data comparison of MHWOA and variants of swarm intelligence algorithms on the test function of dimension 10.
It is worth discussing that the performance of MHWOA in F6 and F11 is not the best. When solving hybrid function 1, the average test value accuracy of MHWOA only ranks third, and the accuracy is 26.59% lower than that of CSCFA and 9.19% lower than that of IGWO. MHWOA has a maximum accuracy improvement of 7.34% and a minimum accuracy improvement of 0.3% when solving the F7 problem, and a maximum accuracy improvement of 7.67% and a minimum accuracy improvement of 0.13% when solving the F8 problem. Since F6 to F8 all belong to the hybrid function, it can be considered that MHWOA does not perform perfectly when solving the hybrid function problem of the medium dimension, and the calculation accuracy is improved slightly. However, according to the overall evaluation, MHWOA still ranks first in 10 out of 12 test functions, and it has the highest average accuracy and the smallest standard deviation in most of the calculated results.
The process of data iteration is shown in Figure 8. It can be found that the convergence speed of MHWOA is faster than that of other algorithms in most cases. In general, MHWOA has solved the optimal solution at the position of the 10th to 20th iteration, while other algorithms need more iterations to find the optimal solution. This also means that MHWOA can converge to the optimal solution at a faster speed and has good efficiency in solving problems. As a visual supplement to the above data, it can also be intuitively seen in the figure that MHWOA has higher accuracy than other algorithms in most of the tests, especially F1 to F5, where it can be seen that its accuracy is far better than that of the other algorithms. However, F1 to F5 calculate unimodal functions and basic functions, indicating that MHWOA has excellent solution accuracy in solving these two types of problems.

Figure 8.
Convergence comparison for CEC2022 with dimension 10.
After solving all kinds of problems in medium dimensions, in order to further test the performance of the algorithm in high dimensions, it is necessary to set the dimension to 20 for further testing which shows in Table 9.
Table 9.
Data comparison of MHWOA and variants of swarm intelligence algorithms on the test function of dimension 20.
Consistent with the test results when the dimension is 10, MHWOA still has great advantages in solving 20-dimensional unimodal functions and basic functions. When solving the unimodal function, the maximum improvement is 76.97%, and the minimum improvement is 38.74%. When solving basic functions, the maximum improvement is 83.24%, and the minimum improvement is 0.19%. Even though the standard deviation is 58.16% larger than that of IGWO in calculating F3, the difference of 5.05 is very small in the calculation of the optimal mean. The maximum value of MHWOA in F3 is 641.81, the minimum value of IGWO is 672.67, and the accuracy of MHWOA is 4.58% higher than that of IGWO.
It is worth discussing the performance of MHWOA in the hybrid function and composition function. Like the medium dimension, MHWOA still shows the characteristics of large standard deviation when solving the F7 function of high dimension, but compared with the PSO-sono, which also performs well on this function, the average accuracy of MHWOA is 1.2% higher. However, when solving the F8 function, there is a problem of insufficient accuracy and a standard deviation. Obviously, combined with the discussion of the dimension of 10, MHWOA is not an algorithm for solving the hybrid function problem, and its performance in this aspect will be weak. The performance of MHWOA on the F10 function with dimension 20 is consistent with that of the F11 function with dimension 10. The difference between the two lies in the different values of the function N, which also indicates that the value of N will affect the calculation results of MHWOA.
All in all, MHWOA ranks first in 10 out of 12 test functions in 20 dimensions, which still demonstrates its accuracy and stability.
Figure 9 shows the iterative process of the above data. Through the visualization of the iterative process, it can be found that MHWOA has a faster iteration speed in the test except for F10 and F11. Different from the dimension of 10, the general number of iterations to reach the optimum is extended to 10 to 40 at this time, which also indicates that the higher dimension will lead to a longer iteration time for MHWOA to reach the optimum. Similarly, the features of F10 and F11 show that MHWOA is somewhat restrictive in solving the composition function with N = 5 or N = 4.

Figure 9.
Convergence comparison for CEC2022 with dimension 20.
