Abstract
This study aims to examine the spatiotemporal variations of extreme rainfall events in Seoul, South Korea, utilizing subhourly rainfall data collected from an extensive observation network. Employing the Mann–Kendall trend detection test and Moran’s I index, this study analyzed temporal trends and spatial distributions in the extreme rainfall time series at 37 weather stations. The findings revealed that the annual maximum precipitation (AMP) series for various durations in Seoul generally exhibited a decreasing trend, with a marked decline observed for durations of 300 and 360 min. Furthermore, the study identified notable changes in the spatial patterns of AMP events, particularly for subhourly AMP events. The results indicate an intensification in the spatial concentration of AMP distribution. Consequently, despite the overall reduction in AMP, the likelihood of urban flooding may increase. This suggests that existing hydraulic design criteria, based on past concepts that temporal and spatial variability are constant, may no longer adequately represent extreme rainfall events. Therefore, revising these criteria to account for the evolving nature of extreme rainfall patterns is imperative.
1. Introduction
In recent decades, South Korea has made substantial efforts toward flood defense, achieving minimal flood damage from rainfall events with a frequency of less than 100 years. These efforts have primarily targeted fluvial flooding, as evidenced by the construction of levees and dams along major rivers. Although damage from fluvial flooding has significantly decreased, pluvial flooding has become more prevalent because of climate change.
For example, Seoul has experienced sporadic urban flooding, with notable incidents occurring in 2010, 2011, 2018, and 2022. Over the past 15 years, flooding has affected the city approximately 25% of the time. As Seoul is South Korea’s capital, even minor flooding there can result in considerable economic damage. To mitigate the effects of urban flooding and devise effective future strategies, comprehensive investigations and analyses of the current patterns and characteristics of extreme rainfall events are essential. Such efforts will significantly enhance our understanding of extreme rainfall phenomena in Seoul.
Extensive research has been conducted on the temporal and spatial changes in rainfall characteristics owing to climate change [1,2,3,4]. Numerous studies have specifically examined the impact of climate change on rainfall patterns in South Korea. For example, Jung, et al. [5] identified a statistically significant trend of increasing annual maximum precipitation (AMP) in certain regions of South Korea. Although the increase in AMP was not statistically significant, trends showing an increase in probable rainfall values have also been observed [6]. Additionally, some studies have investigated the spatial and temporal changes associated with climate change across various variables, including drought and soil erosion [7,8,9,10,11].
Many studies have focused on large geographic areas rather than smaller urban areas when analyzing rainfall patterns. Urban flooding is typically evaluated through simulations using rainfall data rather than direct surface water observations because of the intermittent nature of these events [12,13,14]. Generally, high-resolution spatiotemporal rainfall data are essential for effectively assessing and analyzing the impact of urban flooding [15]. However, a lack of long-term high-resolution rainfall data, particularly in South Korea, has resulted in a deficiency in studies on urban flooding and its effects in the context of climate change. To prevent urban flooding and mitigate the damage from urban inundation, it is crucial to investigate the spatiotemporal variations in urban flooding. Therefore, examining the spatiotemporal variations of rainfall patterns in urban areas based on high-resolution data is required to achieve these goals.
This study aims to examine the spatiotemporal changes in extreme rainfall in Seoul based on subhourly rainfall data derived from an extensive observation network. It attempts to address the following hypotheses to improve our understanding of extreme rainfall events in Seoul:
- (1)
- Temporal characteristics of extreme rainfall in Seoul have changed.
- (2)
- Spatial patterns of extreme rainfall in Seoul have been altered.
In the current study, the spatial patterns refer to the dispersion and autocorrelation of AMPs. The dispersion and autocorrelation represent the spatial clustering of AMPs. The temporal characteristics of extreme rainfall indicate trends in AMP series and spatial patterns. Temporal trends in the extreme rainfall time series were analyzed using the Mann–Kendall trend detection (MK) test, while the spatial patterns of extreme rainfall events in Seoul were examined based on the coefficients of variation (CV) and Moran’s I. It was assumed that the spatial pattern of extreme rainfall had changed when temporal trends in CV and Moran’s I were detected. This study’s findings will help us better understand the variations in extreme rainfall in Seoul, particularly in urban areas of South Korea. This will enhance our capacity to mitigate and prevent urban flooding and inundation.
2. Study Area and Data Description
Seoul, the capital and largest metropolis of South Korea, is strategically located along the Han River in the northwestern part of the country. The city is surrounded by mountains, which enhance its scenic beauty. Seoul has a humid continental climate characterized by four distinct seasons. Summers are typically hot and humid, while winters are cold and dry, with the city experiencing a monsoon season during the summer months. As one of the most densely populated cities globally, Seoul has a population exceeding 9 million.
For disaster prevention and monitoring in urban areas, the Korea Meteorological Administration (KMA) has installed approximately 700 automatic weather stations (AWSs) across South Korea. To analyze extreme rainfall events in Seoul, AWSs located within and near the city were investigated. AWSs with an operational period of less than 20 years were excluded from the analysis. The AWSs were chosen to ensure that the Thiessen polygons formed by the AWSs could cover the entire administrative area of Seoul. The final selection included 37 AWSs located within and near Seoul. Figure 1 depicts the locations of the selected AWSs and their Thiessen polygons.
Figure 1.
Locations of selected AWS stations and their Thiessen polygons in Seoul.
