The Influence of Vertical Ground Motion on the Design of Common R/C Frames
Abstract
Featured Application
Abstract
1. Introduction
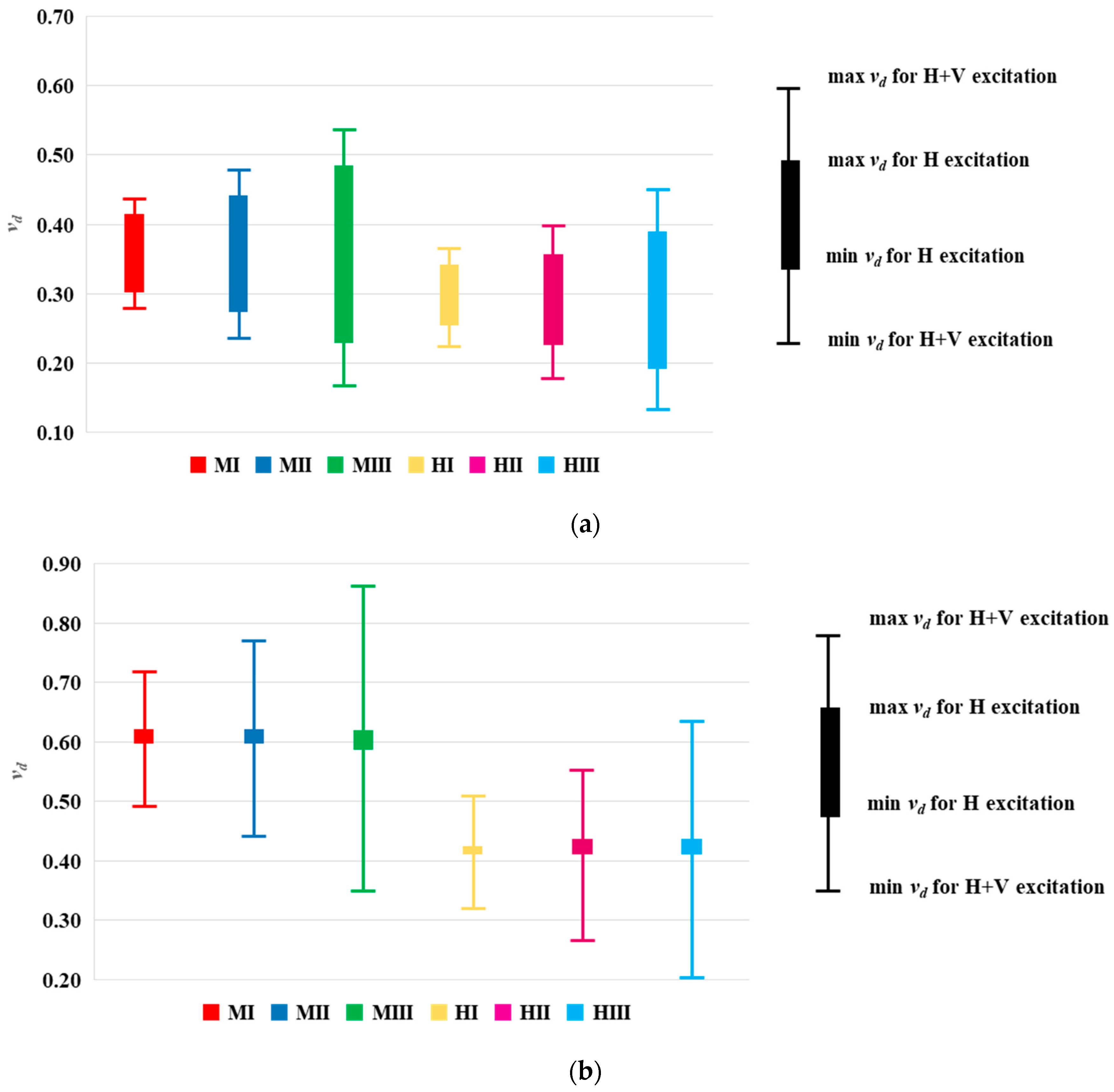
- The vertical component significantly affects the column axial forces [3,4,10,13,14]. On the one hand, it increases the maximum compressive axial load, and on the other hand, it may produce even tension [4,13,14]. Obviously, the fluctuation of axial stress may impact the efficiency of the structural design of columns, including their shear resistance [10];
 
2. Conventional Design of Planar Frames
- Given that the frames fulfilled the relevant code criterion, second-order (P-Δ) effects were not considered;
 - Given the behavior factors applied for the design (Table 1), one would expect larger member dimensions to result for DCM frames in relation to DCH ones. However, as shown in Table 2 and Table 3, this was not the case. This fact is reasonably explained due to other design parameters. On the one hand, the design seismic loads for the two ductility classes did not differ so much since the fundamental period of all frames lay at the final constant branch of the design spectra (see Figure 3 and Table 4). On the other hand, Eurocode 8 prescribes more strict compliance criteria for DCH structures in a series of provisions which are critical for the dimensioning of members. Such provisions are, for example, the limitation of columns’ normalized axial forces, the requirements for beam–column joints and the limitations aiming to preclude the bond failure of beam reinforcing bars. These provisions are briefly presented in the next section;
 - The frames belonging to the same ductility class had equal member dimensions despite the different seismic intensities. This was justified by the fact that, as explained above, the member dimensions are not only affected by the seismic load level but also by other code requirements. However, as analytically presented in Section 5, the quantities of reinforcement steel considerably diverged.
