The Influence and Compensation of Environmental Factors (pH, Temperature, and Conductivity) on the Detection of Chemical Oxygen Demand in Water by UV-Vis Spectroscopy
Abstract
1. Introduction
2. Materials and Methods
2.1. Samples Collection
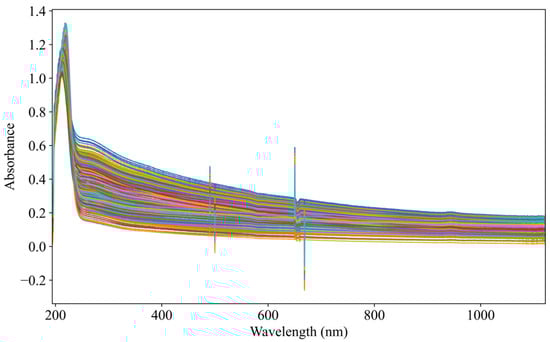
2.2. UV-Vis Spectrum Measurement
2.3. Standard COD Determination
2.4. Sample Set Division
2.5. Measurement of Environmental Factors in Water Samples
2.6. Experimental Materials
2.7. Data Modeling
3. Experiment and Results Discussion
3.1. Effect of the Influence of Environmental Factors on UV-Vis Spectroscopy
3.1.1. Effect of the Influence of pH on UV-Vis Spectroscopy
- The influence of pH on the standard solution.
- 2.
- The influence of pH on real water samples.
3.1.2. Effect of the Influence of Temperature on UV-Vis Spectroscopy
- The influence of temperature on the standard solution.
- 2.
- The influence of temperature on real water samples.
3.1.3. Effect of the Influence of Conductivity on UV-Vis Spectroscopy
- The influence of on the standard solution.
- 2.
- The influence of on real water samples.
3.1.4. Analysis of the Influence of Multiple Environmental Factors on UV-Vis Spectroscopy
3.2. COD Detection Compensation Based on Fusion of UV-Vis Spectroscopy and Environmental Factors
3.2.1. Data Fusion Theory
3.2.2. Data Processing of UV-Vis Spectroscopy and Environmental Factors
- Spectral data processing.
- 2.
- Environmental factor data processing.
3.2.3. Fusion Modeling of Spectra and Single Environmental Factor
3.2.4. Fusion Modeling of Spectra and Three Environmental Factors
3.3. Discussion
4. Conclusions
Author Contributions
Funding
Data Availability Statement
Acknowledgments
Conflicts of Interest
References
- Li, L.; Pan, X.; Feng, Y.; Yin, L.; Hu, C.; Yang, H. Deep convolution network application in identification of multi-variety and multi-manufacturer pharmaceutical. Spectrosc. Spectr. Anal. 2019, 39, 3606–3613. [Google Scholar]
- Li, X.; Feng, Y.; Duan, J.; Feng, L.; Wang, Q.; Ma, J.; Liu, W.; Yuan, X. Model-based mid-infrared spectroscopy for on-line monitoring of volatile fatty acids in the anaerobic digester. Environ. Res. 2022, 206, 112607. [Google Scholar] [CrossRef] [PubMed]
- Nan, D.; Dong, L.; Fu, W.; Liu, W.; Kong, J. Fast identification of hazardous liquids based on Raman spectroscopy. Spectrosc. Spectr. Anal. 2021, 41, 1806–1810. [Google Scholar]
- Rong, N.; Huang, M. Age Estimation of Bloodstains Based on Visible-Near Infrared Multi-Spectrum Combined Ensembling Model. Spectrosc. Spectr. Anal. 2020, 40, 168–173. [Google Scholar]
- Yan, S.; Li, Y.; Peng, Y.; Ma, S.; Han, D. Detection of nitrofurans residues in honey using surface-enhanced Raman spectroscopy. J. Food Sci. 2022, 87, 3318–3328. [Google Scholar] [CrossRef] [PubMed]
- Guan, L.; Zhou, Y.; Yang, S. An improved prediction model for COD measurements using UV-Vis spectroscopy. RSC Adv. 2024, 14, 193–205. [Google Scholar] [CrossRef]
- Li, F.; Tang, B.; Zhao, M.; Hu, X.; Shi, S.; Zhou, M. Research on correction method of water quality ultraviolet-visible spectrum data based on compressed sensing. J. Spectrosc. 2021, 2021, 6650630. [Google Scholar] [CrossRef]
- Guo, Y.; Liu, C.; Ye, R.; Duan, Q. Advances on Water Quality Detection by UV-Vis Spectroscopy. Appl. Sci. 2020, 10, 6874. [Google Scholar] [CrossRef]
- Liu, E.; Wu, D.; Wang, J.; Tan, W.; Pu, J.; Luo, B.; Tang, B.; Long, Z.; Zhao, M. Multi-scene optimization method of water COD measurement based on direct spectroscopy. Acta. Opt. Sin. 2021, 41, 2230001. [Google Scholar]