The average area of each Thiessen polygon was 15.71 km2, indicating that each AWS represented an area of approximately 4 km by 4 km. This spatial resolution is considered adequate for analyzing the characteristics of rainfall events in urban areas. The names, altitudes (elevation: EL.(m)), and observation start years of the selected AWSs are summarized in Table S1. The KMA AWSs record cumulative rainfall data every minute, which are then aggregated every 15 min. In this study, 15 min cumulative rainfall data were collected for each station from their observation start year until 2024, with recordings taken at 0, 15, 30, and 45 min past each hour.
In this study, extreme precipitation events were defined as AMP events. In urban areas, the impact of rainfall events on drainage systems varies based on their duration and intensity, which are influenced by the size of the drainage basin. Urban inundation can result from short-duration rainfall events lasting less than an hour or from longer events lasting 4–5 h [16,17,18]. Thus, using 15 min cumulative rainfall data, the AMPs for durations of 15, 30, 45, 60, 120, 180, 240, 300, and 360 min were calculated. The current study used seven durations: three subhourly durations (15, 30, and 45 min) and four hourly durations (60, 120, 180, 240, 300, and 360 min).
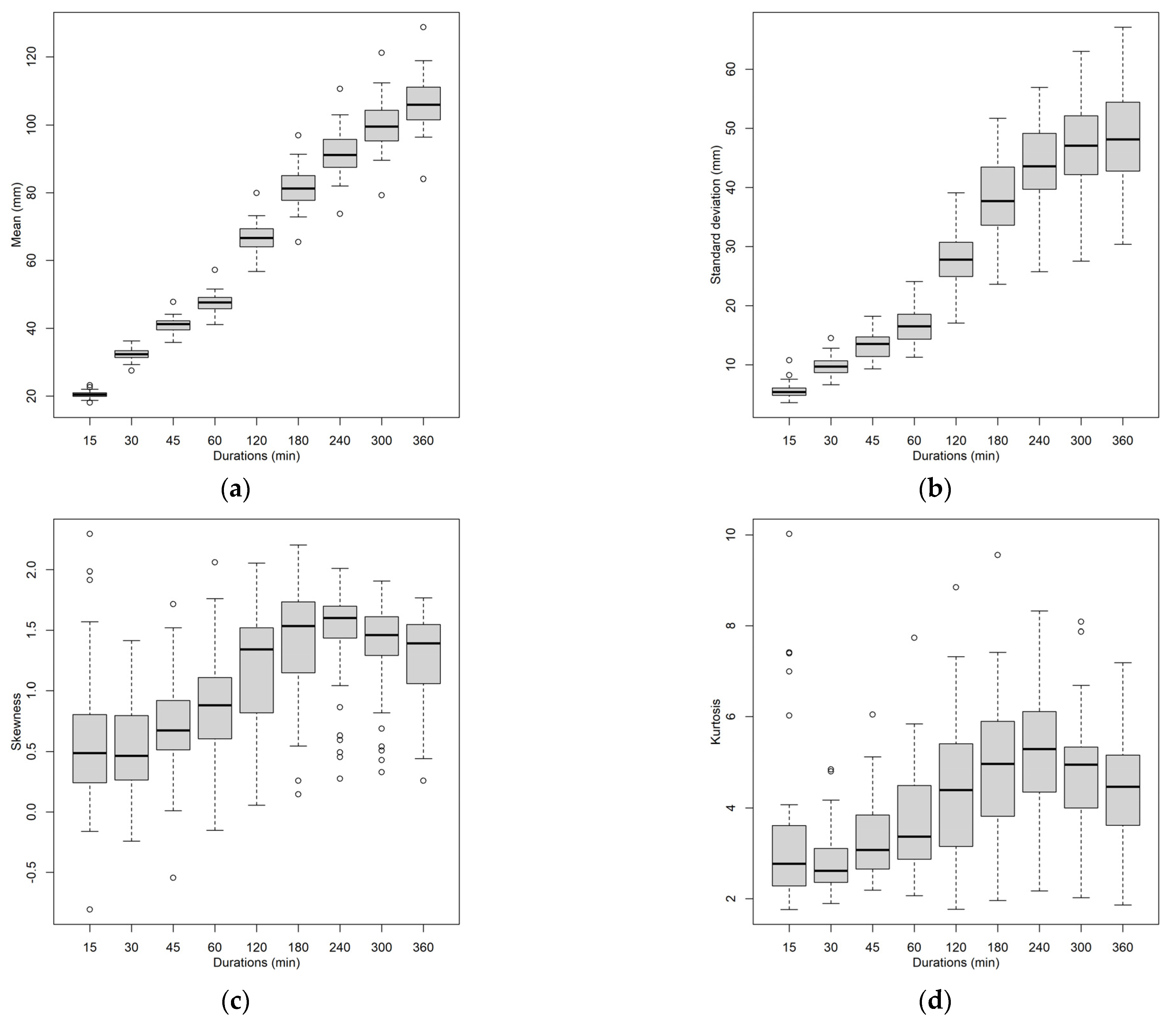
Figure 2 presents basic statistics of the AMP events for the selected AWS stations in Seoul. As the duration increased, the mean and standard deviation of the AMPs also increased, accompanied by larger dispersion among stations. The coefficients of skewness and kurtosis showed the smallest values at 30 min, increased between 30 and 240 min, and then exhibited a decreasing trend after 240 min. The calculated statistics indicate that the characteristics of extreme rainfall events in Seoul vary significantly depending on their duration and location.
Figure 2.
Basic statistics of the annual maximum precipitation (AMP) series for selected stations, including (a) mean, (b) standard deviation, (c) coefficient of skewness, and (d) coefficient of kurtosis.