 
3. Evaluation of Frames for Vertical Ground Motion
3.1. Evaluation Through Spectral Analysis
- (a)
 - Members’ flexural resistance with or without axial force;
 - (b)
 - Members’ shear resistance, which is governed by the transverse reinforcement:where Asw, s and fywd are the stirrups’ cross-sectional area, spacing and design yield strength, respectively, d is the effective depth of the member cross-section and θ is the crack angle. θ was taken to be equal to 21.8° for columns and DCM beams and equal to 45° for DCH beams;
 - (c)
 - Columns’ normalized axial force (vd) limitation:where Nd is the axial force (the compressive force is positive), Ac is the column cross-sectional area and fcd is the concrete compressional strength;
 - (d)
 - The confinement of columns. This requirement applies to all critical regions of DCH columns (64 cross-sections checked) and to the base of DCM columns (4 cross-sections checked). The mechanical volumetric ratio of confining hoops ωwd shall satisfy Equation (3):In addition, the following relation shall be satisfied:where α is the effectiveness factor, vd is the maximum normalized axial force (the compression is positive), εsy,d is the reinforcement yield strain, bc is the width of the cross-section, bo is the concrete core width and μφ is the required value of the curvature ductility factor:where qo = q is the behavior factor, T1 is the first natural period of the frame and Tc is the characteristic period of the horizontal design spectrum;
 - (e)
 - The anchorage of the longitudinal bars of beams passing through joints. The following relations shall be satisfied:where dbl is the diameter of steel bars, hc is the column width, fctm is the mean concrete tensile strength, fyd is the reinforcement yield strength, γRd is the model uncertainty factor (1.2 or 1.0 for DCH or DCM, respectively), vd is the minimum column normalized axial force (the compression is positive), kD = 1 or 2/3 for DCH or DCM, respectively, ρ′ is the beam compression reinforcement ratio and ρmax is the maximum reinforcement ratio under tension;
 - (f)
 - The ratio of the column flexural resistance to the beam flexural resistance at beam–column joints. The following relation shall be satisfied at all joints except those of the upper floor:where ∑MRc and ∑MRb are the sums of the resistance moments of the columns and the beams, respectively, framing the joint;
 - (g)
 - The verification of diagonal struts’ compressive resistance at the joints. The following relations shall be satisfied:where Vjhd is the shear force acting horizontally on the concrete core, η = 0.6 (1 − fck/250), vd is the maximum value of the column’s normalized axial force above the joint (the compression is positive) and bj is the effective joint width. This provision applies for DCH joints only;
 - (h)
 - The confinement of joints. The total cross-sectional area Ash of horizontal hoops shall be provided:where hjw is the distance between the bottom and top longitudinal reinforcing bars of the beams, hjc is the distance between column longitudinal reinforcing bars of opposite faces, fctd is the concrete tensile strength and vd is the minimum column normalized axial force above the joint (the compression is positive). This provision applies for DCH joints only;
 - (i)
 - Vertical joint reinforcement. A minimum vertical reinforcement, Asv,i, shall be provided:where Asv,i is the cross-sectional area of the intermediate bars placed in the relevant column faces. This provision applies for DCH joints only.
