Tensor Network Methods for Hyperparameter Optimization and Compression of Convolutional Neural Networks
Abstract
1. Introduction
1.1. Hyperparameter Optimization (HPO)
1.2. Model Compression
2. Related Works
2.1. Hyperparameter Optimization
2.2. Compression of Convolutional Neural Networks
3. Methodology
3.1. Hyperparameter Optimization
TetraOpt Algorithm for Hyperparameter Optimization
- 1.
- Define each of the d hyperparameters on a discrete interval with n values , where :
- 2.
- Select the rank r: a smaller r ensures faster computations, while a larger r retains more accuracy.
- 3.
- Choose r combinations of hyperparameters:
- 4.
- In the following three steps, we perform an iterative process known as the “sweep right”. The first step is evaluating the first TT core:
- Evaluate the accuracy of configurations, combining all n values of the first hyperparameter with the r selected combinations of:
- Identify the r most promising configurations in this matrix by selecting the submatrix with the largest determinant:And fix the corresponding r values of the first hyperparameter: .
- 5.
- Evaluate the second TT core:
- Fix the r values of from the previous step and r combinations of from the third step. Evaluate the accuracy for configurations by varying all n values of the second hyperparameter :
- From this matrix, identify the r most promising configurations by identifying a submatrix with the maximal determinant module:The r combinations for the first and second hyperparameters are now fixed.
- 6.
- Continue the process for the th TT core. Once this step is completed for all TT cores, the “sweep right” process is considered finished.
- 7.
- Similar to step 3, we now have r combinations of hyperparameters. However, these combinations are no longer random. Perform a “sweep left” starting from the last TT core, reversing the order of indices. This process is similar to the “sweep right” but works backward, refining the configurations iteratively.Next, we continue with the fourth step of the TetraOpt algorithm.
- 8.
- A combination of the “sweep right” and the “sweep left” is a full sweep. Repeat this for the desired number of full sweeps.
- 9.
- During all iterations, record the maximum accuracy achieved so far. A comparison of the runtime of TetraOpt against grid search for varying problem dimensionalities is shown in Figure 2.
3.2. Compression of Convolutional Neural Networks Using Tensor Decomposition Methods
3.2.1. ResNet Architecture
3.2.2. CP Convolutional Layer
3.2.3. Tucker Convolutional Layer
3.2.4. SVD Convolutional Layer
3.2.5. Iterative Compression
4. Experimental Results
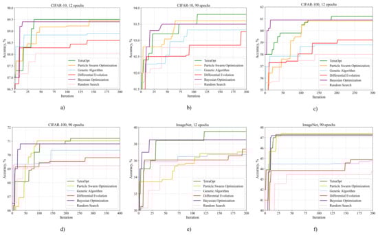
4.1. TetraOpt for Hyperparameter Optimization on NATS-Bench
4.2. Compression of ResNet-18 and ResNet-152 Using Tensor Decomposition Methods
4.2.1. Compression of ResNet-18
- ResNet-18 (Tucker-CP): Tucker decomposition was applied to all layers in the third block, and CP decomposition to all layers in the fourth block.
- ResNet-18 (CP-Tucker): CP decomposition was applied to all layers in the third block, and Tucker decomposition to all layers in the fourth block.
- ResNet-18 (CP-CP): CP decomposition was applied to all layers in both the third and fourth blocks.
4.2.2. Compression of ResNet-152
5. Conclusions
5.1. Hyperparameter Optimization
5.2. Compression of Convolutional Neural Networks
Author Contributions
Funding
Institutional Review Board Statement
Informed Consent Statement
Data Availability Statement
Conflicts of Interest
Appendix A. Convolutional Layer
Appendix B. Explanation of Layer Shapes for CP Convolutional Layer
- 1.
- With S and R input and output channels and a kernel size.
- 2.
- With R and R input and output channels, a kernel size, and group size R.
- 3.
- With R and T input and output channels and a kernel size.
Appendix C. Explanation of Layer Shapes for Tucker Convolutional Layer
- 1.
- With S input channels, output channels, and a kernel size.
- 2.
- With input channels, output channels, a kernel size, and group size R.
- 3.
- With input channels, T output channels, and a kernel size.
Appendix D. Explanation of Layer Shapes for SVD Convolutional Layer
- 1.
- With S input channels, R output channels, and a kernel size.
- 2.
- With R input channels, T output channels, a kernel size, and group size R.
