Relationship Between Isometric Mid-Thigh Pull Force, Sprint Acceleration Mechanics and Performance in National-Level Track and Field Athletes
Abstract
1. Introduction
2. Materials and Methods
2.1. Participants
2.2. Procedures
2.3. Isometric Mid-Thigh Pull
2.4. 30 m Sprint Test
2.5. Statistical Analysis
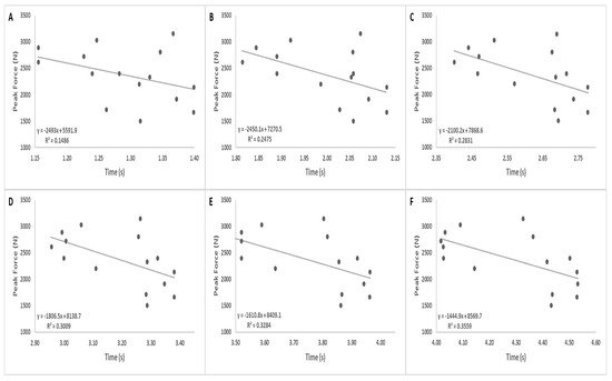
3. Results
4. Discussion
Limitations
5. Conclusions
Author Contributions
Funding
Institutional Review Board Statement
Informed Consent Statement
Data Availability Statement
Acknowledgments
Conflicts of Interest
References
- Mero, A.; Komi, P.V.; Gregor, R.J. Biomechanics of Sprint Running. A Review. Sports Med. 1992, 13, 376–392. [Google Scholar] [CrossRef]
- Morin, J.-B.; Bourdin, M.; Edouard, P.; Peyrot, N.; Samozino, P.; Lacour, J.-R. Mechanical Determinants of 100-m Sprint Running Performance. Eur. J. Appl. Physiol. 2012, 112, 3921–3930. [Google Scholar] [CrossRef] [PubMed]
- Nagahara, R.; Matsubayashi, T.; Matsuo, A.; Zushi, K. Kinematics of Transition during Human Accelerated Sprinting. Biol. Open 2014, 3, 689–699. [Google Scholar] [CrossRef]
- Jiménez-Reyes, P.; van den Tillaar, R.; Castaño-Zambudio, A.; Gleadhill, S.; Nagahara, R. Understanding Sprint Phase-Specific Training Stimuli: A Cluster Analysis Approach to Overload Conditions. Front. Sports Act Living 2024, 6, 1510379. [Google Scholar] [CrossRef] [PubMed]
- Nagahara, R.; Naito, H.; Miyashiro, K.; Morin, J.B.; Zushi, K. Traditional and Ankle-Specific Vertical Jumps as Strength-Power Indicators for Maximal Sprint Acceleration. J. Sports Med. Phys. Fitness 2014, 54, 691–699. [Google Scholar] [PubMed]
- Samozino, P.; Rabita, G.; Dorel, S.; Slawinski, J.; Peyrot, N.; Saez de Villarreal, E.; Morin, J.-B. A Simple Method for Measuring Power, Force, Velocity Properties, and Mechanical Effectiveness in Sprint Running. Scand. J. Med. Sci. Sports 2016, 26, 648–658. [Google Scholar] [CrossRef]
- Morin, J.-B.; Samozino, P.; Murata, M.; Cross, M.R.; Nagahara, R. A Simple Method for Computing Sprint Acceleration Kinetics from Running Velocity Data: Replication Study with Improved Design. J. Biomech. 2019, 94, 82–87. [Google Scholar] [CrossRef] [PubMed]
- Stavridis, I.; Ekizos, A.; Zisi, M.; Agilara, G.-O.; Tsolakis, C.; Terzis, G.; Paradisis, G. The Effects of Heavy Resisted Sled Pulling on Sprint Mechanics and Spatiotemporal Parameters. J. Strength Cond. Res. 2023, 37, 2346–2353. [Google Scholar] [CrossRef] [PubMed]
- Lahti, J.; Jiménez-Reyes, P.; Cross, M.R.; Samozino, P.; Chassaing, P.; Simond-Cote, B.; Ahtiainen, J.; Morin, J.-B. Individual Sprint Force-Velocity Profile Adaptations to In-Season Assisted and Resisted Velocity-Based Training in Professional Rugby. Sports 2020, 8, 74. [Google Scholar] [CrossRef]