 
3.2. Evaluation Through Time History Analysis
- The vertical component led to an increased number of locations where plastic deformations occurred;
 - Plastic hinges may develop not only at the ends of beams but at the mid-spans too. Obviously, this should be considered during the detailing of the beams for local ductility;
 - One of the main intentions of the design was to preclude soft storey plastic mechanisms. This was supposed to be achieved through the control of the flexural resistance of all the members framing a joint (see Section 3.1(f) above). However, the whole concept was compromised since the vertical component led to the development of several plastic hinges in the columns;
 - The vertical component may unfavorably affect the achievement of a limit state;
 - The upper stories seemed to be more vulnerable to the vertical excitation;
 - Vertical ground motion was more impactful for higher seismic intensities.
 
- The horizontal displacements, drifts, bending moments and shear forces of columns because they were not considerably affected by the vertical motion;
 - The vertical displacements of beams’ mid-points because they were not directly involved in the design of structural members;
 - The axial forces of columns and bending moments of beams because their influence was reflected in the plastic hinge formation.
 
4. Redesign of Frames
5. Cost Analysis
6. Conclusions
- The vertical component affects a lot of design aspects, such as the design actions, the members’ resistance, the confinement requirements, etc. It may lead to the violation of several code provisions even for simple structures without irregularities or special morphologies;
 - The main cause of the aforementioned violations is the fluctuation of the normalized axial forces of the columns, vd, as well as the amplification of the bending moments of the beams. More specifically, the maximum normalized axial forces might increase by up to about 49%, while the minimum ones might decrease by up to 51%. In addition, the beam bending moments might increase by up to 45% and 114% at the ends and the mid-points, respectively, leading to many deficiencies in the flexural strength;
 - The normalized axial force fluctuation might induce (i) several violations of the vd maximum limit, (ii) up to 12% exceedance of the column shear capacity, (iii) up to 42% exceedance of confinement demands in comparison with the available confinement in terms of αωwd, (iv) a reduction in the flexural resistance ratio at joints, even to below the minimum value permitted, and (v) up to a 42% reduction in the shear resistance and a significant increase in the reinforcement demands of joints;
 - The vertical seismic component may induce non-linear deformations at unexpected locations like the mid-spans of beams and the ends of columns, potentially leading to unfavorable plastic mechanisms;
 - The upper stories seem to be more vulnerable to vertical excitation;
 - Vertical ground motion is more impactful for higher seismic intensities;
 - The omission of the vertical component suggested by seismic codes for most structures is not justified. Further, taking it into account would not add a significant cost, since the additional expense does not exceed 4% of the initial total construction cost. This results from increases in the required concrete volume and steel mass of up to 7% and 32%, respectively.
 
Author Contributions
Funding
Institutional Review Board Statement
Informed Consent Statement
Data Availability Statement
Conflicts of Interest
References
- Ozturk, Μ.; Arslan, Μ.H.; Dogan, G.; Ecemis, A.S.; Arslan, H.D. School buildings performance in 7.7 Mw and 7.6 Mw catastrophic earthquakes in southeast of Turkey. J. Build. Eng. 2023, 79, 107810. [Google Scholar] [CrossRef]