5. Practical Application
5.1. Pressure Vessel Design
Pressure vessel design is a classic engineering problem where the pressure vessel consists of several components, including the connector, manhole, head, cylinder, bearing, and level gauge, as shown in Figure 10. The primary objective of the pressure vessel design is to optimize the welding cost, material usage, and the shape of the vessel. This problem involves satisfying four constraint conditions, and four variables are utilized in calculating the objective function: shell thickness (z1), head thickness (z2), internal radius (x3), and vessel length without the head (x4).
Figure 10.
An illustration of the pressure vessel design.
The problem can be formulated as follows:
Minimize:
Subject to:
where
With bounds:
By incorporating MHWOA into the pressure vessel design problem and comparing it with standard swarm intelligence algorithms, Figure 11 shows that MHWOA exhibits the fastest convergence speed and highest computational accuracy when dealing with the problem compared with all the compared objects.
Figure 11.
Convergence visibility of the pressure vessel design.
Based on the comparison of the best cost, mean cost, and worst cost obtained from 30 runs, the cost savings rate of each algorithm can be statistically determined. Taking MHWOA as the benchmark, the cost savings rates compared with other algorithms are shown in Table 10:
Table 10.
Pressure vessel design cost comparison.
MHWOA has a cost savings rate of 10.96% over GWO; 11.87% over AVOA; 13.65% over MFO; 24.09% over AO; 27.08% over GTO; 26.93% over SO; 78.38% over BWO; 90.55% over WOA.
5.2. Welded Beam Design
The welded beam design problem is shown in Figure 12. The design of the beam bar includes the length, thickness, height, and welding thickness. Obviously, this is a nonlinear programming problem, and it is difficult to solve it in an exhaustive way.
Figure 12.
A schematic diagram of the welded beam design problem.
In practical scenarios, it is often necessary to minimize the cost of welding beams as much as possible. This is where the algorithm needs to strategically balance the variables.
The problem can be formulated as follows:
Minimize:
Subject to:
where
With bounds:
By incorporating MHWOA into the problem and comparing it with standard swarm intelligence algorithms, Figure 13 shows that MHWOA achieves the highest computational accuracy among all the compared algorithms when dealing with this problem.
Figure 13.
Convergence visibility of the welded beam design.
Based on the comparison of the best cost, mean cost, and worst cost obtained from 30 runs, the cost savings rate of each algorithm can be statistically determined. Taking MHWOA as the benchmark, the cost savings rates compared with other algorithms are shown in Table 11.
Table 11.
Welded beam design cost comparison.
MHWOA has a cost savings rate of 4.1% over GWO; 12.42% over AVOA; 13.13% over MFO; 34.8% over AO; 17.98% over GTO; 30.24% over SO; 23.35% over BWO; 52.54% over WOA.
5.3. Weight Minimization of a Speed Reducer
The speed reducer design problem is an engineering design problem. The specific variable description is shown in Figure 14.
Figure 14.
A schematic diagram of weight minimization of a speed reducer problem.
The problem can be formulated as follows:
Minimize:
Subject to:
With bounds:
By applying MHWOA to the weight minimization of a speed reducer problem and comparing it with standard swarm intelligence algorithms, Figure 15 shows that MHWOA achieves the highest computational accuracy in solving this problem compared with other baseline algorithms.
Figure 15.
Convergence visibility of weight minimization of a speed reducer design.
Based on the comparison of the best cost, mean cost, and worst cost obtained from 30 runs, the cost savings rate of each algorithm can be statistically determined. Taking MHWOA as the benchmark, the cost savings rates compared with other algorithms are shown in Table 12.
Table 12.
Weight minimization of a speed reducer design cost comparison.
MHWOA has a cost savings rate of 1.75% over GWO; 0.6% over AVOA; 0.83% over MFO; 39.69% over AO; 0.86% over GTO; 0.9% over SO; 9.42% over BWO; 38.6% over WOA.
6. Comparison of Convolutional Neural Network Predictions
In order to better show the performance of MHWOA in practical application scenarios, we combine MHWOA with a convolutional neural network to predict time series data. In this section, we will compare the effect of standard WOA and MHWOA on optimizing convolutional neural long- and short-term multi-head networks to prove the superiority of MHWOA in the field of optimizing neural networks.
