Experimental Validation of the Potential of Cross-Ventilation Strategy as a Natural Cooling Technique Integrated in a Real Historic Building
Abstract
1. Introduction
1.1. Context
1.2. Natural Ventilation
1.3. Natural Ventilation in Historic Buildings
1.4. Objectives
2. Materials and Methods
2.1. Description of Case Study
2.2. Monitoring and Experimentation
2.2.1. Measuring Equipment
2.2.2. Monitorization Setup
2.3. Experimental Results
2.4. Thermal Simulation
2.5. Computational Fluid Dynamics (CFD) Simulation
3. Results
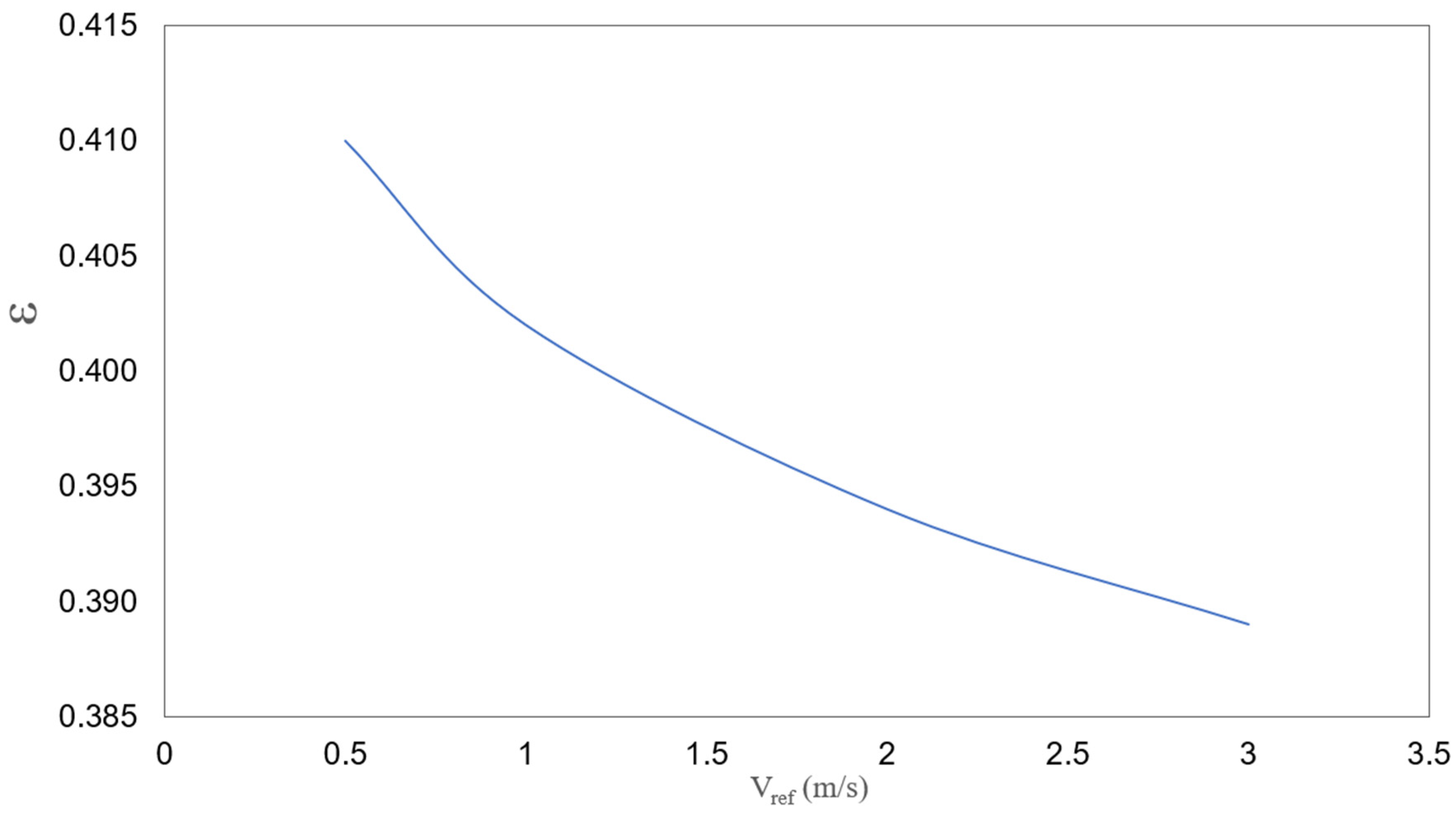
3.1. Results of Historic Building Aeraulics
3.2. Thermal Effect of Cross-Ventilation Strategies
3.3. Thermal Comfort Analysis
- No cross-ventilation during the whole summer.