 - Ibrahim, A.R.; Makhloof, D.A.; Ren, X. Seismic performance and collapse analysis of RC framed-wall structure excited with Turkey/Syria destructive earthquake. Structures 2024, 59, 105774. [Google Scholar] [CrossRef]
 - Kadid, A.; Yahiaoui, D.; Chebili, R. Behavior of reinforced concrete buildings under simultaneous horizontal and vertical ground motions. Asian J. Civ. Eng. Build. Hous. 2010, 11, 463–476. [Google Scholar]
 - Mazza, F.; Mazza, M. Nonlinear Modeling and Analysis of R.C. Framed Buildings Located in a Near-Fault Area. Open Constr. Build. Technol. J. 2012, 6, 346–354. [Google Scholar]
 - Harrington, C.C.; Liel, A.B. Collapse assessment of moment frame buildings, considering vertical ground shaking. Earthq. Eng. Struct. Dyn. 2016, 45, 2475–2493. [Google Scholar] [CrossRef]
 - Farsangi, E.N.; Tasnimi, A.A. The influence of coupled horizontal-vertical ground excitations on the collapse margins of modern RC-MRFs. Int. J. Adv. Struct. Eng. 2016, 8, 169–192. [Google Scholar] [CrossRef]
 - Landi, L.; Grazi, G.; Diotallevi, P.P. Comparison of different models for friction pendulum isolators in structures subjected to horizontal and vertical ground motions. Soil Dyn. Earthq. Eng. 2016, 81, 75–83. [Google Scholar] [CrossRef]
 - Elfeki, M.A.; Youssef, M.A. Shape memory alloy reinforced concrete frames vulnerable to strong vertical excitations. J. Build. Eng. 2017, 13, 272–290. [Google Scholar] [CrossRef]
 - Elfeki, M.A.; Youssef, M.A. Effect of the vertical earthquake component on the seismic response of reinforced concrete moment frames. In Proceedings of the 9th Canadian Conference on Earthquake Engineering, Ottawa, ON, Canada, 26–29 June 2017. [Google Scholar]
 - Kim, S.; Kim, S.J.; Chang, C. Analytical Assessment of the Effect of Vertical Ground Motion on RC Frames Designed for Gravity Loads with Various Geometric Configurations. Adv. Civ. Eng. 2018, 2018, 4029142. [Google Scholar] [CrossRef]
 - Bas, S. Estimation of Seismic Response of R/C Frame Structures to Vertical Earthquake Motion Considering Fixed Support and Soil-Structure-Interaction (SSI). Int. J. Eng. Res. Dev. 2019, 11, 7–17. [Google Scholar] [CrossRef]
 - Colangelo, F. Effect of earthquake statistically correlated vertical component on inelastic demand to regular reinforced-concrete frames. Eng. Struct. 2020, 211, 110492. [Google Scholar] [CrossRef]
 - Skoufezis, A.; Manoukas, G. Influence of vertical seismic component on the response of reinforced concrete regular planar frames. Soil Dyn. Earthq. Eng. 2023, 165, 107658. [Google Scholar] [CrossRef]
 - Manoukas, G.; Tsiggelis, V. Evaluation of Conventionally Designed Reinforced Concrete Beams Against Vertical Seismic Excitation. Iran. J. Sci. Technol. Trans. Civ. Eng. 2024, 1–12. [Google Scholar] [CrossRef]
 - Tian, Y.; Liu, X.; George, S. Effects of Vertical Ground Motion on Seismic Performance of Reinforced Concrete Flat-Plate Buildings. J. Struct. Eng. 2020, 146, 04020258. [Google Scholar] [CrossRef]
 - Wilson, T.; Chen, S.; Mahmoud, H. Analytical case study on the seismic performance of a curved and skewed reinforced concrete bridge under vertical ground motion. Eng. Struct. 2015, 100, 128–136. [Google Scholar] [CrossRef]
 - Al-Attraqchi, A.Y.; Hashemi, M.J.; Al-Mahaidi, R. Hybrid simulation of bridges constructed with concrete-filled steel tube columns subjected to horizontal and vertical ground motions. Bull. Earthq. Eng. 2020, 18, 4453–4480. [Google Scholar] [CrossRef]
 - Mazza, F. Effects of near-fault vertical earthquakes on the nonlinear incremental response of r.c. base-isolated structures exposed to fire. Bull. Earthq. Eng. 2016, 14, 433–454. [Google Scholar] [CrossRef]