3. Methodology
3.1. Mann–Kendall Trend Detection Test
The MK test is a statistical method used to detect and analyze trends in time series data [19,20]. This test is particularly valuable for examining long-term (e.g., longer than 20 years) changes in natural phenomena, including but not limited to climate data and hydrological records [21,22]. As a nonparametric method, the MK test is versatile and robust because it does not require any assumptions concerning data distribution. This procedure involves comparing the ranks between pairs of observed values to ascertain whether there is an overall increasing or decreasing trend. Specifically, the test evaluates whether the observed data exhibit a monotonic increase or decrease over time. The MK test can determine the statistical significance of the identified trend through p-values, which quantify the likelihood that the observed trend occurred by chance. This feature makes the MK test a powerful tool for hypothesis testing. Furthermore, the MK test is renowned for its effectiveness in handling datasets with substantial noise or non-normality from measuring noise, human error, and the nature of positive numbers, making it a preferred choice in environmental and climate research, where data irregularities are common [23,24].
The test statistic (S) used in the MK test is expressed as follows:
where and represent the sequential data values and n denotes the total number of observations in the time series. A positive S-statistic signifies an increasing trend, whereas a negative S-statistic indicates a decreasing trend. According to Mann [25] and Kendall [26], when n exceeds 8, the S-statistic approximates a normal distribution with its variance, which is mathematically expressed as follows:
where indicates the number of ties of extent l. The standard MK statistic Z is computed using Equation (3).
Under the null hypothesis of no trend, the Z-statistic follows the standard normal distribution.
3.2. Moran’s I Index and Its Statistical Test for Spatial Dependence
Moran’s I is a statistical measure developed to detect spatial autocorrelation, which indicates the degree to which a given variable is similar to itself in nearby locations [27]. It is widely used in spatial statistics to analyze and quantify the similarity or dissimilarity of a variable across space. Essentially, Moran’s I assesses whether the observed pattern is clustered, dispersed, or random. This method is particularly valuable in fields such as geography, environmental science, and water resources, where understanding spatial relationships is crucial for interpreting patterns and trends in data [28,29,30,31]. Moran’s I, therefore, indicates the spatial clustering pattern. It is calculated using the following formula:
where N represents the number of observations; denotes the weight between locations i and j; and are the values at locations i and j, respectively; signifies the mean of the variable; and W is the sum of all weights (). In this study, is given by the following equation:
where is distance (km) between location locations i and j.
Moran’s I ranges from −1 to 1. Values approaching 1 indicate a strong positive spatial autocorrelation, suggesting that similar values cluster spatially. Conversely, values nearing −1 indicate strong negative spatial autocorrelation, implying that dissimilar values are located adjacently. Values close to 0 suggest the absence of spatial autocorrelation. To assess the significance of Moran’s I, the z-value is computed using the expected value and variance of the statistic. The expected value is given by , while the variance is derived using a more intricate formula. Typically, the significance is evaluated through Monte Carlo simulations or randomization tests, which offer robust assessments of the spatial patterns in the data. In this study, Moran’s I and its hypothesis test were computed using the “Spatial Dependence: Weighting Schemes, Statistics” package in R 4.3.1 [32].
3.3. Coefficients of Variation for Estimating Spatial Dispersion
In the current study, the CVs of AMP values at various stations within the same year were utilized to represent the spatial dispersion of AMP. A high CV value suggests a significant likelihood of localized heavy rainfall during AMP events. Conversely, a low CV value implies that all AMP values may originate from a single large system, such as a monsoon or typhoon. The annual CV of AMP can be determined using the following formula:
where N represents the number of observations, and are the values at locations I in year t, is the mean of the variable in year t, and is the standard deviation of in year t.
4. Results
4.1. Temporal Changes in Extreme Rainfall Events
Figure 3 presents the observed AMP at the selected stations across different durations for each year, represented through boxplot visualizations. For the 15 min duration, the box sizes in Figure 3 remained relatively consistent across different years. However, from the 30 min duration onwards, there were substantial variations in the box sizes each year. For durations exceeding 1 h, the spatial pattern of AMP in the Seoul region demonstrated significant interannual differences, with these variations becoming more pronounced as the duration increased.

Figure 3.
Boxplots of annual maximum precipitation (AMP) for selected stations for each year at various durations: (a) 15 min, (b) 30 min, (c) 45 min, (d) 60 min, (e) 120 min, (f) 180 min, (g) 240 min, (h) 300 min, and (i) 360 min.
The annual AMP mean series from the selected stations for each duration were plotted to examine the temporal variations in AMP across Seoul, as shown in Figure 4. Furthermore, the MK test was applied to the AMP mean series across all durations to assess the statistical significance of these temporal changes. The AMP mean series exhibited a decreasing trend over time across all durations, with the rate of decline less pronounced for shorter durations. For durations of 300 and 360 min, the MK test revealed statistically significant decreasing trends at significance levels of 10% and 5%, respectively. The AMP means in Seoul demonstrated a gradual decline, which became more pronounced with increasing duration. Notably, the AMP means for subhourly durations in 2018 were relatively larger than in other years, whereas the AMP means for hourly durations in 2018 were comparatively smaller. Since Seoul experienced significant flood damage in 2018, it can be inferred that extreme rainfall during subhourly durations contributed to urban flooding in the city.

Figure 4.