- Hu, Y.; Dai, B.; Yang, Y.; Zhao, D.; Ren, H. Sample Generation Method Based on Variational Modal Decomposition and Generative Adversarial Network (VMD–GAN) for Chemical Oxygen Demand (COD) Detection Using Ultraviolet Visible Spectroscopy. Appl. Spectrosc. 2023, 77, 1173–1180. [Google Scholar] [CrossRef] [PubMed]
- Sheng, H.; Chi, H.; Xu, M.; Liu, S.; Wan, J.; Wang, J. Inland water chemical oxygen demand estimation based on improved SVR for hyperspectral data. Spectrosc. Spectr. Anal. 2021, 41, 3565–3571. [Google Scholar]
- Zhou, K.; Bi, W.; Zhang, Q.; Fu, X.; Wu, G. Influence of temperature and turbidity on water COD detection by UV absorption spectroscopy. Optoelectron. Lett. 2016, 12, 461–464. [Google Scholar] [CrossRef]
- Zhou, K.; Bai, X.; Bi, W. The Temperature, Turbidity and pH Impact Analysis of Water COD Detected by Fluorescence Spectroscopy. Spectrosc. Spectr. Anal. 2019, 39, 1097–1102. [Google Scholar]
- Lv, Z.; Xiao, X.; Wang, Y.; Zhang, Y.; Jiao, N. Improved water quality monitoring indicators may increase carbon storage in the oceans. Environ. Res. 2022, 206, 112608. [Google Scholar] [CrossRef] [PubMed]
- Chen, X.; Yin, G.; Zhao, N.; Yang, R.; Xia, M.; Feng, C.; Chen, Y.; Dong, M.; Zhu, W. Turbidity compensation method based on Mie scattering theory for water chemical oxygen demand determination by UV-Vis spectrometry. Anal. Bioanal. Chem. 2021, 413, 877–883. [Google Scholar] [CrossRef]
- Post, C.; Brülisauer, S.; Waldschläger, K.; Hug, W.; Grüneis, L.; Heyden, N.; Schmor, S.; Förderer, A.; Reid, R.; Reid, M.; et al. Application of Laser-Induced, Deep UV Raman Spectroscopy and Artificial Intelligence in Real-Time Environmental Monitoring-Solutions and First Results. Sensors 2021, 21, 3911. [Google Scholar] [CrossRef] [PubMed]
- Katuhiro, Y. Jrial of an organic compostion examination in natural water by UV spectram. Chem. Edu. 1999, 47, 338–341. [Google Scholar]
- Croitoru, M.D. Nitrite and nitrate can be accurately measured in samples of vegetal and animal origin using an HPLC-UV/VIS technique. J. Chromatogr. B 2012, 911, 154–161. [Google Scholar] [CrossRef]
- Zhou, K.; Liu, Z.; Cong, M.; Man, S. Analysis on influencing factors of detecting chemical oxygen demand in water by ultraviolet absorption spectroscopy. Optoelectron. Lett. 2022, 18, 749–754. [Google Scholar] [CrossRef]
- Lyu, Y.; Zhao, W.; Kinouchi, T.; Nagano, T.; Tanaka, S. Development of statistical regression and artificial neural network models for estimating nitrogen, phosphorus, COD, and suspended solid concentrations in eutrophic rivers using UV-Vis spectroscopy. Environ. Monit. Assess. 2023, 195, 1114. [Google Scholar] [CrossRef] [PubMed]
- Cao, Y.; Yang, W.; Li, H.; Zhang, H.; Li, M. Development of a vehicle-mounted soil organic matter detection system based on near-infrared spectroscopy and image information fusion. Meas. Sci. Technol. 2024, 35, 045501. [Google Scholar] [CrossRef]
- Zou, M.; Liu, Y.; Fu, M.; Li, C.; Zhou, Z.; Meng, H.; Xing, E.; Ren, Y. Combining spectral and texture feature of UAV image with plant height to improve LAI estimation of winter wheat at jointing stage. Front. Plant. Sci. 2023, 14, 1272049. [Google Scholar] [CrossRef] [PubMed]
- Zou, Y.; Zhang, A.; Wang, X.; Yang, L.; Ding, M. Comparison of feature selection and data fusion of Fourier transform infrared and Raman spectroscopy for identifying watercolor ink. J. Forensic. Sci. 2024, 69, 584–592. [Google Scholar] [CrossRef]