 - Dana, M.; Cussen, A.; Chen, Y.N.; Davis, C.; Greer, M.; Houston, J.; Littler, P.; Roufegarinejad, A. Effects of the Seismic Vertical Component on Structural Behavior—An Analytical Study of Current Code Practices and Potential Areas of Improvement. In Proceedings of the 10th U.S. National Conference on Earthquake Engineering—Frontiers of Earthquake Engineering, Anchorage, AK, USA, 21–25 July 2014. [Google Scholar]
 - Gremer, N.; Adam, C.; Medina, R.A.; Moschen, L. Vertical peak floor accelerations of elastic moment-resisting steel frames. Bull. Earthq. Eng. 2019, 17, 3233–3254. [Google Scholar] [CrossRef]
 - Gremer, N.; Adam, C.; Furtmüller, T. Effect of damping model and inelastic deformation on the prediction of vertical seismic acceleration demand on steel frames. Bull. Earthq. Eng. 2023, 21, 207–235. [Google Scholar] [CrossRef]
 - Bovo, M.; Savoia, M. Evaluation of force fluctuations induced by vertical seismic component on reinforced concrete precast structures. Eng. Struct. 2019, 178, 70–87. [Google Scholar] [CrossRef]
 - Di Michele, F.; Cantagallo, C.; Spacone, E. Effects of the vertical seismic component on seismic performance of an unreinforced masonry structure. Bull. Earthq. Eng. 2020, 18, 1635–1656. [Google Scholar] [CrossRef]
 - Terzi, V.; Athanatopoulou, A. Seismic Vertical Component Effects on the Pathology of a Historical Structure, Xana, Located in Greece. Front. Built Environ. 2021, 7, 666840. [Google Scholar] [CrossRef]
 - Camata, G.; Di Primio, A.; Sepe, V.; Cantagallo, C. The Effect of the Vertical Component of the Earthquake on a Regular Masonry Wall. Appl. Sci. 2023, 13, 2459. [Google Scholar] [CrossRef]
 - Wang, P.; Wang, B.; Cheng, X.; Zhao, M.; Du, X. Seismic response of monopile offshore wind turbines in liquefiable sand considering vertical ground motion. Soil Dyn. Earthq. Eng. 2025, 189, 109117. [Google Scholar] [CrossRef]
 - Ahiwale, D.D.; Patil, A.N.; Kontoni, D.-P.N. Quantification and parametric analysis of large overhang RC planar frames subjected to horizontal and combined horizontal–vertical earthquake loading. Asian J. Civ. Eng. 2025, 26, 401–430. [Google Scholar] [CrossRef]
 - Li, M.; Guo, J.; Zhang, P.; Guan, Z. Vertical effects of near-fault ground motions and the optimal IMs for seismic response of continuous girder bridges with FPB isolators. Eng. Struct. 2023, 289, 116326. [Google Scholar] [CrossRef]
 - EN 1992-1-1; Eurocode 2. Design of Concrete Structures. Part 1-1: General Rules and Rules for Buildings. European Committee for Standardization: Brussels, Belgium, 2002.
 - EN 1998-1; Eurocode 8. Design of Structures for Earthquake Resistance. Part 1: General Rules, Seismic Actions and Rules for Buildings. European Committee for Standardization: Brussels, Belgium, 2004.
 - Manoukas, G.E. Structural modelling of reinforced concrete planar frames under vertical ground motion. Asian J. Civ. Eng. 2021, 22, 1563–1580. [Google Scholar] [CrossRef]
 - Pacific Earthquake Engineering Research Centre: Strong Motion Database. Available online: https://ngawest2.berkeley.edu/ (accessed on 17 June 2020).
 - Cantagallo, C.; Camata, G.; Spacone, E. Seismic Demand Sensitivity of Reinforced Concrete Structures to Ground Motion Selection and Modification Methods. Earthq. Spectra 2014, 30, 1449–1465. [Google Scholar] [CrossRef]
 - Cantagallo, C.; De Risi, R.; Terrenzi, M.; Camata, G.; Spacone, E. Sufficiency assessment of intensity measures for natural and spectral-matched ground motion records. Bull. Earthq. Eng. 2024, 22, 6305–6326. [Google Scholar] [CrossRef]
 - EN 1998-1; Eurocode 8. Design of Structures for Earthquake Resistance. Part 3: Assessment and Retrofitting of Buildings. European Committee for Standardization: Brussels, Belgium, 2004.