Time series of annual maximum precipitation (AMP) mean for each year at various durations: (a) 15 min, (b) 30 min, (c) 45 min, (d) 60 min, (e) 120 min, (f) 180 min, (g) 240 min, (h) 300 min, and (i) 360 min. The blue linear lines indicate statistically significant increasing and decreasing trends, respectively, detected at the 10% significance level. The black dashed line means linear regression line without statistically significant trend. Additionally, ** and * indicate statistically significant trends at the 5% and 10% significance levels, respectively.
4.2. Spatial Pattern Changes in Extreme Rainfall Events
To examine the alterations in the spatial distribution of AMP across Seoul, the CVs for the AMP series over selected durations were computed and are depicted in Figure 5. CVs were calculated from the AMP of different stations in the same year. Thus, CVs may be able to indirectly represent the spatial distribution or dispersion of AMPs. This figure reveals that the changes in the CV series for AMP varied depending on the duration considered. For the 15 min duration, the CV series showed a decreasing trend. In contrast, increasing trends were observed for durations of 30, 45, 60, 120, 180, and 240 min, with the 45 min and 60 min durations showing statistically significant trends. Meanwhile, for the 300 min and 360 min durations, the slope estimates were nearly zero, indicating no discernable trends in the CV series for these durations. These findings highlight significant changes in the spatial patterns of extreme rainfall events in Seoul, particularly for subhourly durations.

Figure 5.
Time series of coefficients of variation (CVs) for annual maximum precipitation at various durations: (a) 15 min, (b) 30 min, (c) 45 min, (d) 60 min, (e) 120 min, (f) 180 min, (g) 240 min, (h) 300 min, and (i) 360 min. The red linear lines indicate statistically significant increasing and decreasing trends, respectively, detected at the 10% significance level. The black dashed line means linear regression line without statistically significant trend. Additionally, ** and * indicate statistically significant trends at the 5% and 10% significance levels, respectively.
To comprehensively analyze the changes in the spatial distribution of extreme rainfall, the Moran’s I time series for AMP was calculated for each duration; these are presented in Figure 6. The findings of the Moran’s I series aligned with the results of the CV series presented in Figure 5 but were not exactly the same. For all durations considered, the Moran’s I series exhibited increasing trends. Specifically, these trends were statistically significant at the 5% significance level for the 30 min, 45 min, 60 min, and 120 min durations and at the 10% significance level for the 180 min duration. A high Moran’s I value reflects strong spatial autocorrelation, indicating that the AMP recorded at different rainfall gauge stations within a given spatial domain occurs under the same rainfall event. As the duration increased, the likelihood of AMP occurring because of rainfall from larger systems, such as typhoons and monsoons, also rose. Consequently, the value of Moran’s I increased with longer durations, and the probability of statistically significant autocorrelations rose. This trend was evident in the growing number of years with statistically significant Moran’s I values as the duration lengthened. As shown in Figure 6b, Moran’s I values were not statistically significant before 2011, but significant autocorrelations were detected in six subsequent years. Similar patterns are evident in Figure 6c,d, particularly in AMP for subhourly durations.
Figure 6.
Time series of Moran’s I index from annual maximum precipitation in Seoul for various durations: (a) 15 min, (b) 30 min, (c) 45 min, (d) 60 min, (e) 120 min, (f) 180 min, (g) 240 min, (h) 300 min, and (i) 360 min. Red triangles indicate a significant positive spatial autocorrelation with a 5% significance level based on Moran’s I index values while blue circles indicate insignificance correlation. The red linear lines indicate statistically significant increasing and decreasing trends, respectively, detected at the 10% significance level. The black dashed line means linear regression line without statistically significant trend. Additionally, ** and * indicate statistically significant trends at the 5% and 10% significance levels, respectively.
A high CV indicates significant dispersion in AMP values across individual rain gauge stations within a given year. In contrast, a high Moran’s I signifies strong spatial autocorrelation of these data. In other words, high CV and Moran’s I values suggest that AMPs are concentrated in a narrow area within the domain. Analysis revealed that both CV and Moran’s I for subhourly durations, such as 30 and 45 min, showed statistically significant increases over time at the 5% significance level. This finding indicates an increasing frequency of localized heavy rainfall events, or intense downpours, during subhourly durations in Seoul.
As shown in Figure 6i, for a 6 h duration, Moran’s I often exhibited statistical significance annually. Although Moran’s I values showed an increasing trend, the MK test revealed no statistical significance. Figure 7 provides a reillustration of Figure 5i. In Figure 7, the linear slope is nearly zero, indicating that the CV series exhibited almost no trend. By connecting the CV values of years with high CVs using a red dashed line and those of years with low CVs using a blue dashed line, we observe a gradual increase in the variability of CV values. A high CV value indicates the occurrence of strong, localized heavy rainfall that contributed to the formation of the AMP. In contrast, a low CV value implies that the AMP occurred evenly across Seoul because of large-scale systems, such as typhoons and monsoons, rather than localized heavy rainfall. Observing the red and blue dashed lines reveals that for the 6 h duration, rainfall events may be influenced by both localized heavy rainfall and large-scale systems. Since urban flooding typically occurs during subhourly durations, a 6 h duration implies a high probability that urban flooding has already taken place. However, when the drainage basin is large, the 6 h duration may warrant consideration. For areas or hydraulic structures affected by the 6 h duration in Seoul, a more detailed analysis is necessary to determine appropriate design criteria and implement damage mitigation measures.
Figure 7.
Time series of coefficients of variation (CVs) for annual maximum precipitation for 360 min in Seoul. The black dashed line indicates the linear slope of the CV.