- Cross-ventilation for 20 days in succession.
- Alternating cross-ventilation: 5 nights with cross-ventilation and 5 days without during the whole month. A maximum of 15 nights with alternating cross-ventilation.
- Alternating temperature-controlled cross-ventilation: Same as option 3 but only cross-ventilation is carried out if the outside temperature is less than 27 °C.
4. Discussion of the Results
4.1. Aeraulics of Historic Building
4.2. Effect of Cross-Ventilation on Thermal Behaviour
4.3. Effect of Cross-Ventilation on Thermal Comfort
5. Conclusions
Author Contributions
Funding
Data Availability Statement
Conflicts of Interest
References
- Luber, G.; McGeehin, M. Climate Change and Extreme Heat Events. Am. J. Prev. Med. 2008, 35, 429–435. [Google Scholar] [CrossRef] [PubMed]
- Gasparrini, A.; Armstrong, B. The impact of heat waves on mortality. Epidemiology 2011, 22, 68–73. [Google Scholar] [CrossRef] [PubMed]
- Smoyer-Tomic, K.E.; Kuhn, R.; Hudson, A. Heat Wave Hazards: An Overview of Heat Wave Impacts in Canada. Nat. Hazards 2003, 28, 465–486. [Google Scholar] [CrossRef]
- Hagström, K.; Sandberg, E.; Koskela, H.; Hautalampi, T. Classification for the room air conditioning strategies. Build. Environ. 2000, 35, 699–707. [Google Scholar] [CrossRef]
- Address, C.A.; Košir, M.; Krainer, A.; Dovjak, M.; Perdan, R.; Kristl, Ž. Alternative to the Conventional Heating and Cooling Systems in Public Buildings. Stroj. Vestn. J. Mech. Eng. 2010, 56, 575–583. [Google Scholar]
- Givoni, B. Indoor temperature reduction by passive cooling systems. Sol. Energy 2011, 85, 1692–1726. [Google Scholar] [CrossRef]
- Firfiris, V.K.; Martzopoulou, A.G.; Kotsopoulos, T.A. Passive cooling systems in livestock buildings towards energy saving: A critical review. Energy Build. 2019, 202, 109368. [Google Scholar] [CrossRef]
- Fordham, M. Natural ventilation. Renew Energy 2000, 19, 17–37. [Google Scholar] [CrossRef]
- Tabadkani, A.; Aghasizadeh, S.; Banihashemi, S.; Hajirasouli, A. Courtyard design impact on indoor thermal comfort and utility costs for residential households: Comparative analysis and deep-learning predictive model. Front. Archit. Res. 2022, 11, 963–980. [Google Scholar] [CrossRef]
- Feduchi, L. Itinerarios de Arquitectura Popular Española; Blume: Barcelona, Spain, 1979. [Google Scholar]
- Brager, G.; De Dear, R. A Standard for Natural Ventilation. 2000. Available online: www.ashrae.org (accessed on 5 November 2024).
- Bauman, F.; Ernest, D.; Arens, E.A. The effects of surrounding buildings on wind pressure distributions and natural ventilation in long building rows. 1988. Available online: https://escholarship.org/uc/item/8602z54h (accessed on 25 January 2025).