References
- Sagingalieva, A.; Kordzanganeh, M.; Kurkin, A.; Melnikov, A.; Kuhmistrov, D.; Perelshtein, M.; Melnikov, A.; Skolik, A.; Dollen, D. Hybrid quantum ResNet for car classification and its hyperparameter optimization. Quantum Mach. Intell. 2023, 5, 38. [Google Scholar] [CrossRef]
- Goreinov, S.A.; Oseledets, I.V.; Savostyanov, D.V.; Tyrtyshnikov, E.E.; Zamarashkin, N.L. How to find a good submatrix. In Matrix Methods: Theory, Algorithms and Applications: Dedicated to the Memory of Gene Golub; World Scientific Publishing Co Pte Ltd.: Singapore, 2010; pp. 247–256. [Google Scholar]
- Dong, X.; Liu, L.; Musial, K.; Gabrys, B. NATS-Bench: Benchmarking NAS algorithms for architecture topology and size. IEEE Trans. Pattern Anal. Mach. Intell. 2021, 44, 3634–3646. [Google Scholar] [CrossRef] [PubMed]
- Gardner, J.R.; Kusner, M.J.; Xu, Z.E.; Weinberger, K.Q.; Cunningham, J.P. Bayesian optimization with inequality constraints. In Proceedings of the International Conference on Machine Learning (ICML), Beijing, China, 21–26 June 2014; Volume 2014, pp. 937–945. [Google Scholar]
- Kennedy, J.; Eberhart, R. Particle swarm optimization. In Proceedings of the ICNN’95–International Conference on Neural Networks; IEEE: New York, NY, USA, 1995; Volume 4, pp. 1942–1948. [Google Scholar]
- Storn, R.; Price, K. Differential evolution—A simple and efficient heuristic for global optimization over continuous spaces. J. Glob. Optim. 1997, 11, 341–359. [Google Scholar] [CrossRef]
- Fortin, F.-A.; De Rainville, F.-M.; Gardner, M.-A.; Parizeau, M.; Gagné, C. DEAP: Evolutionary Algorithms Made Easy. J. Mach. Learn. Res. 2012, 13, 2171–2175. [Google Scholar]
- Bergstra, J.; Bengio, Y. Random search for hyper-parameter optimization. J. Mach. Learn. Res. 2012, 13, 281–305. [Google Scholar]
- Kolda, T.G.; Bader, B.W. Tensor decompositions and applications. SIAM Rev. 2009, 51, 455–500. [Google Scholar] [CrossRef]
- Lebedev, V.; Ganin, Y.; Rakhuba, M.; Oseledets, I.; Lempitsky, V. Speeding-up convolutional neural networks using fine-tuned CP-decomposition. arXiv 2014, arXiv:1412.6553. [Google Scholar]
- Tucker, L.R. Some mathematical notes on three-mode factor analysis. Psychometrika 1966, 31, 279–311. [Google Scholar] [CrossRef]
- Golub, G.H.; Van Loan, C.F. Matrix Computations, 4th ed.; JHU Press: Baltimore, MD, USA, 2013. [Google Scholar]
- He, K.; Zhang, X.; Ren, S.; Sun, J. Deep residual learning for image recognition. In Proceedings of the IEEE Conference on Computer Vision and Pattern Recognition, Las Vegas, NV, USA, 27–30 June 2016; pp. 770–778. [Google Scholar]
- Krizhevsky, A. Learning Multiple Layers of Features from Tiny Images in Technical Report TR-2009; University of Toronto: Toronto, ON, Canada, 2009. [Google Scholar]
- Le, Y.; Yang, X. Tiny ImageNet Visual Recognition Challenge. CS 231N 2015, 7, 3. [Google Scholar]
- Snoek, J.; Larochelle, H.; Adams, R.P. Practical Bayesian optimization of machine learning algorithms. Adv. Neural Inf. Process. Syst. 2012, 25. [Google Scholar]
- Awad, N.; Shala, G.; Deng, D.; Mallik, N.; Feurer, M.; Eggensperger, K.; Biedenkapp, A.; Vermetten, D.; Wang, H.; Doerr, C.; et al. Squirrel: A switching hyperparameter optimizer. arXiv 2020, arXiv:2012.08180. [Google Scholar]
- Bäck, T. Evolutionary Algorithms in Theory and Practice: Evolution Strategies, Evolutionary Programming, Genetic Algorithms; Oxford University Press: Oxford, UK, 1996. [Google Scholar]
- Vermetten, D.; Wang, H.; Doerr, C.; Bäck, T. Sequential vs. integrated algorithm selection and configuration: A case study for the modular CMA-ES. arXiv 2019, arXiv:1912.05899. [Google Scholar]