5. Discussion
The present study analyzed whether the following two hypotheses are true: (1) temporal characteristics of extreme rainfall in Seoul have changed; (2) spatial patterns of extreme rainfall in Seoul have been altered. Regarding the first hypothesis, “temporal characteristics of extreme rainfall in Seoul have changed”, the analysis results of the current study indicated that temporal changes indeed occurred. Firstly, the mean AMP series in Seoul showed a decreasing trend, and for the AMP with a duration of 5–6 h, a statistically significant decreasing trend was confirmed through the MK test with a 5% significance level. The reduction in the AMP values across Seoul will consequently lead to a decrease in the quantile values used for the design criteria of hydraulic infrastructure. The decrease in rainfall quantiles implies a lower value of design criteria for hydraulics infrastructure within Seoul. Several factors, including impervious areas, drainage systems, and rainfall intensity, influence urban flooding. If other factors are constant, it can be inferred that climate change will lead to a reduction in urban flooding damage in the Seoul area based on the aforementioned results.
The hypothesis “spatial patterns of extreme rainfall in Seoul have been altered” was addressed by indicating that the spatial characteristics of extreme rainfall were indeed changing. The spatial patterns of AMP in Seoul were changing based on the duration of AMP, with this phenomenon being particularly noticeable for subhourly durations. The analysis results indicated an increasing frequency of localized heavy rainfall events in Seoul, highlighting an intensification of localized extreme rainfall in the city. While the overall AMP across Seoul exhibited a decreasing trend—suggesting that design criteria for hydraulic structures should be reduced and urban flood damage should decrease—the frequency of urban flood damage has increased. This paradoxical phenomenon can be partially explained by the findings of this study. Although the overall AMP decreased, the increased frequency of localized heavy rainfall events can lead to high-intensity rainfall in small areas that are part of the watershed in the city, causing urban flooding and damage. In large, sparsely populated river basins, decreases in AMP can lead to reduced flood damage because they may not result in increased water levels within river channels. However, in densely populated urban areas, localized heavy rainfall can occur more frequently and cause damage, as high-intensity rainfall events can lead to temporary inundation in small, concentrated regions. This suggests that recent urban flooding and inundation in Seoul may be largely driven by the intensification of localized extreme rainfall events. Consequently, there is a pressing need to reevaluate urban infrastructure and drainage systems, emphasizing the importance of implementing more meticulous countermeasures to address the impact of climate change. This point must be considered in research and policy decisions such as stormwater management, sewer management, urban planning, and emergency action plans for flash urban inundation [33,34,35,36,37,38].
In 2018, Seoul experienced significant urban flooding damage [39]. Upon examining Figure 4, it becomes evident that in 2018, AMP values were notably high during subhourly durations of 15, 30, 45, and 60 min. However, for durations exceeding 1 h, the AMP values in 2018 were not significant. Despite the lack of substantial AMP values for longer durations, urban flooding damage occurred that year. Figure 5 shows a high CV in 2018, indicating significant variability in rainfall intensities. Except for the 15 min duration, CV values were elevated for subhourly durations, and for hourly durations, the CV was higher than in other years. Additionally, Figure 3 reveals that while the median value of the box plot for 2018 was low, there were outlier points significantly above the median. These outliers likely represented extreme rainfall events much higher than typical values, contributing to urban flooding and associated damage. These findings confirm that the urban flooding in Seoul in 2018 resulted from localized heavy rainfall events. Furthermore, the high CV in 2022 suggests that the flooding events in that year were also caused by localized heavy rainfall.
The spatial heterogeneity of extreme rainfall events caused by localized heavy rainfall cannot be adequately addressed by traditional at-site frequency analysis. Each site is analyzed separately to estimate the rainfall quantiles. In cases where localized heavy rainfall results in extremely high AMP values at certain points, the rainfall quantile values will increase, while at other points, the AMP may show a decreasing trend, leading to a reduction in the rainfall quantile values. Since localized heavy rainfall has occurred within the city, there remains the possibility of such events happening at any other point. Therefore, if the rainfall quantile is not calculated considering this phenomenon across the entire region of the city, this could lead to an underestimation of the rainfall quantile and consequently an increase in the vulnerability of hydraulic structures to climate change. As an alternative to address these issues, it is necessary to use regional frequency analysis (RFA) for estimating rainfall quantiles in urban areas. RFA involves performing frequency analysis by grouping sites that possess homogeneous hydrological characteristics [40]. By conducting frequency analysis on rainfall sites located in proximity and determined to be homogeneous regions, it is believed that the issues arising from spatial heterogeneity can be mitigated. RFA has the advantage of being able to be adopted swiftly, as considerable research has already been done on nonstationary frequency analysis for hydrometeorological variables [41,42,43].
It has been confirmed that the spatiotemporal characteristics of extreme rainfall differ significantly according to duration and exhibit different patterns of change in Seoul. For the design of hydraulic structures within cities, rainfall frequency analysis is conducted, and the results are used to derive the intensity–duration–frequency (IDF) curve to calculate the value of design criteria for hydraulic structures [44,45]. Existing IDF formulas have the drawback of not adequately considering these spatiotemporal variations. Although studies on IDF curves considering nonstationarity were conducted [46,47,48], there was a limitation in not addressing the nonstationarity in the spatial aspect. A newly proposed IDF curve that considers spatiotemporal characteristics is necessary for addressing spatiotemporal changes.