- Linden, P.F. The Fluid Mechanics of Natural Ventilation. 1998. Available online: www.annualreviews.org (accessed on 5 November 2024).
- Zhai, Z.; El Mankibi, M.; Zoubir, A. Review of Natural Ventilation Models. Energy Procedia 2015, 78, 2700–2705. [Google Scholar] [CrossRef]
- Emmerich, S.J.; Dols, W.S.; Axley, J.W. Natural Ventilation Review and Plan for Design and Analysis Tools; NIST: Gaithersburg, MD, USA, 2001. [Google Scholar] [CrossRef]
- Arch, A.T.; Blocken, B.; Carmeliet, J.; De Troyer, F.; Verschure, H. Geometry of building’s courtyards to favour natural ventilation: Comparison between wind tunnel experiment and numerical simulation. In Proceedings of the 2005 World Sustainable Building Conference, Tokyo, Japan, 27–29 September 2005. [Google Scholar]
- Kato, S.; Murakami, S.; Mochida, A.; Akabayashi, S.-I.; Tominaga, Y. Velocity-pressure field of cross ventilation with open windows analyzed by wind tunnel and numerical simulation. J. Wind. Eng. Ind. Aerodyn. 1992, 44, 2575–2586. [Google Scholar] [CrossRef]
- Gautam, K.R.; Rong, L.; Zhang, G.; Abkar, M. Comparison of analysis methods for wind-driven cross ventilation through large openings. Build. Environ. 2019, 154, 375–388. [Google Scholar] [CrossRef]
- Rizk, A.A.; El-Morsi, M.S.; Elwan, M.M. A Review on Wind-Driven Cross-Ventilation Techniques Inside Single Rooms. 2015, Volume 6. Available online: www.ijser.in (accessed on 16 February 2024).
- Chu, C.-R.; Chiang, B.-F. Wind-driven cross ventilation with internal obstacles. Energy Build. 2013, 67, 201–209. [Google Scholar] [CrossRef]
- Khan, N.; Su, Y.; Riffat, S.B. A review on wind driven ventilation techniques. Energy Build. 2008, 40, 1586–1604. [Google Scholar] [CrossRef]
- Lo, L.J.; Banks, D.; Novoselac, A. Combined wind tunnel and CFD analysis for indoor airflow prediction of wind-driven cross ventilation. Build. Environ. 2013, 60, 12–23. [Google Scholar] [CrossRef]
- Ramponi, R.; Blocken, B. CFD simulation of cross-ventilation for a generic isolated building: Impact of computational parameters. Build. Environ. 2012, 53, 34–48. [Google Scholar] [CrossRef]
- Bensalem, R. Wind-Driven Natural Ventilation in Courtyard and Atrium-Type Buildings. Ph.D Thesis, Building Science Unit School of Architectural Studies. University of Sheffield, Sheffield, UK, 1991. [Google Scholar]
- Ghaffarianhoseini, A.; Berardi, U.; Ghaffarianhoseini, A. Thermal performance characteristics of unshaded courtyards in hot and humid climates. Build. Environ. 2015, 87, 154–168. [Google Scholar] [CrossRef]
- Iskandar, L.; Bay-Sahin, E.; Martinez-Molina, A.; Beeson, S.T. Evaluation of passive cooling through natural ventilation strategies in historic residential buildings using CFD simulations. Energy Build. 2024, 308. [Google Scholar] [CrossRef]
- de la Flor, F.J.S.; Ruiz-Pardo, Á.; Diz-Mellado, E.; Rivera-Gómez, C.; Galán-Marín, C. Assessing the impact of courtyards in cooling energy demand in buildings. J. Clean. Prod. 2021, 320, 128742. [Google Scholar] [CrossRef]
- Almhafdy, A.; Ibrahim, N.; Ahmad, S.S.; Yahya, J. Courtyard Design Variants and Microclimate Performance. Procedia Soc. Behav. Sci. 2013, 101, 170–180. [Google Scholar] [CrossRef]
- Sharples, S.; Bensalem, R. Airflow in courtyard and atrium buildings in the urban environment: A wind tunnel study. Sol. Energy 2001, 70, 237–244. [Google Scholar] [CrossRef]
- Prakash, D. Ventilation performance analysis on low-rise courtyard building for various courtyard shape factors and roof topology. Int. J. Vent. 2023, 22, 56–76. [Google Scholar] [CrossRef]
- Sun, H.; Jimenez-Bescos, C.; Mohammadi, M.; Zhong, F.; Calautit, J.K. Numerical investigation of the influence of vegetation on the aero-thermal performance of buildings with courtyards in hot climates. Energies 2021, 14, 5388. [Google Scholar] [CrossRef]
- Tablada, A.; Carmeliet, J.; Zurich, E.; Blocken, B.; De Troyer, F.; Verschure, H. The Influence of Courtyard Geometry on Air Flow and Thermal Comfort: CFD and Thermal Comfort Simulations. 2005. Available online: https://www.researchgate.net/publication/251511638 (accessed on 15 November 2024).
