Application of Biotechnology for Sunflower Inbred Line Development: Immature Embryo Rescue
Abstract
1. Introduction
2. Materials and Methods
2.1. Chemicals
2.2. Germplasm
2.3. Pre-Embryonic Stage Growth Conditions
2.4. Preparation of MS Medium and Hormonal Supplements
- Medium I: MS basal medium without plant growth regulators (Control);
- Medium III: MS + 1.0 mg/L benzylaminopurine (BAP) + 0.1 mg/L NAA + 0.1 mg/L gibberellic acid (GA3);
- Medium IV: MS + 2 mg/L + benzylaminopurine (BAP) + 0.2 mg/L NAA + 0.2 mg/L gibberellic acid (GA3);
- Medium V: MS + 2 mg/L benzylaminopurine (BAP) + 0.4 mg/L NAA + 0.4 mg/L gibberellic acid (GA3) [53].
2.5. Immature Embryo Saving in In Vitro Conditions
2.6. Immature Embryo Saving—Survival Rate Evaluation
2.7. Experimental Design—Variants and Notations
2.8. Statistical Analysis
3. Results
3.1. Survival Rate of Immature Embryos—Genotype Factor
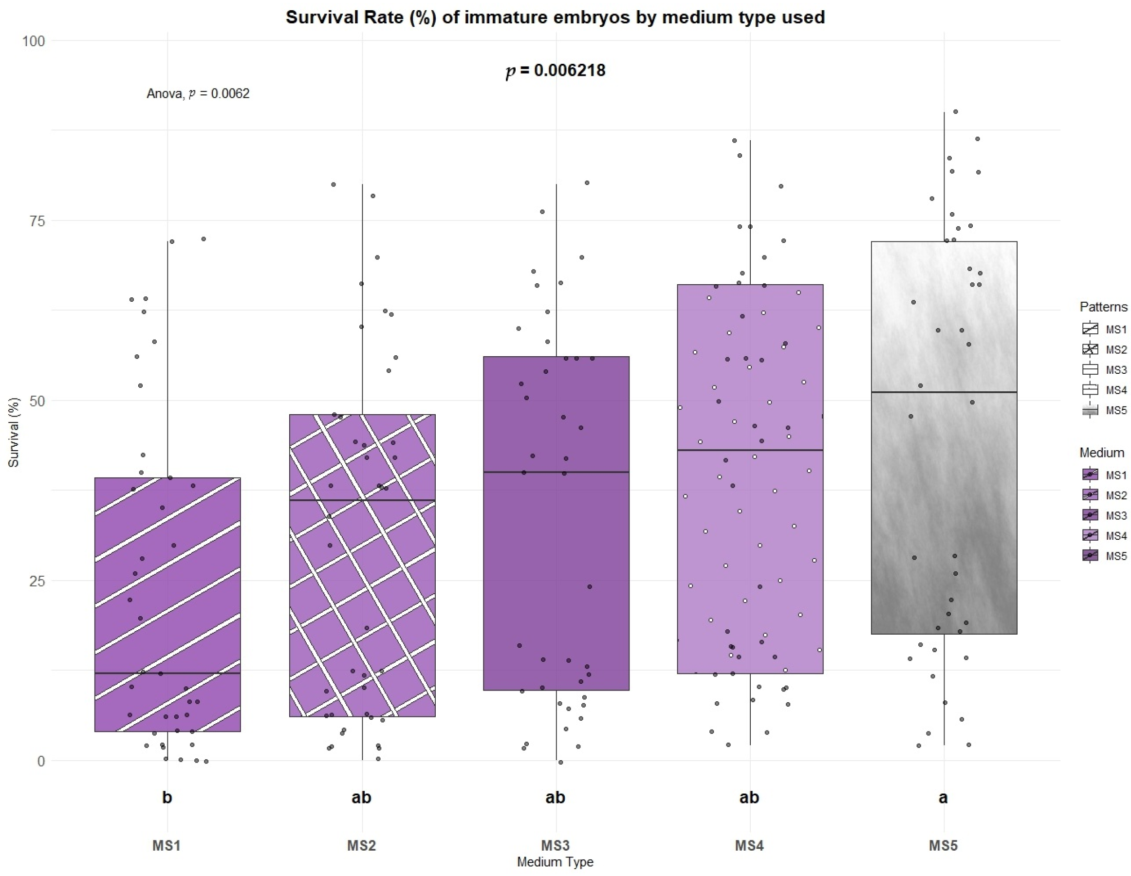
3.2. Survival Rate of Immature Embryos—Medium Type Factor
3.3. Survival Rate of Immature Embryos—Time of Maturation After Fecundation Factor
3.4. Survival Rate of Immature Embryos—Multiple Factors Influence
4. Discussion
5. Conclusions
Author Contributions
Funding
Institutional Review Board Statement
Informed Consent Statement
Data Availability Statement
Acknowledgments
Conflicts of Interest
References
- Cosentino, S.L.; Testa, G.; Scordia, D.; Alexopoulou, E. Future yields assessment of bioenergy crops in relation to climate change and technological development in Europe. Ital. J. Agron. 2012, 7, 2. [Google Scholar] [CrossRef]
- Gulzar, Y.; Ünal, Z.; Aktaş, H.; Mir, M.S. Harnessing the Power of Transfer Learning in Sunflower Disease Detection: A Comparative Study. Agriculture 2023, 13, 1479. [Google Scholar] [CrossRef]