6.1. Convolutional Neural Network
Convolutional neural networks are divided into five parts: convolutional layer, pooling layer, activation function, fully connected layer, loss function, and optimizer. The convolutional layer uses the convolution operation to extract features, after which the dimension of the feature map is reduced by the pooling layer to reduce the computational cost while retaining important information. The activation function is applied to the outputs of the convolutional and pooling layers to introduce nonlinear properties. In the last few layers of CNN, there will usually be one or more fully connected layers. These layers “squashed” the output of the convolutional and pooling layers into a one-dimensional vector, which was fed into a classical feedforward neural network. The loss function is used to measure the difference between the model output and the true label, and the optimizer is used to adjust the model parameters to minimize the loss function. The specific process is shown in Figure 16. The operation of the CNN network first needs to receive input data (usually images) through the input layer, and then, it will normalize the pixel value to scale between [0, 1] or [−1, 1] to improve the training stability. Then, the features are extracted through the convolutional layer. After that, the data dimension is reduced through the pooling layer to reduce the calculation amount. Then the fully connected layer will convert the features extracted by the convolutional layer into the final classification result and, finally, output the final classification result or predicted value through the output layer.
Figure 16.
The convolutional neural network architecture.
represent the voltage data, current data, and temperature data in the time series, respectively. are the time series weight matrices of voltage, current, and temperature, respectively. denote the deviations of voltage, current, and temperature. Relu is used as the activation function for all three kinds of data. By cutting the feature into multiple regions and taking the maximum value, the new feature can be obtained in the pooling layer, and then the score of each category in the global feature is calculated through the fully connected layer. Finally, the feature is extracted.
6.2. Long Short-Term Memory Network
Long short-term memory network (LSTM) is a special type of recurrent neural network (RNN) for processing sequential data, which is designed to overcome the long-term dependence problem in traditional RNNS. LSTM can capture long-term dependencies more effectively by introducing a gating mechanism to control the flow of information.
The processing flow of LSTM is divided into five parts: ① The cell state is responsible for remembering and storing the information in the sequence data. ② The forget gate determines which information should be forgotten or discarded at the current time step. ③ The input gate determines what new information should be added to the memory cell. ④ Use the output of the forget gate and input gate to update the contents of the cell state. ⑤ The output gate decides how much information to output from the memory cell based on the input of the current time step and the hidden state of the previous time step. The standard LSTM structure is shown in Figure 17.
Figure 17.
Standard long short-term memory network architecture.
h is the hidden state and C is the cell state, which are represented as matrix vectors in the computation. is the forget gate, is the input gate, is the output gate. are the coefficient matrix, is the bias. Their relation is expressed as Equation (37) to Equation (42).
6.3. Multi-Head Attention Mechanism
The multi-head attention model extends the attention mechanism, allowing the model to focus on multiple locations or representations of the input sequence at the same time. First, the input sequence undergoes a linear transformation and is mapped to a different representation space. This is usually achieved by multiplying the input by a weight matrix, in which each multi-head attention head has its own unique weight matrix for transforming the input into a different representation space. In this representation, the input is split into multiple heads (usually a number of parallel subspaces), each of which performs its attention computation independently. For each head, an independent attention computation is performed. In attention computation, the Query, Key, and Value correspondences are first computed. The Query, Key, and Value are all generated by linear transformations. Then, an attention weight is calculated for each position, which is used to weight the sum value vector to produce the output of each head. The outputs of multiple heads are concatenated together and combined through another linear transformation (usually a fully connected layer). In this way, the output obtained has a richer representation ability and is able to capture relevant information at different positions in the input sequence. The combined output is used as the final output of the multi-head attention model, usually after some nonlinear activation function, such as ReLU or GELU. A schematic of the parallel multi-head attention is shown in Figure 18.
Figure 18.
A schematic of the parallel multi-head attention.
The parallel multi-head attention is defined as Equation (43) and Equation (44).
where is a mixture vector, each head will learn a mixture vector, and W is the parameter matrix.
The basic structure of MHWOA applied to CNN is shown in Figure 19. The role of MHWOA is to help the individuals trained by CNN improve the fitness so as to improve the accuracy of model prediction. MHWOA first generates a set of random CNN hyperparameters or weights, then trains the CNN by using each individual in the population (hyperparameters or weights), evaluates its performance (fitness), and then updates each individual in the population according to MHWOA. The training and update process is repeated in this way until the maximum number of iterations is reached or the performance converges, and finally, the individual with the highest fitness is selected as the optimal hyperparameter or weight for the final CNN model.