- Micallef, D.; Buhagiar, V.; Borg, S.P. Cross-ventilation of a room in a courtyard building. Energy Build. 2016, 133, 658–669. [Google Scholar] [CrossRef]
- Lekshmi, M.S.; Vishnudas, S.; Nair, D.G. An investigation on the potential of mud as sustainable building material in the context of Kerala. Int. J. Energy Technol. Policy 2017, 13, 107. [Google Scholar] [CrossRef]
- Visús, À.C. Characterisation of the thermal behaviour of a mud wall using thermofluxometry. Gremium 2020, 7, 169–184. [Google Scholar] [CrossRef]
- Peel, M.C.; Finlayson, B.L.; McMahon, T.A. Updated world map of the Köppen-Geiger climate classification. Hydrol. Earth Syst. Sci. 2007, 11, 1633–1644. [Google Scholar] [CrossRef]
- El Ministerio de Agricultura, Pesca y Alimentación. Sistema de Información Agroclimática para el Regadío. Available online: https://servicio.mapa.gob.es/websiar/ (accessed on 16 November 2024).
- Kotharkar, R.; Bagade, A.; Singh, P.R. A systematic approach for urban heat island mitigation strategies in critical local climate zones of an Indian city. Urban. Clim. 2020, 34, 1–17. [Google Scholar] [CrossRef]
- European Union. Reglamento Delegado (UE) No244/2012 De la Comisión de 16 de Enero de 2012 que Complementa la Directiva 2010/31UE del Parlamento Europeo y del Consejo; European Union: Maastricht, The Netherlands, 2012. [Google Scholar]
- Sánchez-Torija, J.G.; Nieto, M.A.F.; Serrano, P.J.G. The merits of making energy costs visible: The sustainability benefits of monetizing energy efficiency certificates in Spanish rental homes. Energy Res. Soc. Sci. 2021, 79, 102169. [Google Scholar] [CrossRef]
- López-Ochoa, L.M.; Las-Heras-Casas, J.; Olasolo-Alonso, P.; López-González, L.M. Towards nearly zero-energy buildings in Mediterranean countries: Fifteen years of implementing the Energy Performance of Buildings Directive in Spain (2006–2020). J. Build. Eng. 2021, 44, 102962. [Google Scholar] [CrossRef]
- Judkoff, R.; Neymark, J. International Energy Agency Building Energy Simulation Test (BESTEST) and Diagnostic Model. Multi-Zone Non-Airflow In-Depth Diagnostic Cases: MZ320–MZ360. 1995. Available online: http://www.osti.gov/bridge (accessed on 25 January 2025).
- Salmerón, J.M.; Álvarez, S.; Molina, J.L.; Ruiz, A.; Sánchez, F.J. Tightening the energy consumptions of buildings depending on their typology and on Climate Severity Indexes. Energy Build. 2013, 58, 372–377. [Google Scholar] [CrossRef]
- Ansys Fluent. Fluid Simulation Software. Available online: https://www.ansys.com/products/fluids/ansys-fluent (accessed on 16 October 2023).