- Li, L.; Jamieson, K.; DeSalvo, G.; Rostamizadeh, A.; Talwalkar, A. Hyperband: A novel bandit-based approach to hyperparameter optimization. J. Mach. Learn. Res. 2018, 18, 1–52. [Google Scholar]
- Lindauer, M.; Hutter, F. Warmstarting of model-based algorithm configuration. Proc. Aaai Conf. Artif. Intell. 2018, 32, 32. [Google Scholar] [CrossRef]
- Hutter, F.; Hoos, H.H.; Leyton-Brown, K. Sequential model-based optimization for general algorithm configuration. In Proceedings of the Learning and Intelligent Optimization: 5th International Conference, LION 5, Rome, Italy, 17–21 January 2011; Selected Papers. pp. 507–523. [Google Scholar]
- Elsken, T.; Metzen, J.H.; Hutter, F. Neural architecture search: A survey. J. Mach. Learn. Res. 2019, 20, 1–21. [Google Scholar]
- Hutter, F.; Kotthoff, L.; Vanschoren, J. Automated Machine Learning: Methods, Systems, Challenges; Springer Nature: Berlin/Heidelberg, Germany, 2019. [Google Scholar]
- Zhang, T.; Ye, S.; Zhang, K.; Tang, J.; Wen, W.; Fardad, M.; Wang, Y. A systematic DNN weight pruning framework using alternating direction method of multipliers. In Proceedings of the European Conference on Computer Vision (ECCV), Munich, Germany, 8–14 September 2018; pp. 184–199. [Google Scholar]
- Lin, M.; Ji, R.; Wang, Y.; Zhang, Y.; Zhang, B.; Tian, Y.; Shao, L. HRank: Filter pruning using high-rank feature map. In Proceedings of the IEEE/CVF Conference on Computer Vision and Pattern Recognition, Seattle, WA, USA, 13–19 June 2020; pp. 1529–1538. [Google Scholar]
- Luo, J.-H.; Wu, J.; Lin, W. ThiNet: A filter level pruning method for deep neural network compression. In Proceedings of the IEEE International Conference on Computer Vision, Venice, Italy, 22–29 October 2017; pp. 5058–5066. [Google Scholar]
- Zhuang, Z.; Tan, M.; Zhuang, B.; Liu, J.; Guo, Y.; Wu, Q.; Huang, J.; Zhu, J. Discrimination-aware channel pruning for deep neural networks. Adv. Neural Inf. Process. Syst. 2018, 31, 31. [Google Scholar]
- Bonetta, G.; Ribero, M.; Cancelliere, R. Regularization-based pruning of irrelevant weights in deep neural architectures. Appl. Intell. 2023, 53, 17429–17443. [Google Scholar] [CrossRef]
- Mitsuno, K.; Kurita, T. Filter pruning using hierarchical group sparse regularization for deep convolutional neural networks. In Proceedings of the 2020 25th International Conference on Pattern Recognition (ICPR), Milan, Italy, 10–15 January 2021; pp. 1089–1095. [Google Scholar]
- Wang, Z.; Li, F.; Shi, G.; Xie, X.; Wang, F. Network pruning using sparse learning and genetic algorithm. Neurocomputing 2020, 404, 247–256. [Google Scholar] [CrossRef]
- Lu, J.; Liu, D.; Cheng, X.; Wei, L.; Hu, A.; Zou, X. An efficient unstructured sparse convolutional neural network accelerator for wearable ECG classification device. In IEEE Transactions on Circuits and Systems I: Regular Papers; Institute of Electrical and Electronics Engineers: New York, NY, USA, 2022; Volume 69, pp. 4572–4582. [Google Scholar]
- Wen, W.; Wu, C.; Wang, Y.; Chen, Y.; Li, H. Learning structured sparsity in deep neural networks. Adv. Neural Inf. Process. Syst. 2016, 29. [Google Scholar]
- Jacob, B.; Kligys, S.; Chen, B.; Zhu, M.; Tang, M.; Howard, A.; Adam, H.; Kalenichenko, D. Quantization and training of neural networks for efficient integer-arithmetic-only inference. In Proceedings of the IEEE Conference on Computer Vision and Pattern Recognition, Salt Lake City, UT, USA, 18–23 June 2018; pp. 2704–2713. [Google Scholar]
- Novikov, A.; Podoprikhin, D.; Osokin, A.; Vetrov, D.P. Tensorizing neural networks. Adv. Neural Inf. Process. Syst. 2015, 28. [Google Scholar]