- Huang, J.; Zhang, Y.; Yang, F.; Chai, L. Attention-Guided Fusion and Classification for Hyperspectral and LiDAR Data. Remote Sens. 2024, 16, 94. [Google Scholar] [CrossRef]
- Cimander, C.; Carlsson, M.; Mandenius, C.F. Sensor fusion for on-line monitoring of yoghurt fermentation. J. Biotechnol. 2002, 99, 237–248. [Google Scholar] [CrossRef]
- Casale, M.; Armanino, C.; Casolino, C.; Forina, M. Combining information from headspace mass spectrometry and visible spectroscopy in the classification of the Ligurian olive oils. Anal. Chim. Acta. 2007, 589, 89–95. [Google Scholar] [CrossRef]
- Pizarro, C.; Rodríguez-Tecedor, S.; Pérez-del-Notario, N.; Esteban-Díez, I.; González-Sáiz, J.M. Classification of Spanish extra virgin olive oils by data fusion of visible spectroscopic fingerprints and chemical descriptors. Food Chem. 2013, 138, 915–922. [Google Scholar] [CrossRef]
- Qin, X.; Gao, F.; Chen, G. Wastewater quality monitoring system using sensor fusion and machine learning techniques. Water Res. 2012, 46, 1133–1144. [Google Scholar] [CrossRef] [PubMed]
- Chen, B.; Wu, H.; Li, S. Development of variable pathlength UV-vis spectroscopy combined with partial-least-squares regression for wastewater chemical oxygen demand (COD) monitoring. Talanta 2014, 120, 325–330. [Google Scholar] [CrossRef] [PubMed]
- Dedkov, Y.; Elizarova, O.V.; Kel’ina, S.Y. Dichromate method for the determination of chemical oxygen demand. J. Anal. Chem. 2000, 55, 777–781. [Google Scholar] [CrossRef]
- Rajkumar, D.; Palanivelu, K. Electrochemical treatment of industrial wastewater. J. Hazard. Mater. 2004, 113, 123–129. [Google Scholar] [CrossRef]
- Qiu, J.; Guo, H.; Xue, Y.; Liu, Q.; Xu, Z.; He, L. Rapid detection of chemical oxygen demand, pH value, total nitrogen, total phosphorus, and ammonia nitrogen in biogas slurry by near infrared spectroscopy. Anal. Methods 2023, 15, 3902–3914. [Google Scholar] [CrossRef]
- Hou, Y.; Zhang, A.; Lv, R.; Zhang, Y.; Ma, J.; Li, T. Machine learning algorithm inversion experiment and pollution analysis of water quality parameters in urban small and medium-sized rivers based on UAV multispectral data. Environ. Sci. Pollut. Res. 2023, 30, 78913–78932. [Google Scholar] [CrossRef]
- Han, X.; Chen, X.; Ma, J.; Chen, J.; Xie, B.; Yin, W.; Yang, Y.; Jia, W.; Xie, D.; Huang, F. Discrimination of Chemical Oxygen Demand Pollution in Surface Water Based on Visible Near-Infrared Spectroscopy. Water 2022, 14, 3003. [Google Scholar] [CrossRef]
- Zhou, K.; Liu, Z.; Cong, M.; Man, S. Detection of chemical oxygen demand in water based on UV absorption spectroscopy and PSO-LSSVM algorithm. Optoelectron. Optoelectron. Lett. 2022, 18, 0251–0256. [Google Scholar] [CrossRef]
- Yao, L.; Shi, X.; Pan, T.; Chen, J. Wavelength Selection Method Based on Absorbance Value Optimization to Near-Infrared Spectroscopic Analysis. Front. Phys. 2021, 9, 663573. [Google Scholar] [CrossRef]
- Wei, Y.; Wu, D.; Terpenny, J. Decision-Level Data Fusion in Quality Control and Predictive Maintenance. IEEE. Trans. Autom. Sci. Eng. 2021, 18, 184–194. [Google Scholar] [CrossRef]
- Kim, H.; Lee, S.M.; Choi, S. Automatic sleep stages classification using multi-level fusion. Biomed. Eng. Lett. 2022, 12, 413–420. [Google Scholar] [CrossRef] [PubMed]
- Wen, P.; Li, Y.; Chen, S.; Zhao, S. Remaining Useful Life Prediction of IIoT-Enabled Complex Industrial Systems With Hybrid Fusion of Multiple Information Sources. IEEE. Internet Things J. 2021, 8, 9045–9058. [Google Scholar] [CrossRef]