- Ene, A.; Moraru, S.S.; Moraru, D.I.; Pantelica, A.; Gosav, S.; Ceoromila, A.M. Major and Trace Element Accumulation in Soils and Crops (Wheat, Corn, Sunflower) around Steel Industry in the Lower Danube Basin and Associated Ecological and Health Risks. Appl. Sci. 2024, 14, 5616. [Google Scholar] [CrossRef]
- Abdilova, G.; Sergibayeva, Z.; Orynbekov, D.; Shamenov, M.; Zhumadilova, G.; Bakiyeva, A.; Mukashev, N.; Bayadilova, A.; Dukenbayev, D. Influence of Grinding Degree and Screw Rotation Speed on Sunflower Oil Pressing Process. Appl. Sci. 2023, 13, 9958. [Google Scholar] [CrossRef]
- Bostan, R.; Glevitzky, M.; Varvara, S.; Dumitrel, G.-A.; Rusu, G.I.; Popa, M.; Glevitzky, I.; Vică, M.L. Utilization of Natural Adsorbents in the Purification of Used Sunflower and Palm Cooking Oils. Appl. Sci. 2024, 14, 4417. [Google Scholar] [CrossRef]
- Fan, X.; Schütze, N. Assessing crop yield and water balance in crop rotation irrigation systems: Exploring sensitivity to soil hydraulic characteristics and initial moisture conditions in the North China Plain. Agric. Water Manag. 2024, 300, 108897. [Google Scholar] [CrossRef]
- Stoicea, P.; Chiurciu, I.A.; Soare, E.; Iorga, A.M.; Dinu, T.A.; Tudor, V.C.; Gîdea, M.; David, L. Impact of Reducing Fertilizers and Pesticides on Sunflower Production in Romania versus EU Countries. Sustainability 2022, 14, 8334. [Google Scholar] [CrossRef]
- Grahovac, N.; Lužaić, T.; Živančev, D.; Stojanović, Z.; Đurović, A.; Romanić, R.; Kravić, S.; Miklič, V. Assessing Nutritional Characteristics and Bioactive Compound Distribution in Seeds, Oil, and Cake from Confectionary Sunflowers Cultivated in Serbia. Foods 2024, 13, 1882. [Google Scholar] [CrossRef] [PubMed]
- Călin, A.D.; Coroiu, A.M.; Mureşan, H.B. Analysis of Preprocessing Techniques for Missing Data in the Prediction of Sunflower Yield in Response to the Effects of Climate Change. Appl. Sci. 2023, 13, 7415. [Google Scholar] [CrossRef]
- FAOSTAT. Available online: https://www.fao.org/faostat/en/#data/QCL (accessed on 27 December 2024).