- Abu-Zidan, Y.; Mendis, P.; Gunawardena, T. Optimising the computational domain size in CFD simulations of tall buildings. Heliyon 2021, 7, e06723. [Google Scholar] [CrossRef] [PubMed]
- Franke, J.; Baklanov, A. Best Practice Guideline for the CFD Simulation of Flows in The Urban Environment; Meteorological Inst.: Ibaraki, Japan, 2007. [Google Scholar]
- Oke, T.R.; Mills, G.; Christen, A.; Voogt, J.A. Urban Climates; Cambridge University Press: Cambridge, UK, 2017; pp. 1–525. [Google Scholar] [CrossRef]
- Hang, J.; Chen, X.; Chen, G.; Chen, T.; Lin, Y.; Luo, Z.; Zhang, X.; Wang, Q. The influence of aspect ratios and wall heating conditions on flow and passive pollutant exposure in 2D typical street canyons. Build. Environ. 2020, 168, 106536. [Google Scholar] [CrossRef]
- Salim, S.M.; Buccolieri, R.; Chan, A.; Di Sabatino, S. Numerical simulation of atmospheric pollutant dispersion in an urban street canyon: Comparison between RANS and LES. J. Wind. Eng. Ind. Aerodyn. 2011, 99, 103–113. [Google Scholar] [CrossRef]
- Blocken, B. Computational Fluid Dynamics for urban physics: Importance, scales, possibilities, limitations and ten tips and tricks towards accurate and reliable simulations. Build. Environ. 2015, 91, 219–245. [Google Scholar] [CrossRef]
- Li, X.X.; Liu, C.H.; Leung, D.Y.C. Development of a k-ε model for the determination of air exchange rates for street canyons. Atmos. Environ. 2005, 39, 7285–7296. [Google Scholar] [CrossRef]
- ANSYS FLUENT 12.0 User’s Guide. Available online: https://www.afs.enea.it/project/neptunius/docs/fluent/html/ug/main_pre.htm (accessed on 23 October 2023).
- Montazeri, H.; Blocken, B. CFD simulation of wind-induced pressure coefficients on buildings with and without balconies: Validation and sensitivity analysis. Build. Environ. 2013, 60, 137–149. [Google Scholar] [CrossRef]
- Passivhaus Institut. Retrieved. Available online: https://passivehouse.com/ (accessed on 25 January 2025).
- Echarri-Iribarren, V.; Sotos-Solano, C.; Espinosa-Fernández, A.; Prado-Govea, R. The Passivhaus Standard in the Spanish Mediterranean: Evaluation of a House’s Thermal Behaviour of Enclosures and Airtightness. Sustainability 2019, 11, 3732. [Google Scholar] [CrossRef]
- Fanger, P.O. Thermal Comfort: Analysis and Applications in Environmental Engineering; Danish Technical Press: Copenhagen, Denmark, 1970. [Google Scholar]
- State Headquarters. Real Decreto-ley 14/2022, de 1 De Agosto, De Medidas De Sostenibilidad Económica En El Ámbito Del Transporte, En Materia De Becas y Ayudas Al Estudio, Así Como De Medidas De Ahorro, Eficiencia Energética y De Reducción De La Dependencia Energética Del Gas Natural; Agencia Estatal Boletín Oficial del Estado: Madrid, Spain, 2022. [Google Scholar]