Figure 19.
A diagram of the CNN structure applied by MHWOA.
6.4. Data Sources
The data used for testing are from the Electricity Load Diagrams 2011–2014 in the UCI Machine Learning Repository. The data set covers electricity compliance data for 370 substations in Portugal from the beginning of 2011 to the end of 2014. The data set has no missing values and the unit is kW/15 min. The data set is characterized as a time series and contains 370 instances. We selected 10 sites from these as test samples for analysis and prediction. Refer to Figure 20 for specific visual data.
Figure 20.
Specific visual data.
6.5. Contrastive Analysis
In the following, we compare the standard WOA and MHWOA-optimized CNN-LSTM-multi-head models. In the instance test, we compare the two algorithms. The mean absolute error, mean absolute percentage error, mean square error, root-mean-square error, and R-square are compared, and the performance improvement of the algorithm is analyzed from the prediction error rate and the true value fitting degree. Table 13 shows the comparison data of each dimension and the optimization improvement rate of MHWOA relative to WOA.
Table 13.
Compared data and percentage improvement.
Further visual analysis of the data is shown in Figure 21.
Figure 21.
MHWOA evolution curve.
Mean squared error is a measure of the error in the optimization process. Figure 22 shows the evolution curve of MHWOA-CNN-LSTM-multi-head. The error is reduced from 0.02122 to 0.02121 at the 8th generation evolution. In the 10th generation, the error is further reduced to 0.02104.
Figure 22.
The fit curve between predicted and true values.
Figure 23 is a comparison of the fitting curve of the predicted samples. We can observe that the CNN-LSTM-MATT model optimized with MHWOA is closer to the true value than the standard WOA optimization.
Figure 23.
Visual comparison of MAE and RMSE.
The mean absolute error (MAE) and root-mean-square error are also measures of the prediction error. Differently, MAE is a linear score where all individual differences are equally weighted on the mean, and it directly averages the differences between the predicted and observed values. RMSE, on the other hand, calculates the sample standard deviation of the difference between the predicted value and the observed value. Compared with MAE, RMSE imposes a more severe penalty for the deviation of the predicted value. For the same error, RMSE will have a higher value than MAE. The MAE and RMSE of CNN-LSTM-MATT optimized with WOA are 92.4989 and 115.626, and those of MHWOA are 69.6405 and 87.6098.
In order to further observe the predictive fit of standard WOA and MHWOA, it is necessary to compare the two optimized R-square (R2). The details are shown in Figure 24. R2 measures the proportion of variation in the dependent variable that can be explained by the independent variable. The closer R2 is to 1, the larger the proportion of the regression sum of squares is, and the closer the regression line is to each observation point, and the better the regression fit. Figure 25 synthetically compares MAE and R2 where the R2 optimized with MHWOA is 0.95939, and that of WOA is 0.929265. It shows that MHWOA fits the true value 3.24% higher than WOA when the error is 24.71% lower than WOA.
Figure 24.
Visual comparison between R2 and MAE.
Figure 25.
Visual comparison between MAE and MAPE.
MAPE has a high similarity with MAE to a certain extent, but the difference is that MAPE is a percentage measure. When the MAPE is 0%, the model can be considered a perfect model, and when the MAPE is greater than 100%, it is considered a poor model. The MAPE of MHWOA is 21.04%, and that of WOA is 28.48%, which proves that the CNN-LSTM-MATT model optimized with MHWOA is better.
In order to visually compare the improvement degree of each measure from multiple dimensions, radar Figure 26 shows the improvement degree of all comparison data. It can be seen that the CNN-LSTM-MATT model optimized with MHWOA has a better effect than that optimized with WOA.
Figure 26.
The contrast factor radar chart.
7. Conclusions and Future Work
In conclusion, this paper uses three strategies to improve WOA. Experiments show that this improvement accelerates the optimization speed of WOA and improves its calculation accuracy. The convergence speed is also greatly improved. To be specific, it improves the algorithm’s solution accuracy through parameter modifications and the introduction of decision parameters. Secondly, it enhances the algorithm’s exploitation and exploration capabilities through a dispersal search strategy. Thirdly, it incorporates simulated annealing to further improve the algorithm’s ability to escape local optima.