- Haugen, T.A.; Breitschädel, F.; Seiler, S. Sprint Mechanical Variables in Elite Athletes: Are Force-Velocity Profiles Sport Specific or Individual? PLoS ONE 2019, 14, e0215551. [Google Scholar] [CrossRef]
- Petridis, L.; Pálinkás, G.; Tróznai, Z.; Béres, B.; Utczás, K. Determining Strength Training Needs Using the Force-Velocity Profile of Elite Female Handball and Volleyball Players. Int. J. Sports Sci. Coach. 2021, 16, 123–130. [Google Scholar] [CrossRef]
- Morin, J.-B.; Samozino, P. Interpreting Power-Force-Velocity Profiles for Individualized and Specific Training. Int. J. Sports Physiol. Perform. 2016, 11, 267–272. [Google Scholar] [CrossRef]
- Slawinski, J.; Bonnefoy, A.; Levêque, J.-M.; Ontanon, G.; Riquet, A.; Dumas, R.; Chèze, L. Kinematic and Kinetic Comparisons of Elite and Well-Trained Sprinters during Sprint Start. J. Strength Cond. Res. 2010, 24, 896–905. [Google Scholar] [CrossRef] [PubMed]
- McGuigan, M. Testing and Evaluation of Strength and Power; Routledge: New York, NY, USA, 2019; ISBN 978-0-42-902818-2. [Google Scholar]
- Brady, C.J.; Harrison, A.J.; Flanagan, E.P.; Haff, G.G.; Comyns, T.M. The Relationship Between Isometric Strength and Sprint Acceleration in Sprinters. Int. J. Sports Physiol. Perform. 2020, 15, 38–45. [Google Scholar] [CrossRef]
- Maffiuletti, N.A.; Aagaard, P.; Blazevich, A.J.; Folland, J.; Tillin, N.; Duchateau, J. Rate of Force Development: Physiological and Methodological Considerations. Eur. J. Appl. Physiol. 2016, 116, 1091–1116. [Google Scholar] [CrossRef] [PubMed]
- Aagaard, P.; Simonsen, E.B.; Andersen, J.L.; Magnusson, P.; Dyhre-Poulsen, P. Increased Rate of Force Development and Neural Drive of Human Skeletal Muscle Following Resistance Training. J. Appl. Physiol. 2002, 93, 1318–1326. [Google Scholar] [CrossRef] [PubMed]
- Mason, L.; Kirkland, A.; Steele, J.; Wright, J. The Relationship between Isometric Mid-Thigh Pull Variables and Athletic Performance Measures: Empirical Study of English Professional Soccer Players and Meta-Analysis of Extant Literature. J. Sports Med. Phys. Fitness 2021, 61, 645–655. [Google Scholar] [CrossRef] [PubMed]
- Thomas, C.; Comfort, P.; Chiang, C.-Y.; Jones, P.A. Relationship between Isometric Mid-Thigh Pull Variables and Sprint and Change of Direction Performance in Collegiate Athletes. J. Trainol. 2015, 4, 6–10. [Google Scholar] [CrossRef] [PubMed]
- Townsend, J.R.; Bender, D.; Vantrease, W.C.; Hudy, J.; Huet, K.; Williamson, C.; Bechke, E.; Serafini, P.R.; Mangine, G.T. Isometric Midthigh Pull Performance Is Associated With Athletic Performance and Sprinting Kinetics in Division I Men and Women’s Basketball Players. J. Strength Cond. Res. 2019, 33, 2665–2673. [Google Scholar] [CrossRef]