 























| Frames | ||||||
|---|---|---|---|---|---|---|
| MI | MII | MIII | HI | HII | HIII | |
| agr (g) | 0.16 | 0.24 | 0.36 | 0.16 | 0.24 | 0.36 | 
| q | 3.90 | 3.90 | 3.90 | 5.85 | 5.85 | 5.85 | 
| Columns | Frames | |||||
|---|---|---|---|---|---|---|
| MI | MII | MIII | HI | HII | HIII | |
| C11-C14 | 45/45 | 45/45 | 45/45 | 50/50 | 50/50 | 50/50 | 
| C12-C13 | 50/50 | 50/50 | 50/50 | 60/60 | 60/60 | 60/60 | 
| C21-C24 | 40/40 | 40/40 | 40/40 | 50/50 | 50/50 | 50/50 | 
| C22-C23 | 50/50 | 50/50 | 50/50 | 60/60 | 60/60 | 60/60 | 
| C31-C34 | 40/40 | 40/40 | 40/40 | 45/45 | 45/45 | 45/45 | 
| C32-C33 | 45/45 | 45/45 | 45/45 | 55/55 | 55/55 | 55/55 | 
| C41-C44 | 35/35 | 35/35 | 35/35 | 40/40 | 40/40 | 40/40 | 
| C42-C43 | 45/45 | 45/45 | 45/45 | 50/50 | 50/50 | 50/50 | 
| C51-C54 | 35/35 | 35/35 | 35/35 | 40/40 | 40/40 | 40/40 | 
| C52-C53 | 40/40 | 40/40 | 40/40 | 50/50 | 50/50 | 50/50 | 
| C61-C64 | 35/35 | 35/35 | 35/35 | 40/40 | 40/40 | 40/40 | 
| C62-C63 | 40/40 | 40/40 | 40/40 | 50/50 | 50/50 | 50/50 | 
| C71-C74 | 30/30 | 30/30 | 30/30 | 40/40 | 40/40 | 40/40 | 
| C72-C73 | 35/35 | 35/35 | 35/35 | 50/50 | 50/50 | 50/50 | 
| C81-C84 | 25/25 | 25/25 | 25/25 | 40/40 | 40/40 | 40/40 | 
| C82-C83 | 35/35 | 35/35 | 35/35 | 50/50 | 50/50 | 50/50 | 
| Beams | Frames | |||||
|---|---|---|---|---|---|---|
| MI | MII | MIII | HI | HII | HIII | |
| B11-B12-B13 | 30/75 | 30/75 | 30/75 | 30/75 | 30/75 | 30/75 | 
| B21-B22-B23 | 30/75 | 30/75 | 30/75 | 30/75 | 30/75 | 30/75 | 
| B31-B32-B33 | 30/70 | 30/70 | 30/70 | 30/75 | 30/75 | 30/75 | 
| B41-B42-B43 | 30/70 | 30/70 | 30/70 | 30/75 | 30/75 | 30/75 | 
| B51-B52-B53 | 30/70 | 30/70 | 30/70 | 30/70 | 30/70 | 30/70 | 
| B61-B62-B63 | 30/70 | 30/70 | 30/70 | 30/70 | 30/70 | 30/70 | 
| B71-B72-B73 | 30/70 | 30/70 | 30/70 | 30/70 | 30/70 | 30/70 | 
| B81-B82-B83 | 30/70 | 30/70 | 30/70 | 30/70 | 30/70 | 30/70 | 
| Frames | T1 (s) | T2 (s) | T3 (s) | ε1 (%) | ε2 (%) | ε3 (%) | 
|---|---|---|---|---|---|---|
| MI | 1.317 | 0.479 | 0.289 | 77.6 | 12.6 | 4.8 | 
| MII | ||||||
| MIII | ||||||
| HI | 1.091 | 0.372 | 0.213 | 79.0 | 12.3 | 4.1 | 
| HII | ||||||
| HIII | 
| Frames | T5 (s) | T21 (s) | T33 (s) | ε5 (%) | ε21 (%) | ε33 (%) | 
|---|---|---|---|---|---|---|
| MI | 0.193 | 0.089 | 0.064 | 76.6 | 5.5 | 3.2 | 
| MII | ||||||
| MIII | ||||||
| T4 (s) | T18 (s) | T27 (s) | ε4 (%) | ε18 (%) | ε27 (%) | |
| HI | 0.160 | 0.078 | 0.066 | 78.9 | 3.1 | 2.5 | 
| HII | ||||||
| HIII | 
| Eurocode Provisions | Frames | |||||
|---|---|---|---|---|---|---|
| MI | MII | MIII | HI | HII | HIII | |
| Limitation of columns’  normalized axial force  | 4/32 | 8/32 | 10/32 | 0/32 | 2/32 | 8/32 | 
| Verification of columns’  bending resistance  | 0/32 | 0/32 | 0/32 | 0/32 | 0/32 | 0/32 | 
| Verification of columns’  shear resistance  | 8/32 | 4/32 | 1/32 | 14/32 | 18/32 | 12/32 | 