- Alyahyan, S.; Wang, W. Decision level ensemble method for classifying multi-media data. Wireless. Netw. 2022, 28, 1219–1227. [Google Scholar] [CrossRef]












| Sample Set | Samples | Minimum (mg/L) | Maximum (mg/L) | Mean (mg/L) | Standard Deviation (mg/L) |
|---|---|---|---|---|---|
| Calibration | 160 | 13.8 | 116.5 | 59.9 | 31.0 |
| Prediction | 80 | 16.1 | 116.1 | 59.6 | 31.2 |
| All | 240 | 13.8 | 116.5 | 59.7 | 31.1 |
| Factors | Minimum | Maximum | Mean | Standard Deviation |
|---|---|---|---|---|
| pH | 4.7 | 8.5 | 6.4 | 1.6 |
| Temperature (°C) | 0 | 33 | 15.5 | 9.8 |
| Conductivity (mS/m) | 0.2 | 137.7 | 11.4 | 45.8 |
| Environmental Factors | Influence Mode | Influence Level |
|---|---|---|
| pH | Red or blue shift, accompanied by upshift or downshift | The influence is significant, and the relationship is complex when the pH of the solution is high. |
| Temperature | Upshift or downshift | There is a certain influence, overall nonlinearity, and complex relationships. |
| Conductivity | Upshift or downshift | The influence is significant, and the relationship is complex. |
| Data Processing | Data Dimension | Calibration | Prediction | ||
|---|---|---|---|---|---|
| RMSEC | RMSEP | ||||
| Raw spectrum + PLS | 2048 | 0.8744 | 9.14 | 0.8481 | 10.86 |
| SCARS + PLS | 14 | 0.9138 | 6.56 | 0.8943 | 7.83 |
| SCARS + pH + PLS | 15 | 0.9485 | 4.29 | 0.9459 | 4.46 |
| SCARS + Temperature + PLS | 15 | 0.9177 | 6.30 | 0.9054 | 7.11 |
| SCARS + Conductivity + PLS | 15 | 0.9395 | 4.87 | 0.9317 | 5.39 |
Disclaimer/Publisher’s Note: The statements, opinions and data contained in all publications are solely those of the individual author(s) and contributor(s) and not of MDPI and/or the editor(s). MDPI and/or the editor(s) disclaim responsibility for any injury to people or property resulting from any ideas, methods, instructions or products referred to in the content. |
© 2025 by the authors. Licensee MDPI, Basel, Switzerland. This article is an open access article distributed under the terms and conditions of the Creative Commons Attribution (CC BY) license (https://creativecommons.org/licenses/by/4.0/).
Share and Cite
Li, J.; Ding, Y.; Lu, Y.; Liu, J.; Zhou, C.; Shao, Z. The Influence and Compensation of Environmental Factors (pH, Temperature, and Conductivity) on the Detection of Chemical Oxygen Demand in Water by UV-Vis Spectroscopy. Appl. Sci. 2025, 15, 1694. https://doi.org/10.3390/app15041694
Li J, Ding Y, Lu Y, Liu J, Zhou C, Shao Z. The Influence and Compensation of Environmental Factors (pH, Temperature, and Conductivity) on the Detection of Chemical Oxygen Demand in Water by UV-Vis Spectroscopy. Applied Sciences. 2025; 15(4):1694. https://doi.org/10.3390/app15041694
Chicago/Turabian StyleLi, Jingwei, Yipei Ding, Yijing Lu, Jia Liu, Chenxuan Zhou, and Zhiyu Shao. 2025. "The Influence and Compensation of Environmental Factors (pH, Temperature, and Conductivity) on the Detection of Chemical Oxygen Demand in Water by UV-Vis Spectroscopy" Applied Sciences 15, no. 4: 1694. https://doi.org/10.3390/app15041694
APA StyleLi, J., Ding, Y., Lu, Y., Liu, J., Zhou, C., & Shao, Z. (2025). The Influence and Compensation of Environmental Factors (pH, Temperature, and Conductivity) on the Detection of Chemical Oxygen Demand in Water by UV-Vis Spectroscopy. Applied Sciences, 15(4), 1694. https://doi.org/10.3390/app15041694