- Kordjamshidi, M. House Rating Schemes; Springer: Berlin/Heidelberg, Germany, 2011. [Google Scholar] [CrossRef]
























| OM-EL-USB-2-LCD | PCE-FWS 20N | |||||
|---|---|---|---|---|---|---|
| Variables | Air Temperature [°C] | Relative Humidity [%] | Air Temperature [°C] | Relative Humidity [%] | Wind Speed [m/s] | Wind Direction [°] |
| Range | −35/80 | 0/100 | −40/60 | 1/99 | 0/50 | 1/360 |
| Resolution | 0.5 | 0.5 | 0.1 | 1 | 0.1 | 1 |
| Accuracy | ±0.5 | ±3 | ±1 | ±4 | ±1 | ±3 |
| Average | Max. | Min. | |||||
|---|---|---|---|---|---|---|---|
| Wind Speed | Onsite | Rural | Onsite | Rural | Onsite | Rural | |
| 07-ago | Daytime | 2.83 | 1.80 | 5.76 | 2.78 | 0.00 | 0.50 |
| Night time | 2.38 | 0.71 | 3.65 | 1.21 | 0.00 | 0.19 | |
| 08-ago | Daytime | 3.18 | 0.85 | 6.70 | 1.49 | 0.99 | 0.28 |
| Night time | 3.34 | 1.11 | 6.74 | 2.08 | 0.75 | 0.03 | |
| 09-ago | Daytime | 2.27 | 0.82 | 4.07 | 1.64 | 0.00 | 0.08 |
| Night time | 2.81 | 0.63 | 4.02 | 2.99 | 0.00 | 0.00 | |
| 10-ago | Daytime | 2.57 | 1.01 | 4.23 | 2.30 | 0.34 | 0.16 |
| Night time | 1.88 | 0.23 | 4.16 | 0.60 | 0.36 | 0.01 | |
| 11-ago | Daytime | 2.18 | 1.02 | 5.25 | 2.73 | 0.00 | 0.44 |
| Night time | 1.73 | 0.60 | 4.71 | 2.25 | 0.00 | 0.09 | |
| 12-ago | Daytime | 2.71 | 1.41 | 4.84 | 3.19 | 0.62 | 0.33 |
| Night time | 2.66 | 0.49 | 5.05 | 1.64 | 0.00 | 0.08 | |
| 13-ago | Daytime | 3.11 | 2.33 | 5.42 | 3.74 | 1.22 | 0.38 |
| Night time | 2.84 | 0.54 | 5.19 | 1.90 | 0.93 | 0.20 | |
| 14-ago | Daytime | 2.84 | 1.43 | 4.74 | 2.65 | 0.53 | 0.19 |
| Night time | 3.29 | 0.55 | 8.66 | 2.36 | 1.14 | 0.05 | |
| 15-ago | Daytime | 2.79 | 1.44 | 8.41 | 2.63 | 0.79 | 0.33 |
| Night time | 2.73 | 0.38 | 4.61 | 0.82 | 1.28 | 0.03 | |
| Zone | Boundary Condition |
|---|---|
| Inlet | Velocity Inlet. x-Velocity |
| Outlet | Pressure Outlet |
| Far Field | Symmetry |
| Upstream | Wall. Roughness: Cs = 1; z0 = 0.1 m |
| Downstream | Wall, no slip condition |
| Walls | Wall, no slip condition |
| Zone | Pressure Coefficient |
|---|---|
| Up-windward | −0.559 |
| Down-windward | −0.557 |
| Up-leeward | −0.436 |
| Down-leeward | −0.438 |
| Modes | 0 | 1 | 2 | 3 | ||||||||
|---|---|---|---|---|---|---|---|---|---|---|---|---|
| Confort | [h] | [°C·h] | [°C·h·ppi] | [h] | [°C·h] | [°C·h·ppi] | [h] | [°C·h] | [°C·h·ppi] | [h] | [°C·h] | [°C·h·ppi] |
| June | 674 | 1838 | 1232 | 573 | 1898 | 1513 | 598 | 1654 | 1140 | 588 | 1630 | 1138 |
| July | 744 | 5588 | 5588 | 744 | 4531 | 4289 | 709 | 4838 | 4785 | 688 | 4483 | 4383 |
| August | 744 | 6408 | 6408 | 714 | 4670 | 4400 | 712 | 5471 | 5366 | 682 | 4956 | 4804 |
| September | 720 | 3258 | 2747 | 411 | 1527 | 1287 | 579 | 2523 | 2079 | 572 | 2461 | 2019 |
| Summer | 3204 | 17,249 | 15,986 | 2764 | 12,782 | 11,500 | 2920 | 14,644 | 13,382 | 2852 | 13,687 | 12,355 |