Through thirty independent tests comparing different types of algorithms, the experimental results demonstrate that MHWOA exhibits superior optimization capabilities and stability in solving global optimization problems, particularly in addressing complex problems. In terms of computation time, MHWOA shows significant improvements compared with WOA. In all tests, the calculation accuracy of MHWOA is improved by no less than 1.96%, the calculation error is reduced by no less than 1.83%, and the execution time is improved by no less than 5.6%. In the application of engineering problems, the calculation accuracy of MHWOA is improved by no less than 0.6%. In three real-world application scenarios, MHWOA consistently outperforms other algorithms in terms of computational accuracy. Additionally, MHWOA achieves substantial cost savings in practical problem-solving compared with other algorithms. These results highlight the superiority of MHWOA in solving practical engineering problems. When solving more complex CEC2022 problems, it can be found that MHWOA is more suitable for solving high-dimensional unimodal functions, basic functions, and composition functions with N greater than or equal to 5 according to the test results. MHWOA is weak in solving hybrid functions in medium and high dimensions, and although MHWOA can solve the optimal value in most problems, it is not its strong point.
In order to further test the optimization performance of MHWOA in practical application scenarios, we respectively used standard WOA and MHWOA to optimize convolutional neural long- and short-term multi-head networks. The test results are analyzed from five dimensions. The results show that compared with the standard WOA, MHWOA reduces MAE by 24.71%, MAPE by 26.13%, MSE by 42.58%, RMSE by 24.23%, and R2 by 3.24% in the optimization process. After testing, the errors of MHWOA in all aspects of the prediction process are smaller than that of the standard WOA, and the degree of fitting with the true value is higher than that of the standard WOA.
In the future, to address the challenges posed by the increased number of parameters and the complexity of the algorithm structure in MHWOA, we intend to explore further integration with other metaheuristic algorithms and simplify the computational process as much as possible. Through the above verification, although MHWOA performs well in solving most complex problems, it has a slow convergence speed in solving simple problems, so this improvement is more suitable for solving complex problems. Further improvements in the convergence rate for simple problems will be explored in the future.
Author Contributions
Conceptualization, X.X. and Y.Y.; methodology, Y.Y.; software, Y.Y. and H.Z.; validation, X.X., Y.Y. and H.Z.; formal analysis, Y.Y.; investigation, X.X. and Y.Y.; resources, X.X.; data curation, X.X. and Y.Y; writing—original draft preparation, X.X. and Y.Y.; writing—review and editing, X.X., Y.Y. and H.Z.; visualization, Y.Y.; supervision, X.X.; project administration, X.X.; funding acquisition, X.X. All authors have read and agreed to the published version of the manuscript.
Funding
This research was funded by the National Natural Science Foundation of China (Grant No. 71672117 and 71601126) and by Local Special Funds for Science and Technology Development guided by the central government (Grant No. 2021JH6/10500149). And The APC was funded by Shenyang University.
Institutional Review Board Statement
Not applicable.
Informed Consent Statement
Not applicable.
Data Availability Statement
The original contributions presented in the study are included in the article, further inquiries can be directed to the corresponding author.
Conflicts of Interest
The authors declare no conflict of interest.
Appendix A
Table A1.
Parameter and its definition table.
Table A1.
Parameter and its definition table.