| Confinement of columns’  critical regions  | 2/4 | 4/4 | 4/4 | 36/64 | 40/64 | 48/64 | 
| Verification of beams’  bending resistance  | 0/24 | 18/24 | 20/24 | 2/24 | 14/24 | 22/24 | 
| Verification of beams’  shear resistance  | 0/24 | 0/24 | 4/24 | 0/24 | 0/24 | 5/24 | 
| Verification of joints’ diagonal struts’ compressive resistance | Νot  applicable  | Νot  applicable  | Νot  applicable  | 0/32 | 0/32 | 8/32 | 
| Horizontal confinement  reinforcement of joints  | Νot  applicable  | Νot  applicable  | Νot  applicable  | 10/32 | 14/32 | 20/32 | 
| Vertical reinforcement  passing through joints  | Νot  applicable  | Νot  applicable  | Νot  applicable  | 6/32 | 6/32 | 18/32 | 
| Anchorage of longitudinal  bars of beams  | 2/32 | 4/32 | 14/32 | 6/32 | 8/32 | 12/32 | 
| Ratio of column flexural resistance to beam  flexural resistance  | 4/28 | 12/28 | 18/28 | 0/28 | 0/28 | 4/28 | 
| No. | Earthquake | PGAH (g) | PGAV (g) | 
|---|---|---|---|
| 01 | Imperial Valley | 0.29 | 0.47 | 
| 02 | Landers | 0.79 | 0.82 | 
| 03 | N. Palm Springs | 0.22 | 0.36 | 
| Ground Motion | sf1 | sf2 | sf3 | Product sf1∙sf2∙sf3 | ||||
|---|---|---|---|---|---|---|---|---|
| I | II | III | I | II | III | |||
| Imperial Valley | 0.667 | 1.961 | 1.00 | 1.50 | 2.25 | 1.308 | 1.962 | 2.943 | 
| Landers | 0.203 | 0.398 | 0.597 | 0.896 | ||||
| N. Palm Springs | 0.727 | 1.426 | 2.138 | 3.208 | ||||
| Frames | T1 (s) | T2 (s) | T3 (s) | ε1 (%) | ε2 (%) | ε3 (%) | 
|---|---|---|---|---|---|---|
| MI | 1.291 | 0.472 | 0.285 | 76.4 | 12.9 | 4.9 | 
| MII | 1.241 | 0.462 | 0.273 | 75.6 | 12.9 | 5.0 | 
| MIII | 1.207 | 0.426 | 0.251 | 76.4 | 13.4 | 4.5 | 
| HI | 1.091 | 0.372 | 0.213 | 79.0 | 12.3 | 4.1 | 
| HII | 1.071 | 0.368 | 0.209 | 78.4 | 12.3 | 4.0 | 
| HIII | 1.049 | 0.361 | 0.206 | 77.3 | 12.7 | 4.1 | 
| Frames | T5 (s) | T21 (s) | T33 (s) | ε5 (%) | ε21 (%) | ε33 (%) | 
|---|---|---|---|---|---|---|
| MI | 0.188 | 0.088 | 0.063 | 75.8 | 5.6 | 2.4 | 
| T5 (s) | T19 (s) | T21 (s) | ε5 (%) | ε19 (%) | ε21 (%) | |
| MII | 0.180 | 0.090 | 0.085 | 75.5 | 4.4 | 3.1 | 
| T5 (s) | T19 (s) | T22 (s) | ε5 (%) | ε19 (%) | ε22 (%) | |
| MIII | 0.173 | 0.088 | 0.082 | 76.8 | 3.7 | 4.7 | 
| T4 (s) | T18 (s) | T27 (s) | ε4 (%) | ε18 (%) | ε27 (%) | |
| HI | 0.160 | 0.078 | 0.066 | 78.9 | 3.1 | 2.5 | 
| T4 (s) | T18 (s) | T27 (s) | ε4 (%) | ε18 (%) | ε27 (%) | |
| HII | 0.157 | 0.077 | 0.066 | 78.7 | 4.5 | 3.7 | 
| T4 (s) | T19 (s) | T27 (s) | ε4 (%) | ε19 (%) | ε27 (%) | |
| HIII | 0.152 | 0.076 | 0.064 | 77.6 | 4.8 | 4.7 | 
| Columns | Frames | |||||
|---|---|---|---|---|---|---|
| MI | MII | MIII | HI | HII | HIII | |
| C11-C14 | 45/45 | 45/45 | 45/45 | 50/50 | 50/50 | 50/50 | 
| C12-C13 | 55/55 | 60/60 | 60/60 | 60/60 | 65/65 | 70/70 | 
| C21-C24 | 40/40 | 40/40 | 40/40 | 50/50 | 50/50 | 50/50 | 