In this study, while the analysis based on annual maxima allowed us to examine overall phenomena, there are some limitations in making strict judgments about the intensification of localized heavy rainfall. These constraints arise because the analysis focused on AMP values rather than specific rainfall events representing extreme rainfall in Seoul. The data used in our analysis spanned 28 years, with one datapoint added each year, making the trend detection test results somewhat reliable but accompanied by significant uncertainty. Furthermore, variations in the starting years of the rainfall gauge stations introduced additional uncertainty to the findings. Urban inundation and flood damage result not solely from increased rainfall intensity but from a combination of factors, such as pipeline maintenance, operation and installation of pumping stations, increase in impervious surfaces, and neglect in managing trenches. Therefore, factors beyond those identified in this study may also contribute to the rise in urban inundation and flood damage.
6. Conclusions
This study investigated spatiotemporal changes in subhourly extreme rainfall events in Seoul, focusing on the implications for urban flooding in the context of changing climate patterns. The AMP mean series in Seoul showed a general decreasing trend across various durations, with statistically significant declines observed for longer durations, specifically 300 and 360 min. Despite this overall reduction, the study identified significant changes in the spatial distribution of extreme rainfall events, particularly for subhourly durations. This was evidenced by increasing trends in both the CV and Moran’s I index, indicating a higher spatial concentration of extreme rainfall.
These findings highlight a paradox: although the overall AMP showed a decreasing trend, the intensification and localization of extreme rainfall increase the likelihood and impact of urban flooding. Localized extreme rainfall events of shorter durations (e.g., subhourly) have intensified, potentially increasing the risk of urban flooding. The increased frequency of localized heavy rainfall events further exacerbates the challenges associated with urban flood management.
Given the current methodology for determining design criteria for urban hydraulic structures, there is a high possibility of design criterion values gradually decreasing, potentially making these structures more vulnerable to extreme rainfall events. As climate change continues to alter rainfall patterns, leading to more frequent and intense downpours, it is critical to develop design criteria for urban hydraulic facilities that can account for these changes.
Supplementary Materials
The following supporting information can be downloaded at: https://www.mdpi.com/article/10.3390/app15031672/s1, Table S1: Information of selected AWS stations in Seoul.
Author Contributions
Conceptualization, J.-Y.S.; methodology, J.-Y.S.; software, J.-Y.S. and J.P.; validation, J.-Y.S. and K.S.; formal analysis, J.-Y.S. and J.P.; investigation, J.-Y.S. and Y.K.; resources, Y.K.; data curation, J.-Y.S. and J.P.; writing—original draft preparation, J.-Y.S. and K.S.; writing—review and editing, J.-Y.S. and K.S.; visualization, J.-Y.S. and J.P.; supervision, J.-Y.S.; project administration, J.-Y.S. and Y.K.; funding acquisition, Y.K. All authors have read and agreed to the published version of the manuscript.
Funding
This work was carried out with the support of the “Cooperative Research Program for Agriculture Science and Technology Development (Project No. RS-2024-00332198)”, Rural Development Administration, Republic of Korea.
Institutional Review Board Statement
Not applicable.
Informed Consent Statement
Not applicable.
Data Availability Statement
The data utilized in this study are publicly accessible and can be downloaded from https://data.kam.go.kr (accessed on 1 February 2025).
Acknowledgments
This work was carried out with the support of “Cooperative Research Program for Agriculture Science and Technology Development (Project No. RS-2024-00332198)” Rural Development Administration, Republic of Korea.
Conflicts of Interest
The authors declare no conflicts of interest.
References
- Palmer, P.I.; Wainwright, C.M.; Dong, B.; Maidment, R.I.; Wheeler, K.G.; Gedney, N.; Hickman, J.E.; Madani, N.; Folwell, S.S.; Abdo, G.; et al. Drivers and impacts of Eastern African rainfall variability. Nat. Rev. Earth Environ. 2023, 4, 254–270. [Google Scholar] [CrossRef]
- Tamm, O.; Saaremäe, E.; Rahkema, K.; Jaagus, J.; Tamm, T. The intensification of short-duration rainfall extremes due to climate change—Need for a frequent update of intensity–duration–frequency curves. Clim. Serv. 2023, 30, 100349. [Google Scholar] [CrossRef]
- Zhou, S.; Yu, B.; Zhang, Y. Global concurrent climate extremes exacerbated by anthropogenic climate change. Sci. Adv. 2023, 9, eabo1638. [Google Scholar] [CrossRef]