- Wang, D.; Zhao, G.; Chen, H.; Liu, Z.; Deng, L.; Li, G. Nonlinear tensor train format for deep neural network compression. Neural Netw. 2021, 144, 320–333. [Google Scholar] [CrossRef] [PubMed]
- Pan, Y.; Xu, J.; Wang, M.; Ye, J.; Wang, F.; Bai, K.; Xu, Z. Compressing recurrent neural networks with tensor ring for action recognition. In Proceedings of the AAAI Conference on Artificial Intelligence, Honolulu, HI, USA, 27 January–1 February 2019; Volume 33, pp. 4683–4690. [Google Scholar]
- Phan, A.-H.; Sobolev, K.; Sozykin, K.; Ermilov, D.; Gusak, J.; Tichavský, P.; Glukhov, V.; Oseledets, I.; Cichocki, A. Stable low-rank tensor decomposition for compression of convolutional neural network. In Proceedings of the Computer Vision–ECCV 2020: 16th European Conference, Glasgow, UK, 23–28 August 2020; Proceedings, Part XXIX. 2020; pp. 522–539. [Google Scholar]
- Oseledets, I.; Tyrtyshnikov, E. TT-cross approximation for multidimensional arrays. Linear Algebra Its Appl. 2010, 432, 70–88. [Google Scholar] [CrossRef]
- Bäck, T.; Fogel, D.B.; and Michalewicz, Z. Introduction to evolutionary algorithms. Evol. Comput. 2000, 1, 59–63. [Google Scholar]
- Russakovsky, O.; Deng, J.; Su, H.; Krause, J.; Satheesh, S.; Ma, S.; Huang, Z.; Karpathy, A.; Khosla, A.; Bernstein, M.; et al. ImageNet large scale visual recognition challenge. Int. J. Comput. Vis. 2015, 115, 211–252. [Google Scholar] [CrossRef]





| Model | Parameters (mln.) | Compression ratio | Model Size (MBs) | CIFAR-10 Accuracy | Tiny ImageNet Accuracy | Inference Time (s) |
|---|---|---|---|---|---|---|
| ResNet-18 | ||||||
| Base Model | 11.2 | - | 44.7 | 93.00% | 58.2% | 0.6 |
| Tucker-CP | 0.92 | ×12.2 | 7.91 | 89.4% | 55.3% | 0.8 |
| CP-Tucker | 0.89 | ×12.5 | 7.6 | 89.2% | 54.4% | 0.8 |
| CP-CP | 0.77 | ×14.5 | 6.9 | 88.9% | 54.1% | 0.8 |
| ResNet-152 | ||||||
| Base Model | 58 | - | 233.5 | 96.2% | 69.2% | 5.1 |
| Tucker-CP | 23 | ×2.5 | 93.3 | 95.1% | 62.4% | 5.3 |
Disclaimer/Publisher’s Note: The statements, opinions and data contained in all publications are solely those of the individual author(s) and contributor(s) and not of MDPI and/or the editor(s). MDPI and/or the editor(s) disclaim responsibility for any injury to people or property resulting from any ideas, methods, instructions or products referred to in the content. |
© 2025 by the authors. Licensee MDPI, Basel, Switzerland. This article is an open access article distributed under the terms and conditions of the Creative Commons Attribution (CC BY) license (https://creativecommons.org/licenses/by/4.0/).
Share and Cite
Naumov, A.; Melnikov, A.; Perelshtein, M.; Melnikov, A.; Abronin, V.; Oksanichenko, F. Tensor Network Methods for Hyperparameter Optimization and Compression of Convolutional Neural Networks. Appl. Sci. 2025, 15, 1852. https://doi.org/10.3390/app15041852
Naumov A, Melnikov A, Perelshtein M, Melnikov A, Abronin V, Oksanichenko F. Tensor Network Methods for Hyperparameter Optimization and Compression of Convolutional Neural Networks. Applied Sciences. 2025; 15(4):1852. https://doi.org/10.3390/app15041852
Chicago/Turabian StyleNaumov, A., A. Melnikov, M. Perelshtein, Ar. Melnikov, V. Abronin, and F. Oksanichenko. 2025. "Tensor Network Methods for Hyperparameter Optimization and Compression of Convolutional Neural Networks" Applied Sciences 15, no. 4: 1852. https://doi.org/10.3390/app15041852
APA StyleNaumov, A., Melnikov, A., Perelshtein, M., Melnikov, A., Abronin, V., & Oksanichenko, F. (2025). Tensor Network Methods for Hyperparameter Optimization and Compression of Convolutional Neural Networks. Applied Sciences, 15(4), 1852. https://doi.org/10.3390/app15041852