- Vear, F. Changes in sunflower breeding over the last fifty years. Ocl 2016, 23, 2. [Google Scholar] [CrossRef]
- Cătălin, D.Ș. Research on the leaf area through the prism of hybrid x densities x moment of determination interaction to an assortment of the sunflower tested on the chernozem from caracal. Ann. Univ. Craiova-Agric. Mont. Cadastre Ser. 2021, 50, 91–98. [Google Scholar]
- Joiţa-Păcureanu, M. Sunflower breeding. New approach related to the seed market request. In International Congress on Oil and Protein Crops; IBM: Endicott, NY, USA, 2018; p. 84. [Google Scholar]
- Zhang, X.; Ding, Z.; Lou, H.; Han, R.; Ma, C.; Yang, S. A Systematic Review and Developmental Perspective on Origin of CMS Genes in Crops. Int. J. Mol. Sci. 2024, 25, 8372. [Google Scholar] [CrossRef] [PubMed]
- Bran, A.; Sava, E.; Ion, V. Evolution of the number of sunflower hybrids registered for cultivation in Romania. In International Congress on Oil and Protein Crops; IBM: Endicott, NY, USA, 2018; p. 22. [Google Scholar]
- Horn, R.; Reddemann, A.; Drumeva, M. Comparison of cytoplasmic male sterility based on PET1 and PET2 cytoplasm in sunflower (Helianthus annuus L.). In Proceedings of the 19th International Sunflower Conference, Edirne, Turkey, 29 May–3 June 2016; pp. 620–629. [Google Scholar]
- Jocic, S.; Miladinovic, D.; Kaya, Y. 1-Breeding and Genetics of Sunflower. In Sunflower; Martínez-Force, E., Dunford, N.T., Salas, J.J., Eds.; AOCS Press: Champaign, IL, USA, 2015; pp. 1–25. [Google Scholar] [CrossRef]
- Azarin, K.; Usatov, A.; Kasianova, A.; Makarenko, M.; Gavrilova, V. Origin of CMS-PET1 cytotype in cultivated sunflower: A new insight. Gene 2023, 888, 147801. [Google Scholar] [CrossRef] [PubMed]
- Horn, R.; Radanovic, A.; Fuhrmann, L.; Sprycha, Y.; Hamrit, S.; Jockovic, M.; Miladinovic, D.; Jansen, C. Development and Validation of Markers for the Fertility Restorer Gene Rf1 in Sunflower. Int. J. Mol. Sci. 2019, 20, 1260. [Google Scholar] [CrossRef] [PubMed]
- Horn, R.; Kusterer, B.; Lazarescu, E.; Prüfe, M.; Friedt, W. Molecular mapping of the Rf1 gene restoring pollen fertility in PET1-based F1 hybrids in sunflower (Helianthus annuus L.). Theor. Appl. Genet. 2003, 106, 599–606. [Google Scholar] [CrossRef]
- Onisan, E.; Sarac, I.; Petrescu, I.; Dorin, C. New breeding methods in sunflower hybrid research and development. Sci. Pap. Ser. A. Agron. 2023, 66, 1. [Google Scholar]
- Christov, M. Contribution of interspecific hybridization to sunflower breeding. Helia 2012, 35, 37–46. [Google Scholar] [CrossRef]
- Rauf, S. Breeding Strategies for Sunflower (Helianthus annuus L.) Genetic Improvement. In Advances in Plant Breeding Strategies: Industrial and Food Crops; Al-Khayri, J.M., Jain, S.M., Johnson, D.V., Eds.; Springer International Publishing: Cham, Switzerland, 2019; Volume 6, pp. 637–673. [Google Scholar] [CrossRef]