- Zhang, W.; Zhou, T.; Wu, P. Anthropogenic amplification of precipitation variability over the past century. Science 2024, 385, 427–432. [Google Scholar] [CrossRef]
- Jung, Y.; Shin, J.-Y.; Ahn, H.; Heo, J.-H. The Spatial and Temporal Structure of Extreme Rainfall Trends in South Korea. Water 2017, 9, 809. [Google Scholar] [CrossRef]
- Lee, M.; An, H.; Lee, J.; Um, M.-J.; Jung, Y.; Kim, K.; Jung, K.; Kim, S.; Park, D. Spatiotemporal Variability of Regional Rainfall Frequencies in South Korea for Different Periods. Sustainability 2023, 15, 16646. [Google Scholar] [CrossRef]
- Azam, M.; Maeng, S.J.; Kim, H.S.; Lee, S.W.; Lee, J.E. Spatial and Temporal Trend Analysis of Precipitation and Drought in South Korea. Water 2018, 10, 765. [Google Scholar] [CrossRef]
- Shin, J.-Y.; Kim, T.; Heo, J.-H.; Lee, J.-H. Spatial and temporal variations in rainfall erosivity and erosivity density in South Korea. CATENA 2019, 176, 125–144. [Google Scholar] [CrossRef]
- Kwon, M.; Kwon, H.-H.; Han, D. Spatio-temporal drought patterns of multiple drought indices based on precipitation and soil moisture: A case study in South Korea. Int. J. Climatol. 2019, 39, 4669–4687. [Google Scholar] [CrossRef]
- Shin, J.-Y.; Kim, K.R.; Kim, J.; Kim, S. Long-term trend and variability of surface humidity from 1973 to 2018 in South Korea. Int. J. Climatol. 2021, 41, 4215–4235. [Google Scholar] [CrossRef]
- Moazzam, M.F.U.; Rahman, G.; Munawar, S.; Farid, N.; Lee, B.G. Spatiotemporal Rainfall Variability and Drought Assessment during Past Five Decades in South Korea Using SPI and SPEI. Atmosphere 2022, 13, 292. [Google Scholar] [CrossRef]
- Chen, G.; Hou, J.; Wang, T.; Lv, J.; Jing, J.; Ma, X.; Yang, S.; Deng, C.; Ma, Y.; Ji, G. The effect of spatial–temporal characteristics of rainfall on urban inundation processes. Hydrol. Process. 2022, 36, e14655. [Google Scholar] [CrossRef]
- Wang, M.; Fu, X.; Zhang, D.; Chen, F.; Liu, M.; Zhou, S.; Su, J.; Tan, S.K. Assessing urban flooding risk in response to climate change and urbanization based on shared socio-economic pathways. Sci. Total Environ. 2023, 880, 163470. [Google Scholar] [CrossRef]
- Fan, C.; Hou, J.; Li, D.; Chen, G.; Guan, B.; Wang, T.; Pinpin, L.; Gao, X. Characteristics and drivers of flooding in recently built urban infrastructure during extreme rainfall. Urban Clim. 2024, 56, 102018. [Google Scholar] [CrossRef]
- Lei, N.; Gao, L.; Liu, S.; Zhou, Z. The Spatiotemporal Clustering of Short-Duration Rainstorms in Shanghai City Using a Sub-Hourly Gauge Network. Earth Space Sci. 2024, 11, e2023EA003442. [Google Scholar] [CrossRef]
- Berne, A.; Delrieu, G.; Creutin, J.-D.; Obled, C. Temporal and spatial resolution of rainfall measurements required for urban hydrology. J. Hydrol. 2004, 299, 166–179. [Google Scholar] [CrossRef]
- Saghafian, B.; Farazjoo, H.; Bozorgy, B.; Yazdandoost, F. Flood Intensification due to Changes in Land Use. Water Resour. Manag. 2008, 22, 1051–1067. [Google Scholar] [CrossRef]
- Smith, J.A.; Baeck, M.L.; Meierdiercks, K.L.; Nelson, P.A.; Miller, A.J.; Holland, E.J. Field studies of the storm event hydrologic response in an urbanizing watershed. Water Resour. Res. 2005, 41, W10413. [Google Scholar] [CrossRef]
- Khaliq, M.N.; Ouarda, T.B.M.J.; Gachon, P.; Sushama, L.; St-Hilaire, A. Identification of hydrological trends in the presence of serial and cross correlations: A review of selected methods and their application to annual flow regimes of Canadian rivers. J. Hydrol. 2009, 368, 117–130. [Google Scholar] [CrossRef]
- Ouarda, T.B.M.J.; Charron, C.; Niranjan Kumar, K.; Marpu, P.R.; Ghedira, H.; Molini, A.; Khayal, I. Evolution of the rainfall regime in the United Arab Emirates. J. Hydrol. 2014, 514, 258–270. [Google Scholar] [CrossRef]
- Shin, J.-Y.; Kang, M.; Kim, K.R. Outdoor thermal stress changes in South Korea: Increasing inter-annual variability induced by different trends of heat and cold stresses. Sci. Total Environ. 2022, 805, 150132. [Google Scholar] [CrossRef]
- Javari, M. Spatial variability of rainfall trends in Iran. Arab. J. Geosci. 2017, 10, 78. [Google Scholar] [CrossRef]
- Khaliq, M.N.; Ouarda, T.B.M.J.; Gachon, P.; Sushama, L. Temporal evolution of low-flow regimes in Canadian rivers. Water Resour. Res. 2008, 44, W08436. [Google Scholar] [CrossRef]
- Khaliq, M.N.; Ouarda, T.B.M.J.; Gachon, P. Identification of temporal trends in annual and seasonal low flows occurring in Canadian rivers: The effect of short- and long-term persistence. J. Hydrol. 2009, 369, 183–197. [Google Scholar] [CrossRef]
- Mann, H.B. Nonparametric Tests Against Trend. Econometrica 1945, 13, 245–259. [Google Scholar] [CrossRef]
- Kendall, M.G. Rank Correlation Methods; Griffin: Oxford, UK, 1948. [Google Scholar]
- Moran, P.A.P. Notes on Continuous Stochastic Phenomena. Biometrika 1950, 37, 17–23. [Google Scholar] [CrossRef]