- West, D.J.; Owen, N.J.; Jones, M.R.; Bracken, R.M.; Cook, C.J.; Cunningham, D.J.; Shearer, D.A.; Finn, C.V.; Newton, R.U.; Crewther, B.T.; et al. Relationships between Force-Time Characteristics of the Isometric Midthigh Pull and Dynamic Performance in Professional Rugby League Players. J. Strength Cond. Res. 2011, 25, 3070–3075. [Google Scholar] [CrossRef]
- Scanlan, A.T.; Wen, N.; Guy, J.H.; Elsworthy, N.; Lastella, M.; Pyne, D.B.; Conte, D.; Dalbo, V.J. The Isometric Midthigh Pull in Basketball: An Effective Predictor of Sprint and Jump Performance in Male, Adolescent Players. Int. J. Sports Physiol. Perform. 2020, 15, 409–415. [Google Scholar] [CrossRef] [PubMed]
- Wang, R.; Hoffman, J.R.; Tanigawa, S.; Miramonti, A.A.; La Monica, M.B.; Beyer, K.S.; Church, D.D.; Fukuda, D.H.; Stout, J.R. Isometric Mid-Thigh Pull Correlates With Strength, Sprint, and Agility Performance in Collegiate Rugby Union Players. J. Strength Cond. Res. 2016, 30, 3051–3056. [Google Scholar] [CrossRef] [PubMed]
- Healy, R.; Smyth, C.; Kenny, I.C.; Harrison, A.J. Influence of Reactive and Maximum Strength Indicators on Sprint Performance. J. Strength Cond. Res. 2019, 33, 3039–3048. [Google Scholar] [CrossRef]
- Comfort, P.; Dos’Santos, T.; Beckham, G.K.; Stone, M.H.; Guppy, S.N.; Haff, G.G. Standardization and Methodological Considerations for the Isometric Midthigh Pull. Strength Cond. J. 2019, 41, 57–79. [Google Scholar] [CrossRef]
- DosʼSantos, T.; Jones, P.A.; Comfort, P.; Thomas, C. Effect of Different Onset Thresholds on Isometric Midthigh Pull Force-Time Variables. J. Strength Cond. Res. 2017, 31, 3463–3473. [Google Scholar] [CrossRef]
- Brady, C.J.; Harrison, A.J.; Comyns, T.M. A Review of the Reliability of Biomechanical Variables Produced during the Isometric Mid-Thigh Pull and Isometric Squat and the Reporting of Normative Data. Sports Biomech. 2020, 19, 1–25. [Google Scholar] [CrossRef]
- Romero-Franco, N.; Jiménez-Reyes, P.; Castaño-Zambudio, A.; Capelo-Ramírez, F.; Rodríguez-Juan, J.J.; González-Hernández, J.; Toscano-Bendala, F.J.; Cuadrado-Peñafiel, V.; Balsalobre-Fernández, C. Sprint Performance and Mechanical Outputs Computed with an IPhone App: Comparison with Existing Reference Methods. Eur. J. Sport Sci. 2017, 17, 386–392. [Google Scholar] [CrossRef] [PubMed]
- Economou, T.; Stavridis, I.; Zisi, M.; Fragkoulis, E.; Olanemi-Agilara, G.; Paradisis, G. Sprint Mechanical and Kinematic Characteristics of National Female Track and Field Champions and Lower-Level Competitors. J. Phys. Educ. Sport 2021, 21, 3227–3235. [Google Scholar] [CrossRef]
- Stavridis, I.; Economou, T.; Walker, J.; Bissas, A.; Tsopanidou, A.; Paradisis, G. Sprint Mechanical Characteristics of Sub-Elite and Recreational Sprinters. J. Phys. Educ. Sport 2022, 22, 1126–1133. [Google Scholar] [CrossRef]
- Hopkins, W.G.; Marshall, S.W.; Batterham, A.M.; Hanin, J. Progressive Statistics for Studies in Sports Medicine and Exercise Science. Med. Sci. Sports Exerc. 2009, 41, 3–13. [Google Scholar] [CrossRef] [PubMed]