- Petolescu, C.; Sarac, I.; Popescu, S.; Tenche-Constantinescu, A.M.; Petrescu, I.; Camen, D.; Onisan, E. Assessment of Genetic Diversity in Alfalfa Using DNA Polymorphism Analysis and Statistical Tools. Plants 2024, 13, 2853. [Google Scholar] [CrossRef] [PubMed]
- Şahin, R.V. Studies of Molecular Marker in Sunflower (Helianthus annus L.). Int. J. Life Sci. Biotechnol. 2024, 7, 2. [Google Scholar] [CrossRef]
- Bılgen, B.B.; Daneshvar, S.; Evcı, G.; Pekcan, V.; Yılmaz, M.İ.; Kaya, Y. Determination of High Oleic Type and Broomrape Resis tant Sunflower Hybrids By DNA Markers. Ekin J. Crop Breed. Genet. 2018, 4, 1. [Google Scholar]
- Dagustu, N. In Vitro Tissue Culture S tudies in Sunflower (Helianthus spp.). Ekin J. Crop Breed. Genet. 2018, 4, 1. [Google Scholar]
- Nowakowska, M.; Pavlovic, Z.; Nowicki, M.; Boggess, S.L.; Trigiano, R.N. In Vitro Regeneration from Leaf Explants of Helianthus verticillatus, a Critically Endangered Sunflower. Plants 2024, 13, 285. [Google Scholar] [CrossRef]
- Nowakowska, M.; Pavlović, Ž.; Nowicki, M.; Boggess, S.L.; Trigiano, R.N. In Vitro Propagation of an Endangered Helianthus verticillatus by Axillary Bud Proliferation. Plants 2020, 9, 712. [Google Scholar] [CrossRef] [PubMed]
- Çakmak, E.; Uncuoğlu, A.A.; Aydın, Y. Evaluation of in vitro genotoxic effects induced by in vitro anther culture conditions in sunflower. Plant Signal. Behav. 2019, 14, 1633885. [Google Scholar] [CrossRef] [PubMed]
- Zambelli, A.; León, A.; Garcés, R. 2-Mutagenesis in Sunflower. In Sunflower; Martínez-Force, E., Dunford, N.T., Salas, J.J., Eds.; AOCS Press: Champaign, IL, USA, 2015; pp. 27–52. [Google Scholar] [CrossRef]
- Blinkov, A.O.; Varlamova, N.V.; Kurenina, L.V.; Khaliluev, M.R. The Production of Helianthus Haploids: A Review of Its Current Status and Future Prospects. Plants 2022, 11, 2919. [Google Scholar] [CrossRef]
- Mabuza, L.M.; Mchunu, N.P.; Crampton, B.G.; Swanevelder, D.Z.H. Accelerated Breeding for Helianthus annuus (Sunflower) through Doubled Haploidy: An Insight on Past and Future Prospects in the Era of Genome Editing. Plants 2023, 12, 485. [Google Scholar] [CrossRef]
- Breccia, G.; Vega, T.N.G.; Mayor, M.L.; Zorzoli, R.; Picardi, L. Immature embryo culture for early screening of imidazolinone resistance in sunflower. Int. J. Plant Breed. 2009, 3, 37–40. [Google Scholar]
- Friedt, W. Present state and future prospects of biotechnology in sunflower breeding. Field Crops Res. 1992, 30, 425–442. [Google Scholar] [CrossRef]
- Li, S.; Liu, K.; Yu, S.; Jia, S.; Chen, S.; Fu, Y.; Sun, F.; Luo, Q.; Wang, Y. The process of embryo abortion of stenospermocarpic grape and it develops into plantlet in vitro using embryo rescue. Plant Cell Tissue Organ Cult. PCTOC 2020, 143, 389–409. [Google Scholar] [CrossRef]