| Parameter | Paraphrase |
|---|---|
| current solution | |
| randomly selected whale position vector | |
| t | current number of iterations |
| interval between the whale and the prey | |
| determining parameter of development and exploration behavior | |
| distance between the current position and the target position | |
| best position vector so far | |
| a parameter which linearly decreases from 2 to 0 | |
| r1 | random numbers between 0 and 1 |
| r2 | random numbers between 0 and 1 |
| u | a constant that determines the shape of the logarithmic spiral path |
| l | a random number |
| linearly decreasing from (−1) to (−2) | |
| a random number in the range [0, 1] | |
| α | the probability of the feeding mechanism and takes random values within the range of [0, 1] |
| b | linearly decreases from 1 to 0 |
| a random variable in the interval [0, 1] | |
| T | the current number of iterations |
| control the weight of the iteration behavior | |
| the search deflection coefficient | |
| S | a constant |
| acceptance probability | |
| a random parameter | |
| iterative energy | |
| difference between the new fitness value and the old fitness value |
References
- Shayanfar, H.; Gharehchopogh, F.S. Farmland fertility: A new metaheuristic algorithm for solving continuous optimization problems. Appl. Soft Comput. 2018, 71, 728–746. [Google Scholar] [CrossRef]
- Elhosseini, M.A.; Haikal, A.Y.; Badawy, M.; Khashan, N. Biped robot stability based on an A–C parametric whale optimization algorithm. J. Comput. Sci. 2019, 31, 17–32. [Google Scholar] [CrossRef]
- He, B.; Huang, Y.; Wang, D.; Yan, B.; Dong, D. A parameter-adaptive stochastic resonance based on whale optimization algorithm for weak signal detection for rotating machinery. Measurement 2019, 136, 658–667. [Google Scholar] [CrossRef]
- Yousri, D.; Allam, D.; Eteiba, M.B. Chaotic whale optimizer variants for parameters estimation of the chaotic behavior in permanent magnet synchronous motor. Appl. Soft Comput. 2019, 74, 479–503. [Google Scholar] [CrossRef]
- Singh, P.R.; Elaziz, M.A.; Xiong, S. Modified spider monkey optimization based on nelder–mead method for global optimization. Expert. Syst. Appl. 2018, 110, 264–289. [Google Scholar] [CrossRef]
- Ingber, L. Very fast simulated re-annealing. Math. Comput. Model. 1989, 12, 967–973. [Google Scholar] [CrossRef]
- Kallioras, N.A.; Lagaros, N.D.; Avtzis, D.N. Pity beetle algorithm—A new metaheuristic inspired by the behavior of bark beetles. Adv. Eng. Softw. 2018, 121, 147–166. [Google Scholar] [CrossRef]
- Arora, S.; Singh, S. An improved butterfly optimization algorithm with chaos. J. Intell. Fuzzy Syst. 2017, 32, 1079–1088. [Google Scholar] [CrossRef]
- Turgut, O.E. Thermal and economical optimization of a shell and tube evaporator using hybrid backtracking search-sine-cosine algorithm. Arab. J. Sci. Eng. 2017, 42, 2105–2123. [Google Scholar] [CrossRef]
- Ma, H.; Shen, S.; Yu, M.; Yang, Z.; Zhou, H. Multi-population techniques in nature inspired optimization algorithms: A comprehensive survey. Swarm Evol. Comput. 2019, 44, 365–387. [Google Scholar] [CrossRef]
- Millan, R.; Allah, R. Hybridizing sine cosine algorithm with multi-orthogonal search strategy for engineering design problems. J. Comput. Des. Eng. 2018, 5, 249–273. [Google Scholar]
- Dhiman, G.; Kumar, V. Emperor penguin optimizer: A bio-inspired algorithm for engineering problems. Knowl.-Based Syst. 2018, 159, 20–50. [Google Scholar] [CrossRef]
- Gharehchopogh, F.S.; Gholizadeh, H. A comprehensive survey: Whale optimization algorithm and its applications. Swarm Evol. Comput. 2019, 48, 1–24. [Google Scholar] [CrossRef]
- Wu, Z.; Mou, Y. An Improvement of whale optimization algorithm. Comput. Appl. Res. 2020, 37, 3618–3621. [Google Scholar]
- Reddy, S.; Panwar, L.; Panigrahi, B.K.; Kumar, R. Binary whale optimization algorithm: A new metaheuristic approach for profit-based unit commitment problems in competitive electricity markets. Eng. Optim. 2018, 51, 369–389. [Google Scholar] [CrossRef]
- Wu, Z.; Huang, K.; Chen, J.; Yang, C. A memetic fuzzy whale optimization algorithm for data clustering. In Proceedings of the IEEE Congress on Evolutionary Computation, Wellington, New Zealand, 10–13 June 2019; pp. 10–13. [Google Scholar]