- Morin, J.-B.; Edouard, P.; Samozino, P. Technical Ability of Force Application as a Determinant Factor of Sprint Performance. Med. Sci. Sports Exerc. 2011, 43, 1680–1688. [Google Scholar] [CrossRef] [PubMed]
- Kugler, F.; Janshen, L. Body Position Determines Propulsive Forces in Accelerated Running. J. Biomech. 2010, 43, 343–348. [Google Scholar] [CrossRef] [PubMed]
- von Lieres Und Wilkau, H.C.; Irwin, G.; Bezodis, N.E.; Simpson, S.; Bezodis, I.N. Phase Analysis in Maximal Sprinting: An Investigation of Step-to-Step Technical Changes between the Initial Acceleration, Transition and Maximal Velocity Phases. Sports Biomech. 2020, 19, 141–156. [Google Scholar] [CrossRef]
- Prados-Barbero, F.J.; Sánchez-Romero, E.A.; Cuenca-Zaldívar, J.N.; Selva-Sarzo, F. Differences in Movement Patterns Related to Anterior Cruciate Ligament Injury Risk in Elite Judokas According to Sex: A Cross-Sectional Clinical Approach Study. Electron. J. Gen. Med. 2024, 21, em574. [Google Scholar] [CrossRef]
- Fuster, V.; Jerez, A.; Ortega, A. Anthropometry and Strength Relationship: Male-Female Differences. Anthropol. Anz. 1998, 56, 49–56. [Google Scholar] [CrossRef] [PubMed]
- Hicks, D.S.; Drummond, C.; Williams, K.J.; van den Tillaar, R. Exploratory Analysis of Sprint Force-Velocity Characteristics, Kinematics and Performance across a Periodized Training Year: A Case Study of Two National Level Sprint Athletes. Int. J. Environ. Res. Public Health 2022, 19, 15404. [Google Scholar] [CrossRef]
- Jiménez-Reyes, P.; Garcia-Ramos, A.; Párraga-Montilla, J.A.; Morcillo-Losa, J.A.; Cuadrado-Peñafiel, V.; Castaño-Zambudio, A.; Samozino, P.; Morin, J.-B. Seasonal Changes in the Sprint Acceleration Force-Velocity Profile of Elite Male Soccer Players. J. Strength Cond. Res. 2022, 36, 70–74. [Google Scholar] [CrossRef]
- James, L.P.; Weakley, J.; Comfort, P.; Huynh, M. The Relationship Between Isometric and Dynamic Strength Following Resistance Training: A Systematic Review, Meta-Analysis, and Level of Agreement. Int. J. Sports Physiol. Perform. 2023, 19, 2–12. [Google Scholar] [CrossRef] [PubMed]
- Martín Pérez, S.E.; Martín Pérez, I.M.; León Ramírez, P.; Rodríguez-Pastrana Trujillo, A.J.; Cabrera Cabrera, E.; Sánchez Romero, E.A.; Sosa Reina, M.D.; Alonso Pérez, J.L.; Villafañe, J.H.; Fernández Carnero, J. Immediate Effects of Isometric versus Isotonic Exercise on Pain Sensitivity and Motor Performance of Ankle Plantiflexor Muscles. Sci. J. Sport Perform. 2022, 2, 105–118. [Google Scholar] [CrossRef]
- Benítez-Martínez, J.C.; García-Haba, B.; Fernández-Carnero, S.; Pecos-Martin, D.; Sanchez Romero, E.A.; Selva-Sarzo, F.; Cuenca-Zaldívar, J.N. Effectiveness of Transcutaneous Neuromodulation on Abductor Muscles Electrical Activity in Subjects with Chronic Low Back Pain: A Randomized, Controlled, Crossover Clinical Trial. J. Pain Res. 2023, 16, 2553–2566. [Google Scholar] [CrossRef]