- Neupane, S.; Schweitzer, S.E.; Neupane, A.; Andersen, E.J.; Fennell, A.; Zhou, R.; Nepal, M.P. Identification and Characterization of Mitogen-Activated Protein Kinase (MAPK) Genes in Sunflower (Helianthus annuus L.). Plants 2019, 8, 28. [Google Scholar] [CrossRef] [PubMed]
- Adelberg, J.W.; Delgado, M.P.; Tomkins, J.T. Spent medium analysis for liquid culture micropropagation of Hemerocallis on Murashige and Skoog medium. Vitro Cell. Dev. Biol.-Plant 2010, 46, 95–107. [Google Scholar] [CrossRef]
- Freyssinet, M.; Freyssinet, G. Fertile plant regeneration from sunflower (Helianthus annuus L.) immature embryos. Plant Sci. 1988, 56, 177–181. [Google Scholar] [CrossRef]
- Sukno, S.; Ruso, J.; Jan, C.C.; Melero-Vara, J.M.; Fernández-martínez, J.M. Interspecific hybridization between sunflower and wild perennial Helianthus species via embryo rescue. Euphytica 1999, 106, 69–78. [Google Scholar] [CrossRef]
- Li, G.; Li, K.; Lu, Y.; Fan, X.; Wang, L. The correlation between embryo rescue and hormonal changes in seedless grapes. Front. Plant Sci. 2024, 15, 1460886. [Google Scholar] [CrossRef] [PubMed]
- Cecconi, F.; Baldini, M.; Turi, M.; Vannozzi, G.P. Embryo rescue in Sunflower (Helianthus annuus L.), a simple method to obtain more generation per year. In Proceedings of the 14th International Sunflower Conference, Beijing, China, 12–20 June 1996; Sponsored by the International Sunflower Association: Paris, France, 1996. [Google Scholar]
- McCann, A.W.; Cooley, G.; Van Dreser, J. A system for routine plantlet regeneration of sunflower (Helianthus annuus L.) from immature embryo-derived callus. Plant Cell Tissue Organ Cult. 1988, 14, 103–110. [Google Scholar] [CrossRef]
- Rademacher, W. Plant growth regulators: Backgrounds and uses in plant production. J. Plant Growth Regul. 2015, 34, 845–872. [Google Scholar] [CrossRef]
- Onisan, E.; Botău, D. Evaluation of inbred lines developed in infested fields of Orobanche cumana from interspecific sunflower populations. J. Horticulture. For. Biotechnol. 2022, 26, 88–93. [Google Scholar]
- Search Accessions GRIN-Global. Available online: https://npgsweb.ars-grin.gov/gringlobal/search (accessed on 27 December 2024).
- Vear, F.; Tourvieille, D.L.D.; Miller, J. Inheritance of the wide-range downy mildew resistance in the sunflower line RHA 419. Helia 2003, 26, 19–24. [Google Scholar] [CrossRef]
- Zucconi, F.; Forte, M.M.A.; De Bertoldi, M. Biological evaluation of compost maturity. BioCycle 1981, 22, 27–29. [Google Scholar]
- Dagustu, N.; Sincik, M.; Bayram, G.; Bayraktaroglu, M. Regeneration of fertile plants from sunflower (Helianthus annuus L.)—Immature embryo. HELIA 2010, 33, 95–102. [Google Scholar] [CrossRef]
- Chowdhury, M.M. In vitro culture establishment from Cotyledon and Embryonic Axis Explants of two Bangladeshi Sunflower (Helianthus annus L.) varieties. Bachelor’s Thesis, BRAC University, Dhaka, Bangladesh, 2015. Available online: https://dspace.bracu.ac.bd:8443/xmlui/handle/10361/4129 (accessed on 29 December 2024).