- Kumawat, I.; Nanda, S.; Kum, R. Multi-objective whale optimization. In Proceedings of the IEEE Congress on Evolutionary Computation, Penang, Malaysia, 5–8 November 2017. [Google Scholar]
- Kaur, G.; Arora, S. Chaotic whale optimization algorithm. Comput. Des. Eng. 2018, 5, 275–284. [Google Scholar] [CrossRef]
- Ling, Y.; Zhou, Y.; Luo, Q. Levy flight trajectory-based whale optimization algorithm for global optimization. IEEE Access 2017, 5, 6168–6186. [Google Scholar] [CrossRef]
- Geng, J.; Sun, X.; Wang, H.; Bu, X.; Liu, D.; Li, F.; Zhao, Z. A modified adaptive sparrow search algorithm based on chaotic reverse learning and spiral search for global optimization. Neural Comput. Appl. 2023, 35, 24603–24620. [Google Scholar] [CrossRef]
- Nikoo, M.; Hafeez, G. The Whale Optimization Algorithm Based ANN for Predicting the Fundamental Period of Light-Frame Wood Buildings. In Proceedings of the International Conference on Architecture, Materials and Construction, Lisbon, Portugal, 26–28 October 2022; Springer International Publishing: Cham, Switzerland; pp. 230–236. [Google Scholar]
- Sohrabi, P.; Dehghanib, H.; Rafie, R. Forecasting of WTI crude oil using combined ANN-whale optimization algorithm. Energy Sources 2022, 17, 2083728. [Google Scholar] [CrossRef]
- Haghnegahdar, L.; Wang, Y. A whale optimization algorithm-trained artificial neural network for smart grid cyber intrusion detection. Neural Comput. Appl. 2020, 32, 9427–9441. [Google Scholar] [CrossRef]
- Nguyen, H.; Bui, X.; Choi, Y.; Lee, C.W.; Armaghani, D.J. A novel combination of whale optimization algorithm and support vector machine with different kernel functions for prediction of blasting-induced fly-rock in quarry mines. Nat. Resour. Res. 2021, 30, 191–207. [Google Scholar] [CrossRef]
- Zhou, J.; Zhu, S.; Qiu, Y.; Armaghani, D.J.; Zhou, A.; Yong, W. Predicting tunnel squeezing using support vector machine optimized by whale optimization algorithm. Acta Geotech. 2022, 17, 1343–1366. [Google Scholar] [CrossRef]
- Laskar, N.M.; Guha, K.; Chatterjee, I.; Chanda, S.; Baishnab, K.L.; Paul, P.K. HWPSO: A new hybrid whale-particle swarm optimization algorithm and its application in electronic design optimization problems. Appl. Intell. 2018, 49, 265–291. [Google Scholar] [CrossRef]
- Steffen, V. Particle Swarm Optimization with a Simplex Strategy to Avoid Getting Stuck on Local Optimum. AI Comput. Sci. Robot. Technol. 2022, 2022, 1–40. [Google Scholar] [CrossRef]
- Xu, Z.; Yu, Y.; Yachi, H.; Ji, J.; Todo, Y.; Gao, S. A novel memetic whale optimization algorithm for optimization. Int. Conf. Swarm Intell. 2018, 10941, 384–396. [Google Scholar]
- Mafarja, M.M.; Mirjalili, S. Hybrid whale optimization algorithm with simulated annealing for feature selection. Neurocomputing 2017, 260, 302–312. [Google Scholar] [CrossRef]
- Chen, M.; Du, W.; Song, W.; Liang, C.; Tang, Y. An improved weighted optimization approach for large-scale global optimization. Complex. Intell. Syst. 2022, 8, 1259–1280. [Google Scholar] [CrossRef]
- Mohammed, H.; Rashid, T. A novel hybrid GWO with WOA for global numerical optimization and solving pressure vessel design. Neural Comput. Appl. 2020, 32, 14701–14718. [Google Scholar] [CrossRef]
- Kaveh, A.; Mahdavi, V.R. Colliding bodies optimization: A novel meta-heuristic method. Comput. Struct. 2014, 139, 18–27. [Google Scholar] [CrossRef]
- Mirjalili, S. Moth-flame optimization algorithm: A novel nature-inspired heuristic paradigm. Knowl.-Based Syst. 2015, 89, 228–249. [Google Scholar] [CrossRef]
- Bentouati, B.; Chaib, L.; Chettih, S. A hybrid whale algorithm and pattern search technique for optimal power flow problem. In Proceedings of the 2016 8th International Conference on Modelling, Identification and Control (ICMIC), Algiers, Algeria, 15–17 November 2016; pp. 1048–1053. [Google Scholar]
- Mirjalili, S. SCA: A Sine Cosine Algorithm for solving optimization problems. Knowl.-Based Syst. 2016, 96, 120–133. [Google Scholar] [CrossRef]
- Revathi, S.T.; Ramaraj, N.; Chithra, S. Brain storm-based Whale Optimization Algorithm for privacy protected data publishing in cloud computing. Clust. Comput. 2018, 22 (Suppl. S22), 110. [Google Scholar]
- Shi, Y. Brain Storm Optimization Algorithm. In Advances in Swarm Intelligence, Proceedings of the International Conference in Swarm Intelligence, Chongqing, China, 12–15 June 2011; Springer: Berlin/Heidelberg, Germany; Volume 6728, pp. 303–309.