| C22-C23 | 50/50 | 55/55 | 60/60 | 60/60 | 60/60 | 65/65 | 
| C31-C34 | 40/40 | 40/40 | 40/40 | 45/45 | 45/45 | 45/45 | 
| C32-C33 | 50/50 | 50/50 | 55/55 | 55/55 | 55/55 | 60/60 | 
| C41-C44 | 35/35 | 35/35 | 35/35 | 40/40 | 40/40 | 40/40 | 
| C42-C43 | 45/45 | 50/50 | 50/50 | 50/50 | 55/55 | 55/55 | 
| C51-C54 | 35/35 | 35/35 | 35/35 | 40/40 | 40/40 | 40/40 | 
| C52-C53 | 40/40 | 45/45 | 45/45 | 50/50 | 50/50 | 50/50 | 
| C61-C64 | 35/35 | 35/35 | 35/35 | 40/40 | 40/40 | 40/40 | 
| C62-C63 | 40/40 | 40/40 | 40/40 | 50/50 | 50/50 | 50/50 | 
| C71-C74 | 30/30 | 30/30 | 35/35 | 40/40 | 40/40 | 40/40 | 
| C72-C73 | 35/35 | 35/35 | 40/40 | 50/50 | 50/50 | 50/50 | 
| C81-C84 | 25/25 | 25/25 | 30/30 | 40/40 | 40/40 | 40/40 | 
| C82-C83 | 35/35 | 35/35 | 40/40 | 50/50 | 50/50 | 50/50 | 
| Beams | Frames | |||||
|---|---|---|---|---|---|---|
| MI | MII | MIII | HI | HII | HIII | |
| B11-B12-B13 | 30/75 | 30/75 | 30/75 | 30/75 | 30/75 | 30/75 | 
| B21-B22-B23 | 30/75 | 30/75 | 30/75 | 30/75 | 30/75 | 30/75 | 
| B31-B32-B33 | 30/70 | 30/70 | 30/70 | 30/75 | 30/75 | 30/75 | 
| B41-B42-B43 | 30/70 | 30/70 | 30/70 | 30/75 | 30/75 | 30/75 | 
| B51-B52-B53 | 30/70 | 30/70 | 30/70 | 30/70 | 30/70 | 30/70 | 
| B61-B62-B63 | 30/70 | 30/70 | 30/70 | 30/70 | 30/70 | 30/70 | 
| B71-B72-B73 | 30/70 | 30/70 | 30/70 | 30/70 | 30/70 | 30/70 | 
| B81-B82-B83 | 30/70 | 30/70 | 30/70 | 30/70 | 30/70 | 30/70 | 
Disclaimer/Publisher’s Note: The statements, opinions and data contained in all publications are solely those of the individual author(s) and contributor(s) and not of MDPI and/or the editor(s). MDPI and/or the editor(s) disclaim responsibility for any injury to people or property resulting from any ideas, methods, instructions or products referred to in the content.  | 
© 2025 by the authors. Licensee MDPI, Basel, Switzerland. This article is an open access article distributed under the terms and conditions of the Creative Commons Attribution (CC BY) license (https://creativecommons.org/licenses/by/4.0/).
Share and Cite
Manoukas, G.; Tsiggelis, V. The Influence of Vertical Ground Motion on the Design of Common R/C Frames. Appl. Sci. 2025, 15, 1711. https://doi.org/10.3390/app15041711
Manoukas G, Tsiggelis V. The Influence of Vertical Ground Motion on the Design of Common R/C Frames. Applied Sciences. 2025; 15(4):1711. https://doi.org/10.3390/app15041711
Chicago/Turabian StyleManoukas, Grigorios, and Vasilios Tsiggelis. 2025. "The Influence of Vertical Ground Motion on the Design of Common R/C Frames" Applied Sciences 15, no. 4: 1711. https://doi.org/10.3390/app15041711
APA StyleManoukas, G., & Tsiggelis, V. (2025). The Influence of Vertical Ground Motion on the Design of Common R/C Frames. Applied Sciences, 15(4), 1711. https://doi.org/10.3390/app15041711
        
                                                