- Torresán, A.; Kesteloot, J.; Castaño, F.; Rodríguez, R.; Colabelli, M. Use of immature seed germination technique as an alternative to in vitro culture of sunflower (Helianthus annuus L.) embryos. Euphytica 1996, 91, 1–3. [Google Scholar] [CrossRef]
- Kaviani, B.; Deltalab, B.; Kulus, D.; Khoddamzadeh, A.A.; Roque-Borda, C.A. In Vitro Shoot Multiplication and Rooting of ‘Kashan’ and ‘Hervy Azerbaijan’ Damask Rose (Rosa damascena Mill.) Genotypes for Cosmetic and Ornamental Applications. Plants 2024, 13, 1364. [Google Scholar] [CrossRef] [PubMed]
- Sujatha, M.; Prabakaran, A.J. High frequency embryogenesis in immature zygotic embryos of sunflower. Plant Cell Tissue Organ Cult. 2001, 65, 23–29. [Google Scholar] [CrossRef]
- Lomascolo, A.; Uzan-Boukhris, E.; Sigoillot, J.-C.; Fine, F. Rapeseed and sunflower meal: A review on biotechnology status and challenges. Appl. Microbiol. Biotechnol. 2012, 95, 1105–1114. [Google Scholar] [CrossRef] [PubMed]
- Puttha, R.; Venkatachalam, K.; Hanpakdeesakul, S.; Wongsa, J.; Parametthanuwat, T.; Srean, P.; Pakeechai, K.; Charoenphun, N. Exploring the Potential of Sunflowers: Agronomy, Applications, and Opportunities within Bio-Circular-Green Economy. Horticulturae 2023, 9, 1079. [Google Scholar] [CrossRef]
- Larson, A.J.; Cartwright, M.M.; Jones, W.D.; Luce; Chen, M.Y.; Petersen; Nelson, S.V.; Michaelis, D.J.; Madsen, M.D. Slow Release of GA3 Hormone from Polymer Coating Overcomes Seed Dormancy and Improves Germination. Plants 2023, 12, 4139. [Google Scholar] [CrossRef] [PubMed]
- Corbineau, F.; Bagniol, S.; Côme, D. Sunflower (Helianthus annuus L.) Seed dormancy and its regulation by ethylene. Isr. J. Plant Sci. 1990, 39, 313–325. [Google Scholar]
- Rogo, U.; Fambrini, M.; Pugliesi, C. Embryo Rescue in Plant Breeding. Plants 2023, 12, 3106. [Google Scholar] [CrossRef]
- Todorova, M.; Nenova, N.; Ivanov, P.; Christov, M. Plant regeneration through anther culture and induced parthenogenesis in genus Helianthus. Biotechnol. Biotechnol. Equip. 1997, 11, 27–30. [Google Scholar] [CrossRef]
- Bhojwani, S.S.; Dantu, P.K. Gynogenesis. In Plant Tissue Culture: An Introductory Text; Bhojwani, S.S., Dantu, P.K., Eds.; Springer: Pune, India, 2013; pp. 113–118. [Google Scholar] [CrossRef]
- Todorova, M.; Ivanov, P.; Shindrova, P.; Christov, M.; Ivanova, I. Doubled haploid production of sunflower (Helianthus annuus L.) through irradiated pollen-induced parthenogenesis. Euphytica 1997, 97, 249–254. [Google Scholar] [CrossRef]






| Medium Type | BAP:NAA:GA3 Concentration (mg/L) | Tested Genotypes | Immature Embryos per Replication | Repetitions | Harvesting Intervals (hours) |
|---|---|---|---|---|---|