| Variables | Mean (SD) | 95% CI | Relationship with IMTPF (r) | ES |
|---|---|---|---|---|
| IMTPF (N) | 2366 ± 511 | 2082–2648 | ||
| F0 (N∙kg−1) | 7.50 ± 0.95 | 6.98–8.02 | 0.20 (−0.35 to 0.65) | Small |
| v0 (m∙s−1) | 10.13 ± 0.66 | 9.76–10.50 | 0.65 ** (0.21 to 0.87) | Large |
| Pmax (W∙kg−1) | 19.02 ± 2.90 | 17.41–20.62 | 0.44 (−0.09 to 0.78) | Moderate |
| Time to 5 m (s) | 1.30 ± 0.08 | 1.25–1.34 | −0.38 (−0.74 to 0.17) | Moderate |
| Time to 10 m (s) | 2.00 ± 0.10 | 1.94–2.06 | −0.50 (−0.81 to 0.01) | Large |
| Time to 15 m (s) | 2.62 ± 0.13 | 2.55–2.69 | −0.53 * (−0.82 to −0.21) | Large |
| Time to 20 m (s) | 3.20 ± 0.16 | 3.11–3.28 | −0.55 * (−0.83 to −0.06) | Large |
| Time to 25 m (s) | 3.75 ± 0.18 | 3.65–3.85 | −0.57 * (−0.84 to −0.09) | Large |
| Time to 30 m (s) | 4.29 ± 0.21 | 4.18–4.41 | −0.60 * (−0.85 to −0.12) | Large |
Disclaimer/Publisher’s Note: The statements, opinions and data contained in all publications are solely those of the individual author(s) and contributor(s) and not of MDPI and/or the editor(s). MDPI and/or the editor(s) disclaim responsibility for any injury to people or property resulting from any ideas, methods, instructions or products referred to in the content. |
© 2025 by the authors. Licensee MDPI, Basel, Switzerland. This article is an open access article distributed under the terms and conditions of the Creative Commons Attribution (CC BY) license (https://creativecommons.org/licenses/by/4.0/).
Share and Cite
Stavridis, I.; Zisi, M.; Arsoniadis, G.G.; Terzis, G.; Tsolakis, C.; Paradisis, G.P. Relationship Between Isometric Mid-Thigh Pull Force, Sprint Acceleration Mechanics and Performance in National-Level Track and Field Athletes. Appl. Sci. 2025, 15, 1089. https://doi.org/10.3390/app15031089
Stavridis I, Zisi M, Arsoniadis GG, Terzis G, Tsolakis C, Paradisis GP. Relationship Between Isometric Mid-Thigh Pull Force, Sprint Acceleration Mechanics and Performance in National-Level Track and Field Athletes. Applied Sciences. 2025; 15(3):1089. https://doi.org/10.3390/app15031089
Chicago/Turabian StyleStavridis, Ioannis, Maria Zisi, Gavriil G. Arsoniadis, Gerasimos Terzis, Charilaos Tsolakis, and Giorgos P. Paradisis. 2025. "Relationship Between Isometric Mid-Thigh Pull Force, Sprint Acceleration Mechanics and Performance in National-Level Track and Field Athletes" Applied Sciences 15, no. 3: 1089. https://doi.org/10.3390/app15031089
APA StyleStavridis, I., Zisi, M., Arsoniadis, G. G., Terzis, G., Tsolakis, C., & Paradisis, G. P. (2025). Relationship Between Isometric Mid-Thigh Pull Force, Sprint Acceleration Mechanics and Performance in National-Level Track and Field Athletes. Applied Sciences, 15(3), 1089. https://doi.org/10.3390/app15031089