- Zhang, J.; Han, D. Assessment of rainfall spatial variability and its influence on runoff modelling: A case study in the Brue catchment, UK. Hydrol. Process. 2017, 31, 2972–2981. [Google Scholar] [CrossRef]
- Zhang, J.; Han, D.; Song, Y.; Dai, Q. Study on the effect of rainfall spatial variability on runoff modelling. J. Hydroinform. 2018, 20, 577–587. [Google Scholar] [CrossRef]
- Zhang, L.; Hou, Q.; Duan, Y.; Liu, W. Spatial correlation between water resources and rural settlements in the Yanhe watershed based on bivariate spatial autocorrelation methods. Land 2023, 12, 1719. [Google Scholar] [CrossRef]
- Zhuang, Q.; Liu, S.; Zhou, Z. Spatial heterogeneity analysis of short-duration extreme rainfall events in megacities in China. Water 2020, 12, 3364. [Google Scholar] [CrossRef]
- Bivand, R. R Packages for Analyzing Spatial Data: A Comparative Case Study with Areal Data. Geogr. Anal. 2022, 54, 488–518. [Google Scholar] [CrossRef]
- Li, P.; Zhuang, L.; Lin, K.; She, D.; Chen, Q.; Wang, Q.; Xia, J. New perspectives on urban stormwater management in China, with a focus on extreme rainfall events. Nat. Hazards 2024. [Google Scholar] [CrossRef]
- Miller, A.J.; Welty, C.; Duncan, J.M.; Baeck, M.L.; Smith, J.A. Assessing urban rainfall-runoff response to stormwater management extent. Hydrol. Process. 2021, 35, e14287. [Google Scholar] [CrossRef]
- Muttil, N.; Nasrin, T.; Sharma, A.K. Impacts of Extreme Rainfalls on Sewer Overflows and WSUD-Based Mitigation Strategies: A Review. Water 2023, 15, 429. [Google Scholar] [CrossRef]
- Nasrin, T.; Sharma, A.K.; Muttil, N. Impact of Short Duration Intense Rainfall Events on Sanitary Sewer Network Performance. Water 2017, 9, 225. [Google Scholar] [CrossRef]
- Reu Junqueira, J.; Serrao-Neumann, S.; White, I. A systematic review of approaches for modelling current and future impacts of extreme rainfall events using green infrastructure. J. Clean. Prod. 2021, 290, 125173. [Google Scholar] [CrossRef]
- Szeląg, B.; Kiczko, A.; Łagód, G.; De Paola, F. Relationship Between Rainfall Duration and Sewer System Performance Measures Within the Context of Uncertainty. Water Resour. Manag. 2021, 35, 5073–5087. [Google Scholar] [CrossRef]
- Lee, S.; Choi, Y.; Ji, J.; Lee, E.; Yi, S.; Yi, J. Flood Vulnerability Assessment of an Urban Area: A Case Study in Seoul, South Korea. Water 2023, 15, 1979. [Google Scholar] [CrossRef]
- Hosking, J.R.M.; Wallis, J.R. Regional Frequency Analysis; Cambridege University Press: Cambridege, UK, 1997. [Google Scholar]
- El Adlouni, S.; Ouarda, T.B.M.J.; Zhang, X.; Roy, R.; Bobée, B. Generalized maximum likelihood estimators for the nonstationary generalized extreme value model. Water Resour. Res. 2007, 43, W03410. [Google Scholar] [CrossRef]
- Khaliq, M.N.; Ouarda, T.B.M.J.; Ondo, J.C.; Gachon, P.; Bobée, B. Frequency analysis of a sequence of dependent and/or non-stationary hydro-meteorological observations: A review. J. Hydrol. 2006, 329, 534–552. [Google Scholar] [CrossRef]
- Kim, H.; Shin, J.-Y.; Kim, T.; Kim, S.; Heo, J.-H. Regional frequency analysis of extreme precipitation based on a nonstationary population index flood method. Adv. Water Resour. 2020, 146, 103757. [Google Scholar] [CrossRef]
- Gnecco, I.; Palla, A.; La Barbera, P.; Roth, G.; Giannoni, F. Defining intensity–duration–frequency curves at short durations: A methodological framework. Hydrol. Sci. J. 2023, 68, 1499–1512. [Google Scholar] [CrossRef]
- Lanciotti, S.; Ridolfi, E.; Russo, F.; Napolitano, F. Intensity–Duration–Frequency Curves in a Data-Rich Era: A Review. Water 2022, 14, 3705. [Google Scholar] [CrossRef]
- Ouarda, T.B.; Yousef, L.A.; Charron, C. Non-stationary Intensity-Duration-Frequency curves integrating information concerning teleconnections and climate change. Int. J. Climatol. 2019, 39, 2306–2323. [Google Scholar] [CrossRef]
- Silva, D.F.; Simonovic, S.P.; Schardong, A.; Goldenfum, J.A. Assessment of non-stationary IDF curves under a changing climate: Case study of different climatic zones in Canada. J. Hydrol. Reg. Stud. 2021, 36, 100870. [Google Scholar] [CrossRef]
- Yan, L.; Xiong, L.; Jiang, C.; Zhang, M.; Wang, D.; Xu, C.-Y. Updating intensity–duration–frequency curves for urban infrastructure design under a changing environment. WIREs Water 2021, 8, e1519. [Google Scholar] [CrossRef]
Disclaimer/Publisher’s Note: The statements, opinions and data contained in all publications are solely those of the individual author(s) and contributor(s) and not of MDPI and/or the editor(s). MDPI and/or the editor(s) disclaim responsibility for any injury to people or property resulting from any ideas, methods, instructions or products referred to in the content. |
© 2025 by the authors. Licensee MDPI, Basel, Switzerland. This article is an open access article distributed under the terms and conditions of the Creative Commons Attribution (CC BY) license (https://creativecommons.org/licenses/by/4.0/).