| MS1 | 0:0:0 (Control) | G1, G2, G3, G4, G5 | 50 | 2 | 168 h, 216 h, 264 h, 312 h |
| MS2 | 0.5:0.05:0.05 | G1, G2, G3, G4, G5 | 50 | 2 | 168 h, 216 h, 264 h, 312 h |
| MS3 | 1.0:0.1:0.1 | G1, G2, G3, G4, G5 | 50 | 2 | 168 h, 216 h, 264 h, 312 h |
| MS4 | 2.0:0.2:0.2 | G1, G2, G3, G4, G5 | 50 | 2 | 168 h, 216 h, 264 h, 312 h |
| MS5 | 2.0:0.4:0.4 | G1, G2, G3, G4, G5 | 50 | 2 | 168 h, 216 h, 264 h, 312 h |
| Source | Df | Sum Sq | Mean Sq | F Value | Pr (>F) |
|---|---|---|---|---|---|
| Genotype | 4 | 11,530 | 2882.4 | 4.228 | 0.00264 ** |
| Residuals | 195 | 132,947 | 681.8 |
| Source | Df | Sum Sq | Mean Sq | F Value | Pr (>F) |
|---|---|---|---|---|---|
| Medium Type | 4 | 10,210 | 2552.5 | 3.707 | 0.00622 ** |
| Residuals | 195 | 134,267 | 688.5 |
| Source | Df | Sum Sq | Mean Sq | F Value | Pr (>F) |
|---|---|---|---|---|---|
| Time Influence | 3 | 109,268 | 36,423 | 202.8 | <2 × 10−16 *** |
| Residuals | 196 | 35,209 | 180 |
| Source | Df | Sum Sq | Mean Sq | F Value | Pr (>F) |
|---|---|---|---|---|---|
| Genotype | 4 | 11,530 | 2882 | 91.158 | <2 × 10−16 *** |
| Time | 3 | 109,268 | 36,423 | 1151.883 | <2 × 10−16 *** |
| Medium | 4 | 10,210 | 2553 | 80.725 | <2 × 10−16 *** |
| Genotype–Time | 12 | 4491 | 374 | 11.836 | 1.66 × 10−14 *** |
| Genotype–Medium | 16 | 957 | 60 | 1.892 | 0.02966 * |
| Time–Medium | 12 | 2049 | 171 | 5.4 | 5.44 × 10−7 *** |
| Genotype–Time–Medium | 48 | 2810 | 59 | 1.851 | 0.00503 ** |
| Residuals | 100 | 3162 | 32 |
| Genotype | Time ** | MS1 * | MS2 * | MS3 * | MS4 * | MS5 * |
|---|---|---|---|---|---|---|
| hours | % | % | % | % | % | |
| G1—line | 168 h | 1 ± 0.5 d | 4 ± 1.0 cd | 5 ± 1.5 cd | 4 ± 1.0 cd | 6 ± 1.0 bcd |
| G2—line | 168 h | 1 ± 0.5 d | 1 ± 0.5 d | 3 ± 0.5 cd | 9 ± 0.5 abcd | 10 ± 1.0 abcd |
| G3—Pop | 168 h | 1 ± 0.5 d | 3 ± 0.5 cd | 1 ± 0.5 d | 3 ± 0.5 cd | 3 ± 0.5 cd |
| G4—Pop | 168 h | 4 ± 1.0 cd | 9 ± 1.5 abcd | 9 ± 1.0 abcd | 12 ± 1.0 abc | 15 ± 0.5 ab |
| G5—Hib | 168 h | 9 ± 0.5 abcd | 11 ± 0.5 abc | 11 ± 1.0 abc | 12 ± 1.0 abc | 17 ± 1.0 a |
| G1—line | 216 h | 5 ± 0.5 e | 14 ± 2.0 de | 12 ± 1.0 de | 14 ± 1.0 de | 23 ± 2.5 cde |
| G2—line | 216 h | 5 ± 0.5 e | 9 ± 1.5 de | 15 ± 0.5 de | 17 ± 0.5 de | 18 ± 2.0 de |
| G3—Pop | 216 h | 3 ± 1.5 e | 4 ± 1.0 e | 9 ± 0.5 de | 14 ± 1.0 de | 19 ± 0.5 de |
| G4—Pop | 216 h | 6 ± 1.0 e | 5 ± 0.5 e | 9 ± 1.5 de | 16 ± 4.0 de | 27 ± 0.5 bcd |
| G5—Hib | 216 h | 17 ± 2.5 de | 41 ± 1.5 abc | 47 ± 3.5 ab | 52 ± 3.0 a | 55 ± 1.5 a |
| G1—line | 264 h | 23 ± 1.5 hi | 40 ± 1.0 defgh | 45 ± 1.5 cdefgh | 44 ± 1.0 cdefgh | 49 ± 0.5 bcdefg |
| G2—line | 264 h | 11 ± 0.5 i | 34 ± 2.0 fghi | 44 ± 1.0 cdefgh | 47 ± 4.5 cdefgh | 63 ± 1.5 abcde |