| Improvement | - | 14% | 26% | 28% | 9% | 15% | 16% | 11% | 21% | 23% | ||
| Modes | 0 | 1 | 2 | 3 | ||||||||
|---|---|---|---|---|---|---|---|---|---|---|---|---|
| Comfort | [h] | [°C·h] | [°C·h·ppi] | [h] | [°C·h] | [°C·h·ppi] | [h] | [°C·h] | [°C·h·ppi] | [h] | [°C·h] | [°C·h·ppi] |
| June | 367 | 807 | 359 | 299 | 1064 | 814 | 333 | 747 | 347 | 324 | 745 | 367 |
| July | 744 | 4100 | 3944 | 737 | 3045 | 2528 | 709 | 3420 | 3059 | 665 | 3129 | 2766 |
| August | 744 | 4920 | 4920 | 662 | 3297 | 2946 | 712 | 4047 | 3915 | 664 | 3611 | 3450 |
| September | 720 | 1818 | 1081 | 310 | 817 | 360 | 579 | 1365 | 742 | 567 | 1323 | 712 |
| Summer | 2575 | 11,644 | 10,303 | 2008 | 8223 | 6649 | 2333 | 9579 | 8063 | 2220 | 8809 | 7295 |
| Improvement | - | 37% | 52% | 58% | 27% | 44% | 50% | 31% | 49% | 54% | ||
Disclaimer/Publisher’s Note: The statements, opinions and data contained in all publications are solely those of the individual author(s) and contributor(s) and not of MDPI and/or the editor(s). MDPI and/or the editor(s) disclaim responsibility for any injury to people or property resulting from any ideas, methods, instructions or products referred to in the content. |
© 2025 by the authors. Licensee MDPI, Basel, Switzerland. This article is an open access article distributed under the terms and conditions of the Creative Commons Attribution (CC BY) license (https://creativecommons.org/licenses/by/4.0/).
Share and Cite
Palomo Amores, T.; Ruda Sarria, F.; Medina, D.C.; Valera, T.C.; Sánchez Ramos, J.; Álvarez Domínguez, S. Experimental Validation of the Potential of Cross-Ventilation Strategy as a Natural Cooling Technique Integrated in a Real Historic Building. Appl. Sci. 2025, 15, 2174. https://doi.org/10.3390/app15042174
Palomo Amores T, Ruda Sarria F, Medina DC, Valera TC, Sánchez Ramos J, Álvarez Domínguez S. Experimental Validation of the Potential of Cross-Ventilation Strategy as a Natural Cooling Technique Integrated in a Real Historic Building. Applied Sciences. 2025; 15(4):2174. https://doi.org/10.3390/app15042174
Chicago/Turabian StylePalomo Amores, Teresa, Francisco Ruda Sarria, Daniel Castro Medina, Teresa Cano Valera, José Sánchez Ramos, and Servando Álvarez Domínguez. 2025. "Experimental Validation of the Potential of Cross-Ventilation Strategy as a Natural Cooling Technique Integrated in a Real Historic Building" Applied Sciences 15, no. 4: 2174. https://doi.org/10.3390/app15042174
APA StylePalomo Amores, T., Ruda Sarria, F., Medina, D. C., Valera, T. C., Sánchez Ramos, J., & Álvarez Domínguez, S. (2025). Experimental Validation of the Potential of Cross-Ventilation Strategy as a Natural Cooling Technique Integrated in a Real Historic Building. Applied Sciences, 15(4), 2174. https://doi.org/10.3390/app15042174