- Liu, W.; Guo, Z. Improved WOA and its application in feature selection. PLoS ONE 2022, 17, e0267041. [Google Scholar] [CrossRef] [PubMed]
- Marini, F.; Walczak, B. Particle swarm optimization (PSO). A tutorial. Chemom. Intell. Lab. Syst. 2015, 149, 153–165. [Google Scholar] [CrossRef]
- Zhong, C.; Li, G. Beluga whale optimization: A novel nature-inspired metaheuristic algorithm. Knowl.-Based Syst. 2022, 251, 109215. [Google Scholar] [CrossRef]
- Chopra, N.; Ansari, M. Golden jackal optimization: A novel nature-inspired optimizer for engineering applications. Expert. Syst. Appl. 2022, 198, 116924. [Google Scholar] [CrossRef]
- Dhiman, G.; Garg, M. A novel algorithm for globaloptimization: Rat swarm optimizer. J. Ambient. Intell. Humaniz. Comput. 2022, 12, 8457–8482. [Google Scholar] [CrossRef]
- Hashim, F.; Hussien, A. Snake Optimizer: A novel meta-heuristic optimization algorithm. Knowl.-Based Syst. 2022, 242, 108320. [Google Scholar] [CrossRef]
- Mirjalili, S.; Lewis, A. The Whale Optimization Algorithm. Adv. Eng. Softw. 2016, 95, 51–67. [Google Scholar] [CrossRef]
- Wang, C.; Tu, C. MSWOA: A Mixed-Strategy-Based Improved Whale Optimization Algorithm for Multilevel Thresholding Image Segmentation. Electronics 2023, 12, 2698. [Google Scholar] [CrossRef]
- Liang, X.; Zhang, Z. A Whale Optimization Algorithm with Convergence and Exploitability Enhancement and Its Application. Math. Probl. Eng. 2022, 14, 2. [Google Scholar] [CrossRef]
- Chakraborty, S.; Kumar, A. A novel enhanced whale optimization algorithm for global optimization. Comput. Ind. Eng. 2021, 153, 107086. [Google Scholar] [CrossRef]
- Geng, Y.; Zhang, L. Adaptive Bat Algorithm Based on Historical Population Control. Autom. Control Comput. Sci. 2022, 56, 438–446. [Google Scholar] [CrossRef]
- Hou, Y.; Gao, H. Improved Grey Wolf Optimization Algorithm and Application. Sensors 2022, 22, 3810. [Google Scholar] [CrossRef]
- Hassan, B. CSCF: A chaotic sine cosine firefly algorithm for practical application problems. Neural Comput. Appl. 2021, 33, 7011–7030. [Google Scholar] [CrossRef]
- Meng, Z.; Zhong, Y.; Mao, G. PSO-sono: A novel PSO variant for single-objective numerical optimization. Inf. Sci. 2022, 586, 176–191. [Google Scholar] [CrossRef]
Disclaimer/Publisher’s Note: The statements, opinions and data contained in all publications are solely those of the individual author(s) and contributor(s) and not of MDPI and/or the editor(s). MDPI and/or the editor(s) disclaim responsibility for any injury to people or property resulting from any ideas, methods, instructions or products referred to in the content. |
© 2025 by the authors. Licensee MDPI, Basel, Switzerland. This article is an open access article distributed under the terms and conditions of the Creative Commons Attribution (CC BY) license (https://creativecommons.org/licenses/by/4.0/).