| G3—Pop | 264 h | 34 ± 2.0 fghi | 39 ± 2.5 efgh | 58 ± 1.0 abcdef | 61 ± 2.5 abcde | 64 ± 2.0 abcd |
| G4—Pop | 264 h | 34 ± 3.0 fghi | 49 ± 2.5 bcdefg | 32 ± 4.0 ghi | 53 ± 1.5 bcdefg | 65 ± 0.5 abc |
| G5—Hib | 264 h | 55 ± 1.5 abcdefg | 55 ± 3.5 abcdefg | 61 ± 2.5 abcde | 73 ± 0.5 abc | 79 ± 1.5 a |
| G1—line | 312 h | 37 ± 1.0 d | 43 ± 2.5 cd | 54 ± 1.0 abcd | 55 ± 5.5 abcd | 71 ± 1.5 abc |
| G2—line | 312 h | 40 ± 1.0 cd | 49 ± 3.5 bcd | 54 ± 2.0 abcd | 71 ± 1.5 abc | 80 ± 1.0 ab |
| G3—Pop | 312 h | 63 ± 0.5 abcd | 63 ± 1.5 abcd | 68 ± 1.0 abcd | 76 ± 5.0 ab | 79 ± 2.5 ab |
| G4—Pop | 312 h | 64 ± 4.0 abcd | 66 ± 2.0 abcd | 65 ± 1.5 abcd | 71 ± 4.5 abc | 79 ± 3.5 ab |
| G5—Hib | 312 h | 68 ± 2.0 abcd | 79 ± 0.5 ab | 78 ± 1.0 ab | 77 ± 3.5 ab | 81 ± 4.5 a |
Disclaimer/Publisher’s Note: The statements, opinions and data contained in all publications are solely those of the individual author(s) and contributor(s) and not of MDPI and/or the editor(s). MDPI and/or the editor(s) disclaim responsibility for any injury to people or property resulting from any ideas, methods, instructions or products referred to in the content. |
© 2025 by the authors. Licensee MDPI, Basel, Switzerland. This article is an open access article distributed under the terms and conditions of the Creative Commons Attribution (CC BY) license (https://creativecommons.org/licenses/by/4.0/).
Share and Cite
Onisan, E.; Petolescu, C.; Tenche-Constantinescu, A.; Petrescu, I.; Horablaga, M.N.; Simina, A.; Gorinoiu, G.; Camen, D.; Popescu, S.; Mate, C.; et al. Application of Biotechnology for Sunflower Inbred Line Development: Immature Embryo Rescue. Appl. Sci. 2025, 15, 1576. https://doi.org/10.3390/app15031576
Onisan E, Petolescu C, Tenche-Constantinescu A, Petrescu I, Horablaga MN, Simina A, Gorinoiu G, Camen D, Popescu S, Mate C, et al. Application of Biotechnology for Sunflower Inbred Line Development: Immature Embryo Rescue. Applied Sciences. 2025; 15(3):1576. https://doi.org/10.3390/app15031576
Chicago/Turabian StyleOnisan, Emilian, Cerasela Petolescu, Alina Tenche-Constantinescu, Irina Petrescu, Marinel Nicolae Horablaga, Alina Simina, Gabriela Gorinoiu, Dorin Camen, Sorina Popescu, Cristian Mate, and et al. 2025. "Application of Biotechnology for Sunflower Inbred Line Development: Immature Embryo Rescue" Applied Sciences 15, no. 3: 1576. https://doi.org/10.3390/app15031576
APA StyleOnisan, E., Petolescu, C., Tenche-Constantinescu, A., Petrescu, I., Horablaga, M. N., Simina, A., Gorinoiu, G., Camen, D., Popescu, S., Mate, C., & Sarac, I. (2025). Application of Biotechnology for Sunflower Inbred Line Development: Immature Embryo Rescue. Applied Sciences, 15(3), 1576. https://doi.org/10.3390/app15031576

